Next Article in Journal
Estimating the Dominant Life Phase Concerning the Effects of Battery Degradation on CO2 Emissions by Repetitive Cycle Applications: Case Study of an Industrial Battery System Installed in an Electric Bus
Next Article in Special Issue
PROCSIM: An Open-Source Simulator to Generate Energy Community Power Demand and Generation Scenarios
Previous Article in Journal
Net-Zero Climate Emissions Districts: Potentials and Constraints for Social Housing in Milan
Previous Article in Special Issue
State of the Art Monte Carlo Method Applied to Power System Analysis with Distributed Generation
 
 
Font Type:
Arial Georgia Verdana
Font Size:
Aa Aa Aa
Line Spacing:
Column Width:
Background:
Article

Economic Analysis of a Hydrogen Power Plant in the Portuguese Electricity Market

by
Luís Manuel Rodrigues
1,2,
Tiago Soares
1,*,
Igor Rezende
1,2,
João Paulo Fontoura
1,2 and
Vladimiro Miranda
1,2
1
Institute for Systems and Computer Engineering, Technology and Science (INESC TEC), 4200-465 Porto, Portugal
2
Faculty of Engineering, University of Porto, 4200-465 Porto, Portugal
*
Author to whom correspondence should be addressed.
Energies 2023, 16(3), 1506; https://doi.org/10.3390/en16031506
Submission received: 4 January 2023 / Revised: 27 January 2023 / Accepted: 31 January 2023 / Published: 3 February 2023

Abstract

:
Hydrogen is regarded as a flexible energy carrier with multiple applications across several sectors. For instance, it can be used in industrial processes, transports, heating, and electrical power generation. Green hydrogen, produced from renewable sources, can have a crucial role in the pathway towards global decarbonization. However, the success of green hydrogen production ultimately depends on its economic sustainability. In this context, this work evaluates the economic performance of a hydrogen power plant participating in the electricity market and supplying multiple hydrogen consumers. The analysis includes technical and economical details of the main components of the hydrogen power plant. Its operation is simulated using six different scenarios, which admit the production of either grey or green hydrogen. The scenarios used for the analysis include data from the Iberian electricity market for the Portuguese hub. An important conclusion is that the combination of multiple services in a hydrogen power plant has a positive effect on its economic performance. However, as of today, consumers who would wish to acquire green hydrogen would have to be willing to pay higher prices to compensate for the shorter periods of operation of hydrogen power plants and for their intrinsic losses. Nonetheless, an increase in green hydrogen demand based on a greater environmental awareness can lead to the need to not only build more of these facilities, but also to integrate more services into them. This could promote the investment in hydrogen-related technologies and result in changes in capital and operating costs of key components of these plants, which are necessary to bring down production costs.

1. Introduction

1.1. Motivation and Background

The production and consumption of green hydrogen ( H 2 ) are expected to contribute to the decarbonization of multiple sectors and, as such, it is part of the European Commission’s pathway to a more sustainable and self-reliant Europe [1].
Portugal, as a member state of the European Union, presented its National Strategy for Hydrogen (EN- H 2 ) in 2020, which intends to promote the gradual introduction of H 2 in multiple sectors of the economy and is regarded as a strategic opportunity for the country to diversify and increase its security of energy supply [2]. Among the goals set in EN- H 2 through 2030 is the creation of 50 to 100 hydrogen refueling stations (HRS) in the national territory, reaching 2 GW to 2.5 GW of installed capacity in electrolysers and achieving an admixture of 10% to 15% of H 2 to natural gas (NG) in the NG network by volume [3]. This H 2 roadmap is in line with pursued environmental goals and decarbonization strategy, which also assumes the decommissioning of several thermal power plants in Portugal and Spain [4].
Currently, one of the main challenges faced by green hydrogen is its high production cost, making it noncompetitive with H 2 produced from fossil fuels, commercialized at around 1.5 EUR/kg, even if highly dependent on the price of NG. At the same time, the costs of grey H 2 with carbon capture and storage (CCS), less polluting, are around 2 EUR/kg [1]. However, due to technological development and a continuous decrease in the cost of renewable energy sources (RES), the price of green H 2 is expected to keep dropping and reach cost parity with grey H 2 within the next decade [5].
In this context, the penetration of hydrogen power plants ( H 2 PP) in the energy system capable of producing green hydrogen is expected to grow in the coming years [6]. They may be able to participate in multi-energy services, for instance, in selling green H 2 to different industries and customers. In addition, they might be able to participate in the energy and ancillary services markets, when required by the network operator or profitable. Therefore, techno and economic analysis for the strategic participation of H 2 PP in the electricity market must be pursued.

1.2. Literature Review

Numerous studies and initiatives are being conducted to assess the technical and economic viability of hydrogen-based solutions.
The authors in [7] studied the cost of H 2 production and its impact on the Iberian electricity market (MIBEL). Different scenarios, based on the Portuguese and Spanish energy and climate plans, were assessed. The CEVESA simulator was used, analysing pessimistic and optimistic scenarios under the MIBEL. It was concluded that H 2 production can contribute to reducing spillages by raising demand in periods of higher non-dispatchable generation.
Alternatively, the authors in [8] performed multiple Monte Carlo simulations to estimate the costs of producing green H 2 in Poland as part of the Polish Hydrogen Strategy. Using large-scale H 2 production systems powered by onshore wind turbines and solar photovoltaic (PV) panels, current production costs were estimated to be between 6.37 EUR/kg and 13.48 EUR/kg. H 2 production costs for the next 30 years were also projected, resulting in estimated costs for 2030 between 2.33 EUR/kg and 4.30 EUR/kg, and between 1.23 EUR/kg and 2.03 EUR/kg for 2050.
In Mexico, the viability of a power-to-gas-to-power solution in a rural microgrid to replace diesel generators was examined [9]. The system was modelled using the Homer software, aiming to analyse the hydrogen storage strategy on a seasonal basis. More precisely, the strategy was to produce H 2 through an electrolyser from excess distributed energy resources (DER) during winter months, supplying it back to the grid via a fuel cell when the demand grows in summer. For the economic sensitivity analysis, multiple capital expenditure (CAPEX) and operational expenditure (OPEX) values were considered for the electrolyser, storage tank, and fuel cell. However, the use of H 2 for end uses other than electricity generation was not considered.
In Slovenia, the possibility of producing green H 2 in a hydropower station was studied, comparing its price with that of other sources of H 2 production [10], adding the possibility for the H 2 PP to provide ancillary services, which leads to a higher profit. In addition, the competitiveness of green hydrogen within different sectors (industry, heat generation, transport, and mobility) was also analysed.
The authors in [11] focused on the assessment of an H 2 PP with multiple clients. The electrolyser was powered by a wind farm and/or a PV power plant, supplying a stationary fuel cell, an HRS for fuel cell electric vehicles (FCEV), a biological hydrogen methanation (BHM) process, and the injection in the natural gas grid. It was assumed that the owner of the HRS oversees the H 2 compression system needed to supply the station and, as such, it was not included in the analysis. The influence of the energy source (a wind farm or PV plant) was examined, and it was concluded that the replacement of the wind farm by the PV plant leads to a reduction in H 2 production and a reduction in the H 2 surplus. Moreover, the economic feasibility was analysed through the levelized cost of hydrogen (LCOH). Before the inclusion of the BHM process, an LCOH lower than 7 EUR/kg was accomplished, and, with the introduction of the BHM, the LCOH was reduced to 5 EUR/kg. Subsequently, the LCOH was assessed in [12] for a decentralized HRS, used by forklifts, with on-site production. A sensitivity analysis of several aspects, such as electricity costs, investment expenses, and electrolyser’s stack replacement costs, was conducted. The main results pointed out that an LCOH of 10.3 EUR/kg can be accomplished over a 20 year lifetime. It was added that, if capital costs were reduced by 80%, the LCOH would drop to 6.7 EUR/kg.
A techno-economic analysis of green H 2 production across multiple Italian regions was performed in [13]. The electrolysers were powered by electricity bought from the grid or by RES (wind, solar, and geothermal) through a power purchase agreement (PPA), with a price ranging from 50 EUR/MWh to 100 EUR/MWh. The produced H 2 was used in the mobility sector or injected into the natural gas grid. It was concluded that, depending on electricity prices, the LCOH would range from 6.90 EUR/kg to 9.85 EUR/kg.
In northern Denmark, there is an H 2 PP project that exploits wind power surpluses to produce H 2 and balance grid demand [14]. The produced H 2 is supplied to a nearby industrial complex by pipeline or, alternatively, it is delivered by tube trailers to other industries and for clean transportation.
Finally, in [15], a multi-state model for electrolysers was presented that considers three states of operation (production, hot standby, and idle) instead of just two (production and idle). The produced H 2 supplies an HRS, which includes a compression stage and a dispenser. The multi-state model was tested with data from an existing installation, being compared with the two states model. The assessed scenarios considered different H 2 demands, multiple H 2 prices, different wholesale market electricity prices, and distinct efficiencies for the electrolyser. The results show that the multi-state model leads to a reduction in H 2 production costs.
One of the common conclusions derived from these studies is that a reduction in the components’ cost is still necessary for these plants to be competitive [12]. Table 1 presents an overview and comparison of the main characteristics and services provided by different H 2 PP studies in the literature. It is noteworthy that most studies focus on providing a single service for the H 2 produced, which significantly constrains the flexibility of this energy vector in multi-energy systems.

