Using Hydrogen Reactors to Improve the Diesel Engine Performance
Abstract
:1. Introduction
- In the solid-phase bound state in metal hydrides;
- In a gaseous state under pressure in containers of various types;
- In a liquid state in cryogenic tanks;
- In a chemically bound state in liquid media.
2. Materials and Methods
2.1. Hydrogen Generation in Thermochemical Reactors of the Onboard Automobile System
2.2. Improvement of Chemical Kinetics of Fuel Oxidation Processes in Diesel Engines
2.3. Experimental Onboard Hydrogen Generation System Based on Methanol Conversion
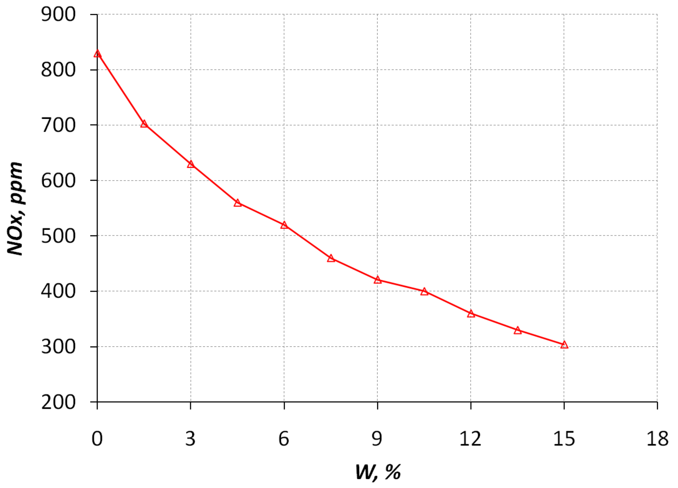
3. Results and Discussion
4. Conclusions
Author Contributions
Funding
Institutional Review Board Statement
Informed Consent Statement
Conflicts of Interest
References
- Panchuk, M.; Kryshtopa, S.; Sładkowski, A.; Panchuk, A. Environmental Aspects of the Production and Use of Biofuels in Transport; Lecture Notes in Networks and Systems: Book Chapter; Springer International Publishing AG: Cham, Switzerland, 2020; Volume 124, pp. 115–168. [Google Scholar]
- Yakovlieva, A.; Boichenko, S. Energy Efficient Renewable Feedstock for Alternative Motor Fuels Production: Solutions for Ukraine. Stud. Syst. Decis. Control 2020, 298, 247–259. [Google Scholar]
- Panchuk, M.; Kryshtopa, S.; Sladkowski, A.; Panchuk, A.; Mandryk, I. Efficiency of production of motor biofuels for water and land transport. Nase More 2019, 66, 6–12. [Google Scholar] [CrossRef]
- Biernat, K.; Samson-Bręk, I.A. Wodór—Paliwo przyszłości. Studia Ecol. Bioethicae 2008, 6, 331–344. [Google Scholar] [CrossRef]
- Akinyele, D.O.; Rayudu, R.K. Review of energy storage technologies for sustainable power networks. Sustain. Energy Technol. Assess. 2014, 8, 74–91. [Google Scholar] [CrossRef]
- Møller, K.T.; Jensen, T.R.; Akiba, E.; Li, H.-W. Hydrogen—A sustainable energy carrier. Prog. Nat. Sci. Mater. Int. 2017, 27, 34–40. [Google Scholar] [CrossRef]
- Pistidda, C. Solid-State Hydrogen Storage for a Decarbonized Society. Hydrogen 2021, 2, 428–443. [Google Scholar] [CrossRef]
- Chen, S.C.; Kao, Y.L.; Yeh, G.T.; Rei, M.H. An onboard hydrogen generator for hydrogen enhanced combustion with internal combustion engine. Int. J. Hydrogen Energy 2017, 42, 21334–21342. [Google Scholar] [CrossRef]
- Lototskyy, M.V.; Yartys, V.A.; Pollet, B.G.; Bowman, R.C., Jr. Metal hydride hydrogen compressors: A review. Int. J. Hydrogen Energy 2014, 39, 5818–5851. [Google Scholar] [CrossRef] [Green Version]
- Davids, M.W.; Tolj, I.; Jao, T.-C.; Lototskyy, M.; Pasupathi, S.; Sita, C. Development of a portable polymer electrolyte membrane fuel cell system using metal hydride as the hydrogen storage medium. ECS Trans. 2016, 75, 553–562. [Google Scholar] [CrossRef]
- Lototskyy, M.V.; Tolj, I.; Pickering, L.; Sita, C.; Barbir, F.; Yartys, V. The use of metal hydrides in fuel cell applications. Prog. Nat. Sci. Mater. Int. 2017, 27, 3–20. [Google Scholar] [CrossRef] [Green Version]
- Castañeda, M.; Cano, A.; Jurado, F.; Sánchez, H.; Fernández, L.M. Sizing optimization, dynamic modeling and energy management strategies of a stand-alone PV/hydrogen/battery-based hybrid system. Int. J. Hydrogen Energy 2013, 38, 3830–3845. [Google Scholar] [CrossRef]
- Hirscher, M.; Yartys, V.A.; Baricco, M.; Bellosta von Colbe, J.; Blanchard, D.; Bowman, R.C.; Broom, D.P.; Zlotea, C. Materials for hydrogen-based energy storage—Past, recent progress and future outlook. J. Alloys Compd. 2020, 827, 153548. [Google Scholar] [CrossRef]
