PSOα: A Fragmented Swarm Optimisation for Improved Load Frequency Control of a Hybrid Power System Using FOPID
Abstract
1. Introduction
- A fragmented swarm optimisation approach, known as the PSOα, is proposed to improve the performance of the conventional PSO;
- The 14 different benchmarks are considered to test the performance of PSOα;
- The analysis is also carried out to see the impact of α on its performance;
- The proposed approach is applied to solve the well-known real-life optimisation problem of LFC in power systems where the test system is considered with both renewable and traditional power sources;
- A fractional order proportional-integral-differential (FOPID) controller is used, whose parameters are optimised using the proposed PSO for the LFC of the hybrid power system.
2. Fragmented Particle Swarm Optimisation
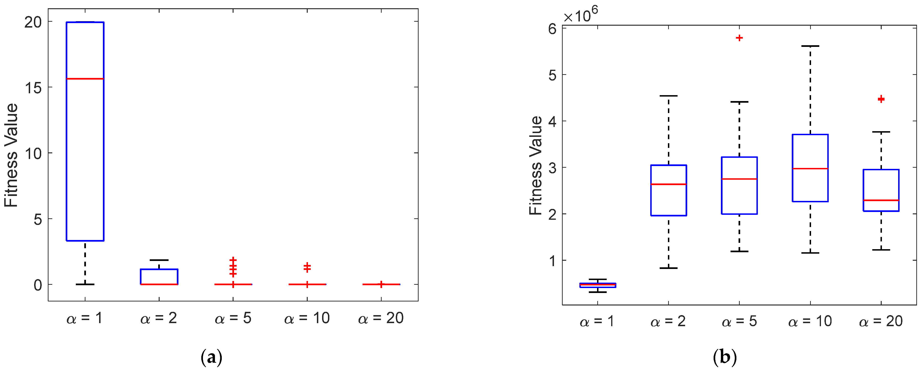
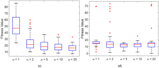
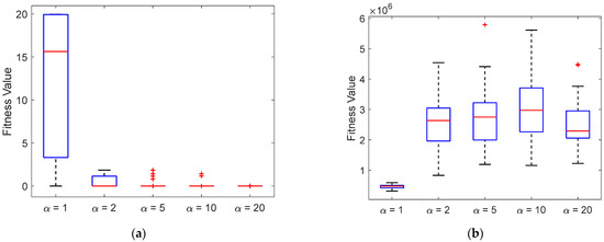
3. Performance Analysis
4. Design of a Test System for Performance Analysis of the PSOα in LFC
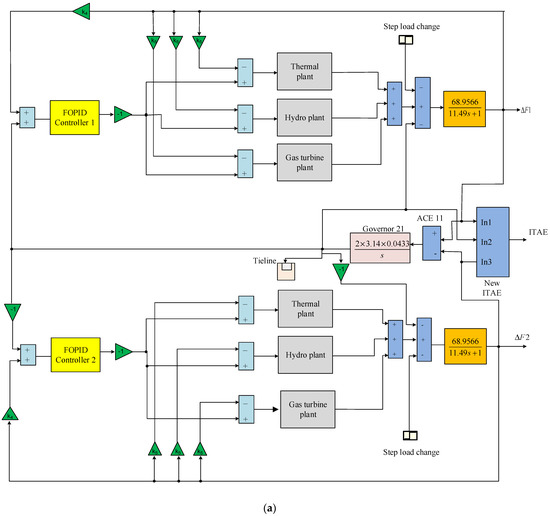
4.1. Multi-Source Multi-Area Power System
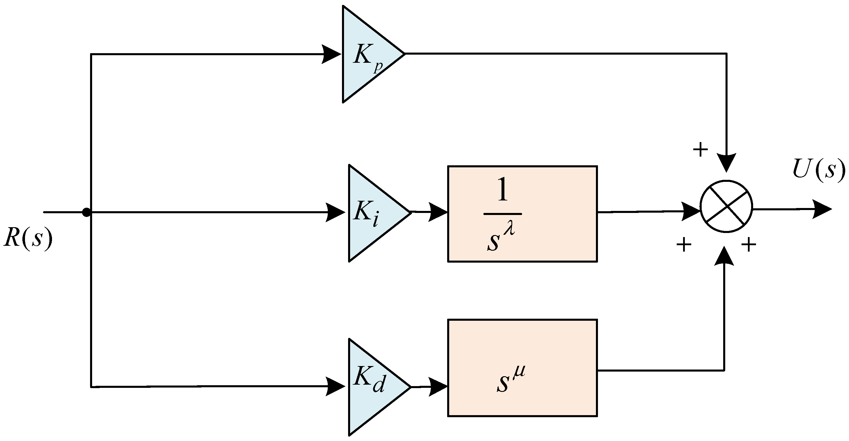
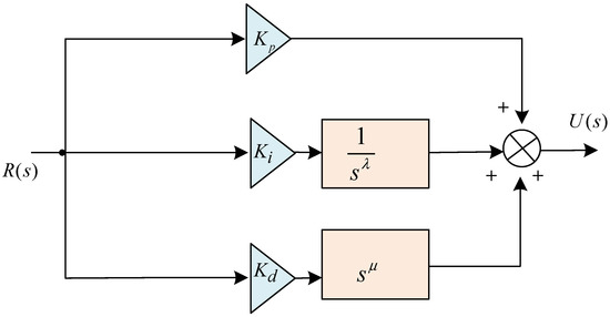
4.2. FOPID Controller
5. Simulation Results and Discussion
5.1. Case Study-I
5.2. Case Study-II
6. Conclusions
Author Contributions
Funding
Institutional Review Board Statement
Informed Consent Statement
Data Availability Statement
Conflicts of Interest
Appendix A
References
- Kennedy, J.; Eberhart, R. Particle swarm optimization. In Proceedings of the IEEE International Conference on Neural Networks, Perth, Australia, 27 November–1 December 1995; Volume 4, pp. 1942–1948. [Google Scholar]
- Poli, R. Analysis of the publications on the applications of particle swarm optimization. J. Artif. Evol. Appl. 2008, 2008, 1–10. [Google Scholar] [CrossRef]
- Poli, R.; Kennedy, J.; Blackwell, T. Particle Swarm Optimization. In Encyclopedia of Machine Learning; Springer: Berlin/Heidelberg, Germany, 2007; pp. 760–766. [Google Scholar]
- Yang, Y.; Wen, J.; Chen, X. Improvements on particle swarm optimisation algorithm for velocity calibration in micro-seismic monitoring. Earthq. Sci. 2015, 28, 263–273. [Google Scholar] [CrossRef]
- Xu, S.H.; Rahmat-Samii, Y. Boundary conditions in particle swarm optimisation revisited. IEEE Trans Antennas Propag. 2007, 55, 760–765. [Google Scholar] [CrossRef]
- Zhang, L.-P.; Yu, H.-J.; Hu, S.-X. Optimal choice of parameters for particle swarm optimization. J. Zhejiang Univ. Sci. A 2005, 6, 528–534. [Google Scholar] [CrossRef]
- Rezaee Jordehi, A.; Jasni, J. Parameter selection in particle swarm optimisation: A survey. J. Exp. Theor. Artif. Intell. 2013, 25, 527–542. [Google Scholar] [CrossRef]
