A Compact High-Stability Nanosecond Pulse Test System Using Corona-Stabilized Switch and Coaxial Resistance Divider
Abstract
1. Introduction
2. Theoretical Analysis and Structural Design of the Nanosecond Pulse Circuit
2.1. Circuit Topology and Compression Process
2.2. Determination of Loop Component Parameters
3. Key Technologies of the Compact High-Stability Nanosecond Pulse Test System
3.1. Structure Design for the Generator
3.2. Discharge Switch in Pulse Generation Circuit
3.2.1. Effect of Switch Action Characteristics on Output Waveform
3.2.2. Corona Phenomenon of the Discharge Gap
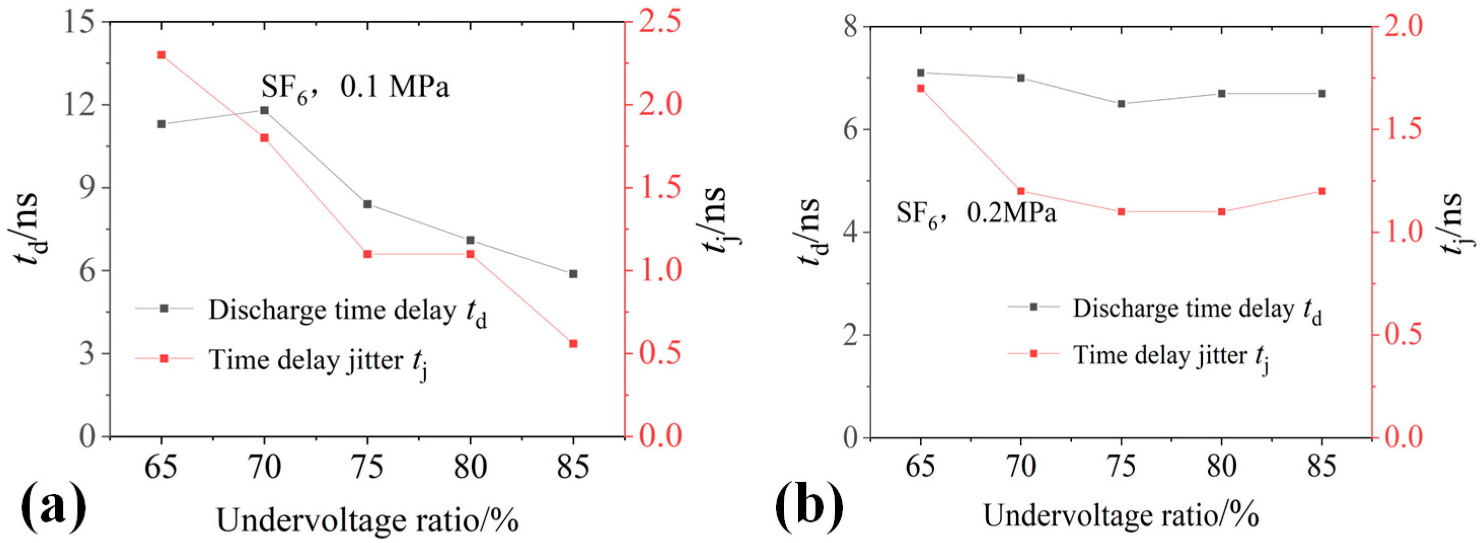
3.2.3. Characteristics of Corona-Stabilized Switch
3.3. Resistance Divider for Nanosecond Pulse
3.3.1. Structural Design
3.3.2. Response Time Measurement
3.3.3. Scale Factor Verification
4. Performance of the Nanosecond Pulse Test System
5. Conclusions
Author Contributions
Funding
Data Availability Statement
Conflicts of Interest
References
- Lara, M.B.; Mayes, J.R.; Mayes, M.G.; Hatfield, C.W. A modular compact Marx generator design for the Gatling Marx generator system. In Proceedings of the 15th IEEE International Pulsed Power Conference, Monterey, CA, USA, 13–15 June 2005. [Google Scholar]
- Carey, W.J.; Mayes, J.R. Marx generator design and performance. In Proceedings of the 25th International Power Modulator Symposium, Hollywood, CA, USA, 30 June–3 July 2002; pp. 625–628. [Google Scholar]
- Pecastaing, L.; Paillol, J.; Reess, T.; Gibert, A.; Domens, P. Very Fast Rise-Time Short-Pulse High-Voltage Generator. IEEE Trans. Plasma Sci. 2006, 34, 1822–1831. [Google Scholar] [CrossRef]
- Hahn, U.; Herrmann, M.; Leipold, F.; Schoenbach, K.H. Nanosecond, kilovolt pulse generators. Dig. Tech. Pap. 2001, 2, 1575–1578. [Google Scholar]
- Gilman, C.; Lam, S.K.; Naff, J.T.; Klatt, M.; Nielsen, K. Design and performance of the FEMP-2000: A fast risetime, 2 MV EMP pulser. In Proceedings of the Digest of Technical Papers. 12th IEEE International Pulsed Power Conference, Monterey, CA, USA, 27–30 June 1999; Volume 2, pp. 1437–1440. [Google Scholar]
- Bailey, V.; Carboni, V.; Eichenberger, C.; Naff, T.; Smith, I.; Warren, T.; Whitney, B.; Giri, D.; Belt, D.; Brown, D.; et al. A 6-MV pulser to drive horizontally polarized EMP simulators. IEEE Trans. Plasma Sci. 2010, 38, 2554–2558. [Google Scholar] [CrossRef]
- Gubanov, V.P.; Korovin, S.D.; Pegel, I.V.; Roitman, A.M.; Rostov, V.V.; Stepchenko, A.S. Compact 1000 ps high-voltage nanosecond pulse generator. IEEE Trans. Plasma Sci. 1997, 25, 258–265. [Google Scholar] [CrossRef]
- Tewari, S.V.; Umbarkar, S.B.; Agarwal, R.; Saroj, P.C.; Sharma, A.; Mittal, K.C.; Mangalvedekar, H.A. Development and Analysis of PFN Based Compact Marx Generator Using Finite Integration Technique for an Antenna Load. IEEE Trans. Plasma Sci. 2013, 41, 2684–2690. [Google Scholar] [CrossRef]
