A Slime Mould Algorithm Programming for Solving Single and Multi-Objective Optimal Power Flow Problems with Pareto Front Approach: A Case Study of the Iraqi Super Grid High Voltage
Abstract
1. Introduction
- (i)
- The mathematical model used in this algorithm is unique. It uses adaptive weights, which are allowed to produce positive and negative feedback in the simulation process for propagation wave.
- (ii)
- The form path of connection food is optimal using a bio-oscillator.
- (iii)
- The ability and propensity for exploration and exploitation is excellent.
- The Slime Mould Algorithm was developed to solve single- and multi-objective optimal power flow to achieve the economic, environmental, and technical benefits of power systems.
- The Pareto concept is the approach taken to rank store non-dominated Pareto fronts, crowding distance is the mechanism to reduce the Pareto repository, and fuzzy set theory is the theory applied to extract the best compromise solution.
- Two standard IEEE test systems (IEEE 30 bus IEEE 57 bus systems) and a one practical network (Iraqi Super Grid High Voltage 400 kV) were applied with 29 case studies for single- and multi-objective (Bi, Triple, Quad, and Quinta) functions.
- The optimal results obtained by the proposed algorithm were compared with other recent optimization methods in the literature.
2. OPF Problem Formulation
2.1. Objective Functions
- Generation Fuel Cost (GFC) (USD/h)
- 2.
- Real Power Losses (RPL) (MW)
- 3.
- Emission (Em) (ton/h)
- 4.
- Voltage Deviation (VD) (p.u.)
- 5.
- Voltage Stability Index (VSI)
2.2. Constraints
- 1.
- Generator Constraints:
- 2.
- Shunt Compensator Constraints:
- 3.
- Transformer Constraints:
- 4.
- Security Constraints:
3. The Mathematical Model of the Slime Mould Algorithm (SMA)
3.1. Approach Food
3.2. Wrap Food
3.3. Oscillation
| Algorithm 1. Pseudo-code of the Slime Mould Algorithm (SMA) | |
| 1. | Select the values of parameters |
| 2. | Determine the positions of slime mode |
| 3. | While |
| 4. | Calculate of all slime mode |
| 5. | Update |
| 6. | Calculate Equation (23) |
| 7. | For |
| 8. | Update |
| 9. | Update positions by Equation (25) |
| 10. | End (For) |
| 11. | |
| 12. | End (While) |
| 13. | Return |
4. Multi-Objective Slime Mould Algorithm (MOSMA)
4.1. Pareto Optimization Approach
4.2. Best Compromise Solution
4.3. Phases of MOSMA
4.4. Crowding Distance
5. Simulation Results
5.1. IEEE 30-Bus Power System
5.1.1. Single-Objective OPF on IEEE 30-Bus Power System
- Case #1: To the optimal operating point, the generation fuel cost (GFC) used to operate generation units should be minimized by setting the control variables. Therefore, the first objective function of this study is to achieve generation fuel cost (GFC) minimization using the Slime Mould Algorithm (SMA). Table 3 illustrated that generation fuel cost has (GFC) been minimized to 799.2557 (USD/h). The remainder results of this case are 8.6691 (MW), 0.3681 (ton/h), 1.4192 (p.u.), and 0.1237 of RPL, Em, VD, and VSI.
- Case #2: The second objective function is to minimize the real power losses (RPL) in the transmission lines. The real power losses (RPL) will be reduced from 5.6891 (MW) at the initial case to 2.9934 (MW) at the optimal case with a reduction rate equal to 47.38%. The values of GFC, Em, VD, and VSI of this case are equal to 964.5746 (USD/h), 0.2213 (ton/h), 1.4677 (p.u.), and 0.1229, respectively.
- Case #3: Recently, emission (Em) studies have received growing attention due to environmental pollution and global warming. In this case, reducing emissions is the primary aim of the proposed SMA. The best result obtained by SMA to reduce emission is 0.2175 (ton/h). The reduction rate between the optimal case (0.2175(ton/h)) and the initial case (0.2253 (ton/h)) is 3.46%.
- Case #4: The fourth objective function in this paper is voltage deviation (VD) minimization. The aim of this minimizing is to improve voltage profiles at each load bus. The reduction rate of this case is 90.66% (compared between the initial case, which is 1.1747 (p.u.), and the optimal case, which is 0.1097 (p.u.)). The rest values of this case are 868.0514 (USD/h), 6.2099 (MW), 0.2569 (ton/h), and 0.1371 of GFC, RPL, Em, and VSI, respectively.
- Case #5: To achieve more stability of whole power system, the voltage stability indicator () was minimized using the SMA. In this case, the VSI was minimized from 0.1727 at initial case to 0.1136 at the optimal case with a reduction rate equal to 34.23%. The remainder results of GFC, RPL, Em, and VD are 834.0165 (USD/h), 6.3446 (MW), 0.31 (ton/h), and 1.7545 (p.u.), respectively, as given in Table 3.
5.1.2. Multiple-Objective OPF on IEEE 30-Bus Power System
- Case #6: In this case, MOSMA was applied to optimize the GFC and Em simultaneously. The best compromise solutions of GFC and Em are (832.8647 (USD/h), 0.2514 (ton/h)).
- Case #7: The GFC and RPL were optimized simultaneously. The best compromise solutions of GFC and RPL are (840.960 (USD/h), 4.8762 (MW)).
- Case #8: In Case 8, the two objectives function that were minimized and considered simultaneously are GFC and VD. The best compromise solution of this case is 802.0533 ($/h) and 0.3267 (p.u.) of GFC and VD, respectively.
- Case #9: The minimum GFC and VSI were simultaneously considered. The best compromise solutions obtained by MOSMA in this case are 800.1309 (USD/h) and 0.1172.
- Case #10: This case shows the minimization of Em and VD simultaneously. The proposed MOSMA provided the best compromise solutions, which are 0.2184 (ton/h) and 0.2074 (p.u.).
- Case #11: The RPL and VD were optimized simultaneously. The best compromise values obtained by the proposed MOSMA of RPL, and VD are 3.1922 (MW) and 0.5417 (p.u.), respectively.
- Case #12: The last case of the bi-objective functions type is the minimization of VD and VSI simultaneously. The proposed MOSMA provided the best compromise values for VD and VSI, which are 0.3102 (p.u.) and 0.1284, respectively.
- Case #13: The GFC, RPL, and Em were presented as objective functions to optimize simultaneously. The best compromise of GFC, RPL, and Em obtained by the proposed MOSMA are 867.5282 (USD/h), 4.3416 (MW) and 0.2300 (ton/h), respectively.
- Case #14: In this case, the minimization of GFC, Em, and VD have been optimized simultaneously as objective functions. The best compromising GFC, Em, and VD obtained by the proposed approach are 841.554 (USD/h), 0.2531 (ton/h) and 0.2214 (p.u.), respectively.
- Case #15: In Case 15, the three objectives function that were minimized considered simultaneously are GFC, RPL, and VD. The best compromise values of this case are 844.6107 (USD/h), 6.0058 (MW), and 0.2279 (p.u.) of GFC, RPL, and VD, respectively.
- Case #16: The minimization of GFC, RPL, and VSI were optimized simultaneously. The best compromising of GFC, RPL, and VSI obtained by the proposed MOSMA are 841.4057 (USD/h), 5.0766 (MW) and 0.1176, respectively.
- Case #17: This case shows the minimization of GFC, Em, and VSI simultaneously. The proposed MOSMA provided the best compromise values, which are 850.7178 (USD/h), 0.2476 (ton/h), and 0.1158.
- Case #18: The GFC, VD, and VSI are optimized simultaneously. The best compromise values obtained by proposed MOSMA of GFC, VD, and VSI are 804.4035 (USD/h), 0.5409 (p.u.), and 0.1291 respectively.
- Case #19: The last case of triple-objective functions type is the minimization of Em, RPL, and VD simultaneously. The proposed MOSMA provided the best compromise values for Em, RPL, and VD are 0.2183 (ton/h), 3.9925 (MW) and 0.2414 (p.u.), respectively.