1.3. Main Contributions

The present work studies the economic feasibility of a megawatt-scale H 2 PP participating in the MIBEL and supplying different H 2 customers, combining the main services described in the literature review. To the best of our knowledge, the present work is one of the most complete works regarding the multi-service criteria for the operation of an H 2 PP. To provide meaningful analysis, the economic operation of the H 2 PP is simulated across multiple scenarios, considering the actual and futuristic (green) generation conditions of the power system. Furthermore, factors such as maintenance and operating costs, depreciation rate, and corporate taxes are included in the calculation of the financial indicators used. It was also assumed that the construction of the facility is financed by a loan with a certain interest rate. The main contributions of this paper are threefold:
  • Propose a mathematical energy model for an H 2 PP, including all the main components;
  • Simulate the participation of an H 2 PP in the Iberian electricity market—Portuguese pole—under different scenarios while selling H 2 to multiple customers;
  • Analyse the economic viability of an investment in an H 2 PP and the achieved H 2 prices in different scenarios.

1.4. Paper Organization

In addition to this introductory section, the paper is structured as follows. The H 2 PP framework for multi-service provision is presented in Section 2, and its operating model is mathematically formulated in Section 3. Constraints related to customer demand are also included in the model. Next, in Section 4, the main technical characteristics of the plant are described, the customers are detailed, the simulation scenarios are presented, and the economic analysis for each case is performed. Finally, Section 5 assembles the main conclusions drawn from this work.

2. Hydrogen Power Plant Framework

2.1. Design of a Hydrogen Power Plant

Typically, an H 2 PP is composed of several components, such as: (i) the electrolyser to extract H 2 from water, (ii) storage tanks to store the produced hydrogen, and (iii) stationary fuel cells to generate electricity from H 2 . In addition to being used to produce electricity, hydrogen has other uses. For instance, it can be (i) mixed and burned with natural gas to decrease C O 2 emissions, (ii) consumed by vehicles ( H 2 cars, buses, forklifts, etc.), or (iii) used in industrial processes [16].
In this perspective, the H 2 PP envisioned for this study is equipped with an electrolyser, a storage tank, a fuel cell, and two different compressors, needed to supply specific customers, as depicted in Figure 1.
The expected customers are a nearby facility using a combined heat and power (CHP) microturbine fed with a mix of H 2 and natural gas, an HRS used by a forklift fleet, and a tube trailer that transports hydrogen to a customer farther away. The H 2 to be supplied to the forklift fleet and to the tube trailer is compressed using the two available compressors.

2.2. Operation and Management Modelling

The operation and management of the H 2 PP consist of a day-ahead dispatch for assessing when the H 2 PP is producing, storing, and selling H 2 to the different customers, according to the prices they are willing to pay for the different services. In this scope, the proposed H 2 PP operation and management model, as well as the economic analysis, consists of three main steps, represented in Figure 2.
First, it starts by gathering the prices of the energy market and information related to renewable and non-renewable generation for each hour of the day, while the technical details of the H 2 PP and the H 2 demand of its customers are also specified. Next, in the second step, the day-ahead optimization problem is solved, yielding the results regarding the energy consumed, stored, and produced by the H 2 PP, the amount of H 2 sold to the customers, and the expected revenue for each day. In this step, the goal is to maximize the profit of the H 2 PP, as described in Section 3. Finally, in the last step, the economic analysis is performed for the expected lifetime of the H 2 PP, with several financial metrics being computed. An economic analysis is performed to assess the economic viability of the H 2 PP.