- Modi, P.; Aguey-Zinsou, K.-F. Titanium-iron-manganese (TiFe0.85Mn0.15) alloy for hydrogen storage: Reactivation upon oxidation. Int. J. Hydrogen Energy 2019, 44, 16757–16764. [Google Scholar] [CrossRef]
- Marocco, P.; Ferrero, D.; Gandiglio, M.; Ortiz, M.M.; Sundseth, K.; Lanzini, A.; Santarelli, M. A study of the techno-economic feasibility of H2-based energy storage systems in remote areas. Energy Convers. Manag. 2020, 211, 112768. [Google Scholar] [CrossRef]
- Koohi-Fayegh, S.; Rosen, M.A. A review of energy storage types, applications and recent developments. J. Energy Storage 2020, 27, 101047. [Google Scholar] [CrossRef]
- Korohodskyi, V.; Voronkov, O.; Rogovyi, A.; Kryshtopa, S.; Bezridnyi, V.; Rudenko, N. Influence of the stratified fuel-air charge pattern on economic and environmental indicators of a two-stroke engine with spark ignition. AIP Conf. Proc. Am. Inst. Phys. 2021, 2439, 020011. [Google Scholar]
- Bazhinov, O.; Gerlici, J.; Kravchenko, O.; Zaverukha, R.; Kravchenko, K. Development of a method for evaluating the technical condition of a car’s hybrid powertrain. Symmetry 2021, 13, 2356. [Google Scholar] [CrossRef]
- Chumakov, V.L.; Devyanin, S.N.; Bijaev, A.V. Nitrogen oxide formation with nonuniform fuel distribution in diesel engine. J. Phys. Conf. Ser. 2020, 1679, 052089. [Google Scholar] [CrossRef]
- Tselischev, O.; Kudryavtsev, S.; Loriya, M.; Boychenko, S.; Lanetsky, V.; Matveeva, I.; Leonenko, S.; Tselishcheva, M. Modification of motor gasoline with bioethanol in the cavitation field. Vopr. Khimii I Khimicheskoi Tekhnologii 2020, 6, 171–178. [Google Scholar]
- Liu, Z. Economic Analysis of Methanol Production from Coal/Biomass Upgrading. Energy Sources Part B-Econ. Plan. Policy 2018, 13, 66–71. [Google Scholar] [CrossRef]
- Kryshtopa, S.; Melnyk, V.; Dolishnii, B.; Zakhara, I.; Voitsekhivska, T. Improvement of the model of forecasting heavy metals of exhaust gases of motor vehicles in the soil. East.-Eur. J. Enterp. Technol. 2019, 4, 44–51. [Google Scholar] [CrossRef]
- Shamsul, N.S.; Kamarudin, S.K.; Rahman, N.A.; Kofli, N.T. An overview on the production of bio-methanol as potential renewable energy. Renew. Sustain. Energy Rev. 2014, 33, 578–588. [Google Scholar] [CrossRef]
- Górski, K.; Smigins, R.; Longwic, R. Research on physico-chemical properties of diethyl ether/linseed oil blends for the use as fuel in diesel engines. Energies 2020, 13, 6564. [Google Scholar] [CrossRef]
- Shuliak, M.; Klets, D.; Kalinin, Y.; Kholodov, A. Selecting a rational operation mode of mobile power unit using measuring and control complex. CEUR Workshop Proc. 2019, 2387, 141–151. [Google Scholar]
- Klymenko, O.; Gorytski, V.; Gutarevych, Y.; Shchelkunov, A.; Kyrychenko, R. Requirements for a unified system of road vehicles environmental labelling and low emission zones. East.-Eur. J. Enterp. Technol. 2020, 6, 53–84. [Google Scholar] [CrossRef]
- Gerasidi, V.V.; Lisachenko, A.V.; Nikolaev, N.I. Thermotechnical tests of an electronically controlled main high-speed engine of a marine vessel. J. Phys. Conf. Ser. 2021, 2061, 012055. [Google Scholar] [CrossRef]
- Kryshtopa, S.; Górski, K.; Longwic, R.; Smigins, R.; Kryshtopa, L. Increasing parameters of diesel engines by their transformation for methanol conversion products. Energies 2021, 14, 1710. [Google Scholar] [CrossRef]
- Šmigins, R.; Kryshtopa, S.; Pajak, M. Impact of Low Level N-butanol and Gasoline Blends on Engine Performance and Emission Reduction. In Proceedings of the Transport Means—Proceedings of the International Conference, Kaunas University of Technology, Kaunas, Lithuania, 6–8 October 2021; pp. 481–486. [Google Scholar]
