Probing the Pre-Ignition Behavior of Negative Temperature Coefficient Fuels at Low to High Temperatures: A Case Study of Dimethyl Ether
Abstract
1. Introduction
2. Experimental and Numerical Methods
3. Results and Discussion
4. Analysis of Pre-Ignition Criteria
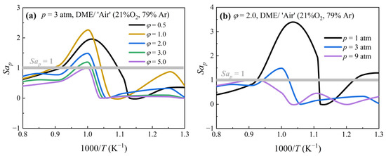
4.1. Temperature Perturbation Sensitivity
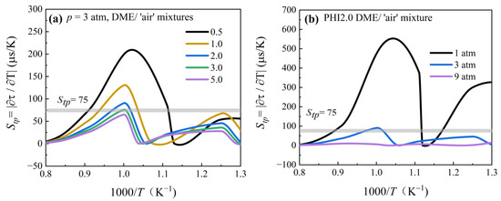
4.2. Thermal Diffusivity
4.3. Damköhler Number
4.4. Sankaran Number Criterion
5. Conclusions
Author Contributions
Funding
Data Availability Statement
Acknowledgments
Conflicts of Interest
References
- Withrow, L.; Bowditch, F. Flame Photographs of Autoignition Induced by Combustion-Chamber Deposits; SAE International: Warrendale, PA, USA, 1952. [Google Scholar] [CrossRef]
- Wang, Z.; Qi, Y.; He, X.; Wang, J.; Shuai, S.; Law, C.K. Analysis of pre-ignition to super-knock: Hotspot-induced deflagration to detonation. Fuel 2014, 144, 222–227. [Google Scholar] [CrossRef]
- Kalghatgi, G.; Bradley, D. Pre-ignition and ‘super-knock’ in turbo-charged spark-ignition engines. Int. J. Engine Res. 2012, 13, 399–414. [Google Scholar] [CrossRef]
- Rönn, K.; Swarts, A.; Kalaskar, V.; Alger, T.; Tripathi, R.; Keskiväli, J.; Kaario, O.; Santasalo-Aarnio, A.; Reitz, R.; Larmi, M. Low-speed pre-ignition and super-knock in boosted spark-ignition engines: A review. Prog. Energy Combust. Sci. 2023, 95, 101064. [Google Scholar] [CrossRef]
- Sparrow, S. Preignition and Spark-plugs. SAE Int. 1920, 15, 412–427. [Google Scholar]
- Wang, S.; Davidson, D.F.; Hanson, R.K. Shock tube techniques for kinetic target data to improve reaction models. Comput. Aided Chem. Eng. 2019, 45, 169–202. [Google Scholar] [CrossRef]
- Hong, Z.; Davidson, D.F.; Hanson, R.K. Contact surface tailoring condition for shock tubes with different driver and driven section diameters. Shock Waves 2009, 19, 331–336. [Google Scholar] [CrossRef]
- Campbell, M.F.; Parise, T.; Tulgestke, A.M.; Spearrin, R.M.; Davidson, D.F.; Hanson, R.K. Strategies for obtaining long constant-pressure test times in shock tubes. Shock Waves 2015, 25, 651–665. [Google Scholar] [CrossRef]
- Dahnz, C.; Han, K.-M.; Spicher, U.; Magar, M.; Schiessl, R.; Maas, U. Investigations on Pre-Ignition in Highly Supercharged SI Engines. SAE Int. J. Engines 2010, 3, 214–224. [Google Scholar] [CrossRef]
- Menrad, H. Preignition and knock behavior of alcohol fuels. Sae Pap. 1982, 91, 3738–3752. [Google Scholar]
- Akram, Z.; Peter, R.; Wai, N.; Muniappan, A.; Simon, S.; Jorg, S.; Thomas, G. Fundamental approach to investigate pre-ignition in boosted si engines. SAE Int. J. Engines 2011, 4, 246–273. [Google Scholar]
- Zöbinger, N.; Schweizer, T.; Lauer, T.; Kubach, H.; Koch, T. Experimental and Numerical Analysis on Two-Phase Induced Low-Speed Pre-Ignition. Energies 2021, 14, 5063. [Google Scholar] [CrossRef]
- Hamilton, L.J.; Rostedt, M.G.; Caton, P.A.; Cowart, J.S. Pre-Ignition Characteristics of Ethanol and E85 in a Spark Ignition Engine. SAE Int. J. Fuels Lubr. 2008, 1, 145–154. [Google Scholar] [CrossRef]
- Ninnemann, E.; Koroglu, B.; Pryor, O.; Barak, S.; Nash, L.; Loparo, Z.; Sosa, J.; Ahmed, K.; Vasu, S. New insights into the shock tube ignition of H2/O2 at low to moderate temperatures using high-speed end-wall imaging, Combust. Flame 2018, 187, 11–21. [Google Scholar] [CrossRef]