3. Mathematical Formulation

The optimization model proposed aims to emulate the strategic operation of an H 2 PP considering its participation in multi-services on a day-ahead basis. The problem aims to maximize the profit of the H 2 PP operator under strategic participation in different services.
The H 2 PP operation problem is modelled as a mixed-integer linear programming optimization problem. Objective function (1) includes:
m a x . f = t = 1 T [ P ( t ) E L E C · π e ( t ) B + P ( t ) F C · π e ( t ) S + m H 2 ( t ) C H P · π H 2 C H P + m H 2 ( t ) F L · π H 2 F L + m H 2 ( t ) T R S P · π H 2 T R S P P ( t ) F L C P · π e ( t ) B P ( t ) T R S P C P · π e ( t ) B ] m H 2 ( 24 ) + · π H 2 + + m H 2 ( 24 ) · π H 2
where, for each interval t T , P ( t ) E L E C is the electricity consumed by the electrolyser and π e ( t ) B is the price at which the H 2 PP buys electricity from the market, P ( t ) F C is the electricity produced by the fuel cell and π e ( t ) S is the price at which it sells electricity to the market, m H 2 ( t ) C H P is the mass of H 2 consumed by the CHP and π H 2 C H P is the price it pays per unit of H 2 to the H 2 PP operator. In addition, m H 2 ( t ) F L is the mass of H 2 sold to the forklift fleet and π H 2 F L is the price the fleet pays per unit of H 2 ; m H 2 ( t ) T R S P is the mass of H 2 loaded into the tube trailer in each period and π H 2 T R S P is the price the trailer operator pays per unit of H 2 ; P ( t ) F L C P is the electricity consumed by the forklift fleet compressor and P ( t ) F L T R S P is the electricity consumed by the trailer compressor; m H 2 ( 24 ) + is the amount of H 2 in the tank above a pre-determined set point at the last interval and π H 2 + is the penalty factor for being above the set point; and + m H 2 ( 24 ) is the amount of H 2 in the tank below the same set point at the last interval and π H 2 is the penalty factor by being below it.
The H 2 produced by the electrolyser in each period [17], in kilograms, is given by (2):
m H 2 ( t ) E L E C = P ( t ) E L E C · η E L E C H H V H 2
where P ( t ) E L E C is the electricity it consumes, η E L E C is its efficiency, and H H V H 2 is the higher heating value (HHV) of H 2 (39.4 kWh/kg [18]). The electrolyser has to operate between a minimum and maximum power, defined by:
P ( t ) E L E C P m i n E L E C · B ( t ) E L E C
P ( t ) E L E C P m a x E L E C · B ( t ) E L E C
where P m i n E L E C and P m a x E L E C are the minimum and maximum power and B ( t ) E L E C is a binary variable that indicates whether it is turned on or off (on: B ( t ) E L E C =1, off: B ( t ) E L E C =0).
The H 2 consumed by the fuel cell, in kilograms, is given by [17]:
m H 2 ( t ) F C = P ( t ) F C η F C · H H V H 2
where η F C is the fuel cell efficiency. Similarly to the electrolyser, the fuel cell also has to operate between a minimum and maximum power:
P ( t ) F C P m i n F C · B ( t ) F C
P ( t ) F C P m a x F C · B ( t ) F C
where P m i n F C and P m a x F C are the minimum and maximum power and B ( t ) F C is a binary variable that indicates whether the device is turned on or off. Equation (8) ensures the electrolyser and fuel cell are not turned on simultaneously:
B ( t ) E L E C + B ( t ) F C 1
Regarding the customers of the H 2 PP, for each period, the CHP microturbine has a certain maximum H 2 demand, meaning it can be supplied with a H 2 mass between 0 and an upper limit:
0 m H 2 ( t ) C H P m H 2 r e q ( t ) C H P
where m H 2 r e q ( t ) C H P is the maximum H 2 required by the CHP. Likewise, the forklift fleet also has a certain maximum H 2 demand for each period t:
0 m H 2 ( t ) F L m H 2 r e q ( t ) F L
where m H 2 r e q ( t ) F L is the maximum H 2 required by the fleet.
Regarding the corresponding compressor, (11) specifies the amount of energy consumed by the device in each interval, and (12) restricts the gas flow rate:
P ( t ) F L C P = P F L C P · m H 2 ( t ) F L
0 m H 2 ( t ) F L m H 2 m a x F L C P
where P F L C P is the energy consumed by this compressor for each unit of mass of H 2 and m H 2 m a x F L C P is its maximum compression rate.
The process of supplying H 2 to the tube trailer follows additional constraints. This happens because this trailer must either be completely filled or not filled at all. In addition, the filling procedure must take place in consecutive hours. Equation (13) is the trailer’s balance equation, which ensures whether the trailer is filled up to its maximum capacity.
t = 1 T m H 2 ( t ) T R S P · B ( t ) T R S P = m H 2 T T · B T T
where B ( t ) T R S P is a binary variable indicating whether H 2 is loaded to the tube trailer in that period or not, m H 2 T T is the total capacity of the trailer, and B T T is a binary variable indicating whether it is to be completely refilled or not at all.
Equation (14) ensures the trailer refilling process does not exceed the acceptable time.
t = 1 T B ( t ) T R S P T R f l
where T R f l is the acceptable refilling time. Equations (15) and (16), adapted from [19], assure the refilling process is done across consecutive periods.
n = t k + T R f l 1 B ( n ) T R S P T R f l B ( t ) T R S P B ( t 1 ) T R S P , t = 1 · · · T T R f l + 1
n = t T B ( n ) T R S P B ( t ) T R S P B ( t 1 ) T R S P 0 , t = T T R f l + 2 · · · T
Again, the compressor is modelled by two expressions given by
P ( t ) T R S P C P = P T R S P C P · m H 2 ( t ) T R S P
0 m H 2 ( t ) T R S P m H 2 m a x T R S P C P
where P T R S P C P is the energy consumed by this compressor for each unit of mass of H 2 and m H 2 m a x T R S P C P is its maximum compression rate.
For each period of time, the H 2 mass inside the H 2 PP storage tank is given by
m H 2 ( t ) T a n k = m H 2 ( t 1 ) T a n k + m H 2 ( t ) E L E C m H 2 ( t ) F C m H 2 ( t ) C H P m H 2 ( t ) F L m H 2 ( t ) T R S P
where m H 2 ( t ) T a n k is the H 2 mass in the tank at the end of the interval t and m H 2 ( t 1 ) T a n k is the mass in the tank at the end of the previous interval.
In order to avoid an irrational depletion of the stored H 2 at the last period of each day (t = 24), another constraint is added:
m H 2 ( 24 ) T a n k m H 2 S P T a n k = m H 2 ( 24 ) + m H 2 ( 24 )
where m H 2 S P T a n k is a predefined H 2 set point and m H 2 ( 24 ) + and + m H 2 ( 24 ) are non-negative variables that represent, respectively, the amount of H 2 in the tank above and below that set point. The penalty factors π H 2 + and π H 2 noted in (1) are calculated according to
π H 2 + = π H 2 = π e ( t ) B t d ¯ π e ( t ) B t m w ¯
where π e ( t ) B t d ¯ is the average of π e ( t ) B on that day and π e ( t ) B t m w ¯ is the expected average of π e ( t ) B for the next day. Hence, the penalty factors are defined as the difference between today’s and tomorrow’s price of the electricity consumed by the electrolyser. Combined with these factors, constraint (20) acts upon the optimization process, ensuring the tank is either above the set point if the price of the electricity will rise the next day or below the set point if the price of electricity will drop. Note that the daily revenue is determined post-optimization using the objective function without penalties.

4. Case Study

This section presents a case study illustrating the application of the developed model for the multi-service participation of an H 2 PP. The simulations were carried out with the programming environment MATLAB [20] and with the mathematical modelling system GAMS [21]. MATLAB was used as an interface for handling data with GAMS, while GAMS performed and solved the mixed integer non-linear programming model using the DICOPT (DIscrete and Continuous OPTimizer) solver [22].

4.1. Case Characterization

The H 2 PP has a 1.5 MW electrolyser, a 65 m3 tank, a 240 kW fuel cell, and two compressors. Their main technical and economic details are provided in Table 2 and Table 3, respectively.
This H 2 PP is expected to be built over 2 years [29] and operate for 20 years, as in [11]. In addition, it is assumed that 80% of the initial necessary capital is borrowed. Investment details used in the economic analysis are provided in Table 4.
Because the project has a time horizon of 22 years, a payback period of 13 years is expected in the economic analysis, a value that is cited in other works involving hydrogen production and RES [30,31].
Table 4. Parameters used in the economic analysis.
Table 4. Parameters used in the economic analysis.
ParameterValue
Project lifetime22 years
Plant lifetime20 years
Construction time2 years [29]
Inflation2% [32]
Depreciation rate5% [29]
Discount rate10% [33]
Corporate income tax21% [34]
Own capital20%
Borrowed capital80%
Interest rate2% [35]
Regarding the different services/customers that the H 2 PP can provide, the following are detailed. The first H 2 customer has a 600 kW CHP microturbine, based on the one presented in [36]. This equipment, usually powered by natural gas, can operate on an H 2 /NG mix, with a total H 2 volume of up to 10%. Its load curve (based on [37]) and maximum H 2 and natural gas demand are given in Table 5.
The second H 2 customer owns a fleet of hydrogen-powered forklifts that operates in a large logistics centre. The H 2 is supplied to their refueling station using a pipeline and a 30/500 bar compressor. In this case, their maximum H 2 demand is 5 kg/h (120 kg/day), enough to power around 120 of these vehicles for a full working day [23].
Finally, the third H 2 customer is a distribution company, responsible for shipping fuel between producers and end users. Among other vehicles, this company operates a hydrogen tube trailer. It is assumed that the customer intends to buy 300 kg of H 2 each day to fill a 200 bar tube trailer, to be loaded in 6 h [38], meaning the compressor must have a flow rate of at least 50 kg/h.
The price at which H 2 is sold to these customers shall cover, at least, energy expenses related to production and compression. In this way, the minimum prices for each customer are given by
π H 2 m i n C H P = π e B ¯ η E L E C · H H V H 2
π H 2 m i n F L = π e B ¯ η E L E C · H H V H 2 + π e B ¯ · P F L C P
π H 2 m i n T R S P = π e B ¯ η E L E C · H H V H 2 + π e B ¯ · P T R S P C P
where π e B ¯ is the average price of electricity. However, to cover other expenses (cost of equipment, maintenance, depreciation, loan interest, etc.) and make the plant profitable, the prices obtained using (22)–(24) must be further increased, as shown below.
In this analysis, in each period, the fuel cell is set to sell energy to the grid at a price equal to MIBEL’s price for the same hour, meaning that π e ( t ) S = π e ( t ) B .
For the economic analysis, the operation of the H 2 PP is simulated using six different scenarios: Grey17–20, Green17–20, PPA17–20, Grey21, Green21, and PPA21. When the designation Grey is used, it is accepted to have the production of grey H 2 . In the Green scenarios, the electrolyser can only be turned on when no fossil-fuel power plants are producing energy in the Portuguese system. Furthermore, for these scenarios, the H 2 PP buys electricity from the Iberian energy market (MIBEL), paying the corresponding hourly market clearing price. Note that it is assumed that the H 2 PP follows a price-taker behaviour. The PPA scenarios assume the H 2 power plant obtains its energy from a large wind farm, with which it signed a long-term PPA for a price of 86 EUR/MWh. As only wind energy is used, exclusively green H 2 is produced.
The scenarios are also split in accordance with time spans. When the suffix 17–20 is used, the operation of the H 2 PP is simulated in the years between 2017 and 2020. The result of those 4 years is then combined, creating an “average year” to be replicated 20 times, covering the plant’s lifetime.
Conversely, when the suffix 21 is used, the operation of the power plant is simulated for the year 2021, using the corresponding data regarding energy prices and usage of renewable and non-renewable sources (needed for the Green scenarios). To cover the project’s lifetime this year is, as before, replicated twenty times.
There are two main reasons to separate the year 2021 from the others. First, due to the ongoing global energy crisis, the price of electricity in the MIBEL suffered a significant increase [39]. And second, with the decommissioning of a large coal-fired power plant in January 2021 in Portugal [40], the number of hours available to generate green H 2 has significantly increased in the Portuguese power system.

