Heat Transfer and Fluid Circulation of Thermoelectric Fluid through the Fractional Approach Based on Local Kernel
Abstract
1. Introduction
2. Mathematical Modeling of Thermoelectric Fluid
3. Analytic Solution of the Problem via the Caputo-Fabrizio Approach
3.1. Case-I: Sine Sinusoidal Waves
3.2. Case-II: Cosine Sinusoidal Waves
4. Parametric Results
- (i)
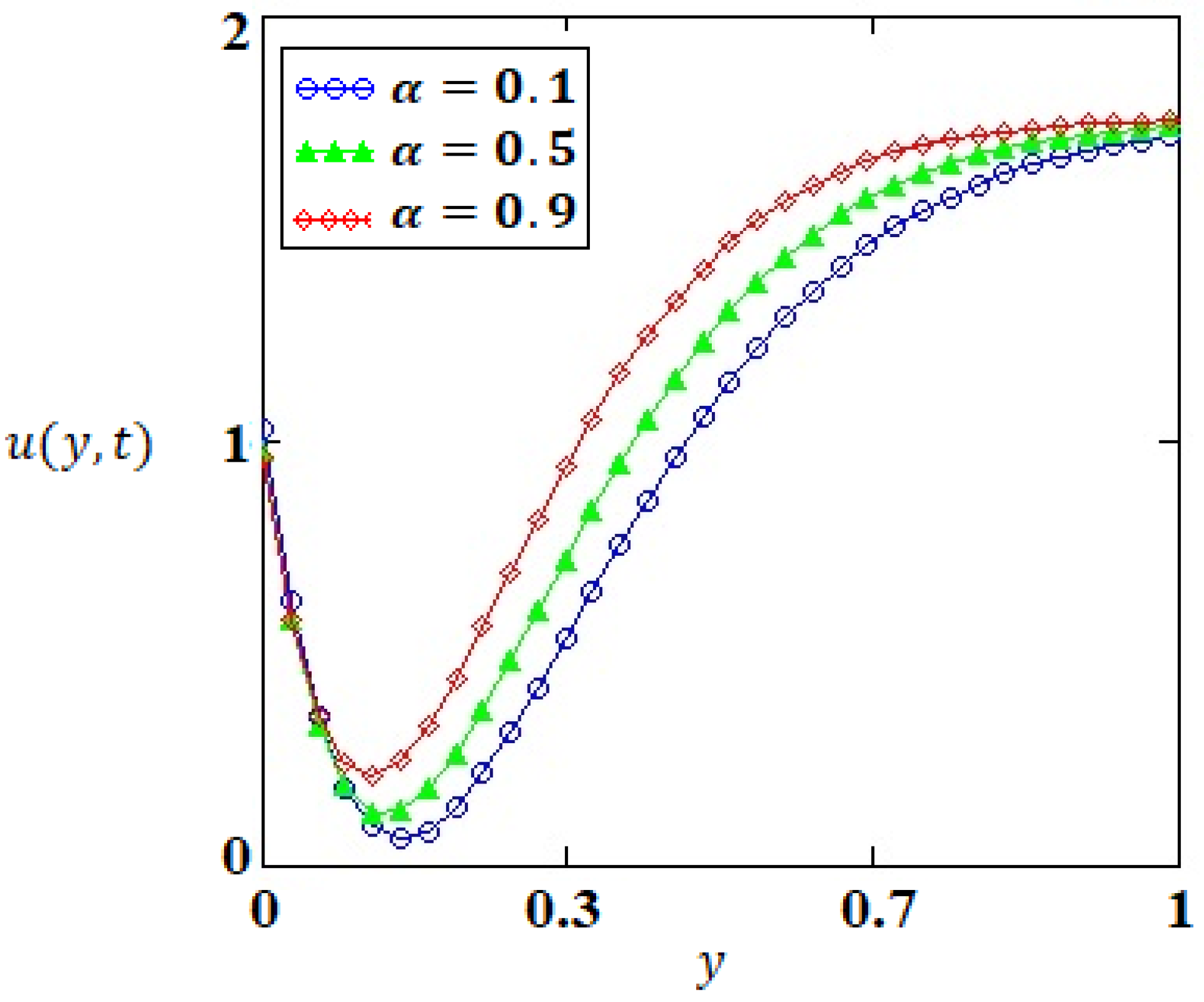
- Figure 1 is prepared for the time analysis of velocity field based on thermoelectric effects. Here, the velocity field is profiled for three different increasing times . It is observed that thermoelectric conversion efficiency is increasing as time increases. From a physical point of view, enhancing the behavior of the thermoelectric effect leads to a temperature gradient in the heat flow. Additionally, the bar graph is sketched in Figure 1, reflecting the similar stability of thermoelectric efficiency as time increases. Furthermore, a good thermal insulator provides good thermal insulation to the industrial processes during material manufacturing.