- Case #20: In this case, the GFC, Em, RPL, and VD were optimized simultaneously. The best compromise solutions obtained by the developed framework are 832.3665 (USD/h), 0.2675 (ton/h), 6.4495 (MW) and 0.2189 (p.u.), of GFC, Em, RPL, and VD, respectively.
- Case #21: The GFC, Em, RPL, and VSI were optimized simultaneously. The best compromising of GFC, Em, RPL, and VSI obtained by the proposed MOSMA are 847.723 (USD/h), 0.2466 (ton/h), 5.1423 (MW) and 0.1183, respectively.
- Case #22: The last case of the multiple-objective functions type is the minimization of GFC, Em, RPL, VD, and VSI simultaneously. The proposed MOSMA provided the best compromise values for GFC, Em, RPL, VD, and VSI, which are 824.7751 (USD/h), 0.2753 (ton/h), 6.3599 (MW), 0.5111 (p.u.) and 0.1290, respectively.
5.2. IEEE 57-Bus Power System
Single-Objective OPF on IEEE 57-Bus Power System
- Case #23: The GFC is the objective function that has been considered. The minimum of GFC obtained by the proposed method is 41633.61 (USD/h). The remainder results of this case are 14.3018 (MW), 1.3624 (ton/h), 2.4684 (p.u.), and 0.2561 of RPL, Em, VD, and VSI, respectively. The reduction rate between the optimal case and the initial case is 18.93%.
- Case #24: The minimization of Em is the objective function of this case. The optimal result obtained from this case is 0.9595 (ton/h) using the proposed approach. The reduction rate of emission reaches 60.24% when compared to the initial case (2.4129 (ton/h)) and the optimal case (0.9595 (ton/h)). The rest values of GFC, RPL, VD, and VSI are 45157 (USD/h), 14.7671 (MW), 2.5298 (p.u.), and 0.2890, respectively.
- Case #25: The main objective function of this case is the reduction of RPL. The best result obtained by the proposed approach is 9.2874 (MW) with a reduction rate equal to 66.67%. The remainder values of GFC, Em, VD, and VSI are 44911 (USD/h), 1.1126 (ton/h), 3.8873 (p.u.), and 0.2145, respectively.
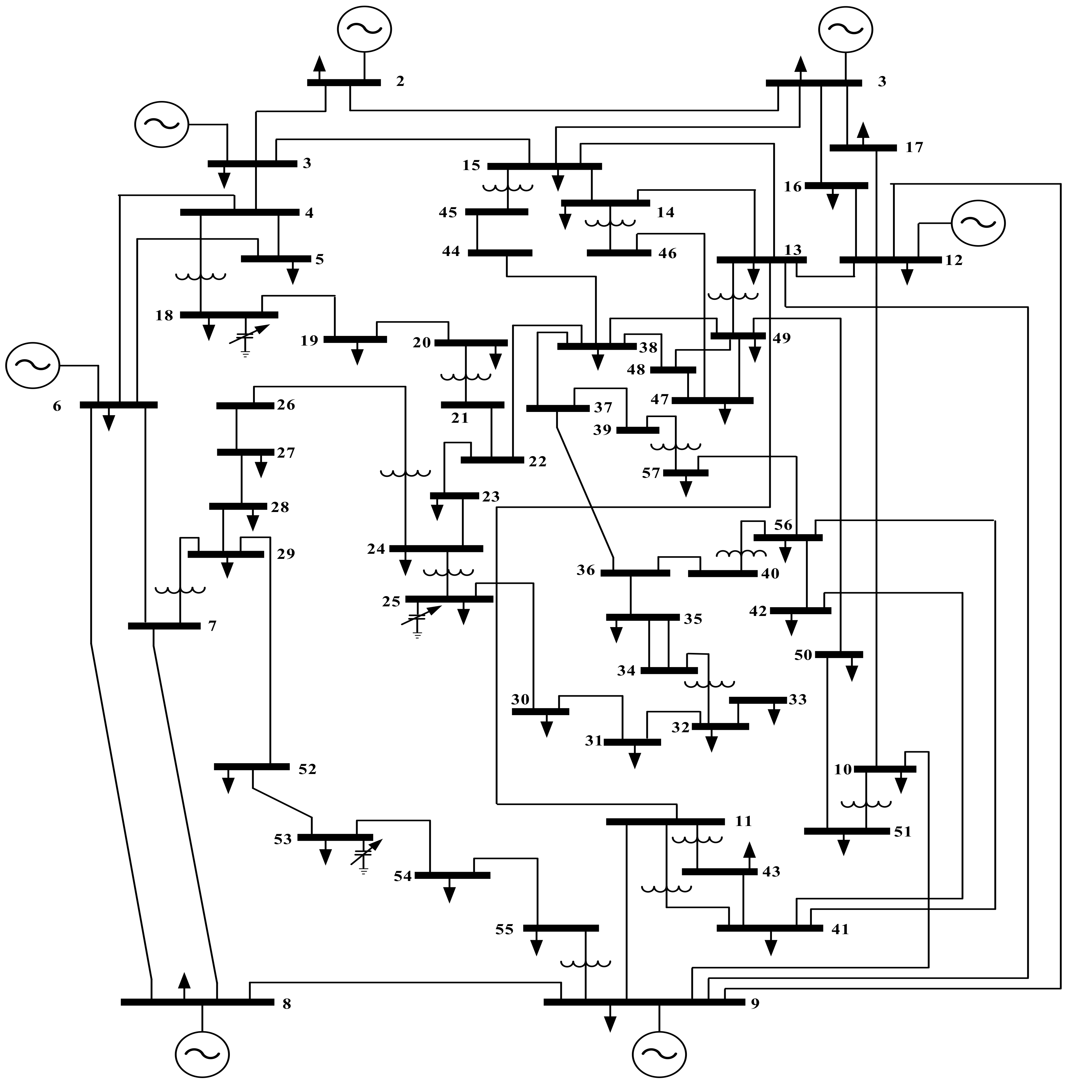
5.3. Iraqi Super Grid High Voltage 400 kV (ISGHV 400 kV)
Single-Objective OPF on ISGHV 400 kV
- Case #26: The objective function in this case is the minimization of GFC of the ISGHV network. The GFC was reduced from 39565 (USD/h) in the initial case to 20740 (USD/h) in the optimal case, with a reduction rate equal to 47.58%. The GFC, VD, and VSI are equal to 45.2254 (MW,) 0.4678 (p.u.) and 0.0826, respectively, as tabulated in Table 10.
- Case #27: In this case, the objective function that was optimized is RPL by means of SMA. The optimal result of RPL was reduced to 18.6087 (MW) compared with the initial case, which was equal to 42.3834 (MW) The reduction rate of this case is 56.09%. The rest results of GFC, VD, and VSI are equal to 36784 (USD/h), 0.7725 (p.u.) and 0.0815, respectively, as tabulated in Table 10.
- Case #28: The third objective function of this subsection is to improve the voltage profiles by minimizing the voltage deviation (VD) at the load bus from 1.0 (p.u.) The VD was minimized from 0.2013 (p.u.) in the initial case to 0.0625 (p.u.) in the optimal case. The reduction rate of VD is 68.95%.
- Case #29: The last case of this article is the voltage stabilization reinforcement by minimization of the maximum voltage stability index (L-index) of the system load buses. The VSI is minimized to 0.0749 in the optimal case compared with 0.0886 in the initial case. The reduction rate of VSI is 15.46%. The GFC, RPL, and VD are equal to 45500 (USD/h), 19.9760 (MW), and 1.2955 (p.u.), respectively, as tabulated in Table 10.
