Abstract
In this study, the pyrolysis procedure was used to extract oil from pomegranate peels (PP) utilizing biomass-derived sulfonated tea waste as a catalyst. FTIR, SAA, SEM, and XRD were used to characterize the catalyst. Thermo-catalytic decomposition was carried out in a salt bath reactor and the bio-oil composition was determined through GC-MS. The oil obtained from virgin PP was observed to contain compounds in the range of C5–C13, whereas from the catalyzed reaction it was found to be rich in C5–C23. For the calculation of kinetic parameters, TG analysis was performed of virgin PP and with the catalyst at different heating rates. TG/DTG indicated weight loss in four steps. The first weight loss below 100 °C is due to the physically adsorbed water molecule evaporation. The second weight loss is attributed to hemicellulose decomposition and the third one to cellulose degradation. The fourth weight loss is due to lignin degradation. Kissinger model was used for measuring the activation energy (Ea) of the decomposition reaction. The activation energy of hemicellulose, cellulose, and lignin for non-catalytic reactions was observed as 199, 249, and 299 kJmol−1, while in the case of the loaded tea waste catalyst, the Ea was reduced to 122, 163, and 207 kJmol−1, respectively, confirming the effectiveness of the catalyst. From these findings, it can be concluded that sulfonated tea waste catalyst has not only lowered the pyrolysis temperature and Ea but also brought a change in oil quality by enhancing value-added compounds in the bio-oil.
1. Introduction
In view of the depletion of non-renewable energy resources, biomass utilization has become a focus of mainstream energy use [1]. Research methods for converting biomass into bio-oil have recently received a lot of attention due to the growing interest in biofuels owing to their economic and environmental appeals. Fast pyrolysis stands out as the most promising of them [2]. Global warming and the present reliance on fossil fuels raise worries about energy security. Promoting the utilization of biomass is one approach to reduce this. Biomass is regarded as a sustainable, ecologically safe, and renewable resource of fuel. In this regard, forestry waste provides a promising possibility [3]. Pyrolysis is preferred over combustion for generating energy from forestry waste since it may recover solid and liquid ingredients that are simple to store and transport. The liquid substance known as bio-oil has an advantage over solid biomass because of its higher volumetric energy density [4]. However, its high water content, high viscosity, poor igniting properties, corrosiveness, high oxygen concentration, high solid content, and chemical instability provide several drawbacks to its use as fuel [5]. The utilization of a catalyst during pyrolysis reaction is one straightforward way to replace oxygen and increase the hydrogen-to-carbon ratio of the bio-oil. For biomass catalytic pyrolysis, many high-cost catalysts have generally been studied such as mesoporous M41S, mesoporous aluminosilicates, and microporous zeolites [6,7]. All of these catalysts result in an enhanced bio-oil that has the prospects of a profitable product as feedstock for biorefineries. On the other hand, various alternative inexpensive catalysts have also been explored for biomass pyrolysis [8]. Although simple pyrolysis sometimes produces better bio-oil yield, more refining is needed for actual use. Therefore, the catalyst used must be highly active, specific to certain products, resistant to deactivation, and inexpensive [9].
Pomegranate, one of the major fruit plants, is grown in Iran, Central Asia, India, Afghanistan, Pakistan, Asia Minor, and the Mediterranean coast. Due to the presence of diverse bioactive substances in different portions of pomegranate, it provides nutritional value. Terpenes, sterols, fatty acids, proanthocyanins, and anthocyanins are all present in the fruit [10]. However, the peel produced after eating the eatable portion is dumped and wasted. Pyrolysis of biomass has been studied widely; however, little literature is available on the degradation of pomegranate peel [11]. Therefore, the biomass material selected in this study is waste pomegranate peels derived after the consumption of the edible part from pomegranates. Pomegranate peel is produced in sufficient quantity after eating the edible parts of the fruit or pressing it for juice production. Presently, there is no appropriate mechanism for utilizing this rich supply. Due to its high hydrocarbon content, this analysis is a minor attempt to use leftover pomegranate peel as an energy source.
In addition, tea (Camellia) is one of the most consumed beverages worldwide. There is a lot of solid waste produced by the consumption of hundreds of tons of tea worldwide. Previously, tea waste has been used in various applications such as hydrogen production [12], char for the purification of bio-oil [13], and for the removal of heavy metals from water [14]. However, no work on the synthesis of acidic tea waste heterogeneous catalysts and their use in biomass conversion has been found in the literature. Therefore, in this study, our focus is on the preparation of a highly active catalyst from tea waste for the conversion of waste pomegranate peels into liquid fuel and to study the kinetics of the pyrolysis reaction. Moreover, it will also be determined how several variables, including temperature, duration, and catalyst, affect the pyrolysis of used waste pomegranate peels.