- (ii)
- It is a well-noted statement that thermoelectric effects depend on the relative alignment of the magnetization. The effects of a magnetic field on the velocity field are depicted in Figure 2. It is noted from the behavior depicted in Figure 2 that a mosaic magnetic-domain structure is achieved through increasing effects of the magnetic field. From a practical approach, a velocity field vividly reduces when the magnetic field parameter is increased; this is due to the fact that a magnetic field depends upon the Lorenz force, which leads to the resistivity and retardation of thermoelectric fluid flow.
- (iii)
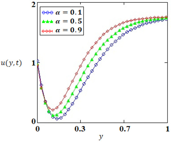
- The characterization of convection is usually based on the Prandtl number, in which momentum diffusivity can be achieved by supplying larger values of the Prandtl number, while thermal diffusivity is perceived when smaller values of the Prandtl number are employed. In this analysis, the temperature and velocity field are coupled, so three different larger values of are utilized in Figure 3 for the thermoelectric fluid flow. Practically, higher heat transfer of thermoelectric fluid can be detected by supplying a lower Prandtl number; hence, we utilized a larger Prandtl number for obtaining the suitable velocity profile based on momentum diffusivity. It should be noted that most of the common thermoelectric fluids, , , , have certain physical aspects due to their larger Prandtl number.
- (iv)
- Figure 4 elucidates the dynamics of the fractional operator of Caputo-Fabrizio on the profile of the velocity field. It is clear from Figure 4 that the velocity field shows asymptotic exponential decay behavior, which is due to the Caputo-Fabrizio operator having a non-singular exponential kernel. The possibility of a memory effect needs to be considered, as when the value of the fractional derivative is closer to the classical derivative, it has an increasing trend or velocity field.
- (v)
- The comparative analysis is based on three types of approaches, namely (i) solution with fractional approach of Caputo-Fabrizio, (ii) solution with published approach [5] (Caputo fractional operator) and (iii) solution with non-fractional approach (ordinary operator). It can be seen from Figure 5 that the solution with the fractional approach of Caputo-Fabrizio has a greater stability and accuracy in comparison with the solution in [5] (Caputo fractional operator) and the solution with a non-fractional approach (ordinary operator). This may be due to fact that the fractional approach of Caputo-Fabrizio is based on the non-singular and exponential kernel, which describes the dynamics and other characteristic of hereditary thermoelectric materials in better ways.
5. Conclusions
- -
- Enhancing the thermoelectric effect for three different increasing times, , leads to a temperature gradient in the heat flow. This is because the thermoelectric conversion efficiency increases as time increases.
- -
- The effects of the magnetic field and mosaic magnetic-domain structure are achieved by increasing the effects of the magnetic field on the velocity field.
- -
- The temperature and velocity field are coupled for three different Prandtl values, , where a higher heat transfer of thermoelectric fluid is detected for a lower Prandtl number.
- -
- The dynamics of the fractional operator of Caputo-Fabrizio on the velocity field display asymptotic exponential decay.
- -
- The comparative analysis suggests that the velocity and temperature distribution with the fractional approach of Caputo-Fabrizio has a greater stability and accuracy in comparison with other solutions.