- Liu, Y.; Lin, F.; Hu, G.; Zhang, M. Design and performance of a resistive-divider system for measuring fast HV impulse. IEEE Trans. Instrum. Meas. 2010, 60, 996–1002. [Google Scholar] [CrossRef]
- Chen, J.L.; Lin, T.Y.; Bai, D.Q.; Yao, X.L. Resistive Divider with Mid-Electrode for Nanosecond High-Voltage Pulse Measurement. In Advanced Materials Research; Trans Tech Publications, Ltd.: Stafa-Zurich, Switzerland, 2013; Volume 718–720, pp. 1083–1087. [Google Scholar]
- Ge, Y.F.; Li, L.; Liu, Y.L.; Li, M.; Kang, Q. Design, construction, and testing of solution resistive divider applied in hundreds of kilovolts nanosecond pulse measurement. Rev. Sci. Instrum. 2014, 85, 105106. [Google Scholar]
- Liu, J.L.; Ye, B.; Zhan, T.W.; Feng, J.H.; Zhang, J.D.; Wang, X.X. Coaxial capacitive dividers for high-voltage pulse measurements in intense electron beam accelerator with water pulse-forming line. IEEE Trans. Instrum. Meas. 2008, 58, 161–166. [Google Scholar]
- He, W.; Yin, H.; Phelps, A.D.R.; Cross, A.W.; Spark, S.N. Study of a fast, high-impedance, high-voltage pulse divider. Rev. Sci. Instrum. 2001, 72, 4266–4269. [Google Scholar] [CrossRef]
- Rai, V.N.; Shukla, M. Simple probes and attenuators for measurement of high-voltage sub-nanosecond pulses. Meas. Sci. Technol. 1994, 5, 1396. [Google Scholar] [CrossRef]
- Khan, M.S.; Agazar, M.; Le Bihan, Y. Development of a Standard Measuring System for High-Voltage Nanosecond Pulse Measurements. In Proceedings of the 2020 Conference on Precision Electromagnetic Measurements (CPEM), Denver, CO, USA, 24–28 August 2020; IEEE: Piscataway, NJ, USA, 2020; pp. 1–2. [Google Scholar]
- Yan, J.; Mei, K.; Chen, S.; Wang, Y.; Ding, W. A Frequency Response Test Device for Nano-Second Coaxial Resistor Divider. In Proceedings of the 2019 IEEE Pulsed Power & Plasma Science (PPPS), Orlando, FL, USA, 23–29 June 2019; IEEE: Piscataway, NJ, USA, 2019; pp. 1–4. [Google Scholar]
- Shimotsu, R.; Wang, D.; Namihira, T. Performance of a low impedance nanosecond pulse generator. In Proceedings of the 2017 IEEE 21st International Conference on Pulsed Power (PPC), Brighton, UK, 18–22 June 2017; pp. 1–4. [Google Scholar]
- Wei, J.; Junna, L.; Fan, G.; Guowei, X.L.Z.; Junping, T.; Yanzhao, C.W.X. A 500 KV pulse with fast risetime for EMP simulation. In Proceedings of the IPAC2013, Shanghai, China, 12–17 May 2013; pp. 708–710. [Google Scholar]
- Fukuoka, H.; Iida, S.; Wang, D.; Namihira, T. Improvement of Ozone Generation Characteristics with Shorter Rise Time of Nanosecond Pulse Voltage. In Proceedings of the 2019 IEEE Pulsed Power & Plasma Science (PPPS), Orlando, FL, USA, 23–29 June 2019; pp. 1–4. [Google Scholar]
- Deb, P.; Sethi, B.; Rongali, L.; Meena, M.; Sharma, A. Generation of high voltage nanosecond pulses using Pulse Sharpening switch. In Proceedings of the 2021 1st International Conference on Power Electronics and Energy (ICPEE), Bhubaneswar, India, 2–3 January 2021; pp. 1–5. [Google Scholar]