2. Material and Methods
2.1. Materials
In the current study, waste pomegranate peels were collected from a juice shop on the campus of University of Peshawar. The peels were dried in sunlight for 3 weeks. The dried sample was ground in a grinder and sieved to a mesh size of 35. For demineralization, the sample was treated with 1N HCl solution and washed many times with double-distilled water until pH 7 was obtained. Then the sample was kept in an electric oven for drying at 80 °C for 12 h and shifted to a desiccator for future study.
2.2. Synthesis and Characterization of Catalyst
Raw tea waste was taken for catalyst synthesis from a nearby tea shop on the campus of the University of Peshawar. For removal of impurities, i.e., sugar and milk, it was washed with warm double-distilled water and heated until its color was removed. Then it was kept in an oven for 30 h at 80 °C. The dried sample was then ground to a mesh size of 177 microns. After that, H3PO4 was used to chemically activate the sample. Each 20 g tea waste char was activated with 10% H3PO4 for 14 h before drying at room temperature. Then the sample was shifted to a furnace and kept there for 2 h at 400 °C with a temperature program rate of 5 °Cmin−1. The calcined sample thus obtained was carbonized at 400 °C in an inert atmosphere and washed with warm double-distilled water until PH 7. Then it was dried in an oven at 80 °C and stored for further study. For sulfonated acidic catalyst preparation, the sample was treated with 98% concentrated H2SO4 solution in an autoclave at 150 °C for 6 h. Double-deionized water was used for washing the sulfonated sample for removal of unreacted H2SO4 and for moisture removal the sample was placed in an oven overnight.
The catalyst thus obtained was analyzed by SEM (JSM-IT-100 Japan, JEOL, Akishima, Tokyo, Japan) to know about the morphology of the catalyst. EDX (JSM-IT-100 Japan) was carried out to know about the chemical nature of the catalyst. Shimadzu IR Prestige-21 (Kyoto, Japan) was used for identifying functional groups in the prepared catalyst. The catalyst surface area and porosity, both of which influence the efficiency considerably, were studied using a surface area and pore size analyzer (NOVA2200e Quantachrome, Boynton Beach, FL, USA). The catalyst was also analyzed using XRD (JDX-3532, JEOL, Akishima, Tokyo, Japan) for measuring the crystallite size of the sample.
2.3. Loading of Catalyst to Pomegranate Peels Powder
To load the catalyst onto biomass, the impregnation method was used. To load the biomass sample with 5% catalyst, first, a solution was made of 0.5 g of catalyst in 40 mL of water and mixed thoroughly. Secondly, 10 g of pomegranate peel powder was added to 60 mL of double-distilled water. In the end, the two solutions were then mixed. The resulting mixture was then stirred on a hot plate for two hours at a speed of 600 rpm and then dried overnight in an oven at 80 °C. In this way, the biomass sample was found evenly loaded with catalyst.
2.4. Pyrolysis and Characterization of Products
Pomegranate peels were pyrolyzed in the presence and absence of catalyst at various temperatures in a salt bath. The details of the setup have already been mentioned in our prior communications [15]. The salt bath is a mixture of potassium nitrate, sodium nitrate, and sodium nitrite in different ratios placed in a steel vessel surrounded by asbestos and cement for insulation purposes. The salt bath is heated by an electric heater and the temperature is controlled by a temperature controller. The reaction flask which is connected to a condenser is placed inside the bath and heated to the desired temperature. The bio-oil recovered was analyzed through GCMS (Thermo Scientific DSQ, Waltham, MA, USA), and the components were identified using the MS-NIST library.
2.5. Kinetic Study
A thermogravimetric analysis of pomegranate peels was done in the presence/absence of a catalyst at heating rates of 5, 10, 15, and 20 °C min−1 using a thermogravimetric analyzer (SDT Q600, UK). The data obtained were used for kinetic study through the Kissinger equation (Equation (1)) [16].
where Tm (°C) is the temperature at maximum weight loss, R (JK−1mol−1) is the general gas constant, and (°Cmin−1) is the heating rate. By plotting against , the Ea (kJmol−1) and A (min−1) were calculated using the values of the slope and intercept, respectively.