Author Contributions
Funding
Acknowledgments
Conflicts of Interest
Nomenclature
| Time parameter | |
| Velocity field | |
| Strength of magnetic field | |
| Temperature of the plate away from the plate | |
| Peltier coefficient | |
| Prandtl number | |
| Caputo-Fabrizio operator | |
| Letting parameter of Caputo-Fabrizio fractional operator | |
| Non-zero parameter | |
| Frequency | |
| Temperature of the fluid | |
| Reference temperature | |
| Seebeck coefficient | |
| Magnetic field | |
| Order of Caputo-Fabrizio operator |
Appendix A
References
- Riffat, S.; Ma, X. Thermoelectric: A review of present and potential applications. Appl. Therm. Eng. 2003, 23, 913–935. [Google Scholar] [CrossRef]
- Chein, R.; Hung, G. Thermoelectric cooler application in electronic cooling. Appl. Therm. Eng. 2004, 24, 2207–2217. [Google Scholar] [CrossRef]
- Zhang, H.; Mui, Y.; Tarin, M. Analysis of thermoelectric cooler performance for high power electronic packages. Appl. Therm. Eng. 2010, 30, 561–568. [Google Scholar] [CrossRef]
- Abro, K.A.; Shaikh, H.S.; Khan, I. A mathematical Study of Magnetohydrodynamic Casson Fluid via Special Functions with Heat and Mass Transfer embedded in Porous Plate. arXiv 2017, arXiv:1706.03829. [Google Scholar]
- Ezzat, M.A. Theory of fractional order in generalized thermoelectric MHD. Appl. Math. Model. 2011, 35, 4965–4978. [Google Scholar] [CrossRef]
- Wiriyasart, S.; Naphon, P.; Hommalee, C. Sensible air cool-warm fan with thermoelectric module systems Development. Case Stud. Therm. Eng. 2019, 13, 100369. [Google Scholar] [CrossRef]
- He, W.; Zhou, J.; Hou, J.; Chen, C.; Ji, J. Theoretical and experimental investigation on a thermoelectric cooling and heating system driven by solar. Appl. Energy 2013, 107, 89–97. [Google Scholar] [CrossRef]
- Abro, K.A.; Qureshi, S.; Atangana, A. Mathematical and numerical optimality of non-singular fractional approaches on free and forced linear oscillator. Nonlinear Eng. 2020, 9, 449–456. [Google Scholar] [CrossRef]
- Martínez, A.; Astrain, D.; Rodríguez, A. Dynamic model for simulation of thermoelectric self cooling applications. Energy 2013, 55, 1114–1126. [Google Scholar] [CrossRef]
- Abro, K.A. Numerical study and chaotic oscillations for aerodynamic model of wind turbine via fractal and fractional differential operators. Numer. Methods Partial. Differ. Equ. 2020, 14, 1–15. [Google Scholar] [CrossRef]
- Liu, Z.; Zhang, L.; Gong, G. Experimental evaluation of a solar thermoelectric cooled ceiling combined with displacement ventilation system. Energy Convers. Manag. 2014, 87, 559–565. [Google Scholar] [CrossRef]
- Abro, K.A.; Khan, I. Analysis of Heat and Mass Transfer in MHD Flow of Generalized Casson Fluid in a Porous Space Via Non-Integer Order Derivative without Singular Kernel. Chin. J. Phys. 2017, 55, 1583–1595. [Google Scholar] [CrossRef]
- Zhao, D.; Tan, G. Experimental evaluation of a prototype thermoelectric system integrated with PCM (phase change material) for space cooling. Energy 2014, 68, 658–666. [Google Scholar] [CrossRef]
- Khan, A.; Abro, K.A.; Tassaddiq, A.; Khan, I. Atangana-Baleanu and Caputo Fabrizio Analysis of Fractional Derivatives for Heat and Mass Transfer of Second Grade Fluids over a Vertical Plate: A Comparative study. Entropy 2017, 19, 279. [Google Scholar] [CrossRef]
- Abro, K.A.; Hussain, M.; Baig, M.M. An Analytic Study of Molybdenum Disulfide Nanofluids Using Modern Approach of Atangana-Baleanu Fractional Derivatives, European Physical Journal Plus. Eur. Phys. J. Plus 2017, 132, 439. [Google Scholar] [CrossRef]