4.2. Results

The described scenarios were simulated, and an economic analysis was carried out for each one. The required prices to reach a payback period of 13 years are shown in Table 6.
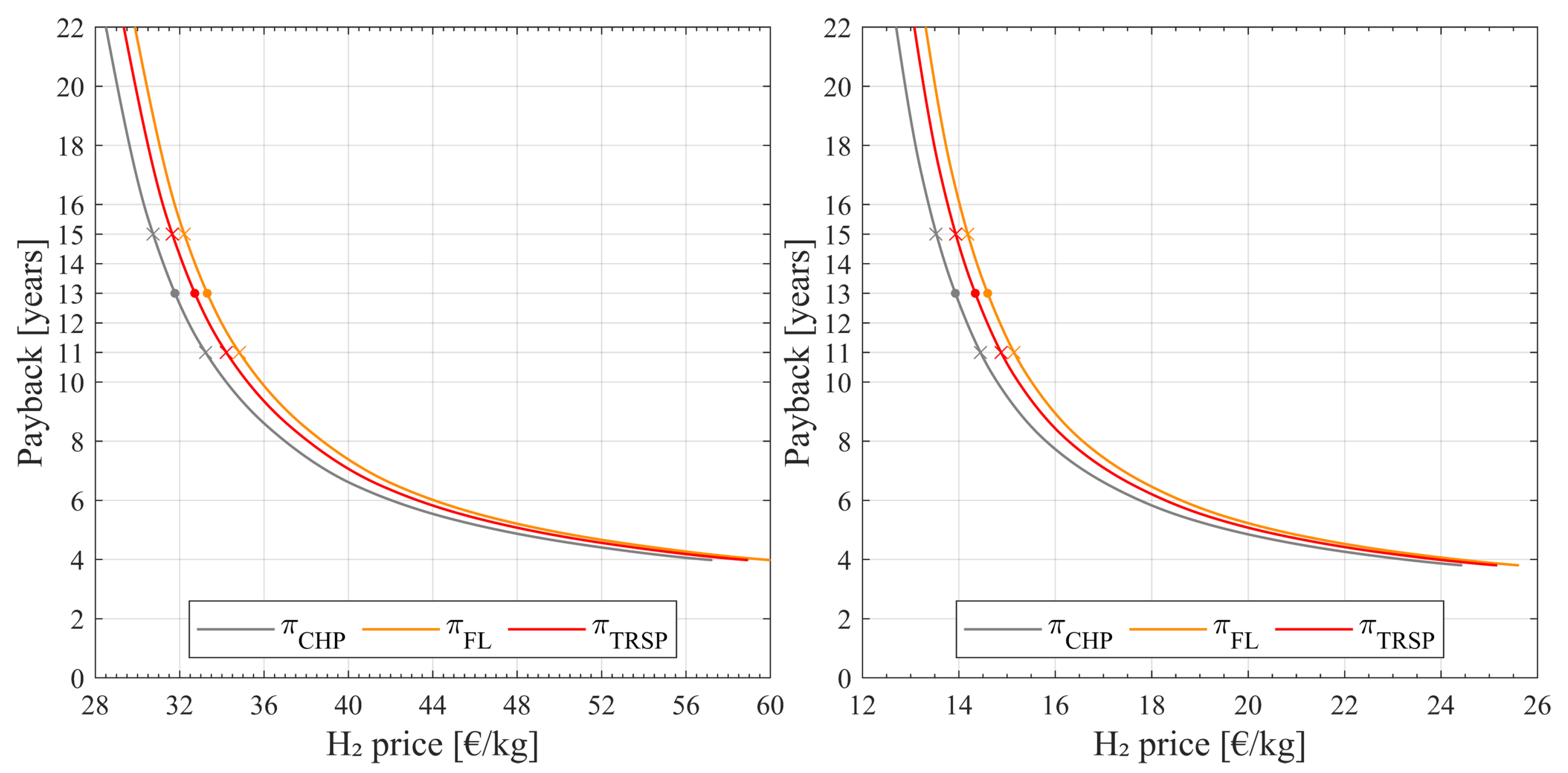
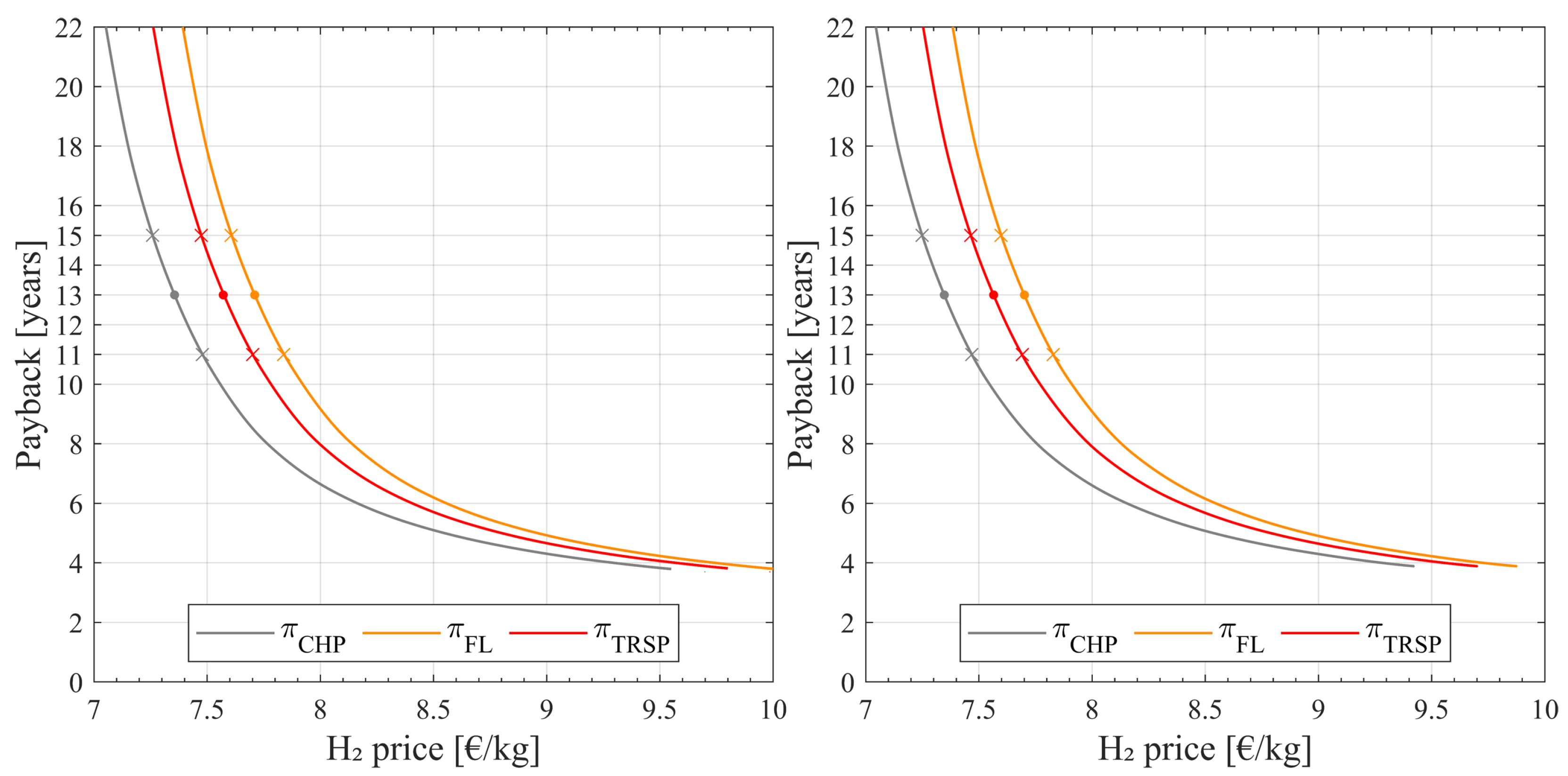
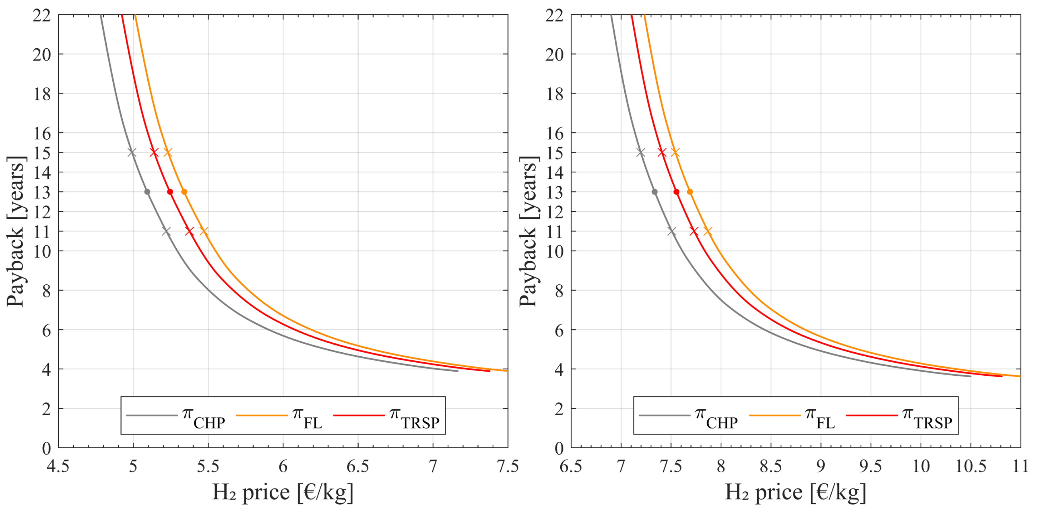
Regarding the 17–20 scenarios, the most favourable is Grey17–20, with prices around 5.0 to 5.4 EUR/kg. This result was expected because, in this situation, energy costs are low (when compared to 2021), and the electrolyser is not just limited to hours of RES generation. However, in Green17–20, hydrogen prices are substantially higher, surpassing 30 EUR/kg, as the hours available for the plant to produce H 2 are quite limited. In PPA17–20, the prices are closer to those of Grey17–20, between 7 and 8 EUR/kg.
For the 2021 scenarios, as before, production of grey H 2 leads to lower prices in Grey21, between 7 and 8 EUR/kg, but higher than those of Grey17–20 due to the rise in electricity costs. In contrast, the RES scenario experienced a positive evolution due to the decrease in non-renewable sources, with Green21 presenting prices in the range of 13–15 EUR/kg. In the PPA scenario, production is not affected by energy costs, meaning that prices do not face major changes, remaining between 7 and 8 EUR/kg.
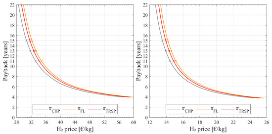
The variation of the payback period with the price of H 2 for each client, across these six different settings, is presented in Figure 3, Figure 4 and Figure 5. It can be seen how, in all the given scenarios, as the prices increase, the payback period drops at a decreasing rate.
To complement the price analysis, the possibility of a more uncertain payback period is considered, varying between 11 and 15 years, that is, 13 ± 2 years. A situation such as this could arise from uncertain factors, such as sudden changes in a hypothetical hydrogen market, which would lead to a need to adjust H 2 prices to ensure this H 2 PP remains competitive. The prices leading to a payback of 11 and 15 years are marked in Figure 3, Figure 4 and Figure 5 and listed in Table 7.
For the prices leading to a payback of 13 years, a set of economic metrics used to assess the performance of the investment were computed, namely: net present value (NPV), internal return rate (IRR), and levelised cost of hydrogen (LCOH). The LCOH is calculated following Equation (25), in EUR/kg [17]. It results from adding all energy expenses, capital expenses, and operational expenses, and dividing by the amount of H 2 produced.
L C O H = i = 0 2 C A P E X i · 1 1 + d i + O P E X i · 1 + e 1 + d i + E n e r g y c o s t s i · 1 + e 1 + d i i = 1 2 P r o d u c e d H 2 m a s s i · 1 + e 1 + d i
where i is the year, d is the discount rate, and e is the annual inflation rate.
The results, given in Table 8, line up with the aforesaid analysis. As before, Grey17–20 is the most beneficial setting and Green17–20 is the least promising. The main differences are in the LCOH, which varies substantially between scenarios. The NPV reaches similar values, close to 315,000 EUR in all scenarios but the Green ones, where it is lower. The difference in return rates is negligible.
The average yearly values of hydrogen produced by the electrolyser and consumed by the fuel cell and the customers are provided in Table 9. The results show how the increase in energy prices from Grey17–20 to Grey21 led to a decrease in H 2 generation and commercialization. In addition, the lack of production in Green17–20 and its significant boost in Green21 are evidenced. The PPA scenarios show similar results, with the difference that, as the production costs do not change, but the price at which the fuel cell sells energy increases from PPA17–20 to PPA21, it injects more energy into the grid.
Table 9 shows how the fuel cell, which was set to sell energy to the grid at market price, is barely activated. This situation, worsened by its low efficiency (50%), can be solved by increasing the energy selling price. This solution, which was not implemented in this work, can be triggered by the H 2 PP operator, who shall control this price to boost the competitiveness of the fuel cell in the energy market.