- Chaturvedi, K.T.; Pandit, M.; Srivastava, L. Particle swarm optimisation with time varying acceleration coefficients for non-convex economic power dispatch. Int. J. Electr. Power Energy Syst. 2009, 31, 249–257. [Google Scholar] [CrossRef]
- Zhang, Q.; Li, Z.; Zhou, C.J.; Wei, X.P. Bayesian network structure learning based on the chaotic particle swarm optimisation algorithm. Genet. Mol. Res. 2013, 12, 4468–4479. [Google Scholar] [CrossRef]
- Jau, Y.M.; Su, K.L.; Wu, C.J.; Jeng, J.T. Modified quantumbehaved particle swarm optimisation for parameters estimation of generalised nonlinear multi-regressions model based on Choquet integral with outliers. Appl. Math. Comput. 2013, 221, 282–295. [Google Scholar]
- Kennedy, J. Bare Bones Particle Swarms. In Proceedings of the IEEE Swarm Intelligence Symposium (SIS ’03), Indianapolis, IN, USA, 26 April 2003; pp. 80–87. [Google Scholar]
- Khan, S.A.; Engelbrecht, A.P. A fuzzy particle swarm optimisation algorithm for computer communication network topology design. Appl. Intell. 2012, 36, 161–177. [Google Scholar] [CrossRef]
- Zhang, Y.; Wu, L. Crop classification by forward neural network with adaptive chaotic particle swarm optimization. Sensors 2011, 11, 4721–4743. [Google Scholar] [CrossRef]
- Wang, H.; Wu, Z.; Rahnamayan, S.; Liu, Y.; Ventresca, M. Enhancing particle swarm optimisation using generalised opposition-based learning. Inf. Sci. 2011, 181, 4699–4714. [Google Scholar] [CrossRef]
- Dong, N.; Wu, C.-H.; Ip, W.-H.; Chen, Z.-Q.; Chan, C.-Y.; Yung, K.-L. An opposition-based chaotic GA/PSO hybrid algorithm and its application in circle detection. Comput. Math. Appl. 2012, 64, 1886–1902. [Google Scholar] [CrossRef]
- Appasani, B.; Jha, A.V.; Gupta, D.K.; Bizon, N.; Srinivasulu, A. An Improved Particle Swarm Optimisation Technique and its Application in Load Frequency Control. In Proceedings of the 2021 13th International Conference on Electronics, Computers and Artificial Intelligence (ECAI), Pitesti, Romania, 1–3 July 2021; pp. 1–5. [Google Scholar] [CrossRef]
- Parvin, K.; Hannan, M.A.; Al-Shetwi, A.Q.; Ker, P.J.; Roslan, M.F.; Mahlia, T.M.I. Fuzzy Based Particle Swarm Optimisation for Modeling Home Appliances Towards Energy Saving and Cost Reduction Under Demand Response Consideration. IEEE Access 2020, 8, 210784–210799. [Google Scholar] [CrossRef]
- Jain, M.; Saihjpal, V.; Singh, N.; Singh, S.B. An Overview of Variants and Advancements of PSO Algorithm. Appl. Sci. 2022, 12, 8392. [Google Scholar] [CrossRef]
- Shi, Y.; Eberhart, R.C. Fuzzy Adaptive Particle Swarm Optimisation. In Proceedings of the 2001 Congress on Evolutionary Computation CEC2001, Seoul, Korea, 27–30 May 2001; IEEE Press Los Alamitos, COEX, World Trade Center: Seoul, Korea, 2001; pp. 101–106. [Google Scholar]
- Pan, I.; Das, S. Fractional order fuzzy control of hybrid power system with renewable generation using chaotic PSO. ISA Trans. 2016, 62, 19–29. [Google Scholar] [CrossRef] [PubMed]