5.4. Performance Comparison
| Case 23 | Case 24 | Case 25 | |||
|---|---|---|---|---|---|
| Method | FC [USD/h] | Method | Em [ton/h] | Method | RPL [MW] |
| Initial | 51353 | Initial | 2.4129 | Initial | 27.8683 |
| TLBO [43] | 41683 | PSO [27] | 1.19 | PSO [27] | 13.6673 |
| GA [43] | 41685 | GA [27] | 1.189 | GA [27] | 13.3983 |
| GOA [43] | 41680 | Jaya [27] | 1.1111 | ABC [49] | 12.6260 |
| ABC [55] | 41694 | SSO [37] | 1.7024 | MICA [70] | 11.8826 |
| MO-DEA [71] | 41683 | NISSO [37] | 1.03927 | SMA | 9.2874 |
| GSA [72] | 41695 | ABC [49] | 1.2048 | ||
| NPSO [73] | 41699.52 | IABC [49] | 1.0484 | ||
| KHA [74] | 41709.3 | MICA [70] | 1.2246 | ||
| EADDE [75] | 41713.6 | MTLBO [76] | 1.0772 | ||
| fuzzy GA [77] | 41716.3 | GBBICA [78] | 1.1724 | ||
| SMA | 41633.61 | SKHA [79] | 1.08 | ||
| SMA | 0.9595 | ||||
| Item | Max | Min | Initial | Case 26 | Case 27 | Case 28 | Case 29 | |
|---|---|---|---|---|---|---|---|---|
| [MW] | 150 | 1200 | 159.383 | 1096.691 | 813.1153 | 1158.4575 | 888.0881 | |
| 130 | 988 | 690 | 987.9720 | 325.8517 | 447.2378 | 351.6373 | ||
| 250 | 750 | 250 | 250.0141 | 384.4645 | 434.8705 | 284.2415 | ||
| 120 | 1320 | 406 | 120.0362 | 395.7200 | 563.6893 | 305.5577 | ||
| 120 | 636 | 591 | 120.0380 | 170.0734 | 310.7864 | 614.2338 | ||
| 50 | 260 | 240 | 50.2201 | 73.2614 | 127.6456 | 65.0107 | ||
| 180 | 910 | 735 | 732.5920 | 896.2568 | 449.9110 | 879.2067 | ||
| 60 | 660 | 203 | 659.9335 | 427.6555 | 281.8446 | 166.4127 | ||
| 50 | 500 | 369 | 67.3979 | 152.3144 | 216.3835 | 155.9652 | ||
| 250 | 1320 | 478 | 250.0869 | 559.2488 | 645.6229 | 416.5426 | ||
| 250 | 1250 | 600 | 583.3062 | 288.9408 | 619.7411 | 406.4446 | ||
| 210 | 840 | 775 | 635.0647 | 837.6637 | 442.9369 | 813.4249 | ||
| 100 | 440 | 332 | 435.5222 | 439.0323 | 225.7120 | 425.6579 | ||
| 50 | 250 | 208 | 50.3508 | 248.9596 | 123.9482 | 241.5635 | ||
| [p.u.] | 0.95 | 1.1 | 1.04 | 1.0394 | 1.0592 | 1.0055 | 1.0937 | |
| 0.95 | 1.1 | 1.02 | 1.0305 | 1.0609 | 1.0055 | 1.0937 | ||
| 0.95 | 1.1 | 1.01 | 1.0089 | 1.0586 | 1.0055 | 1.0937 | ||
| 0.95 | 1.1 | 1.02 | 1.0182 | 1.0604 | 1.0055 | 1.0937 | ||
| 0.95 | 1.1 | 1.02 | 1.0180 | 1.0604 | 1.0055 | 1.0937 | ||
| 0.95 | 1.1 | 1.02 | 1.0281 | 1.0562 | 1.0055 | 1.0937 | ||
| 0.95 | 1.1 | 1.01 | 1.0305 | 1.0567 | 1.0055 | 1.0937 | ||
| 0.95 | 1.1 | 1.02 | 1.0286 | 1.0614 | 1.0055 | 1.0937 | ||
| 0.95 | 1.1 | 1.02 | 1.0398 | 1.0582 | 1.0055 | 1.0937 | ||
| 0.95 | 1.1 | 1.03 | 1.0507 | 1.0652 | 1.0055 | 1.0937 | ||
| 0.95 | 1.1 | 1.03 | 1.0530 | 1.0594 | 1.0055 | 1.0937 | ||
| 0.95 | 1.1 | 1.02 | 1.0647 | 1.0682 | 1.0055 | 1.0937 | ||
| 0.95 | 1.1 | 1.01 | 1.0448 | 1.0459 | 1.0055 | 1.0937 | ||
| 0.95 | 1.1 | 1.01 | 1.0448 | 1.0497 | 1.0055 | 1.0937 | ||
| FC [USD/h] | 39565 | 20740 | 36784 | 49843 | 45500 | |||
| RPL [MW] | 42.3834 | 45.2254 | 18.6087 | 54.8430 | 19.9760 | |||
| VD [p.u.] | 0.2013 | 0.4678 | 0.7725 | 0.0625 | 1.2955 | |||
| VSI | 0.0886 | 0.0826 | 0.0815 | 0.0917 | 0.0749 | |||
| Reduction rate | - | 47.58% | 56.09% | 68.95% | 15.46% | |||
6. Conclusions
Author Contributions
Funding
Data Availability Statement
Conflicts of Interest
Abbreviations
| OPF | Optimal power flow |
| OF | Objective function |
| SMA | Slime Mould Algorithm |
| MOSMA | Multi-Objective Slime Mould Algorithm |
| MOSMA | Multi-Objective Slime Mould Algorithm |
| GFC | Generation fuel costs |
| RPL | Real power losses |
| Em | Emission |
| VD | Voltage deviation |
| VSI | Voltage stability index |
| ISGHV | Iraqi Super Grid High Voltage |
| NFL | No free lunch theorem |
| Nomenclature | |
| ,, and | Objective functions, equality, and inequality constraints, respectively |
| u and x | The control and state variables, respectively |
| n, m, and p | Number objectives functions, number of equality constraint, and number of inequality constraint, respectively |
| and | The real and reactive power output of generation units, respectively |
| and | The voltages magnitude at PV and PQ buses, respectively |
| The tap setting ratio of transformers | |
| The source VAR compensators | |
| ,,,, , and | The numbers of generators, regulating transformers, shunt compensators units, load buses, all buses, and transmission lines, respectively |
| and | Generation fuel cost coefficients of generators |
| and | The conductance and susceptance, respectively |
| The apparent power flow in each transmission line | |
| ,,,,and | The emission coefficients of generators |
| and | The submatrix of the original admittance , respectively |
| The current iteration | |
| δ | The angle difference between phase and phase |
| The parameter in the range | |
| decreases linearly [1−0] | |
| The population position according to the highest concentration of odour currently found | |
| The slime mould location | |
| and | The individuals have been chosen as randomly of slime mould, respectively |
| The weight of slime mould | |
| , and | The fitness and best fitness value of , respectively |
| The maximum iteration | |
| The ranks first half of the population | |
| and | denotes the random value within |
| , and | denotes the optimal and worst fitness, respectively |
| refers to the sequence of fitness values sorted | |
| and | indicate to the limit of lower and upper boundaries |
| The value of the parameter-setting experiment that will be discussed | |
| and | Minimum and maximum value of objective function |
| The membership function | |
| The total number of non-dominated solutions | |
| The weight factor of the objective function |
Appendix A
| Coefficient Generating Unit | ||||||
|---|---|---|---|---|---|---|
| G1 | G2 | G5 | G8 | G11 | G13 | |
| Fuel cost coefficient | ||||||
| a | 0 | 0 | 00 | 0 | 0 | 0 |