5. Conclusions

This work performed a techno-economic analysis of an H 2 PP considering its participation in the electricity market, as well as the possibility of providing H 2 to different services/customers. The strategic operation on the use of the produced H 2 was also analysed.
The results show that the production of electrolytic grey H 2 is the most economic so far, resulting in an LCOH between 4.72 EUR/kg and 6.88 EUR/kg, for a payback of 13 years. However, those scenarios are not the most pertinent, as the hydrogen economy of the future must be centred on RES. Regarding the production of green H 2 , when the renewable energy to power the H 2 PP was purchased at market price, the LCOH varied from 10.6 EUR/kg to 21.7 EUR/kg. When the energy was obtained through a PPA, the LCOH was lower and more stable, ranging from 7.57 EUR/kg to 7.59 EUR/kg. Still, even in the most beneficial scenarios, the achieved prices for green H 2 are very high when compared to grey H 2 . Furthermore, these prices are far too high when compared to the costs of grey H 2 obtained from fossil sources, with a price between 1.5 EUR/kg and 2 EUR/kg.
In line with the literature, it can be concluded that H 2 PP based on RES is not yet cost-competitive, but its environmental benefits are clear. In addition, the fuel cell did not prove to be of significant use to the H 2 PP. Nevertheless, it is clear that green H 2 has the potential to contribute to the decarbonization of power systems in the coming years.
Future work will focus on: (i) studying a more detailed model of the H 2 PP capabilities, for instance, the electrolyser; (ii) assessing the impact of H 2 PP in the power grid, and (iii) studying the strategic participation of the H 2 PP in the energy and ancillary services market.

Author Contributions

Conceptualization, L.M.R., T.S., I.R., J.P.F. and V.M.; methodology, L.M.R., T.S., I.R. and J.P.F.; validation, L.M.R., T.S., I.R. and J.P.F.; formal analysis, L.M.R., T.S., I.R. and J.P.F.; investigation, L.M.R., T.S. and I.R.; data curation, L.M.R., T.S., I.R. and J.P.F.; writing—original draft preparation, L.M.R., T.S. and I.R.; writing—review and editing, L.M.R., T.S., I.R., J.P.F. and V.M.; supervision, T.S., I.R. and V.M. All authors have read and agreed to the published version of the manuscript.

Funding

This research was supported by Norte Portugal Regional Operational Programme (NORTE 2020), under the PORTUGAL 2020 Partnership Agreement, through the European Regional Development Fund (ERDF), within the DECARBONIZE project under agreement NORTE-01-0145-FEDER-000065 and by the Scientific Employment Stimulus Programme from the Fundação para a Ciência e a Tecnologia (FCT) under the agreement 2021.01353.CEECIND.

Data Availability Statement

Not applicable.

Conflicts of Interest

The authors declare no conflict of interest.

Abbreviations and Nomenclature

Abbreviations

The following abbreviations are used in this manuscript.
BHMBiological Hydrogen Methanation
CAPEXCapital Expenditure
CCSCarbon Capture and Storage
CHPCombined Heat and Power
DERDistributed Energy Resources
DICOPTDIscrete and Continuous OPTimizer
FCFuel Cell
FCEVFuel Cell Electric Vehicles
GAMSGeneral Algebraic Modelling Language
H 2 Hydrogen
H 2 PPHydrogen Power Plant
HRSHydrogen Refuelling Station
IRRInternal Rate of Return
LCOH   Levelized Cost of Hydrogen
MDPIMultidisciplinary Digital Publishing Institute
MIBELMercado Ibérico de Eletricidade
NGNatural Gas
NPVNet Present Value
OPEXOperational Expenditure
PPAPower Purchase Agreement
PVPhotovoltaic
RESRenewable Energy Source

Nomenclature

The main notation used in this paper is stated here for quick reference.
Sets 
TSet of time periods
Indexes 
tIndex for time periods (e.g., 60 min (1.0))
Parameters 
η Efficiency
π Price
H H V Higher Heating Value
Decision variables 
BBinary Variable
mMass
PActive Power
Subscripts and Superscripts 
C h Charge Process
C H P Combined Heat and Power
C P Compressor
D c h Discharge Process
E L E C Electrolyser
F C Fuel Cell
F L Forklift
H 2 Hydrogen
M a x Upper Bound Limit
M i n Lower Bound Limit
N G Natural Gas
T R S P Transport
T T Tube Trailer