- Dong, W.; Kang, L.; Zhang, W. Opposition-based particle swarm optimisation with adaptive mutation strategy. Soft Comput. 2017, 21, 5081–5090. [Google Scholar] [CrossRef]
- Mohanty, P.; Sahu, R.K.; Panda, S. A novel hybrid many optimising liaisons gravitational search algorithm approach for AGC of power systems. Automatika 2020, 61, 158–178. [Google Scholar] [CrossRef]
- Appasani, B.; Gupta, N. A novel segmentation approach in GA and its application in antenna array. Microw. Rev. 2017, 23, 8–14. [Google Scholar]
- Goyal, H.; Handmandlu, M.; Kothari, D.P. A novel modelling technique for automatic load frequency control of small hydro power plants. Int. J. Model. Simul. 2007, 27, 186–192. [Google Scholar] [CrossRef]
- Shayeghi, H.A.S.H.; Shayanfar, H.A.; Jalili, A. Load frequency control strategies: A state-of-the-art survey for the researcher. Energy Convers. Manag. 2009, 50, 344–353. [Google Scholar] [CrossRef]
- Latif, A.; Hussain, S.S.; Das, D.C.; Ustun, T.S. State-of-the-art of controllers and soft computing techniques for regulated load frequency management of single/multi-area traditional and renewable energy based power systems. Appl. Energy 2020, 266, 114858. [Google Scholar] [CrossRef]
- Tungadio, D.H.; Sun, Y. Load frequency controllers considering renewable energy integration in power system. Energy Rep. 2019, 5, 436–453. [Google Scholar] [CrossRef]
- Padhan, S.; Sahu, R.K.; Panda, S. Application of firefly algorithm for load frequency control of multi-area interconnected power system. Electr. Power Compon. Syst. 2014, 42, 1419–1430. [Google Scholar] [CrossRef]
- Gupta, D.K.; Jha, A.V.; Appasani, B.; Srinivasulu, A.; Bizon, N.; Thounthong, P. Load Frequency Control Using Hybrid Intelligent Optimisation Technique for Multi-Source Power Systems. Energies 2021, 14, 1581. [Google Scholar] [CrossRef]
- Sahu, R.K.; Panda, S.; Biswal, A.; Sekhar, G.C. Design and analysis of tilt integral derivative controller with filter for load frequency control of multi- area interconnected power systems. ISA Trans. 2015, 61, 251–264. [Google Scholar] [CrossRef]
- Shiva, C.K.; Mukherjee, V. A novel quasi-oppositional harmony search algorithm for AGC optimisation of three-area multi-unit power system after deregulation. Eng. Sci. Technol. Int. J. 2016, 19, 395–420. [Google Scholar]
- Mostafa Elsaied, M.; Abdallah Attia, M.; Abdelhamed Mostafa, M.; Fouad Mekhamer, S. Application of different optimisation techniques to load frequency control with WECS in a multi-area system. Electr. Power Compon. Syst. 2018, 46, 739–756. [Google Scholar] [CrossRef]
- Khamari, D.; Kumbhakar, B.; Patra, S.; Laxmi, D.A.; Panigrahi, S. Load Frequency Control of a Single Area Power System using Firefly Algorithm. Int. J. Eng. Res. 2020, 9, 1318–1320. [Google Scholar]