| b | 2 | 1.75 | 1 | 3.25 | 3 | 3 |
| c | 0.00375 | 0.0175 | 0.0625 | 0.00834 | 0.025 | 0.025 |
| Emission coefficient | ||||||
| α | 4.091 | 2.543 | 4.258 | 5.326 | 4.258 | 6.131 |
| β | −5.554 | −6.047 | −5.094 | −3.55 | −5.094 | −5.555 |
| γ | 6.49 | 5.638 | 4.586 | 3.38 | 4.586 | 5.151 |
| ζ | 2.00 × 10−4 | 5.00 × 10−4 | 1.00 × 10−6 | 2.00 × 10−3 | 1.00 × 10−6 | 1.00 × 10−5 |
| λ | 2.857 | 3.33 | 8 | 2 | 8 | 6.67 |

| Coefficient Generating Unit | |||||||
|---|---|---|---|---|---|---|---|
| G1 | G2 | G3 | G6 | G8 | G9 | G12 | |
| Fuel cost coefficient | |||||||
| a | 0 | 0 | 0 | 0 | 0 | 0 | 0 |
| b | 2 | 1.75 | 3 | 2 | 1 | 1.75 | 3.25 |
| c | 0.00375 | 0.0175 | 0.025 | 0.00375 | 0.0625 | 0.0195 | 0.00834 |
| Emission coefficient | |||||||
| α | 4.091 | 2.543 | 6.131 | 3.491 | 4.258 | 2.754 | 5.326 |
| β | −5.554 | −6.047 | −5.555 | −5.754 | −5.094 | −5.847 | −3.555 |
| γ | 6.49 | 5.638 | 5.151 | 6.39 | 4.586 | 5.238 | 3.38 |
| ζ | 2.0 × 10−4 | 5.0 × 10−4 | 1.0 × 10−5 | 3.0 × 10−4 | 1.0 −6 | 4.0 × 10−4 | 2.0 × 10−3 |
| λ | 2.857 × 10−1 | 3.33 × 10−1 | 6.67 × 10−1 | 2.66 × 10−1 | 8.0 × 10−1 | 2.88 × 10−1 | 2.0 × 10−1 |

| Gen | a | b | c | Gen | a | b | c |
|---|---|---|---|---|---|---|---|
| 1 | 275 | 0.35 | 0.0012 | 8 | 0 | 0 | 0 |
| 2 | 0 | 0 | 0 | 9 | 250 | 0.5 | 0.02 |
| 3 | 200 | 3.5 | 0.04 | 10 | 300 | 2.2 | 0.003 |
| 4 | 2581 | 2.155 | 0.05 | 11 | 200 | 0.652 | 0.002 |
| 5 | 1698 | 11.91 | 0.03 | 12 | 159 | 0.561 | 0.002 |
| 6 | 154 | 7.05 | 0.0136 | 13 | 120 | 0.8 | 0.0025 |
| 7 | 200 | 0.64 | 0.0017 | 14 | 685 | 3.1 | 0.0158 |
| Bus No. | Type | Bus Name | Voltage | Load | Generation | Q Injection | |||
|---|---|---|---|---|---|---|---|---|---|
| Mag [p.u.] | Angle Deg. | MW | MVAr | MW | MVAr | ||||
| 1 | Slack | MUSP | 1.04 | 0 | 206 | 56 | 159.4 | 2347.4 | 0 |
| 2 | PU | MMDH | 1.015 | 9.525 | 0 | 0 | 690 | −92.4 | 0 |
| 3 | PU | GNENW | 1.01 | 7.695 | 150 | 75 | 250 | −120.3 | 0 |
| 4 | PU | BAJP | 1.02 | 6.74 | 125 | 93 | 406 | −203.8 | −155 |
| 5 | PU | BAJG | 1.02 | 6.792 | 0 | 0 | 591 | −91 | 0 |
| 6 | PU | KRK4 | 1.017 | 5.691 | 130 | 10 | 240 | −194 | −100 |
| 7 | PU | QDSG | 1.01 | −0.773 | 0 | 0 | 735 | 115.6 | 0 |
| 8 | PU | HDTH | 1.02 | 2.645 | 200 | 50 | 203 | −198.7 | 0 |
| 9 | PU | MUSG | 1.02 | 0.243 | 0 | 0 | 369 | −2082.4 | 0 |
| 10 | PU | KUTP | 1.03 | −0.654 | 0 | 0 | 478 | −70 | 0 |
| 11 | PU | GKHRP | 1.025 | 1.618 | 0 | 0 | 600 | −295.4 | 0 |
| 12 | PU | NSRP | 1.02 | −2.117 | 423 | 101 | 775 | −230.3 | −100 |
| 13 | PU | HRTHP | 1.01 | −9.663 | 155 | 72 | 332 | 69.9 | −50 |
| 14 | PU | KAZG | 1.0096 | −9.48 | 200 | 101 | 208 | 24.6 | −50 |
| 15 | PQ | MSL4 | 1.0119 | 7.252 | 650 | 302 | 0 | 0 | −50 |
| 16 | PQ | BGS4 | 1.0246 | −0.671 | 0 | 0 | 0 | 0 | 0 |
| 17 | PQ | BGW4 | 1.0084 | −0.563 | 576 | 302 | 0 | 0 | −150 |
| 18 | PQ | BGE4 | 1.0075 | −1.678 | 849 | 295 | 0 | 0 | −50 |
| 19 | PQ | BGN4 | 1.0086 | −1.053 | 413 | 149 | 0 | 0 | −50 |
| 20 | PQ | AMN4 | 1.0183 | −1.248 | 127 | 56 | 0 | 0 | 0 |
| 21 | PQ | BGC4 | 1.0099 | −0.671 | 50 | 182 | 0 | 0 | 0 |
| 22 | PQ | DYL4 | 1.0029 | −2.029 | 84 | 22 | 0 | 0 | −50 |
| 23 | PQ | KUT4 | 1.0249 | −4.277 | 260 | 108 | 0 | 0 | −100 |
| 24 | PQ | QIM4 | 1.0132 | 1.222 | 109 | 40 | 0 | 0 | −50 |
| 25 | PQ | BAB4 | 1.033 | 0.041 | 308 | 185 | 0 | 0 | 0 |
| 26 | PQ | KDS4 | 1.0316 | −0.695 | 213 | 152 | 0 | 0 | −50 |
| 27 | PQ | AMR4 | 0.9988 | −10.44 | 311 | 161 | 0 | 0 | −100 |
| 28 | PQ | BSR4 | 1.0052 | −10.26 | 455 | 145 | 0 | 0 | 0 |
| Line | Bus | Line | R [p.u.] | X [p.u.] | Charging [p.u.] | |
|---|---|---|---|---|---|---|
| From | To | |||||
| L1 | 15 | 2 | 2 | 0.00144 | 0.01177 | 0.36439 |
| L2 | 15 | 3 | 1 | 0.001777 | 0.016154 | 0.478634 |
| L3 | 15 | 4 | 1 | 0.0042 | 0.03437 | 1.06426 |
| L4 | 15 | 6 | 1 | 0.004984 | 0.04531 | 1.34251 |
| L5 | 3 | 4 | 1 | 0.003294 | 0.02994 | 0.887224 |
| L6 | 4 | 5 | 1 | 0.00002 | 0.0002 | 0.00584 |
| L7 | 4 | 17 | 2 | 0.00483 | 0.04393 | 1.30165 |
| L8 | 4 | 8 | 1 | 0.00345 | 0.03132 | 0.92808 |
| L9 | 5 | 6 | 1 | 0.0018 | 0.01635 | 0.48447 |
| L10 | 6 | 18 | 1 | 0.00496 | 0.04511 | 1.333667 |
| L11 | 17 | 19 | 1 | 0.00093 | 0.00847 | 0.25099 |
| L12 | 17 | 21 | 1 | 0.000607 | 0.005516 | 0.163436 |
| L13 | 17 | 8 | 1 | 0.005049 | 0.045901 | 1.360021 |
| L14 | 16 | 20 | 2 | 0.00082 | 0.00749 | 0.22181 |
| L15 | 16 | 21 | 1 | 0.000953 | 0.00866 | 0.25682 |
| L16 | 16 | 1 | 1 | 0.00122 | 0.01015 | 0.31897 |
| L17 | 16 | 9 | 1 | 0.001094 | 0.009106 | 0.286176 |
| L18 | 16 | 26 | 1 | 0.00308 | 0.02795 | 0.82827 |
| L19 | 18 | 19 | 1 | 0.00029 | 0.00262 | 0.07763 |
| L20 | 18 | 20 | 1 | 0.00043 | 0.00394 | 0.11674 |
| L21 | 18 | 22 | 1 | 0.00087 | 0.00788 | 0.23348 |
| L22 | 19 | 7 | 2 | 0.00015 | 0.00138 | 0.04086 |
| L23 | 20 | 10 | 1 | 0.002427 | 0.022064 | 0.653744 |
| L24 | 23 | 10 | 1 | 0.001734 | 0.01576 | 0.46696 |
| L25 | 23 | 12 | 1 | 0.00432 | 0.03928 | 1.1639 |
| L26 | 23 | 27 | 1 | 0.00479 | 0.04354 | 1.28998 |
| L27 | 8 | 24 | 1 | 0.00292 | 0.02391 | 0.74035 |
| L28 | 1 | 9 | 1 | 0.000125 | 0.001043 | 0.032791 |
| L29 | 1 | 25 | 2 | 0.00081 | 0.00673 | 0.21165 |
| L30 | 25 | 11 | 1 | 0.000898 | 0.00736 | 0.227 |
| L31 | 25 | 26 | 1 | 0.00233 | 0.01935 | 0.60812 |
| L32 | 11 | 26 | 1 | 0.002267 | 0.01857 | 0.5752 |
| L33 | 26 | 12 | 1 | 0.00383 | 0.03485 | 1.03256 |
| L34 | 12 | 14 | 1 | 0.00439 | 0.03993 | 1.18316 |
| L35 | 27 | 13 | 1 | 0.0029 | 0.0264 | 0.78216 |
| L36 | 13 | 14 | 2 | 0.00118 | 0.01076 | 0.3187 |
| L37 | 13 | 28 | 1 | 0.000672 | 0.006107 | 0.180947 |
| L38 | 14 | 28 | 1 | 0.000563 | 0.005122 | 0.151762 |
| L39 | 15 | 2 | 2 | 0.00144 | 0.01177 | 0.36439 |

References
- Çelik, D.; Meral, M.E. Current control based power management strategy for distributed power generation system. Control Eng. Pract. 2019, 82, 72–85. [Google Scholar] [CrossRef]