References

  1. European Commission. 2050 Long-Term Strategy. Available online: https://ec.europa.eu/clima/eu-action/climate-strategies-targets/2050-long-term-strategy_en (accessed on 6 November 2022).
  2. Direção-Geral de Energia e Geologia (DGEG). National Strategy for Hydrogen. Available online: https://www.dgeg.gov.pt/en/transversal-areas/international-affairs/energy-policy/national-strategy-for-hydrogen/ (accessed on 5 November 2022).
  3. Presidência do Conselho de Ministros. Resolução do Conselho de Ministros n.º 63/2020. Diário da República. Available online: https://files.dre.pt/1s/2020/08/15800/0000700088.pdf (accessed on 5 November 2022). (In Portuguese).
  4. Direção-Geral de Energia e Geologia (DGEG). Relatório de monitorização da segurança de abastecimento do sistema nacional de gás 2020, Período 2021–2040 (RMSA-G 2020). Technical Report. Available online: https://www.erse.pt/media/xtym4zdt/anexo-1-do-pdirg-pressupostos-do-rmsa-g-2020-dgeg.pdf (accessed on 26 November 2022). (In Portuguese)
  5. IRENA. Global Hydrogen Trade to Meet the 1.5 °C Climate Goal: Part III—Green Hydrogen Cost and Potential; Technical Report; IRENA: Abu Dhabi, UAE, 2022; Available online: https://www.irena.org/publications/2022/May/Global-hydrogen-trade-Cost (accessed on 7 November 2022).
  6. Hydrogen Central. Market for Green Hydrogen Will Grow Explosively. Available online: https://hydrogen-central.com/market-for-green-hydrogen-grow-explosively/ (accessed on 23 December 2022).
  7. de Oliveira, A.R.; Collado, J.V.; Saraiva, J.T.; Doménech, S.; Campos, F.A. Electricity cost of green hydrogen generation in the Iberian electricity market. In Proceedings of the 2021 IEEE Madrid PowerTech, Madrid, Spain, 28 June–2 July 2021; pp. 1–6. [Google Scholar] [CrossRef]
  8. Benalcazar, P.; Komorowska, A. Prospects of green hydrogen in Poland: A techno-economic analysis using a Monte Carlo approach. Int. J. Hydrogen Energy 2022, 47, 5779–5796. [Google Scholar] [CrossRef]
  9. de la Cruz-Soto, J.; Azkona-Bedia, I.; Velazquez-Limon, N.; Romero-Castanon, T. A techno-economic study for a hydrogen storage system in a microgrid located in baja California, Mexico. Levelized cost of energy for power to gas to power scenarios. Int. J. Hydrogen Energy 2022, 47, 30050–30061. [Google Scholar] [CrossRef]
  10. Jovan, D.J.; Dolanc, G. Can green hydrogen production be economically viable under current market conditions. Energies 2020, 13, 6599. [Google Scholar] [CrossRef]
  11. Petrollese, M.; Concas, G.; Lonis, F.; Cocco, D. Techno-economic assessment of green hydrogen valley providing multiple end-users. Int. J. Hydrogen Energy 2022, 47, 24121–24135. [Google Scholar] [CrossRef]
  12. Viktorsson, L.; Heinonen, J.T.; Skulason, J.B.; Unnthorsson, R. A step towards the hydrogen economy—A life cycle cost analysis of a hydrogen refueling station. Energies 2017, 10, 763. [Google Scholar] [CrossRef]
  13. Fragiacomo, P.; Genovese, M. Technical-economic analysis of a hydrogen production facility for power-to-gas and hydrogen mobility under different renewable sources in southern Italy. Energy Convers. Manag. 2020, 223, 113332. [Google Scholar] [CrossRef]
  14. HyBalance. From Wind Power to Green Hydrogen. Technical Report. 2020. Available online: https://hybalance.eu/wp-content/uploads/2020/10/HyBalance_Brochure_Sep2020_Final.pdf (accessed on 25 January 2023).
  15. Matute, G.; Yusta, J.; Beyza, J.; Correas, L. Multi-state techno-economic model for optimal dispatch of grid connected hydrogen electrolysis systems operating under dynamic conditions. Int. J. Hydrogen Energy 2021, 46, 1449–1460. [Google Scholar] [CrossRef]
  16. U.S. Energy Information Administration (EIA). Hydrogen Explained: Use of Hydrogen. Available online: https://www.eia.gov/energyexplained/hydrogen/use-of-hydrogen.php (accessed on 12 November 2022).
  17. García, E.; Santos, M.; Mariani, V. D8.2: Protocols for Demonstration of Mini-Grid Strategy. Technical Report, HAEOLUS Project. 2020. Available online: https://www.haeolus.eu/wp-content/uploads/2020/09/D8.2.pdf (accessed on 5 November 2022).
  18. National Research Council and National Academy of Engineering. The Hydrogen Economy: Opportunities, Costs, Barriers, and R&D Needs; The National Academies Press: Washington, DC, USA, 2004. [Google Scholar] [CrossRef]
  19. Carrion, M.; Arroyo, J.M. A computationally efficient mixed-integer linear formulation for the thermal unit commitment problem. IEEE Trans. Power Syst. 2006, 21, 1371–1378. [Google Scholar] [CrossRef]
  20. MathWorks. MATLAB. Available online: https://www.mathworks.com/products/matlab.html (accessed on 23 January 2023).
  21. GAMS. GAMS: System Overview. Available online: https://www.gams.com/products/gams/gams-language/ (accessed on 24 January 2023).
  22. Vecchietti, A.; Grossmann, I.; Raman, R.; Kalvelagen, E. DICOPT solver. In Gams Development Corporation; Technical Report; Carnegie Mellon University: Pittsburgh, PA, USA, 2008. [Google Scholar]
  23. Tractebel and Hinicio. Study on Early Business Cases for H2 in Energy Storage and More Broadly Power to H2 Applications. Available online: https://hsweb.hs.uni-hamburg.de/projects/star-formation/hydrogen/P2H_Full_Study_FCHJU.pdf (accessed on 5 November 2022).
  24. González-Rivera, E.; García-Triviño, P.; Sarrias-Mena, R.; Torreglosa, J.P.; Jurado, F.; Fernández-Ramírez, L.M. Model predictive control-based optimized operation of a hybrid charging station for electric vehicles. IEEE Access 2021, 9, 115766–115776. [Google Scholar] [CrossRef]
  25. Deloitte. Fueling the Future of Mobility: Hydrogen Electrolyzers. Technical Report. 2021. Available online: https://www2.deloitte.fr/formulaire/pdf/fueling-the-future-of-mobility-hydrogen-electrolyzers.pdf (accessed on 7 November 2022).
  26. Clean Hydrogen Partnership. Strategic Research and Innovation: Agenda 2021–2027. Available online: https://www.clean-hydrogen.europa.eu/system/files/2022-02/Clean%20Hydrogen%20JU%20SRIA%20-%20approved%20by%20GB%20-%20clean%20for%20publication%20(ID%2013246486).pdf (accessed on 7 November 2022).
  27. SuperP2G. Internal Report M1: Data Collection and Management—Product Specifications. Available online: https://superp2g.wvgw-kunden.de/wp-content/uploads/2022/09/SUPERP2G_ITALY_Internal_Report_M1.pdf (accessed on 8 November 2022).
  28. Scottish Government. Scottish Offshore Wind to Green Hydrogen Opportunity Assessment. Available online: https://www.gov.scot/binaries/content/documents/govscot/publications/research-and-analysis/2020/12/scottish-offshore-wind-green-hydrogen-opportunity-assessment2/documents/scottish-offshore-wind-green-hydrogen-opportunity-assessment/scottish-offshore-wind-green-hydrogen-opportunity-assessment/govscot%3Adocument/scottish-offshore-wind-green-hydrogen-opportunity-assessment.pdf (accessed on 5 November 2022).
  29. Christensen, A. Assessment of Hydrogen Production Costs from Electrolysis: United States and Europe. Available online: https://theicct.org/wp-content/uploads/2021/06/final_icct2020_assessment_of-_hydrogen_production_costs-v2.pdf (accessed on 13 November 2022).
  30. Ebaid, M.; Hammad, M.; Alghamdi, T. THERMO economic analysis OF PV and hydrogen gas turbine hybrid power plant of 100 MW power output. Int. J. Hydrogen Energy 2015, 40, 12120–12143. [Google Scholar] [CrossRef]
  31. da Costa Coelho, B.A. Study of a Hybrid Concentrating Solar Power Plant for Portuguese Conditions. Master’s Thesis, Faculdade de Engenharia da Universidade do Porto, Porto, Portugal, 2014. Available online: https://www.google.com/url?sa=t&rct=j&q=&esrc=s&source=web&cd=&ved=2ahUKEwjP3pnDx8_7AhW8TKQEHaROA04QFnoECBgQAQ&url=https%3A%2F%2Fsigarra.up.pt%2Ffep%2Fpt%2Fpub_geral.show_file%3Fpi_doc_id%3D26531&usg=AOvVaw3o4ImA1kWoqL6fedIBmRJT (accessed on 14 November 2022).