- Fei, S.; Qi, Y.; Liu, W.; Wang, Y.; Wang, Z.; Zhang, H. Combustion Modes Induced by Oil-Droplet Gas-Phase Pre-ignition in the Chamber under Different Environmental Conditions. Combust. Sci. Technol. 2021, 195, 379–397. [Google Scholar] [CrossRef]
- Pryor, O.; Barak, S.; Koroglu, B.; Ninnemann, E.; Vasu, S.S. Measurements and interpretation of shock tube ignition delay times in highly CO2 diluted mixtures using multiple diagnostics. Combust. Flame 2017, 180, 63–76. [Google Scholar] [CrossRef]
- Santner, J.; Goldsborough, S.S. Hot-spot induced mild ignition: Numerical simulation and scaling analysis. Combust. Flame 2019, 209, 41–62. [Google Scholar] [CrossRef]
- Gao, Y.; Dai, P.; Chen, Z. Numerical studies on autoignition and detonation development from a hot spot in hydrogen/air mixtures. Combust. Theory Model. 2019, 24, 245–261. [Google Scholar] [CrossRef]
- Figueroa-Labastida, M.; Badra, J.; Elbaz, A.M.; Farooq, A. Shock tube studies of ethanol preignition. Combust. Flame 2018, 198, 176–185. [Google Scholar] [CrossRef]
- Figueroa-Labastida, M.; Luong, M.B.; Badra, J.; Im, H.G.; Farooq, A. Experimental and computational studies of methanol and ethanol preignition behind reflected shock waves. Combust. Flame 2021, 234, 111621. [Google Scholar] [CrossRef]
- Nativel, D.; Niegemann, P.; Herzler, J.; Fikri, M.; Schulz, C. Ethanol ignition in a high-pressure shock tube: Ignition delay time and high-repetition-rate imaging measurements. Proc. Combust. Inst. 2020, 38, 901–909. [Google Scholar] [CrossRef]
- Huang, W.; Zhao, Q.; Huang, Z.; Curran, H.J.; Zhang, Y. A kinetics and dynamics study on the auto-ignition of dimethyl ether at low temperatures and low pressures. Proc. Combust. Inst. 2020, 38, 601–609. [Google Scholar] [CrossRef]
- Javed, T.; Badra, J.; Jaasim, M.; Es-Sebbar, E.; Labastida, M.F.; Chung, S.H.; Im, H.G.; Farooq, A. Shock Tube Ignition Delay Data Affected by Localized Ignition Phenomena. Combust. Sci. Technol. 2016, 189, 1138–1161. [Google Scholar] [CrossRef]
- Walton, S.; He, X.; Zigler, B.; Wooldridge, M.; Atreya, A. An experimental investigation of iso-octane ignition phenomena. Combust. Flame 2007, 150, 246–262. [Google Scholar] [CrossRef]
- Huang, C.; Wang, Y.; Deiterding, R.; Yu, D.; Chen, Z. Numerical studies on weak and strong ignition induced by reflected shock and boundary layer interaction. Acta Mech. Sin. 2022, 38, 121466. [Google Scholar] [CrossRef]
- Yu, D.; Chen, Z. Theoretical analysis on the ignition of a combustible mixture by a hot particle. J. Fluid Mech. 2022, 936, A22. [Google Scholar] [CrossRef]
- Burke, U.; Somers, K.P.; O’Toole, P.; Zinner, C.M.; Marquet, N.; Bourque, G.; Petersen, E.L.; Metcalfe, W.K.; Serinyel, Z.; Curran, H.J. An ignition delay and kinetic modeling study of methane, dimethyl ether, and their mixtures at high pressures. Combust. Flame 2015, 162, 315–330. [Google Scholar] [CrossRef]
- Sun, W.; Huang, W.; Qin, X.; Deng, Y.; Kang, Y.; Peng, W.; Zhang, Y.; Huang, Z. Water impact on the auto-ignition of kerosene/air mixtures under combustor relevant conditions. Fuel 2020, 267, 117184. [Google Scholar] [CrossRef]
- Petersen, E.; Rickard, M.J.A.; Crofton, M.W.; Abbey, E.D.; Traum, M.J.; Kalitan, D.M. A facility for gas- and condensed-phase measurements behind shock waves. Meas. Sci. Technol. 2005, 16, 1716–1729. [Google Scholar] [CrossRef]
- CHEMKIN-PRO 18.2; Reaction Design: San Diego, CA, USA, 2018.