- Carpentier, J. Contribution to the economic dispatch problem. Bull. La Soc. Fr. Des. Electr. 1962, 3, 431–447. [Google Scholar]
- Ebeed, M.; Kamel, S.; Jurado, F. Optimal power flow using recent optimization techniques. In Classical and Recent Aspects of Power System Optimization; Elsevier: Amsterdam, The Netherlands, 2018; pp. 157–183. [Google Scholar] [CrossRef]
- Abd El-sattar, S.; Kamel, S.; Tostado, M.; Jurado, F. Lightning attachment optimization technique for solving optimal power flow problem. In Proceedings of the 2018 Twentieth International Middle East Power Systems Conference (MEPCON), Cairo, Egypt, 18–20 December 2018; pp. 930–935. [Google Scholar] [CrossRef]
- Mirjalili, S.; Mirjalili, S.M.; Lewis, A. Grey wolf optimizer. Adv. Eng. Softw. 2014, 69, 46–61. [Google Scholar] [CrossRef]
- Yang, Y.; Chen, H.; Heidari, A.A.; Gandomi, A.H. Hunger games search: Visions, conception, implementation, deep analysis, perspectives, and towards performance shifts. Expert Syst. Appl. 2021, 177, 114864. [Google Scholar] [CrossRef]
- Heidari, A.A.; Mirjalili, S.; Faris, H.; Aljarah, I.; Mafarja, M.; Chen, H. Harris hawks optimization: Algorithm and applications. Futur. Gener. Comput. Syst. 2019, 97, 849–872. [Google Scholar] [CrossRef]
- Salih, S.Q.; Alsewari, A.A. A new algorithm for normal and large-scale optimization problems: Nomadic People Optimizer. Neural Comput. Appl. 2020, 32, 10359–10386. [Google Scholar] [CrossRef]
- Hashim, F.A.; Houssein, E.H.; Hussain, K.; Mabrouk, M.S.; Al-Atabany, W. Honey Badger Algorithm: New metaheuristic algorithm for solving optimization problems. Math. Comput. Simul. 2022, 192, 84–110. [Google Scholar] [CrossRef]
- Li, S.; Chen, H.; Wang, M.; Heidari, A.A.; Mirjalili, S. Slime mould algorithm: A new method for stochastic optimization. Futur. Gener. Comput. Syst. 2020, 111, 300–323. [Google Scholar] [CrossRef]
- Al-Bahrani, L.; Al-kaabi, M.; Al-saadi, M.; Dumbrava, V. Optimal power flow based on differential evolution optimization technique. U.P.B. Sci. Bull. Ser. C 2020, 82, 378–388. [Google Scholar]
- Al-kaabi, M.; Al-Bahrani, L. Modified Artificial Bee Colony Optimization Technique with Different Objective Function of Constraints Optimal Power Flow. Int. J. Intell. Eng. Syst. 2020, 13, 378–388. [Google Scholar] [CrossRef]
- Al-Bahrani, L.; Al-Kaabi, M.; Al-Hasheme, J. Solving Optimal Power Flow Problem Using Improved Differential Evolution Algorithm. Int. J. Electr. Electron. Eng. Telecommun. 2022, 11, 146–155. [Google Scholar] [CrossRef]
- Al-Kaabi, M.; Al-Bahrani, L.; Dumbrava, V.; Eremia, M. Optimal Power Flow with Four Objective Functions using Improved Differential Evolution Algorithm: Case Study IEEE 57-bus power system. In Proceedings of the 2021 10th International Conference Energy Environ, Bucharest, Romania, 14–15 October 2021; pp. 1–5. [Google Scholar] [CrossRef]
- Al-Kaabi, M.; Al Hasheme, J.; Dumbrava, V.; Eremia, M. Application of Harris Hawks Optimization (HHO) Based on Five Single Objective Optimal Power Flow. In Proceedings of the 2022 14th International Conference on Electronics, Computers and Artificial Intelligence (ECAI), Ploesti, Romania, 30 June–1 July 2022; pp. 1–8. [Google Scholar] [CrossRef]
- Mohamed, A.; Mohamed, Y.S.; El-Gaafary, A.A.M.; Hemeida, A.M. Optimal power flow using moth swarm algorithm. Electr. Power Syst. Res. 2017, 142, 190–206. [Google Scholar] [CrossRef]
- Abou El-Ela, A.A.; El-Sehiemy, R.; Mouwafi, M.T.; Salman, D. Multiobjective fruit fly optimization algorithm for OPF solution in power system. In Proceedings of the 2018 Twentieth International Middle East Power Systems Conference (MEPCON), Cairo, Egypt, 18–20 December 2018; pp. 254–259. [Google Scholar] [CrossRef]
- Datta, R.; Deb, K.; Segev, A. A bi-objective hybrid constrained optimization (HyCon) method using a multi-objective and penalty function approach. In Proceedings of the 2017 IEEE Congress on Evolutionary Computation (CEC), Donostia, Spain, 5–8 June 2017; pp. 317–324. [Google Scholar] [CrossRef]
- Davoodi, E.; Babaei, E.; Mohammadi-ivatloo, B. An efficient covexified SDP model for multi-objective optimal power flow. Int. J. Electr. Power Energy Syst. 2018, 102, 254–264. [Google Scholar] [CrossRef]
- Mazza, A.; Chicco, G.; Russo, A. Optimal multi-objective distribution system reconfiguration with multi criteria decision making-based solution ranking and enhanced genetic operators. Int. J. Electr. Power Energy Syst. 2014, 54, 255–267. [Google Scholar] [CrossRef]
- Deb, K. Multi-objective optimisation using evolutionary algorithms: An introduction. In Multi-Objective Evolutionary Optimisation for Product Design and Manufacturing; Springer: London, UK, 2011; pp. 3–34. [Google Scholar] [CrossRef]
- Hazra, J.; Sinha, A.K. A multi-objective optimal power flow using particle swarm optimization. Eur. Trans. Electr. Power. 2011, 21, 1028–1045. [Google Scholar] [CrossRef]
- Mirjalili, S. Dragonfly algorithm: A new meta-heuristic optimization technique for solving single-objective, discrete, and multi-objective problems. Neural Comput. Appl. 2016, 27, 1053–1073. [Google Scholar] [CrossRef]
- AlRashidi, M.R.; El-Hawary, M.E. Applications of computational intelligence techniques for solving the revived optimal power flow problem. Electr. Power Syst. Res. 2009, 79, 694–702. [Google Scholar] [CrossRef]
- AL-KAABI, M.; Al-Bahrani, L.; Al Hasheme, J. Improved Differential Evolution Algorithm to solve multi-objective of optimal power flow problem. Arch. Electr. Eng. 2022, 71, 641–657. [Google Scholar] [CrossRef]
- Daqaq, F.; Ouassaid, M.; Ellaia, R. A new meta-heuristic programming for multi-objective optimal power flow. Electr. Eng. 2021, 103, 1217–1237. [Google Scholar] [CrossRef]