  32. Baptista, J.; Vargas, P.; Ferreira, J.R. A techno-economic analysis of floating photovoltaic systems, for southern European countries. Renew. Energy Power Qual. J. 2021, 19, 57–62. [Google Scholar] [CrossRef]
  33. Lucas, T.J.R. Feasibility of Wind Energy for Hydrogen Production: The WindFloat Atlantic Case-Study. Master’s Thesis, Instituto Superior Técnico, Lisboa, Portugal, 2021. Available online: https://fenix.tecnico.ulisboa.pt/downloadFile/1126295043838523/Thesis_Tiago_84351.pdf (accessed on 15 November 2022).
  34. Vendus. Taxas de IRC em Portugal. Available online: https://www.vendus.pt/blog/taxas-irc/ (accessed on 9 November 2022).
  35. Banco de Portugal. Interest Rates and Amounts of New Loans and Deposits. Available online: https://bpstat.bportugal.pt/conteudos/noticias/1569/ (accessed on 9 November 2022).
  36. Capstone. C600S Capstone Microturbine. Available online: https://www.pureworldenergy.com/technology/capstone-products/c600s-capstone-microturbine/ (accessed on 10 November 2022).
  37. Marocco, P.; Ferrero, D.; Gandiglio, M.; Satarelli, M. D2.2: Technical Specification of the Technological Demonstrators. Technical Report, REMOTE Project. 2018. Available online: https://ec.europa.eu/research/participants/documents/downloadPublic?documentIds=080166e5c3fb71d9&appId=PPGMS (accessed on 12 December 2022).
  38. Stefanie, A.O. Analysis of Hydrogen Transportation Cost in China. Available online: https://www.integralnewenergy.com/?p=30642 (accessed on 16 November 2022).
  39. CaixaBank Research. The Iberian Electricity Market and the Price Rally in Spain. Available online: https://www.caixabankresearch.com/en/economics-markets/commodities/iberian-electricity-market-and-price-rally-spain (accessed on 19 November 2022).
  40. Observador. Central de Sines encerra esta sexta-feira, antes do previsto devido a evolução do mercado. Available online: https://observador.pt/2021/01/15/central-de-sines-encerra-esta-sexta-feira-antes-do-previsto-devido-a-evolucao-do-mercado/ (accessed on 18 November 2022).
Figure 1. Diagram of a hydrogen power plant and its related provided services.
Figure 1. Diagram of a hydrogen power plant and its related provided services.
Energies 16 01506 g001
Figure 2. Overview of the H 2 PP’s technical and economic analysis.
Figure 2. Overview of the H 2 PP’s technical and economic analysis.
Energies 16 01506 g002
Figure 3. Grey scenarios—relation between payback period and H 2 price for each customer for scenario Grey17–20 (left) and Grey21 (right).
Figure 3. Grey scenarios—relation between payback period and H 2 price for each customer for scenario Grey17–20 (left) and Grey21 (right).
Energies 16 01506 g003
Figure 4. Green scenarios—relation between payback period and H 2 price for each customer for scenario Green17–20 (left) and Green21 (right).
Figure 4. Green scenarios—relation between payback period and H 2 price for each customer for scenario Green17–20 (left) and Green21 (right).
Energies 16 01506 g004
Figure 5. PPA scenarios—relation between payback period and H 2 price for each customer for scenario PPA17–20 (left) and PPA21 (right).
Figure 5. PPA scenarios—relation between payback period and H 2 price for each customer for scenario PPA17–20 (left) and PPA21 (right).
Energies 16 01506 g005
Table 1. Summary of the services found in the literature review and in the present paper.
Table 1. Summary of the services found in the literature review and in the present paper.
ReferenceProductionFuel CellIndustrial FeedstockNG MixHRSTransportBHM
[7]unspecified
[8]unspecified
[9]
[10]
[11]
[12]
[13]
[14]
[15]
The proposed work
Table 2. Technical characteristics of the H 2 PP equipment.
Table 2. Technical characteristics of the H 2 PP equipment.
DeviceParameterElectrolyser
ElectrolyserNominal power1.5 MW
Power range10–100% [23]
Efficiency70% [17]
Fuel cellNominal power240 kW
Power range10–100% [17]
Efficiency50% [23]
TankVolume65 m3 [17]
Maximum capacity170 kg [17]
Minimum capacity17 kg [24]
Maximum pressure30 bar [17]
Forklift
compressor
Nominal power13.5 kW
Suction pressure30 bar
Discharge pressure500 bar
Maximum flow rate5 kg/h
Energy consumption2.7 kWh/kg [23]
Tube trailer
compressor
Nominal power85 kW
Suction pressure30 bar
Discharge pressure200 bar
Maximum flow rate50 kg/h
Energy consumption1.7 kWh/kg [23]
Table 3. Economic characteristics of the H 2 PP equipment.
Table 3. Economic characteristics of the H 2 PP equipment.
DeviceParameterElectrolyser
ElectrolyserFull system lifespan20 years [25]
Stack lifespan85,000 h [25]
CAPEXEUR 900,000 [26]
OPEX45,000 EUR/year [27]
Stack replacementEUR 315,000 [25]
Fuel cellLifespan20 years [23]
CAPEXEUR 480,000 [23]
OPEXEUR 9600 [27]
TankLifespan30–40 years [23]
CAPEXEUR 68,000 [27]
OPEXEUR 1360 [27]
Forklift
compressor
Lifespan30 years [28]
CAPEXEUR 125,000 [27]
OPEX2500 EUR/year [27]
Tube trailer
compressor
Lifespan30 years [28]
CAPEXEUR 850,000 [27]
OPEX17,000 EUR/year [27]
Table 5. CHP hourly electrical output and fuel intake for a H 2 volumetric percentage of 10%.
Table 5. CHP hourly electrical output and fuel intake for a H 2 volumetric percentage of 10%.
Time RangeOutput H 2 IntakeNG Intake
[hh:mm][kWh][kg/h][kWh/h][kg/h][kWh/h]
00:00–04:59900.2578.54720.17264.2
05:00–05:593000.85628.4967.22880.6
06:00–16:596001.71156.98134.41761
17:00–17:593000.85628.4967.22880.6
18:00–23:59900.2578.54720.17264.2
Total819023.36777.8183524,040
Table 6. H 2 prices for each client, to reach a 13-year payback.
Table 6. H 2 prices for each client, to reach a 13-year payback.
Scenarios π H 2 CHP [EUR/kg] π H 2 FL [EUR/kg] π H 2 TRSP [EUR/kg]
Grey17–205.0925.3375.243
Green17–2031.7933.3232.73
PPA17–207.3577.7117.575
Grey217.3367.6897.553
Green2113.9314.6014.34
PPA217.3497.7037.567
Table 7. H 2 prices for each client to reach a payback period of 11 years and 15 years.
Table 7. H 2 prices for each client to reach a payback period of 11 years and 15 years.
Scenarios π H 2 CHP [EUR/kg] π H 2 FL [EUR/kg] π H 2 TRSP [EUR/kg]
11 Years15 Years11 Years15 Years11 Years15 Years
Grey17–205.2204.9915.4715.2315.3755.139
Green17–2033.2730.7434.8332.2234.2131.65
PPA17–207.4797.2597.8387.6067.7017.474
Grey217.5087.1977.8697.5437.7307.411
Green2114.4513.5215.1414.1914.8813.93
PPA217.4697.2497.8287.5987.6927.464
Table 8. Economic metrics (NPV, IRR, and LCOH) corresponding to a 13-year payback.
Table 8. Economic metrics (NPV, IRR, and LCOH) corresponding to a 13-year payback.
ScenariosNPV [EUR]IRR [%]LCOH [EUR/kg]
Grey17–20315,07515.994.72
Green17–20253,42615.2921.7
PPA17–20312,99015.957.59
Grey21313,61115.966.88
Green21252,66215.2810.6
PPA21314,81815.997.57
Table 9. Average yearly H 2 production and consumption, for a 13-year payback.
Table 9. Average yearly H 2 production and consumption, for a 13-year payback.
ScenariosElectrolyserFuel CellCHPForklift FleetTube Trailer
ProductionConsumptionConsumptionConsumptionConsumption
[kg][kg][kg][kg][kg]
Grey17–20156,2590679640,102109,200
Green17–2011,955063546066675
PPA17–20157,5750796240,113109,500
Grey21111,313245542931,23874,400
Green2131,49641.6164611,208186,00
PPA21159,3151820788240,113109,500
Disclaimer/Publisher’s Note: The statements, opinions and data contained in all publications are solely those of the individual author(s) and contributor(s) and not of MDPI and/or the editor(s). MDPI and/or the editor(s) disclaim responsibility for any injury to people or property resulting from any ideas, methods, instructions or products referred to in the content.