- Wang, Z.; Zhang, X.; Xing, L.; Zhang, L.; Herrmann, F.; Moshammer, K.; Qi, F.; Kohse-Höinghaus, K. Experimental and kinetic modeling study of the low- and intermediate-temperature oxidation of dimethyl ether. Combust. Flame 2014, 162, 1113–1125. [Google Scholar] [CrossRef]
- Zhou, C.-W.; Li, Y.; Burke, U.; Banyon, C.; Somers, K.P.; Ding, S.; Khan, S.; Hargis, J.W.; Sikes, T.; Mathieu, O.; et al. An experimental and chemical kinetic modeling study of 1,3-butadiene combustion: Ignition delay time and laminar flame speed measurements. Combust. Flame 2018, 197, 423–438. [Google Scholar] [CrossRef]
- Reuter, C.B.; Zhang, R.; Yehia, O.R.; Rezgui, Y.; Ju, Y. Counterflow flame experiments and chemical kinetic modeling of dimethyl ether/methane mixtures. Combust. Flame 2018, 196, 1–10. [Google Scholar] [CrossRef]
- Yan, C.; Zhao, H.; Wang, Z.; Song, G.; Lin, Y.; Mulvihill, C.R.; Jasper, A.W.; Klippenstein, S.J.; Ju, Y. Low- and intermediate-temperature oxidation of dimethyl ether up to 100 atm in a supercritical pressure jet-stirred reactor. Combust. Flame 2022, 243, 112059. [Google Scholar] [CrossRef]
- Zhao, H.; Yang, X.; Ju, Y. Kinetic studies of ozone assisted low temperature oxidation of dimethyl ether in a flow reactor using molecular-beam mass spectrometry. Combust. Flame 2016, 173, 187–194. [Google Scholar] [CrossRef]
- Kurimoto, N.; Brumfield, B.; Yang, X.; Wada, T.; Diévart, P.; Wysocki, G.; Ju, Y. Quantitative measurements of HO2/H2O2 and intermediate species in low and intermediate temperature oxidation of dimethyl ether. Proc. Combust. Inst. 2015, 35, 457–464. [Google Scholar] [CrossRef]
- Moshammer, K.; Jasper, A.W.; Popolan-Vaida, D.M.; Lucassen, A.; Diévart, P.; Selim, H.; Eskola, A.J.; Taatjes, C.A.; Leone, S.R.; Sarathy, S.M.; et al. Detection and Identification of the Keto-Hydroperoxide (HOOCH2OCHO) and Other Intermediates during Low-Temperature Oxidation of Dimethyl Ether. J. Phys. Chem. A 2015, 119, 7361–7374. [Google Scholar] [CrossRef]
- Meyer, J.; Oppenheim, A. On the shock-induced ignition of explosive gases. Symp. (Int.) Combust. 1971, 13, 1153–1164. [Google Scholar] [CrossRef]
- Mathieu, O.; Pinzón, L.T.; Atherley, T.M.; Mulvihill, C.R.; Schoel, I.; Petersen, E.L. Experimental study of ethanol oxidation behind reflected shock waves: Ignition delay time and H2O laser-absorption measurements. Combust. Flame 2019, 208, 313–326. [Google Scholar] [CrossRef]
- Im, H.G.; Pal, P.; Wooldridge, M.S.; Mansfield, A.B. A Regime Diagram for Autoignition of Homogeneous Reactant Mixtures with Turbulent Velocity and Temperature Fluctuations. Combust. Sci. Technol. 2015, 187, 1263–1275. [Google Scholar] [CrossRef]