- El-Sattar, S.A.; Kamel, S.; El Sehiemy, R.A.; Jurado, F.; Yu, J. Single-and multi-objective optimal power flow frameworks using Jaya optimization technique. Neural Comput. Appl. 2019, 31, 8787–8806. [Google Scholar] [CrossRef]
- Kahraman, H.T.; Akbel, M.; Duman, S. Optimization of optimal power flow problem using multi-objective manta ray foraging optimizer. Appl. Soft Comput. 2022, 116, 108334. [Google Scholar] [CrossRef]
- Mirjalili, S.; Jangir, P.; Saremi, S. Multi-objective ant lion optimizer: A multi-objective optimization algorithm for solving engineering problems. Appl. Intell. 2017, 46, 79–95. [Google Scholar] [CrossRef]
- Islam, M.Z.; Wahab, N.I.A.; Veerasamy, V.; Hizam, H.; Mailah, N.F.; Guerrero, J.M.; Mohd Nasir, M.N. A Harris Hawks Optimization Based Single-and Multi-Objective Optimal Power Flow Considering Environmental Emission. Sustainability 2020, 12, 5248. [Google Scholar] [CrossRef]
- Khunkitti, S.; Siritaratiwat, A.; Premrudeepreechacharn, S. Multi-Objective optimal power flow problems based on Slime mould algorithm. Sustainability 2021, 13, 7448. [Google Scholar] [CrossRef]
- Premkumar, M.; Jangir, P.; Sowmya, R.; Elavarasan, R.M. Many-Objective Gradient-Based Optimizer to Solve Optimal Power Flow Problems: Analysis and Validations. Eng. Appl. Artif. Intell. 2021, 106, 104479. [Google Scholar] [CrossRef]
- El-Fergany, A.A.; Hasanien, H.M. Tree-seed algorithm for solving optimal power flow problem in large-scale power systems incorporating validations and comparisons. Appl. Soft Comput. 2018, 64, 307–316. [Google Scholar] [CrossRef]
- IEEE Power Systems Test Case. Available online: http://www.ee.washington.edu/research/pstca/ (accessed on 20 August 2022).
- Bouchekara, H. Optimal power flow using black-hole-based optimization approach. Appl. Soft Comput. 2014, 24, 879–888. [Google Scholar] [CrossRef]
- Attia, A.; El Sehiemy, R.A.; Hasanien, H.M. Optimal power flow solution in power systems using a novel Sine-Cosine algorithm. Int. J. Electr. Power Energy Syst. 2018, 99, 331–343. [Google Scholar] [CrossRef]
- Nguyen, T.T. A high performance social spider optimization algorithm for optimal power flow solution with single objective optimization. Energy 2019, 171, 218–240. [Google Scholar] [CrossRef]
- Abaci, K.; Yamacli, V. Differential search algorithm for solving multi-objective optimal power flow problem. Int. J. Electr. Power Energy Syst. 2016, 79, 1–10. [Google Scholar] [CrossRef]
- Warid, W.; Hizam, H.; Mariun, N.; Abdul-Wahab, N.I. Optimal power flow using the Jaya algorithm. Energies 2016, 9, 678. [Google Scholar] [CrossRef]
- Roberge, V.; Tarbouchi, M.; Okou, F. Optimal power flow based on parallel metaheuristics for graphics processing units. Electr. Power Syst. Res. 2016, 140, 344–353. [Google Scholar] [CrossRef]
- Biswas, P.P.; Suganthan, P.N.; Mallipeddi, R.; Amaratunga, G.A.J. Optimal power flow solutions using differential evolution algorithm integrated with effective constraint handling techniques. Eng. Appl. Artif. Intell. 2018, 68, 81–100. [Google Scholar] [CrossRef]
- El-Hana Bouchekara, H.R.; Abido, M.A.; Chaib, A.E. Optimal power flow using an improved electromagnetism-like mechanism method. Electr. Power Compon. Syst. 2016, 44, 434–449. [Google Scholar] [CrossRef]
- Taher, M.A.; Kamel, S.; Jurado, F.; Ebeed, M. Modified grasshopper optimization framework for optimal power flow solution. Electr. Eng. 2019, 101, 121–148. [Google Scholar] [CrossRef]
- Kumari, M.S.; Maheswarapu, S. Enhanced genetic algorithm based computation technique for multi-objective optimal power flow solution. Int. J. Electr. Power Energy Syst. 2010, 32, 736–742. [Google Scholar] [CrossRef]
- Warid, W. Optimal power flow using the AMTPG-Jaya algorithm. Appl. Soft Comput. 2020, 91, 106252. [Google Scholar] [CrossRef]
- Abdel-Rahim, A.M.; Shaaban, S.A.; Raglend, I.J. Optimal Power Flow Using Atom Search Optimization. In Proceedings of the 2019 Innovations in Power and Advanced Computing Technologies (i-PACT), Vellore, India, 22–23 March 2019; pp. 1–4. [Google Scholar] [CrossRef]
- Surender Reddy, B.P. Efficiency improvements in meta-heuristic algorithms to solve the optimal power flow problem. Int. J. Elec. Power. 2016, 82, 288–302. [Google Scholar] [CrossRef]
- Meng, A.; Zeng, C.; Wang, P.; Chen, D.; Zhou, T.; Zheng, X.; Yin, H. A high-performance crisscross search based grey wolf optimizer for solving optimal power flow problem. Energy 2021, 225, 120211. [Google Scholar] [CrossRef]
- He, X.; Wang, W.; Jiang, J.; Xu, L. An improved artificial bee colony algorithm and its application to multi-objective optimal power flow. Energies 2015, 8, 2412–2437. [Google Scholar] [CrossRef]
- Naderi, E.; Pourakbari-Kasmaei, M.; Cerna, F.V.; Lehtonen, M. A novel hybrid self-adaptive heuristic algorithm to handle single-and multi-objective optimal power flow problems. Int. J. Electr. Power Energy Syst. 2021, 125, 106492. [Google Scholar] [CrossRef]
- Bakirtzis, A.G.; Biskas, P.N.; Zoumas, C.E.; Petridis, V. Optimal power flow by enhanced genetic algorithm. IEEE Trans. Power Syst. 2002, 17, 229–236. [Google Scholar] [CrossRef]
- Lai, L.L.; Ma, J.T.; Yokoyama, R.; Zhao, M. Improved genetic algorithms for optimal power flow under both normal and contingent operation states. Int. J. Electr. Power Energy Syst. 1997, 19, 287–292. [Google Scholar] [CrossRef]
- Niknam, T.; Narimani, M.R.; Aghaei, J.; Azizipanah-Abarghooee, R. Improved particle swarm optimisation for multi-objective optimal power flow considering the cost, loss, emission and voltage stability index. IET Gener. Transm. Distrib. 2012, 6, 515–527. [Google Scholar] [CrossRef]