- Hristov, J. Space-fractional diffusion with a potential power-law coefficient: Transient approximate solution. Prog. Fract. Differ. Appl. 2017, 3, 19–39. [Google Scholar] [CrossRef]
- Owolabi, K.M.; Gomez-Aguilar, J.F. Numerical simulations of multilingual competition dynamics with nonlocal derivative. Chaos Solitons Fractals 2018, 117, 175–182. [Google Scholar] [CrossRef]
- Khader, M.M.; Saad, K.M. On the numerical evaluation for studying the fractional KdV, KdV-Burgers and Burgers equations. Eur. Phys. J. Plus 2018, 133, 3335. [Google Scholar] [CrossRef]
- Saad, K.M.; L-Sharif, E.H.F.A. Comparative study of a cubic autocatalytic reaction via different analysis methods. Discret. Contin. Dyn. Syst. 2019, 12, 665–684. [Google Scholar]
- Almani, S.; Qureshi, K.; Abro, K.A.; Abro, M.; Unar, I.N. Parametric study of adsorption column for arsenic removal on the basis of numerical simulations. Waves Random Complex Media 2022, 1–17. [Google Scholar] [CrossRef]
- Khader, M.M.; Saad, K.M. A numerical approach for solving the problem of biological invasion (fractional Fisher equation) using Chebyshev spectral collocation method. Chaos Solitons Fractals 2018, 110, 169–177. [Google Scholar] [CrossRef]
- Hussain, T.; Awan, A.U.; Abro, K.A.; Ozair, M.; Manzoor, M. A mathematical and parametric study of epidemiological smoking model: A deterministic stability and optimality for solutions. Eur. Phys. J. Plus 2021, 136, 11. [Google Scholar] [CrossRef]
- Atangana, A.; Nieto, J.J. Numerical solution for the model of RLC circuit via the fractional derivative without singular kernel. Adv. Mech. Eng. 2015, 7, 1–7. [Google Scholar] [CrossRef]
- Abro, K.A.; Atangana, A. Numerical and mathematical analysis of induction motor by means of AB-fractal–fractional differentiation actuated by drilling system. Numer. Methods Partial. Differ. Equ. 2020, 38, 1–15. [Google Scholar] [CrossRef]
- Abro, K.A.; Atangana, A.; Gómez-Aguilar, J. Chaos control and characterization of brushless DC motor via integral and differential fractal-fractional techniques. Int. J. Model. Simul. 2022, 1–10. [Google Scholar] [CrossRef]
- Sheikh, N.A.; Ali, F.; Khan, I.; Gohar, M.; Saqib, M. On the applications of nanofluids to enhance the performance of solar collectors: A comparative analysis of Atangana-Baleanu and Caputo-Fabrizio fractional models. Eur. Phys. J. Plus 2017, 132, 540. [Google Scholar] [CrossRef]
- Abro, K.A. Fractional characterization of fluid and synergistic effects of free convective flow in circular pipe through Hankel transform. Phys. Fluids 2020, 32, 123102. [Google Scholar] [CrossRef]
- Abro, K.A.; Memon, I.Q.; Siyal, A. Thermal transmittance and thermo-magnetization of unsteady free convection viscous fluid through non-singular differentiations. Phys. Scr. 2020, 96, 015215. [Google Scholar] [CrossRef]
- Ali, F.; Alam Jan, S.A.; Khan, I.; Gohar, M.; Sheikh, N.A. Solutions with special functions for time fractional free convection flow of Brinkman-type fluid. Eur. Phys. J. Plus 2016, 131, 310. [Google Scholar] [CrossRef]
- Souayeh, B.; Abro, K.A.; Siyal, A.; Hdhiri, N.; Hammami, F.; Al-Shaeli, M.; Alnaim, N.; Raju, S.S.K.; Alam, M.W.; Alsheddi, T. Role of copper and alumina for heat transfer in hybrid nanofluid by using Fourier sine transform. Sci. Rep. 2022, 12, 11307. [Google Scholar] [CrossRef]