- Valeika, G.; Matijošius, J.; Górski, K.; Rimkus, A.; Smigins, R. A study of energy and environmental parameters of a diesel engine running on hydrogenated vegetable oil (HVO) with addition of biobutanol and castor oil. Energies 2021, 14, 3939. [Google Scholar] [CrossRef]
- Kryshtopa, S.; Panchuk, M.; Dolishnii, B.; Hnyp, M.; Skalatska, O. Research into emissions of nitrogen oxides when converting the diesel engines to alternative fuels. East.-Eur. J. Enterp. Technol. 2018, 1, 16–22. [Google Scholar] [CrossRef] [Green Version]
- Li, Y. Numerical Study on the Combustion and Emission Characteristics of a Methanol/Diesel Reactivity Controlled Compression Ignition (RCCI) Engine. Appl. Energy 2013, 106, 184–197. [Google Scholar] [CrossRef]
- Gerasidi, V.V.; Lisachenko, A.V. Analysis of fuel consumption of modern electronically controlled high-speed marine engines. J. Phys. Conf. Ser. 2021, 2061, 012057. [Google Scholar] [CrossRef]
- Mäyrä, O.; Leiviskä, K. Modeling in Methanol Synthesis, Methanol; Elsevier: Amsterdam, The Netherlands, 2018; pp. 475–492. [Google Scholar]









| Method | Energy Intensity, MJ/kg |
|---|---|
| Metal hydride battery | 1–2 |
| Compressed hydrogen in cylinders | 1–2.5 |
| In liquid state | 6.9–7.0 |
| In liquid state in pressure cryotanks | 29–30 |
| Type of Fuel | Petrol | Methane | Propane | Ethanol | Methanol |
|---|---|---|---|---|---|
| Conversion temperature, °C | 1200 | 700 | 420 | 330 | 300 |
| The Name of the Engine Parameters | Unit | Meaning |
|---|---|---|
| Type of experimental diesel engine | - | 4-stroke, 2-cylinder, air-cooled |
| The method of diesel mixing | - | Direct injection of diesel fuel |
| The method of hydrogen mixing | Hydrogen injection into the intake manifold | |
| Diesel engine displacement | L | 2.08 |
| Rated diesel engine power | kW | 18.4 |
| Crankshaft speed at rated power | rpm | 1800 |
| Efficient specific diesel fuel consumption | g/kWh | 248 |
| Crankshaft speed at idling speed | rpm | 800 |
| Crankshaft Rotation, rpm | Taken Power, kW | Synthesis Gas Temperature at the Reactor Outlet, K | Methanol Consumption, kg/h | Gas Composition, % | ||
|---|---|---|---|---|---|---|
| H2 | CO | Methanol Vapor | ||||
| 1200 | 15.4 | 560 | 0.49 | 53.2 | 39.9 | 6.9 |
| 1800 | 18.1 | 600 | 0.58 | 62.9 | 36.7 | 0.4 |
Publisher’s Note: MDPI stays neutral with regard to jurisdictional claims in published maps and institutional affiliations. |
© 2022 by the authors. Licensee MDPI, Basel, Switzerland. This article is an open access article distributed under the terms and conditions of the Creative Commons Attribution (CC BY) license (https://creativecommons.org/licenses/by/4.0/).
Share and Cite
Kryshtopa, S.; Górski, K.; Longwic, R.; Smigins, R.; Kryshtopa, L.; Matijošius, J. Using Hydrogen Reactors to Improve the Diesel Engine Performance. Energies 2022, 15, 3024. https://doi.org/10.3390/en15093024
Kryshtopa S, Górski K, Longwic R, Smigins R, Kryshtopa L, Matijošius J. Using Hydrogen Reactors to Improve the Diesel Engine Performance. Energies. 2022; 15(9):3024. https://doi.org/10.3390/en15093024
Chicago/Turabian StyleKryshtopa, Sviatoslav, Krzysztof Górski, Rafał Longwic, Ruslans Smigins, Liudmyla Kryshtopa, and Jonas Matijošius. 2022. "Using Hydrogen Reactors to Improve the Diesel Engine Performance" Energies 15, no. 9: 3024. https://doi.org/10.3390/en15093024
APA StyleKryshtopa, S., Górski, K., Longwic, R., Smigins, R., Kryshtopa, L., & Matijošius, J. (2022). Using Hydrogen Reactors to Improve the Diesel Engine Performance. Energies, 15(9), 3024. https://doi.org/10.3390/en15093024