- Attia, A.; Al-Turki, Y.A.; Abusorrah, A.M. Optimal power flow using adapted genetic algorithm with adjusting population size. Electr. Power Compon. Syst. 2012, 40, 1285–1299. [Google Scholar] [CrossRef]
- Adaryani, M.R.; Karami, A. Artificial bee colony algorithm for solving multi-objective optimal power flow problem. Int. J. Electr. Power Energy Syst. 2013, 53, 219–230. [Google Scholar] [CrossRef]
- Radosavljević, J.; Klimenta, D.; Jevtić, M.; Arsić, N. Optimal Power Flow Using a Hybrid Optimization Algorithm of Particle Swarm Optimization and Gravitational Search Algorithm. Electr. Power Compon. Syst. 2015, 43, 1958–1970. [Google Scholar] [CrossRef]
- Abd El-sattar, S.; Kamel, S.; Ebeed, M.; Jurado, F. An improved version of salp swarm algorithm for solving optimal power flow problem. Soft Comput. 2021, 25, 4027–4052. [Google Scholar] [CrossRef]
- Duman, S. Symbiotic organisms search algorithm for optimal power flow problem based on valve-point effect and prohibited zones. Neural Comput. Appl. 2017, 28, 3571–3585. [Google Scholar] [CrossRef]
- Khan, A.; Hizam, H.; bin Abdul Wahab, N.I.; Lutfi Othman, M. Optimal power flow using hybrid firefly and particle swarm optimization algorithm. PLoS ONE 2020, 15, e0235668. [Google Scholar] [CrossRef]
- Li, S.; Gong, W.; Wang, L.; Yan, X.; Hu, C. Optimal power flow by means of improved adaptive differential evolution. Energy 2020, 198, 117314. [Google Scholar] [CrossRef]
- Khorsandi, A.; Hosseinian, S.H.; Ghazanfari, A. Modified artificial bee colony algorithm based on fuzzy multi-objective technique for optimal power flow problem. Electr. Power Syst. Res. 2013, 95, 206–213. [Google Scholar] [CrossRef]
- Kumar, A.R.; Premalatha, L. Optimal power flow for a deregulated power system using adaptive real coded biogeography-based optimization. Int. J. Electr. Power Energy Syst. 2015, 73, 393–399. [Google Scholar] [CrossRef]
- Chaib, A.E.; Bouchekara, H.; Mehasni, R.; Abido, M.A. Optimal power flow with emission and non-smooth cost functions using backtracking search optimization algorithm. Int. J. Electr. Power Energy Syst. 2016, 81, 64–77. [Google Scholar] [CrossRef]
- Bouchekara, H.; Abido, M.A.; Boucherma, M. Optimal power flow using teaching-learning-based optimization technique. Electr. Power Syst. Res. 2014, 114, 49–59. [Google Scholar] [CrossRef]
- Abido, M.A. Multiobjective optimal power flow using strength Pareto evolutionary algorithm. In Proceedings of the 39th International Universities Power Engineering Conference, Bristol, UK, 6–8 September 2004; pp. 457–461. [Google Scholar]
- Abido, M.A.; Al-Ali, N.A. Multi-objective differential evolution for optimal power flow. In Proceedings of the 2009 International Conference on Power Engineering, Energy and Electrical Drives, Lisbon, Portugal, 18–20 March 2009; pp. 101–106. [Google Scholar] [CrossRef]
- Saeed, W.; Tawfeeq, L. Voltage Collapse Optimization for the Iraqi Extra High Voltage 400 kV Grid based on Particle Swarm Optimization. Iraqi J. Electr. Electron. Eng. 2017, 13, 17–31. [Google Scholar] [CrossRef]
- Tawfeeq, L. Optimal Power Flow (OPF) with Different Objective Function Based on Modern Heuristic Optimization Techniques. Ph.D. Thesis, University Politehnica of Bucharest, Bucharest, Romania, 2015. [Google Scholar]
- Wolpert, D.H.; Macready, W.G. No Free Lunch Theorems for Search; Technical Report SFI-TR-95-02-010; Santa Fe Institute: Santa Fe, NM, USA, 1995. [Google Scholar]
- Ghasemi, M.; Ghavidel, S.; Ghanbarian, M.M.; Gharibzadeh, M.; Vahed, A.A. Multi-objective optimal power flow considering the cost, emission, voltage deviation and power losses using multi-objective modified imperialist competitive algorithm. Energy 2014, 78, 276–289. [Google Scholar] [CrossRef]
- Shaheen, A.M.; El-Sehiemy, R.A.; Farrag, S.M. Solving multi-objective optimal power flow problem via forced initialised differential evolution algorithm. IET Gener. Transm. Distrib. 2016, 10, 1634–1647. [Google Scholar] [CrossRef]
- Duman, S.; Güvenç, U.; Sönmez, Y.; Yörükeren, N. Optimal power flow using gravitational search algorithm. Energy Convers. Manag. 2012, 59, 86–95. [Google Scholar] [CrossRef]
- Selvakumar, A.I.; Thanushkodi, K. A new particle swarm optimization solution to nonconvex economic dispatch problems. IEEE Trans. Power Syst. 2007, 22, 42–51. [Google Scholar] [CrossRef]
- Roy, P.K.; Paul, C. Optimal power flow using krill herd algorithm. Int. Trans. Electr. Energy Syst. 2015, 25, 1397–1419. [Google Scholar] [CrossRef]
- Vaisakh, K.; Srinivas, L.R. Evolving ant direction differential evolution for OPF with non-smooth cost functions. Eng. Appl. Artif. Intell. 2011, 24, 426–436. [Google Scholar] [CrossRef]
- Shabanpour-Haghighi, A.; Seifi, A.R.; Niknam, T. A modified teaching–learning based optimization for multi-objective optimal power flow problem. Energy Convers. Manag. 2014, 77, 597–607. [Google Scholar] [CrossRef]
- Hsiao, Y.; Chen, C.; Chien, C. Optimal capacitor placement in distribution systems using a combination fuzzy-GA method. Int. J. Electr. Power Energy Syst. 2004, 26, 501–508. [Google Scholar] [CrossRef]
- Ghasemi, M.; Ghavidel, S.; Ghanbarian, M.M.; Gitizadeh, M. Multi-objective optimal electric power planning in the power system using Gaussian bare-bones imperialist competitive algorithm. Inf. Sci. 2015, 294, 286–304. [Google Scholar] [CrossRef]
- Pulluri, H.; Naresh, R.; Sharma, V. A solution network based on stud krill herd algorithm for optimal power flow problems. Soft Comput. 2018, 22, 159–176. [Google Scholar] [CrossRef]













| System Characteristics | IEEE-30 | IEEE 57 | ISGHV 400 kV |
|---|---|---|---|
| Buses | 30 | 57 | 28 |
| Branches | 41 | 80 | 44 |
| Generators | 9 (Buses:1, 2, 5, 8, 11 and 13) | 7 (Buses: 1–2–3–6–8–9–12) | 14 (Buses: 1–14) |