3. Results and Discussion
3.1. Characterization of Catalyst
In the XRD spectrum of the sulfonated tea waste catalyst, broad and narrow peaks were observed at (100), (110), (111), and (004) with 2θ° rotation angles of 12°, 25°, 40–45°, and 68°, respectively (as shown in Figure 1). The XRD pattern showed the existence of sulfur atoms in the catalyst which is consistent with the cited literature [17]. Yu et al. [18] examined X-ray diffraction patterns of amorphous carbonaceous materials. The sulfonated sample showed broad and narrow peaks around 2θ = 15–30°. These regions were correlated with randomly aligned aromatic carbon sheets. This has also been mentioned by Konwar et al. [19]. Doroodmand et al. [20] synthesized sulfonated multi-walled carbon nanotubes. The XRD peaks observed at 2θ° = 12°, 30°, 56°, 58°, and 66° were attributed to S (001), S (110), S (111), and S (004), respectively.
Figure 1.
XRD of sulfonated tea waste catalyst.
The SEM image shown in Figure 2 illustrates the morphology and crystallite size of the catalyst. The figure shows a porous structure with very active sites on its surface. The results agree well with previous investigations. According to Konwar et al. [19], the phosphoric acid pretreatment of tea waste resulted in a porous carbon structure with highly active sites and improved the surface area as well.
Figure 2.
SEM of tea waste catalyst.
The chemical composition of the catalyst is presented in Figure 3, showing the catalyst percentage composition as carbon 71.51, oxygen 27.0, and sulfur 0.86% by mass. The sulfur content in the EDX analysis of the catalyst showed the successful dispersion of sulfur on tea waste char. Ahsan et al. [21] carried out the sulfonation procedure and observed the existence of carbon, sulfur, and oxygen in sulfonated tea waste through elemental color mapping which agrees well with our study.
Figure 3.
Elemental analysis of tea waste catalyst.
The infrared spectrum of the catalyst is shown in Figure 4. Infrared absorption of SO2 at 1190 cm−1 demonstrates the presence of a sulfonic acid group (-SO3H). The spectrum makes it obvious that the OH group exhibits a significant absorption peak between 3500 and 3000 cm−1. The band at 1590 cm−1 is due to the carboxyl sequence of COOH. Similar outcomes for sulfonated carbon catalysts derived from natural carbohydrates were reported by Lokman et al. [22], confirming that the sulfonation process led to the presence of sulfonic acid functional groups in the sample.
Figure 4.
FTIR spectra of sulfonated tea waste catalyst.
To know the surface characteristics of the catalyst, the Barrett–Joyner–Halenda adsorption method was used. The surface area and pore volume of the catalyst were observed as 24.52 m2g−1 and 0.021 ccg−1, respectively, while the pore radius was noted as 16.142 Å. By applying the Brunauer–Emmet–Teller method, the specific surface area of the catalyst was calculated as 179.003 m2g−1. These results are in accordance with the literature. Rashid et al. [17] showed that the sulfonated tea waste catalyst surface area is as high as 122 m2g−1 after sulfonation, compared to 50 m2g−1 without sulfonation, which is linked to the chemical activation and hence opened the char surface pores.
3.2. Characterization of Biomass Samples
To compare the morphological differences between raw and acid-washed samples, first, SEM analysis of raw pomegranate peels powder was performed and found the surface of pomegranate peels as smooth, irregular with projections, and uneven in shape, as shown in Figure 5a. Kar [11] carried out the SEM analysis of PP and observed the smooth surface of the pomegranate peels with no pores. Ahmad et al. [23] studied the morphology of pomegranate peels and observed an irregular and rough surface with no pores.

Figure 5.
SEM of (a) raw pomegranate peels; (b) acid-washed; (c) impregnated sample.
The morphology of acid-washed PP is depicted in Figure 5b. The figure exhibits the surface features of the sample with small pores and an irregular shape formed due to the removal of minerals as a result of acid washing. Asadieraghi and Daud [24] treated PP with dilute HCl and studied the acid-washed sample with SEM. The SEM micrograph showed that the biomass sample has eroded the sample, partially resulting in a porous texture. Nisar et al. [15] reported that acid washing resulted in the removal of mineral contents from almond shells and this removal of mineral contents from the biomass matrix produced a porous texture. In another study, Nisar et al. [25] treated sesame stalk biomass with 2N HCl and observed a similar trend as well. Using the impregnation method, the catalyst was impregnated onto the surface of demineralized pomegranate peels and analyzed by SEM. Figure 5c shows particles of catalyst dispersed on the surface of the demineralized sample.