- Huiskamp, T.; van Heesch, E.J.M.; Pemen, A.J.M. Evaluation of a 0–60 kV oil-switched picosecond rise-time 5 nanosecond pulse generator. In Proceedings of the 2013 19th IEEE Pulsed Power Conference (PPC), San Francisco, CA, USA, 16–21 June 2013; pp. 1–5. [Google Scholar]
- Stanković, K.; Kovačević, U. Combined measuring uncertainty of capacitive divider with concentrated capacitance on high-voltage scale. IEEE Trans. Plasma Sci. 2018, 46, 2972–2978. [Google Scholar] [CrossRef]
- IEC 61000-2-9; Description of HEMP Environment-Radiation Disturbance. Basic EMC Publication: Geneva, Switzerland, 1996.
- Chen, Z. Study on Key Technologies of Coaxial Film Capacitor for Electromagnetic Pulse Simulator. Ph.D. Thesis, Xi’an Jiaotong University, Xi’an, China, 2020. [Google Scholar]
- Hagelaar GJ, M.; Pitchford, L.C. Solving the Boltzmann equation to obtain electron transport coefficients and rate coefficients for fluid models. Plasma Sources Sci. Technol. 2005, 14, 722–733. [Google Scholar] [CrossRef]
- Liu, X.H.; He, W.; Yang, F.; Wang, H.Y.; Liao, R.J.; Xiao, H.G. Numerical simulation and experimental validation of a direct current air corona discharge under atmospheric pressure. Chin. Phys. B 2012, 21, 368–377. [Google Scholar] [CrossRef]
- Kovacevic, U.; Bajramovic, Z.; Jovanovic, B.; Lazarević, D.; Djekić, S. The construction of capacitive voltage divide for measuring ultrafast pulse voltage. In Proceedings of the 2015 IEEE Pulsed Power Conference (PPC), Austin, TX, USA, 31 May–4 June 2015; IEEE: Piscataway, NJ, USA, 2015; pp. 1–5. [Google Scholar]
- Wei, B.; Liu, H.; Liang, J.; Yuan, J.; Xie, W. A novel broadband capacitor voltage divider for measurement of ultrafast square high voltage pulse transmitted in transmission line. AIP Adv. 2020, 10, 045035. [Google Scholar] [CrossRef]
- Huiskamp, T.; Beckers, F.J.C.M.; Van Heesch, E.J.M.; Pemen, A.J.M. B-dot and D-dot sensors for (sub) nanosecond high-voltage and high-current pulse measurements. IEEE Sens. J. 2016, 16, 3792–3801. [Google Scholar] [CrossRef]
- Zhang, L.; Sun, L.; Han, Y.H.; Wang, S.; Guo, C.; Wang, C.X. Development of a Broadband Capacitive Voltage Divider for Measuring Nanosecond Impulse. In Proceedings of the 2018 2nd IEEE Conference on Energy Internet and Energy System Integration (EI2), Beijing, China, 20–22 October 2018; IEEE: Piscataway, NJ, USA, 2018; pp. 1–6. [Google Scholar]
- Mitra, S.; Senthil, K.; Singh, S.K.; Kumar, R.; Sharma, A. Development of a novel voltage divider for measurement of sub-nanosecond rise time high voltage pulses. Rev. Sci. Instrum. 2016, 87, 024703. [Google Scholar] [CrossRef] [PubMed]
- IEC 60060-2; High-Voltage Test Techniques—Part 2: Measuring Systems. Basic EMC Publication: Geneva, Switzerland, 2010.