- Memon, I.Q.; Abro, K.A.; Solangi, M.A.; Shaikh, A.A. Functional shape effects of nanoparticles on nanofluid suspended in ethylene glycol through Mittage-Leffler approach. Phys. Scr. 2020, 96, 025005. [Google Scholar] [CrossRef]
- Abro, K.A.; Siyal, A.; Souayeh, B.; Atangana, A. Application of Statistical Method on Thermal Resistance and Conductance during Magnetization of Fractionalized Free Convection Flow. Int. Commun. Heat Mass Transf. 2020, 119, 104971. [Google Scholar] [CrossRef]
- Abro, K.A.; Soomro, M.; Atangana, A.; Gómez-Aguilar, J.F. Thermophysical properties of Maxwell Nanoluids via fractional derivatives with regular kernel. J. Therm. Anal. Calorim. 2020, 147, 449–459. [Google Scholar] [CrossRef]
- Gómez-Aguilar, J.; Yépez-Martínez, H.; Escobar-Jiménez, R.; Astorga-Zaragoza, C.; Reyes-Reyes, J. Analytical and numerical solutions of electrical circuits described by fractional derivatives. Appl. Math. Model. 2016, 40, 9079–9094. [Google Scholar] [CrossRef]
- Lohana, B.; Abro, K.A.; Shaikh, A.W. Thermodynamical analysis of heat transfer of gravity-driven fluid flow via fractional treatment: An analytical study. J. Therm. Anal. Calorim. 2020, 144, 155–165. [Google Scholar] [CrossRef]
- Morales-Delgado, V.F.; Gómez-Aguilar, J.F.; Kumar, S.; Taneco-Hernández, M.A. Analytical solutions of the Keller-Segel chemotaxis model involving fractional operators without singular kernel. Eur. Phys. J. Plus 2018, 133, 200. [Google Scholar] [CrossRef]
- Ali, Q.; Yassen, M.F.; Asiri, S.A.; Pasha, A.A.; Abro, K.A. Role of viscoelasticity on thermo-electromechanical system subjected to annular regions of cylinders in the existence of a uniform inclined magnetic field. Eur. Phys. J. Plus 2022, 137, 770. [Google Scholar] [CrossRef]
- Owolabi, K.M.; Atangana, A. Robustness of fractional difference schemes via the Caputo subdiffusion-reaction equations. Chaos Solitons Fractals 2018, 111, 119–127. [Google Scholar] [CrossRef]
- Abro, K.A.; Atangana, A. Numerical study and chaotic analysis of meminductor and memcapacitor through fractal-fractional differential operator. Arab. J. Sci. Eng. 2020, 46, 857–871. [Google Scholar] [CrossRef]
- Gómez-Aguilar, J.F.; Atangana, A. Fractional derivatives with the power-law and the Mittaga-Leffler kernel applied to the nonlinear Baggs-Freedman model. Fractal Fract. 2018, 2, 10. [Google Scholar] [CrossRef]
- Panhwer, L.A.; Abro, K.A.; Memon, I.Q. Thermal deformity and thermolysis of magnetized and fractional Newtonian fluid with rheological investigation. Phys. Fluids 2022, 34, 053115. [Google Scholar] [CrossRef]
- Caputo, M.; Fabrizio, M. A new definition of fractional derivative without singular kernel. Prog. Fract. Differ. Appl. 2015, 1, 73–85. [Google Scholar]
- Abro, K.A.; Atangana, A.; Memon, I.Q. Comparative analysis of statistical and fractional approaches for thermal conductance through suspension of ethylene glycol nanofluid. Braz. J. Phys. 2022, 52, 118. [Google Scholar] [CrossRef]
- Abro, K.A.; Atangana, A. Mathematical analysis of memristor through fractal-fractional differential operators: A numerical study. Math. Methods Appl. Sci. 2020, 43, 6378–6395. [Google Scholar] [CrossRef]
- Abro, K.A.; Atangana, A. A comparative study of convective fluid motion in rotating cavity via Atangana–Baleanu and Caputo–Fabrizio fractal–fractional differentiations. Eur. Phys. J. Plus 2020, 135, 226–242. [Google Scholar] [CrossRef]
- Abro, K.A.; Siyal, A.; Atangana, A. Thermal stratification of rotational second-grade fluid through fractional differential operators. J. Therm. Anal. 2020, 143, 3667–3676. [Google Scholar] [CrossRef]