- Sankaran, R.; Im, H.G.; Hawkes, E.R.; Chen, J.H. The effects of non-uniform temperature distribution on the ignition of a lean homogeneous hydrogen–air mixture. Proc. Combust. Inst. 2005, 30, 875–882. [Google Scholar] [CrossRef]
- Strozzi, C.; Mura, A.; Sotton, J.; Bellenoue, M. Experimental analysis of propagation regimes during the autoignition of a fully premixed methane–air mixture in the presence of temperature inhomogeneities. Combust. Flame 2012, 159, 3323–3341. [Google Scholar] [CrossRef]










| Mix. | φ | p (atm) | XDME | XO2 | XAr |
|---|---|---|---|---|---|
| PHI0.5 | 0.5 | 3 | 3.38% | 20.29% | 76.33% |
| PHI1.0 | 1.0 | 3 | 6.54% | 19.63% | 73.83% |
| PHI2.0 | 2.0 | 1, 3, 9 | 12.28% | 18.42% | 69.30% |
| PHI3.0 | 3.0 | 3 | 17.36% | 17.36% | 65.28% |
| PHI5.0 | 5.0 | 3 | 25.93% | 15.56% | 58.51% |
Disclaimer/Publisher’s Note: The statements, opinions and data contained in all publications are solely those of the individual author(s) and contributor(s) and not of MDPI and/or the editor(s). MDPI and/or the editor(s) disclaim responsibility for any injury to people or property resulting from any ideas, methods, instructions or products referred to in the content. |
© 2023 by the authors. Licensee MDPI, Basel, Switzerland. This article is an open access article distributed under the terms and conditions of the Creative Commons Attribution (CC BY) license (https://creativecommons.org/licenses/by/4.0/).
Share and Cite
Huang, W.; Wu, H.; Sun, W.; Hong, C.; Tian, Z.; Yan, Y.; Huang, Z.; Zhang, Y. Probing the Pre-Ignition Behavior of Negative Temperature Coefficient Fuels at Low to High Temperatures: A Case Study of Dimethyl Ether. Energies 2023, 16, 2118. https://doi.org/10.3390/en16052118
Huang W, Wu H, Sun W, Hong C, Tian Z, Yan Y, Huang Z, Zhang Y. Probing the Pre-Ignition Behavior of Negative Temperature Coefficient Fuels at Low to High Temperatures: A Case Study of Dimethyl Ether. Energies. 2023; 16(5):2118. https://doi.org/10.3390/en16052118
Chicago/Turabian StyleHuang, Wenlin, Honghuan Wu, Wuchuan Sun, Congjie Hong, Zemin Tian, Yingwen Yan, Zuohua Huang, and Yingjia Zhang. 2023. "Probing the Pre-Ignition Behavior of Negative Temperature Coefficient Fuels at Low to High Temperatures: A Case Study of Dimethyl Ether" Energies 16, no. 5: 2118. https://doi.org/10.3390/en16052118
APA StyleHuang, W., Wu, H., Sun, W., Hong, C., Tian, Z., Yan, Y., Huang, Z., & Zhang, Y. (2023). Probing the Pre-Ignition Behavior of Negative Temperature Coefficient Fuels at Low to High Temperatures: A Case Study of Dimethyl Ether. Energies, 16(5), 2118. https://doi.org/10.3390/en16052118