Share and Cite

MDPI and ACS Style

Rodrigues, L.M.; Soares, T.; Rezende, I.; Fontoura, J.P.; Miranda, V. Economic Analysis of a Hydrogen Power Plant in the Portuguese Electricity Market. Energies 2023, 16, 1506. https://doi.org/10.3390/en16031506

AMA Style

Rodrigues LM, Soares T, Rezende I, Fontoura JP, Miranda V. Economic Analysis of a Hydrogen Power Plant in the Portuguese Electricity Market. Energies. 2023; 16(3):1506. https://doi.org/10.3390/en16031506

Chicago/Turabian Style

Rodrigues, Luís Manuel, Tiago Soares, Igor Rezende, João Paulo Fontoura, and Vladimiro Miranda. 2023. "Economic Analysis of a Hydrogen Power Plant in the Portuguese Electricity Market" Energies 16, no. 3: 1506. https://doi.org/10.3390/en16031506

APA Style

Rodrigues, L. M., Soares, T., Rezende, I., Fontoura, J. P., & Miranda, V. (2023). Economic Analysis of a Hydrogen Power Plant in the Portuguese Electricity Market. Energies, 16(3), 1506. https://doi.org/10.3390/en16031506

Note that from the first issue of 2016, this journal uses article numbers instead of page numbers. See further details here.

Article Metrics

Back to TopTop