The EDX of raw PP powder was carried out and is presented in Figure 6a. EDX analysis presents the existence of carbon and oxygen in wt.% of 51.51 and 47.34 along with small quantities of aluminum, potassium, and chlorine, respectively. Azazyet et al. [26] performed EDX of PP and noted the presence of carbon and oxygen in wt.% of 51.58 and 46.04, respectively. Elements such as chlorine, sodium, calcium, and potassium were also observed in small quantities.

Figure 6.
EDX of (a) raw pomegranate peels; (b) acid-washed; (c) impregnated sample.
When the PP powder was demineralized with HCl, the pomegranate peel powder became free from the inherent minerals and the sample was observed to contain only carbon and oxygen with wt.% of 46.75 and 53.25%, respectively, as depicted in Figure 6b. These findings are in conformity with the reported work. Nisar et al. [15] carried out EDX of acid-washed almond shells and found out that acid washing by 2M HCl has successfully removed the mineral contents from almond shells, leaving behind carbon and oxygen. H3PO4, H2SO4, and HCl were used by Hong and Wang [27] to study the effects of acid washing on rice husks, and they found that comparatively mineral contents were minimized to the maximum extent with HCl. The impregnated sample was also analyzed by EDX shown in Figure 6c. The weight percent composition of the loaded sulfonated tea waste catalyst sample was observed as carbon 51.11%, oxygen 48.72%, and sulfur 0.17%.
3.3. Pyrolysis and Analysis of Pyrolysates
In biomass conversion, the reaction temperature has a crucial role in the product’s quality and quantity. The temperature was optimized at 350 °C for the non-catalytic reaction shown in Figure 7a. Gradual elevation in bio-oil quantity was observed with the rise in temperature and maximized at 350 °C and beyond that, a decrease occurred in bio-oil quantity with temperature elevation. While an increase in temperature probably happened, the secondary decomposition of oil resulted in the gaseous fraction increase [28]. The results of catalytic pyrolysis are shown in Figure 7b. The graph reveals that 330 °C is the optimal temperature at which bio-oil quantity is high. These results reflect the catalytic efficiency of the sulfonated tea waste catalyst. Nisar et al. [29] examined the influence of temperature on the decomposition of Karanja seed press cake and found that the optimized temperature was lower for catalytic pyrolysis than the non-catalytic pyrolysis. Similarly, in another study, Nisar et al. [30] carried out peanut shell pyrolysis and observed a higher yield of bio-oil at lower temperatures as compared to non-catalytic pyrolysis.
Figure 7.
Influence of temperature on pyrolysates (a) raw sample; (b) impregnated sample.
To know the oil composition, GC/MS of the oil from the non-catalyzed reaction was performed and the chromatogram obtained is presented in Figure 8a and the compounds identified are given in Table 1. The oil obtained from raw PP contains compounds in the range of C5–C13. Furfural with 27.55% area and 5-methyl-2-Furancarboxaldehyde with 12.05% area were the major compounds detected in the oil. Moreover, different types of phenols were also found in abundance. The analysis shows that the bio-oil obtained is a blend of nitrogenated and oxygenated organic compounds. These findings are in consonance with the reported literature [11]. Saadi et al. [31] performed GC/MS of bio-oil recovered from the pyrolysis of waste PP and observed that oxygenated organic compound formation is favored by traditional pyrolysis. The oil produced by flash pyrolysis was observed to contain several aromatic chemicals, including phenantrene, pyrene, anthracene, fluoranthene, naphthalene, and fluorine.
Figure 8.
GC/MS of oil collected from the decomposition of pomegranate peels (a) without a catalyst; (b) with a catalyst.
Table 1.
Components identified in bio-oil produced from non-catalytic pyrolysis of pomegranate peels.