- Paliwal, N.; Srivastava, L.; Pandit, M. Application of grey wolf optimisation algorithm for load frequency control in multi-source single area power system. Evol. Intell. 2022, 15, 563–584. [Google Scholar] [CrossRef]
- Li, J.; Yu, T.; Zhang, X. Coordinated load frequency control of multi-area integrated energy system using multi-agent deep reinforcement learning. Appl. Energy 2022, 306, 117900. [Google Scholar] [CrossRef]
- Kumar, A.; Gupta, D.K.; Ghatak, S.R.; Appasani, B.; Bizon, N.; Thounthong, P. A Novel Improved GSA-BPSO Driven PID Controller for Load Frequency Control of Multi-Source Deregulated Power System. Mathematics 2022, 10, 3255. [Google Scholar] [CrossRef]
- Ahmed, M.; Magdy, G.; Khamies, M.; Kamel, S. Modified TID controller for load frequency control of a two-area interconnected diverse-unit power system. Int. J. Electr. Power Energy Syst. 2022, 135, 107528. [Google Scholar] [CrossRef]
- Shakibjoo, A.D.; Moradzadeh, M.; Moussavi, S.Z.; Mohammadzadeh, A.; Vandevelde, L. Load frequency control for multi-area power systems: A new type-2 fuzzy approach based on Levenberg–Marquardt algorithm. ISA Trans. 2022, 121, 40–52. [Google Scholar] [CrossRef] [PubMed]
- Dei, G.; Gupta, D.K.; Sahu, B.K.; Jha, A.V.; Appasani, B.; Zawbaa, H.M.; Kamel, S. Improved Squirrel Search Algorithm Driven Cascaded 2DOF-PID-FOI Controller for Load Frequency Control of Renewable Energy Based Hybrid Power System. IEEE Access 2022, 10, 46372–46391. [Google Scholar] [CrossRef]
- Gheisarnejad, M.; Khooban, M.H. Design an optimal fuzzy fractional proportional integral derivative controller with derivative filter for load frequency control in power systems. Trans. Inst. Meas. Control 2019, 41, 2563–2581. [Google Scholar] [CrossRef]
- Pan, I.; Das, S. Fractional-order load-frequency control of interconnected power systems using chaotic multi-objective optimisation. Appl. Soft Comput. 2015, 29, 328–344. [Google Scholar] [CrossRef]
- Gupta, D.K.; Soni, A.K.; Jha, A.V.; Mishra, S.K.; Appasani, B.; Srinivasulu, A.; Bizon, N.; Thounthong, P. Hybrid Gravitational–Firefly Algorithm-Based Load Frequency Control for Hydrothermal Two-Area System. Mathematics 2021, 9, 712. [Google Scholar] [CrossRef]
- Jaber, H.H.; Miry, A.H.; Al-Anbarri, K. Load frequency control of interconnected power system using artificial intelligent techniques based fractional order PIλ Dµ controller. In Proceedings of the AIP Conference Proceedings, Bogor, Indonesia, 11 January 2022; Volume 2386, p. 040014. [Google Scholar]
- Simon, D. Biogeography Based Optimisation. IEEE Trans. Evol. Comput. 2008, 12, 702–713. [Google Scholar] [CrossRef]
- Molga, M.; Smutnicki, C. Test Functions for Optimisation Needs. 2005. Available online: https://robertmarks.org/Classes/ENGR5358/Papers/functions.pdf (accessed on 18 December 2022).