| Loop | Capacitance | Inductance | Resistance |
|---|---|---|---|
| Marx circuit | CT = 500 pF | LT ≈ 1 μH | RT ≈ 2 Ω |
| Pulse steepening circuit | CP = 200 pF | LP ≈ 100 nH | — |
| Load resistor | — | — | RL = 50 Ω |
| tst | Primary Pulse | One-Stage Compression Pulse | η | |||
|---|---|---|---|---|---|---|
| Vp */kV | tr */ns | Vp/kV | tr/ns | tt/ns | ||
| 16 μs | 14.15 | 11.58 | 12.94 | 4.492 | 41.8 | 91.45 |
| 19 μs | 16.08 | 12.97 | 14.48 | 3.438 | 33.8 | 90.05 |
| 25 μs | 21.12 | 16.70 | 18.89 | 2.809 | 19.8 | 89.44 |
| 35 μs | 28.17 | 21.59 | 21.59 | 2.305 | 11.6 | 76.64 |
| 40 μs | 28.40 | 21.88 | 20.41 | 2.223 | 10.3 | 71.87 |
| Reaction Type | Reaction Process |
|---|---|
| Electron collision ionization | SF6 + e→SF5 + +2e + F |
| Electron elastic collision | SF6 + e→SF6 + e |
| Electronic attachment | SF6 + e→SF6− SF6 + e→SF5− + F SF6 + e→SF4− + 2F SF6 + e→SF5 + F− |
| Positive and negative ion composite | SF5 + +SF6−→SF5 + SF6 SF5 + +SF5−→2SF5 SF5 + +SF4−→SF5 + SF4 SF5 + +F−→SF6 |
| Surface reaction | F−→F SF4−→SF4 SF5−→SF5 SF6−→SF6 SF5 + →SF5 |
| Publications | Sensor Type | Response Time/Bandwidth | Measuring Range |
|---|---|---|---|
| Kovacevic et al. [27] | Capacitive voltage divider | Approx. 3 ns | 0~100 V |
| Wei et al. [28] | Capacitive voltage divider | 180 kHz–2 GHz | Not provided |
| Huiskamp et al. [29] | B-dot and D-dot sensor | Hundreds of ps | 25 kV |
| Liu et al. [12] | Capacitive voltage divider | 8 ns | 560 kV |
| Rai V. N. et al. [13] | Capacitive voltage divider | 3.5 ns | 130 V |
| Zhang et al. [30] | Capacitive voltage divider | 4.6 ns | 50 kV |
| He W et al. [14] | Resistor voltage divider | 1 ns | 150 V |
| 7 ns | 60 kV | ||
| Yan et al. [16] | Resistor voltage divider | 300 ps | 500 V |
| Liu et al. [9] | CuSO4 solution resistance voltage divider | 13 ns | 170 kV |
| Ge et al. [11] | Resistor voltage divider | 6.8 ns | 300 kV |
| Mitra et al. [31] | CuSO4 solution resistance voltage divider | 1 ns | 15 kV |
| Chen et al. [10] | Resistor voltage divider | 1.6 ns | 30 kV |
| This paper developed | Metal oxide film resistance voltage divider | 1.06 ns | 80 kV |
| No. | UP5100A/kV | UR/kV | δ | |||
|---|---|---|---|---|---|---|
| μs Pulse | ns Pulse | μs Pulse | ns Pulse | μs Pulse | ns Pulse | |
| 1 | 0.475 | 0.574 | 0.469 | 0.564 | 1021.36 | 1025.46 |
| 2 | 0.959 | 1.150 | 0.949 | 1.140 | 1018.11 | 1016.44 |
| 3 | 1.468 | 1.750 | 1.459 | 1.740 | 1013.82 | 1013.39 |
| 4 | 1.954 | 2.330 | 1.941 | 2.300 | 1014.35 | 1020.74 |