The chromatogram obtained from the oil produced from the catalyzed reaction is shown in Figure 8b and the components identified are depicted in Table 2. The oil was found to contain compounds in the range of C5–C23. Here the amount of Furfural has increased as compared to the uncatalyzed reaction. In addition, 5-methyl-2-Furancarboxaldehyd, 2,3-dimethyl-cyclohexanol, 2-methoxy-phenol, etc., were detected in abundance. Moreover, the number of compounds in the bio-oil has increased. The results show that the catalyst has not only increased the quantity but also increased the quality of the oil and the findings are in agreement with the results of Zhang et al. [32]. This demonstrates the efficiency of the catalyst and its suitability for the efficient decomposition of PP. Moreover, the results show that the bio-oil is rich in several aromatic compounds and these observations are compatible with Silva et al. [33]. Aysu and Küçük [34] investigated eastern giant fennel stalk pyrolysis from 350 to 600 °C with and without a catalyst. Both catalyst and temperature were found to be the crucial factors affecting the product’s quantity and quality. At 500 °C, a 45.22% maximum oil yield was obtained with a 15% zinc oxide catalyst. Aho et al. [35] studied thermo-catalytic decomposition of woody biomass and noted ketones and phenols in abundance in the bio-oil as compared to the non-catalytic reaction. This shows that our results are compatible with the reported literature.
Table 2.
Components identified in bio-oil produced from catalytic pyrolysis of pomegranate peels.
3.4. Thermogravimetric Analysis and Kinetic Study
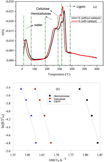
TG analysis of PP was performed with and without sulfonated tea waste catalyst at a temperature program rate of 5 °Cmin−1 as depicted in Figure 9a. The TG/DTG of PP indicates weight loss in four steps between 25 and 600 °C. The first weight loss occurred below 100 °C owing to the evaporation of physically adsorbed water molecules. In the second step, 36% weight loss took place from 185 to 285 °C due to the hemicellulose decomposition, and in the third step cellulose degradation occurred from 285 to 315 °C. In the final step, lignin decomposition occurred from 315 to 385 °C [36]. The decomposition of hemicellulose, cellulose, and lignin in the last three steps is also called active pyrolysis. Moreover, the degradation curve shows variation in the two samples; in presence of a catalyst, the degradation curve for hemicellulose, cellulose, and lignin shifted towards a lower temperature, showing the efficiency of the catalyst in reducing the maximum degradation temperature.

Figure 9.
(a) DTG of pomegranate peels at temperature program rate of 5 °Cmin−1; (b) Kissinger plots obtained from pomegranate peels pyrolysis without a catalyst; (c) with a catalyst.
Moreover, to evaluate the kinetic parameters of the pyrolysis reaction, PP with and without a catalyst was pyrolyzed at temperature program rates of 5, 10, 15, and 20 °C min−1 and kinetic parameters were determined from TG data using the Kissinger method. vs. was plotted (Figure 9b,c) and the values of Ea and frequency factor were calculated from the slope and intercept of the plots (values shown in Table 3). For different stages of biomass, the Ea and A values were calculated for hemicelluloses, cellulose, and lignin and found to be 199, 249, and 299 kJmol−1 and 1.3 × 109, 7.1 × 1013, and 2.9 × 1014 min−1, respectively, for non-catalyzed reaction, whereas for catalytic reaction the Ea and A values for hemicelluloses, cellulose, and lignin pyrolysis reaction were observed to be 122, 163, and 207 kJmol−1 and 1.3 × 108, 1.4 × 109, and 1.5 × 1011 min−1, respectively. These results are in agreement with reported studies.
Table 3.
Ea and A values calculated from the pyrolysis of PP using the Kissinger model.
Garcia et al. [37] investigated the thermo-kinetic study of peanut shells by using three models, i.e., Friedman, Kissinger, and Kissinger–Akahira–Sunose to measure the Ea of the pyrolysis reaction. Using the Kissinger model, the result showed that the Ea values of the pyrolytic breakdown of hemicellulose, cellulose, and lignin were kJmol−1, kJmol−1, and kJmol−1, respectively. Nisar et al. [38] carried out sugarcane bagasse pyrolysis to observe the effect of copper oxide catalysts on oil quality and the values of kinetic parameters. They noted a four-stage weight loss and attributed it to water evaporation and degradation of hemicellulose, cellulose, and lignin. They compared the kinetic parameters for catalyzed and un-catalyzed reactions and found the Ea values to be lower in the case of catalyzed decomposition reactions for all the three components. Furthermore, the catalyst improved the quality of oil in addition to lowering the Ea values.