| Standard PSO | PSOα | ||||
|---|---|---|---|---|---|
| α = 2 | α = 5 | α = 10 | α = 20 | ||
| Fletcher-Powell | 461,103.9 | 2,604,529 | 2,721,716 | 3,022,818 | 2,514,629 |
| Griewank | 0.049925 | 0.065658 | 0.082329 | 0.080676 | 0.117824 |
| Penalty #1 | 0.622927 | 0.009717 | 0.002073 | 2.25 | 2.68 |
| Penalty #2 | 0.550521 | 0.04043 | 0.001538 | 0.00022 | 8.59 |
| Quartic | 8.67 | 2.98 | 5.1 | 1.06 | 1.42 |
| Rastrigin | 49.17073 | 24.93886 | 19.34199 | 17.97034 | 15.94734 |
| Rosenbrock | 16.78169 | 17.46503 | 11.3112 | 12.12923 | 16.18238 |
| Schwefel 1.2 | −6452.71 | −6603.55 | −6647.61 | −6696.6 | −6672.26 |
| Schwefel 2.21 | 7.881805 | 23.08167 | 15.24715 | 10.32565 | 4.047511 |
| Schwefel 2.22 | 16.15846 | 3.12 | 5.18 | 5.56 | 1.29 |
| Schwefel 2.26 | 0.862617 | 0.861845 | 0.642069 | 0.46599 | 0.242072 |
| Sphere | 3.39 | 1.72 | 1.23 | 7.58 | 3.76 |
| Step | 183.86 | 5.06 | 0.28 | 0.04 | 0 |
| Ackley | 12.03881 | 0.636369 | 0.239076 | 0.05167 | 0.000602 |
| Standard PSO | PSOα | ||||
|---|---|---|---|---|---|
| α = 2 | α = 5 | α = 10 | α = 20 | ||
| Fletcher-Powell | 310,355.6 | 828,986.5 | 1,190,779 | 1,157,620 | 1,221,396 |
| Griewank | 1.11 | 0 | 0 | 5.55 | 1.44 |
| Penalty #1 | 1.28 | 1.65 | 6.01 | 4.36 | 1.13 |
| Penalty #2 | 1.8 | 3.91 | 2.09 | 4.6 | 6.8 |
| Quartic | 3.01 | 1.62 | 4.26 | 1.43 | 3.58 |
| Rastrigin | 23.87898 | 9.949591 | 6.964713 | 7.959672 | 6.964713 |
| Rosenbrock | 2.315889 | 1.251602 | 3.410537 | 2.001622 | 0.007852 |
| Schwefel 1.2 | −7113.69 | −7457.95 | −7113.69 | −7110 | −7228.44 |
| Schwefel 2.21 | 0.211203 | 7.728768 | 6.977263 | 2.658325 | 0.149143 |
| Schwefel 2.22 | 3.44 | 2.97 | 8.69 | 1.93 | 5.5 |
| Schwefel 2.26 | 0.192718 | 0.547877 | 0.376101 | 0.266043 | 0.128634 |
| Sphere | 3.46 | 1.41 | 1.04 | 1.62 | 6.02 |
| Step | 2 | 0 | 0 | 0 | 0 |
| Ackley | 1.48 | 1.05 | 1.11 | 1.03 | 1.14 |
| FOPID Parameters | PSO | PSO2 | PSO5 | PSO10 |
|---|---|---|---|---|
| Kp1 | 0.01 | 5.1816 | 2.3064 | 10 |
| KI1 | 8.8499 | 5.6965 | 7.2508 | 8.6551 |
| KD1 | 5.3573 | 3.0801 | 3.3643 | 5.1749 |
| µ1 | 0.791 | 1 | 0.8454 | 1 |
| λ1 | 0.5 | 0.9949 | 0.5 | 0.6662 |
| Kp2 | 9.6153 | 10 | 6.0612 | 4.6897 |
| KI2 | 10 | 10 | 8.381 | 10 |
| KD2 | 5.7386 | 3.8028 | 2.5067 | 3.5886 |
| µ2 | 0.9967 | 1 | 0.9709 | 1 |
| λ2 | 0.8292 | 0.5 | 0.9338 | 0.7885 |
| ITAE | 0.0411 | 0.0575 | 0.0314 | 0.0291 |
| PSO | PSO2 | PSO5 | PSO10 | |
|---|---|---|---|---|
| ITAE | 0.0411 | 0.0575 | 0.0314 | 0.0291 |
| ) | 1.68% | 1.46% | 1.47% | 1.14% |
| ) | 2.91% | 2.4% | 2.15% | 2.51% |
| ) | 0.158% | 0.081% | 0.055% | 0.168% |