| Ave. | — | — | — | — | 1016.91 | 1019.01 |
| No. | Measured Peak Value of Voltage Pulse/kV | ||||
|---|---|---|---|---|---|
| Level 1 | Level 2 | Level 3 | Level 4 | Level 5 | |
| 1 | 15.02 | 24.73 | 39.90 | 52.11 | 61.28 |
| 2 | 15.00 | 24.88 | 41.13 | 52.50 | 60.92 |
| 3 | 14.90 | 24.67 | 39.80 | 51.73 | 62.08 |
| 4 | 14.94 | 25.38 | 40.65 | 52.81 | 62.07 |
| 5 | 14.70 | 24.60 | 39.92 | 52.86 | 61.69 |
| 6 | 15.42 | 25.36 | 40.50 | 51.73 | 60.85 |
| 7 | 14.91 | 24.44 | 40.13 | 50.59 | 60.91 |
| 8 | 15.18 | 24.66 | 40.11 | 50.63 | 61.73 |
| 9 | 14.95 | 24.67 | 40.29 | 51.73 | 61.67 |
| 10 | 15.22 | 24.67 | 40.89 | 52.00 | 61.59 |
| Average | 15.02 | 24.806 | 40.332 | 51.869 | 61.479 |
| Ds * | 0.2017 | 0.3164 | 0.4483 | 0.7867 | 0.4641 |
| Drs * | 1.342% | 1.275% | 1.112% | 1.517% | 0.755% |
| Urs * | 4.25‰ | 4.03‰ | 3.51‰ | 4.80‰ | 2.39‰ |
Disclaimer/Publisher’s Note: The statements, opinions and data contained in all publications are solely those of the individual author(s) and contributor(s) and not of MDPI and/or the editor(s). MDPI and/or the editor(s) disclaim responsibility for any injury to people or property resulting from any ideas, methods, instructions or products referred to in the content. |
© 2023 by the authors. Licensee MDPI, Basel, Switzerland. This article is an open access article distributed under the terms and conditions of the Creative Commons Attribution (CC BY) license (https://creativecommons.org/licenses/by/4.0/).
Share and Cite
Sun, J.; Qing, Q.; Liu, H.; Yao, X.; Jiao, Z.; Wu, Y. A Compact High-Stability Nanosecond Pulse Test System Using Corona-Stabilized Switch and Coaxial Resistance Divider. Energies 2023, 16, 4534. https://doi.org/10.3390/en16114534
Sun J, Qing Q, Liu H, Yao X, Jiao Z, Wu Y. A Compact High-Stability Nanosecond Pulse Test System Using Corona-Stabilized Switch and Coaxial Resistance Divider. Energies. 2023; 16(11):4534. https://doi.org/10.3390/en16114534
Chicago/Turabian StyleSun, Jinru, Qin Qing, Haoliang Liu, Xueling Yao, Zijiao Jiao, and Yiheng Wu. 2023. "A Compact High-Stability Nanosecond Pulse Test System Using Corona-Stabilized Switch and Coaxial Resistance Divider" Energies 16, no. 11: 4534. https://doi.org/10.3390/en16114534
APA StyleSun, J., Qing, Q., Liu, H., Yao, X., Jiao, Z., & Wu, Y. (2023). A Compact High-Stability Nanosecond Pulse Test System Using Corona-Stabilized Switch and Coaxial Resistance Divider. Energies, 16(11), 4534. https://doi.org/10.3390/en16114534