4. Conclusions
Bio-oil was obtained from PP using the pyrolysis method in an indigenously made furnace in the range of 300–400 °C. Using a sulfonate-derived tea waste-heterogeneous catalyst, the quality of the oil was enhanced successfully. Kinetic parameters were evaluated from TG data using the Kissinger model. To ensure the highest accuracy in the values of Ea and the A factor, pyrolysis of PP was performed at four temperature program rates of 5, 10, 15, and 20 °C min−1 with and without a catalyst. The Ea and A values of hemicellulose, cellulose, and lignin decomposition for non-catalyzed reaction were observed as 199, 249, and 299 kJmol−1 and 1.3 × 109, 7.1 × 1013, and 2.9 × 1014 min−1, respectively, while in case of the loaded tea waste catalyst, the Ea and A values were found low as 122, 163, and 207 kJmol−1 and 1.3 × 108, 1.4 × 109, and 1.5 × 1011 min−1, respectively. From these findings, it can be concluded that tea waste-heterogeneous catalyst has not only lowered the pyrolysis temperature and activation energy of the degradation reaction but also brought a change in oil quality.
Author Contributions
N.U.R., investigation, methodology, writing—original draft. J.N., conceptualization, funding acquisition, resources, project administration. G.A., writing, results, and analysis. A.A., writing—review and editing. A.S. and Z.H.F., writing—review and editing, visualization. F.M., review and editing. All authors have read and agreed to the published version of the manuscript.
Funding
Higher Education Commission, Pakistan, is acknowledged for grant No. 20-1491.
Data Availability Statement
Data is available on request.
Conflicts of Interest
The authors have no conflict of interest to declare that are relevant to the content of this article.
References
- Zhang, Q.; Chang, J.; Wang, T.; Xu, Y. Review of biomass pyrolysis oil properties and upgrading research. Energy Convers. Manag. 2007, 48, 87–92. [Google Scholar] [CrossRef]
- Nisar, J.; Ullah, N.; Awan, I.A.; Iqbal, M.; Khan, T.A. Pyrolysis–gas chromatography of sugar beet bagasse. Waste Biomass Valorization 2016, 7, 79–85. [Google Scholar] [CrossRef]
- Popa, V.I. Biomass for fuels and biomaterials. In Biomass as Renewable Raw Material to Obtain Bioproducts of High-Tech Value; Elsevier: Amsterdam, The Netherlands, 2018; pp. 1–37. [Google Scholar]
- Veses, A.; Aznar, M.; Martínez, I.; Martínez, J.; López, J.; Navarro, M.; Callén, M.; Murillo, R.; García, T. Catalytic pyrolysis of wood biomass in an auger reactor using calcium-based catalysts. Bioresour. Technol. 2014, 162, 250–258. [Google Scholar] [CrossRef]
- Bridgwater, A.V. Review of fast pyrolysis of biomass and product upgrading. Biomass Bioenergy 2012, 38, 68–94. [Google Scholar] [CrossRef]
- Taarning, E.; Osmundsen, C.M.; Yang, X.; Voss, B.; Andersen, S.I.; Christensen, C.H. Zeolite-catalyzed biomass conversion to fuels and chemicals. Energy Environ. Sci. 2011, 4, 793–804. [Google Scholar] [CrossRef]
- Ali, G.; Afraz, M.; Muhammad, F.; Nisar, J.; Shah, A.; Munir, S.; Tasleem Hussain, S. Production of Fuel Range Hydrocarbons from Pyrolysis of Lignin over Zeolite Y, Hydrogen. Energies 2022, 16, 215. [Google Scholar] [CrossRef]
- Bulushev, D.A.; Ross, J.R. Catalysis for conversion of biomass to fuels via pyrolysis and gasification: A review. Catal. Today 2011, 171, 1–13. [Google Scholar] [CrossRef]
- Nisar, J.; Farid, R.; Ali, G.; Muhammad, F.; Shah, A.; Farooqi, Z.H.; Shah, F. Kinetics and fuel properties of the oil obtained from the pyrolysis of polypropylene over cobalt oxide. Clean. Chem. Eng. 2022, 4, 100083. [Google Scholar] [CrossRef]