- Abro, K.A.; Atangana, A. Role of Non-integer and Integer Order Differentiations on the Relaxation Phenomena of Viscoelastic Fluid. Phys. Scr. 2019, 95, 035228. [Google Scholar] [CrossRef]
- Abro, K.A. A fractional and analytic investigation of thermo-diffusion process on free convection flow: An application to surface modification technology. Eur. Phys. J. Plus 2020, 135, 31–45. [Google Scholar] [CrossRef]
- Ezzat, M.; Sabbah, A.; El-Bary, A.; Ezzat, S.M. Stokes’ first problem for a thermoelectric fluid with fractional order heat transfer. Rep. Math. Phys. 2014, 74, 145–158. [Google Scholar] [CrossRef]
- Souayeh, B.; Abro, K.A.; Alnaim, N.; Al Nuwairan, M.; Hdhiri, N.; Yasin, E. Heat transfer characteristics of fractionalized hydromagnetic fluid with chemical reaction in permeable media. Energies 2022, 15, 2196. [Google Scholar] [CrossRef]
- Kuros, A. Cours d’Algebre Superieure; Mir: Moscow, Russia, 1973. [Google Scholar]
- Doddabhadrappla, G.P.; Malagi, N.S.; Veeresha, P. New approach for fractional Schrödinger-Boussinesq equations with Mittag-Leffler kernel. Math. Meth. Appl. Sci. 2020, 43, 9654–9670. [Google Scholar]
- Rajarama, M.J.; Chakraverty, S.; Baleanu, D. Fractional SIR epidemic model of childhood disease with Mittag-Leffler memory. Fract. Calc. Med. Health Sci. 2020, 229–248. [Google Scholar]
- Veeresha, P.; Prakasha, D.G.; Singh, J.; Khan, I.; Kumar, D. Analytical approach for fractional extended Fisher–Kolmogorov equation with Mittag-Leffler kernel. Adv. Differ. Equ. 2020, 2020, 174. [Google Scholar] [CrossRef]
- Veeresha, P.; Prakasha, D.G.; Baleanu, D. An efficient technique for fractional coupled system arisen in magneto-thermoelasticity with rotation using Mittag-Leffler kernel. J. Comput. Nonlinear Dyn. 2020, 16, 011002. [Google Scholar] [CrossRef]
- Veeresha, P.; Prakasha, D.; Singh, J.; Kumar, D.; Baleanu, D. Fractional Klein-Gordon-Schrödinger equations with Mittag-Leffler memory. Chin. J. Phys. 2020, 68, 65–78. [Google Scholar] [CrossRef]





Publisher’s Note: MDPI stays neutral with regard to jurisdictional claims in published maps and institutional affiliations. |
© 2022 by the authors. Licensee MDPI, Basel, Switzerland. This article is an open access article distributed under the terms and conditions of the Creative Commons Attribution (CC BY) license (https://creativecommons.org/licenses/by/4.0/).
Share and Cite
Al Owidh, M.; Souayeh, B.; Memon, I.Q.; Ali Abro, K.; Alfannakh, H. Heat Transfer and Fluid Circulation of Thermoelectric Fluid through the Fractional Approach Based on Local Kernel. Energies 2022, 15, 8473. https://doi.org/10.3390/en15228473
Al Owidh M, Souayeh B, Memon IQ, Ali Abro K, Alfannakh H. Heat Transfer and Fluid Circulation of Thermoelectric Fluid through the Fractional Approach Based on Local Kernel. Energies. 2022; 15(22):8473. https://doi.org/10.3390/en15228473
Chicago/Turabian StyleAl Owidh, Maryam, Basma Souayeh, Imran Qasim Memon, Kashif Ali Abro, and Huda Alfannakh. 2022. "Heat Transfer and Fluid Circulation of Thermoelectric Fluid through the Fractional Approach Based on Local Kernel" Energies 15, no. 22: 8473. https://doi.org/10.3390/en15228473
APA StyleAl Owidh, M., Souayeh, B., Memon, I. Q., Ali Abro, K., & Alfannakh, H. (2022). Heat Transfer and Fluid Circulation of Thermoelectric Fluid through the Fractional Approach Based on Local Kernel. Energies, 15(22), 8473. https://doi.org/10.3390/en15228473