| ) | 5.98 s | 9.23 s | 4.99 s | 3.5 s |
| ) | 4.82 s | 5.57 s | 4.57 s | 4.82 s |
| ) | 18 s | 12 s | 9.5 s | 9.5 s |
| FOPID Parameters | PSO | PSO2 | PSO5 | PSO10 |
|---|---|---|---|---|
| Kp1 | 8.7717 | 3.3908 | 10 | 5.5647 |
| KI1 | 7.6618 | 3.5364 | 8.1693 | 8.4972 |
| KD1 | 3.0907 | 2.7922 | 6.0918 | 5.7859 |
| µ1 | 0.9748 | 0.8824 | 1 | 1 |
| λ1 | 0.8058 | 1 | 1 | 0.71 |
| Kp2 | 3.3765 | 10 | 6.8539 | 10 |
| KI2 | 4.8148 | 0.01 | 7.205 | 10 |
| KD2 | 2.2872 | 5.1184 | 6.8575 | 6.513 |
| µ2 | 1 | 1 | 0.9217 | 1 |
| λ2 | 0.9901 | 0.5 | 0.6523 | 0.7604 |
| ITAE | 0.1225 | 0.3152 | 0.0788 | 0.0433 |
| PSO | PSO2 | PSO5 | PSO10 | |
|---|---|---|---|---|
| ITAE | 0.1225 | 0.3152 | 0.0788 | 0.0433 |
| ) | 4% | 4.27% | 3.2% | 3.2% |
| ) | 3.37% | 2.59% | 2.24% | 2.08% |
| ) | 0.214% | 0.367% | 0.063% | 0.138% |
| ) | 9.4 s | 20 s | 5.9 s | 4.59 s |
| ) | 6.55 s | 15 s | 8.02 s | 5.29 s |
| ) | 9.956 s | 50 s | 12 s | 4.84 s |
Disclaimer/Publisher’s Note: The statements, opinions and data contained in all publications are solely those of the individual author(s) and contributor(s) and not of MDPI and/or the editor(s). MDPI and/or the editor(s) disclaim responsibility for any injury to people or property resulting from any ideas, methods, instructions or products referred to in the content. |
© 2023 by the authors. Licensee MDPI, Basel, Switzerland. This article is an open access article distributed under the terms and conditions of the Creative Commons Attribution (CC BY) license (https://creativecommons.org/licenses/by/4.0/).
Share and Cite
Appasani, B.; Jha, A.V.; Gupta, D.K.; Bizon, N.; Thounthong, P. PSOα: A Fragmented Swarm Optimisation for Improved Load Frequency Control of a Hybrid Power System Using FOPID. Energies 2023, 16, 2226. https://doi.org/10.3390/en16052226
Appasani B, Jha AV, Gupta DK, Bizon N, Thounthong P. PSOα: A Fragmented Swarm Optimisation for Improved Load Frequency Control of a Hybrid Power System Using FOPID. Energies. 2023; 16(5):2226. https://doi.org/10.3390/en16052226
Chicago/Turabian StyleAppasani, Bhargav, Amitkumar V. Jha, Deepak Kumar Gupta, Nicu Bizon, and Phatiphat Thounthong. 2023. "PSOα: A Fragmented Swarm Optimisation for Improved Load Frequency Control of a Hybrid Power System Using FOPID" Energies 16, no. 5: 2226. https://doi.org/10.3390/en16052226
APA StyleAppasani, B., Jha, A. V., Gupta, D. K., Bizon, N., & Thounthong, P. (2023). PSOα: A Fragmented Swarm Optimisation for Improved Load Frequency Control of a Hybrid Power System Using FOPID. Energies, 16(5), 2226. https://doi.org/10.3390/en16052226