- Prakash, C.V.S.; Prakash, I. Bioactive chemical constituents from pomegranate (Punica granatum) juice, seed and peel-a review. Int. J. Res. Chem. Environ. 2011, 1, 1–18. [Google Scholar]
- Kar, Y. Pyrolysis of waste pomegranate peels for bio-oil production. Energy Sources Part A Recovery Util. Environ. Eff. 2018, 40, 2812–2821. [Google Scholar] [CrossRef]
- Ayas, N.; Esen, T. Hydrogen production from tea waste. Int. J. Hydrogen Energy 2016, 41, 8067–8072. [Google Scholar] [CrossRef]
- Fadhil, A.B.; Dheyab, M.M.; Abdul-Qader, A.-Q.Y. Purification of biodiesel using activated carbons produced from spent tea waste. J. Assoc. Arab Univ. Basic Appl. Sci. 2012, 11, 45–49. [Google Scholar] [CrossRef]
- Malakahmad, A.; Tan, S.; Yavari, S. Valorization of wasted black tea as a low-cost adsorbent for nickel and zinc removal from aqueous solution. J. Chem. 2016, 2016, 5680983. [Google Scholar] [CrossRef]
- Nisar, J.; Rahman, A.; Ali, G.; Shah, A.; Farooqi, Z.H.; Bhatti, I.A.; Iqbal, M.; Ur Rehman, N. Pyrolysis of almond shells waste: Effect of zinc oxide on kinetics and product distribution. Biomass Convers. Biorefinery 2022, 12, 2583–2595. [Google Scholar] [CrossRef]
- Blaine, R.L.; Kissinger, H.E. Homer Kissinger and the Kissinger equation. Thermochim. Acta 2012, 540, 1–6. [Google Scholar] [CrossRef]
- Rashid, U.; Ahmad, J.; Ibrahim, M.L.; Nisar, J.; Hanif, M.A.; Shean, T.Y.C. Single-Pot Synthesis of Biodiesel using Efficient Sulfonated-Derived Tea Waste-Heterogeneous Catalyst. Materials 2019, 12, 2293. [Google Scholar] [CrossRef]
- Yu, J.T.; Dehkhoda, A.M.; Ellis, N. Development of biochar-based catalyst for transesterification of canola oil. Energy Fuels 2011, 25, 337–344. [Google Scholar] [CrossRef]
- Konwar, L.J.; Das, R.; Thakur, A.J.; Salminen, E.; Mäki-Arvela, P.; Kumar, N.; Mikkola, J.-P.; Deka, D. Biodiesel production from acid oils using sulfonated carbon catalyst derived from oil-cake waste. J. Mol. Catal. A Chem. 2014, 388, 167–176. [Google Scholar] [CrossRef]
- Doroodmand, M.; Sobhani, S.; Ashoori, A. Sulfonated multiwalled carbon nanotubes (MWCNTs) as a new, efficient, and recyclable heterogeneous nanocatalyst for the synthesis of amines. Can. J. Chem. 2012, 90, 701–707. [Google Scholar] [CrossRef]
- Ahsan, M.A.; Katla, S.K.; Islam, M.T.; Hernandez-Viezcas, J.A.; Martinez, L.M.; Díaz-Moreno, C.A.; Lopez, J.; Singamaneni, S.R.; Banuelos, J.; Gardea-Torresdey, J. Adsorptive removal of methylene blue, tetracycline and Cr (VI) from water using sulfonated tea waste. Environ. Technol. Innov. 2018, 11, 23–40. [Google Scholar] [CrossRef]
- Lokman, I.M.; Rashid, U.; Taufiq-Yap, Y.H.; Yunus, R. Methyl ester production from palm fatty acid distillate using sulfonated glucose-derived acid catalyst. Renew. Energy 2015, 81, 347–354. [Google Scholar] [CrossRef]
- Ahmad, M.A.; Puad, N.A.A.; Bello, O.S. Kinetic, equilibrium and thermodynamic studies of synthetic dye removal using pomegranate peel activated carbon prepared by microwave-induced KOH activation. Water Resour. Ind. 2014, 6, 18–35. [Google Scholar] [CrossRef]
- Asadieraghi, M.; Daud, W.M.A.W. Characterization of lignocellulosic biomass thermal degradation and physiochemical structure: Effects of demineralization by diverse acid solutions. Energy Convers. Manag. 2014, 82, 71–82. [Google Scholar] [CrossRef]
- Nisar, J.; Ali, F.; Malana, M.A.; Ali, G.; Iqbal, M.; Shah, A.; Bhatti, I.A.; Khan, T.A.; Rashid, U. Kinetics of the pyrolysis of cobalt-impregnated sesame stalk biomass. Biomass Convers. Biorefinery 2020, 10, 1179–1187. [Google Scholar] [CrossRef]
- El-Azazy, M.; Kalla, R.N.; Issa, A.A.; Al-Sulaiti, M.; El-Shafie, A.S.; Shomar, B.; Al-Saad, K. Pomegranate peels as versatile adsorbents for water purification: Application of Box–Behnken design as a methodological optimization approach. Environ. Prog. Sustain. Energy 2019, 38, 13223. [Google Scholar] [CrossRef]
- Hong, T.; Wang, S.-r. Experimental study of the effect of acid-washing pretreatment on biomass pyrolysis. J. Fuel Chem. Technol. 2009, 37, 668–672. [Google Scholar]
- Pütün, E.; Uzun, B.B.; Pütün, A.E. Production of bio-fuels from cottonseed cake by catalytic pyrolysis under steam atmosphere. Biomass Bioenergy 2006, 30, 592–598. [Google Scholar] [CrossRef]
- Nisar, J.; Waris, S.; Shah, A.; Anwar, F.; Ali, G.; Ahmad, A.; Muhammad, F. Production of Bio-Oil from De-Oiled Karanja (Pongamia pinnata L.) Seed Press Cake Via Pyrolysis: Kinetics and Evaluation of Anthill as the Catalyst. Sustain. Chem. 2022, 3, 345–359. [Google Scholar] [CrossRef]
- Nisar, J.; Ahmad, A.; Ali, G.; Rehman, N.U.; Shah, A.; Shah, I. Enhanced Bio-Oil Yield from Thermal Decomposition of Peanut Shells Using Termite Hill as the Catalyst. Energies 2022, 15, 1891. [Google Scholar] [CrossRef]
- Saadi, W.; Rodríguez-Sánchez, S.; Ruiz, B.; Souissi-Najar, S.; Ouederni, A.; Fuente, E. Pyrolysis technologies for pomegranate (Punica granatum L.) peel wastes. Prospects in the bioenergy sector. Renew. Energy 2019, 136, 373–382. [Google Scholar] [CrossRef]
- Zhang, B.; Zhong, Z.; Min, M.; Ding, K.; Xie, Q.; Ruan, R. Catalytic fast co-pyrolysis of biomass and food waste to produce aromatics: Analytical Py–GC/MS study. Bioresour. Technol. 2015, 189, 30–35. [Google Scholar] [CrossRef]
- Silva, R.; Romeiro, G.; Veloso, M.; Figueiredo, M.-K.; Pinto, P.; Ferreira, A.; Gonçalves, M.; Teixeira, A.; Damasceno, R. Fractions composition study of the pyrolysis oil obtained from sewage sludge treatment plant. Bioresour. Technol. 2012, 103, 459–465. [Google Scholar] [CrossRef]
- Aysu, T.; Küçük, M.M. Biomass pyrolysis in a fixed-bed reactor: Effects of pyrolysis parameters on product yields and characterization of products. Energy 2014, 64, 1002–1025. [Google Scholar] [CrossRef]
- Aho, A.; Kumar, N.; Eränen, K.; Salmi, T.; Hupa, M.; Murzin, D.Y. Catalytic pyrolysis of woody biomass in a fluidized bed reactor: Influence of the zeolite structure. Fuel 2008, 87, 2493–2501. [Google Scholar] [CrossRef]
- Hernandez-Mena, L.E.; Pécoraa, A.; Beraldob, A.L. Slow pyrolysis of bamboo biomass: Analysis of biochar properties. Chem. Eng. 2014, 37, 115–120. [Google Scholar]
- Torres-García, E.; Ramírez-Verduzco, L.; Aburto, J. Pyrolytic degradation of peanut shell: Activation energy dependence on the conversion. Waste Manag. 2020, 106, 203–212. [Google Scholar] [CrossRef]
- Nisar, J.; Nasir, U.; Ali, G.; Shah, A.; Farooqi, Z.H.; Iqbal, M.; Shah, M.R. Kinetics of pyrolysis of sugarcane bagasse: Effect of catalyst on activation energy and yield of pyrolysis products. Cellulose 2021, 28, 7593–7607. [Google Scholar] [CrossRef]
Disclaimer/Publisher’s Note: The statements, opinions and data contained in all publications are solely those of the individual author(s) and contributor(s) and not of MDPI and/or the editor(s). MDPI and/or the editor(s) disclaim responsibility for any injury to people or property resulting from any ideas, methods, instructions or products referred to in the content. |
© 2023 by the authors. Licensee MDPI, Basel, Switzerland. This article is an open access article distributed under the terms and conditions of the Creative Commons Attribution (CC BY) license (https://creativecommons.org/licenses/by/4.0/).