| Generator voltage limits | 0.9–1.1 [p.u.] | 0.9–1.1 [p.u.] | 0.9–1.1 [p.u.] |
| Load voltage limits | 0.95–1.05 [p.u.] | 0.95–1.05 [p.u.] | 0.95–1.05 [p.u.] |
| Limit of tap changer setting | 0.9–1.1 [p.u.] | 0.9–1.1 [p.u.] | - |
| Limit of VAR | 0–5 [p.u.] | 0–20 [p.u.] | - |
| Shunts | 9 (Buses: 10, 12, 15, 17, 20, 21, 23, 24 and 29) | 3 (Buses: 18–25–53) | - |
| Transformers | 4 (Buses: 11, 12, 15 and 36) | 17 (Buses: 19–20–31–35–36–37–41–46–54–58–59–65–66–71–73–76–80) | - |
| MW demand | 283.4 [MW] | 1250.8 [MW] | 5994 [MW] |
| Control variables | 24 | 33 | 27 |
| Type of System | Type of OF(s) | Case # | FC | Em | RPL | VD | VSI |
|---|---|---|---|---|---|---|---|
| IEEE 30-bus | Single OF(s) | Case #1 | √ | ||||
| Case #2 | √ | ||||||
| Case #3 | √ | ||||||
| Case #4 | √ | ||||||
| Case #5 | √ | ||||||
| Bi-OF(s) | Case #6 | √ | √ | ||||
| Case #7 | √ | √ | |||||
| Case #8 | √ | √ | |||||
| Case #9 | √ | √ | |||||
| Case #10 | √ | √ | |||||
| Case #11 | √ | √ | |||||
| Case #12 | √ | √ | |||||
| Triple-OF(s) | Case #13 | √ | √ | √ | |||
| Case #14 | √ | √ | √ | ||||
| Case #15 | √ | √ | √ | ||||
| Case #16 | √ | √ | √ | ||||
| Case #17 | √ | √ | √ | ||||
| Case #18 | √ | √ | √ | ||||
| Case #19 | √ | √ | √ | ||||
| Quad-OF(s) | Case #20 | √ | √ | √ | √ | ||
| Case #21 | √ | √ | √ | √ | |||
| Quinta-OF(s) | Case #22 | √ | √ | √ | √ | √ | |
| IEEE 57-bus | Single OF(s) | Case #23 | √ | ||||
| Case #24 | √ | ||||||
| Case #25 | √ | ||||||
| ISGHV 400 kV (28 bus) | Single OF(s) | Case #26 | √ | ||||
| Case #27 | √ | ||||||
| Case #28 | √ | ||||||
| Case #29 | √ |
| Item | Limit | Initial [35] | Case 1 | Case 2 | Case 3 | Case 4 | Case 5 | ||
|---|---|---|---|---|---|---|---|---|---|
| Max | Min | ||||||||
| [MW] | 50 | 200 | 99.223 | 176.9638 | 52.66583 | 67.23830 | 122.9787 | 153.8864 | |
| 20 | 80 | 80 | 48.54495 | 79.60434 | 71.62589 | 45.29825 | 23.85954 | ||
| 15 | 50 | 50 | 21.21892 | 49.92812 | 49.99828 | 47.87340 | 36.47932 | ||
| 10 | 35 | 20 | 21.38800 | 34.60913 | 34.97310 | 29.73724 | 34.96892 | ||
| 10 | 30 | 20 | 11.92001 | 29.92682 | 29.99790 | 21.98221 | 20.91042 | ||
| 12 | 40 | 20 | 12.02793 | 39.65335 | 33.16002 | 21.74010 | 19.63984 | ||
| [p.u.] | 0.95 | 1.1 | 1.05 | 1.09999 | 1.09997 | 1.07207 | 0.99759 | 1.09925 | |
| 0.95 | 1.1 | 1.04 | 1.09786 | 1.09672 | 1.09211 | 0.98059 | 1.09803 | ||
| 0.95 | 1.1 | 1.01 | 1.08201 | 1.09541 | 1.03596 | 1.06050 | 1.08448 | ||
| 0.95 | 1.1 | 1.01 | 1.08952 | 1.08871 | 1.04344 | 1.04797 | 1.08762 | ||
| 0.95 | 1.1 | 1.05 | 1.09966 | 1.09989 | 1.08511 | 1.09352 | 1.09901 | ||
| 0.95 | 1.1 | 1.05 | 1.09959 | 1.09955 | 1.04750 | 1.06366 | 1.09924 | ||
| Shunt Element [MVAr] | 0 | 5 | 0 | 3.47456 | 4.90651 | 0.01712 | 4.99757 | 4.17957 | |
| 0 | 5 | 0 | 3.78440 | 4.71029 | 0.14186 | 0.03554 | 4.07682 | ||
| 0 | 5 | 0 | 2.76611 | 3.61236 | 0.02957 | 1.18163 | 4.17146 | ||
| 0 | 5 | 0 | 2.99716 | 0.01457 | 0.00000 | 0.72789 | 4.83945 | ||
| 0 | 5 | 0 | 4.57258 | 4.58251 | 2.02777 | 4.97550 | 2.86524 | ||
| 0 | 5 | 0 | 4.98153 | 4.04716 | 0.00000 | 4.98735 | 3.04483 | ||
| 0 | 5 | 0 | 2.50862 | 0.01196 | 0.00457 | 4.95938 | 4.94036 | ||
| 0 | 5 | 0 | 4.99707 | 4.28293 | 3.02812 | 4.96797 | 4.95660 | ||
| 0 | 5 | 0 | 2.10969 | 3.95118 | 0.63863 | 3.30036 | 4.99499 | ||
| Tap Position | 0.9 | 1.1 | 1.078 | 1.03080 | 1.04738 | 1.05597 | 1.01913 | 1.05077 | |
| 0.9 | 1.1 | 1.069 | 1.03860 | 1.03586 | 1.00876 | 1.04096 | 1.01569 | ||
| 0.9 | 1.1 | 1.032 | 0.95241 | 0.99520 | 1.01355 | 0.95167 | 1.04096 | ||
| 0.9 | 1.1 | 1.068 | 0.98279 | 1.00199 | 1.00406 | 0.97008 | 0.95084 | ||
| GFC [USD/h] | 901.639 | 799.2557 | 964.5746 | 936.1166 | 868.0514 | 834.0165 | |||
| RPL [MW] | 5.6891 | 8.6691 | 2.9934 | 3.5935 | 6.2099 | 6.3446 | |||
| Em [ton/h] | 0.2253 | 0.3681 | 0.2213 | 0.2175 | 0.2569 | 0.31 | |||
| VD [p.u.] | 1.1747 | 1.4192 | 1.4677 | 0.4754 | 0.1097 | 1.7545 | |||
| VSI | 0.1727 | 0.1237 | 0.1229 | 0.1483 | 0.1371 | 0.1136 | |||
| Reduction rate | - | 11.36% | 47.38% | 3.46% | 90.66% | 34.23% | |||
| Case 1 | Case 2 | ||
|---|---|---|---|
| Method | GFC [USD/h] | Method | RPL (MW) |
| Initial | 901.6391 | Initial | 5.830 |
| MSA [16] | 800.5099 | GWO [30] | 3.51 |
| SCA [36] | 800.1018 | SSA [30] | 3.50 |
| SSO [37] | 802.2580 | WOA [30] | 3.50 |
| DSA [38] | 800.3887 | MF [30] | 3.50 |
| JAYA [39] | 800.479 | HHO [30] | 3.49 |
| GPU-PSO [40] | 800.53 | SSO [37] | 3.8239 |
| SP-DE [41] | 800.4131 | EM [42] | 3.1775 |
| MGOA [43] | 800.4744 | EGA-DQLF [44] | 3.2008 |
| TLBO [45] | 800.4604 | ASO [46] | 3.1600 |
| AMTPG-Jaya [45] | 800.1946 | EGA-EA [47] | 3.2601 |
| GWO [48] | 802.7924 | GWO [48] | 4.2905 |
| ABC [49] | 800.6850 | PSO [50] | 5.1957 |
| IABC [49] | 800.4215 | HPSO-DE [50] | 5.1476 |
| EGA [51] | 802.06 | FAHSPSO-DE [50] | 4.9989 |
| IGA [52] | 800.805 | IPSO [53] | 5.0732 |
| AGAPOP [54] | 799.8441 | SMA | 2.9934 |
| ABC [55] | 800.66 | ||
| PSOGSA [56] | 800.49859 | ||
| GA [57] | 800.5272 | ||
| IHS [57] | 800.5202 | ||
| MFO [57] | 800.7134 | ||
| ISSA [57] | 800.4752 | ||
| SOS [58] | 801.5733 | ||
| SMA | 799.2557 | ||
| Case 3 | Case 4 | Case 5 | |||
|---|---|---|---|---|---|
| Method | Em [ton/h] | Method | VD [p.u.] | Method | VSI |
| Initial | 0.3661 | Initial | 1.1747 | Initial | 0.1727 |
| GWO [30] | 0.2960 | HFPSO [59] | 0.1467 | SSO [37] | 0.1267 |
| SSA [30] | 0.2950 | EJADE-SP [60] | 0.3752 | NISSO [37] | 0.12547 |
| WOA [30] | 0.2950 | MABC [61] | 0.1292 | Jaya [39] | 0.1243 |
| MF [30] | 0.2950 | SMA | 0.1097 | TLBO [45] | 0.12444 |
| HHO [30] | 0.2850 | AMTPG-Jaya [45] | 0.1240 | ||
| SSO [37] | 0.2315 | ARCBBO [62] | 0.1369 | ||
| BSA [63] | 0.2425 | ECHT-DE [64] | 0.13632 | ||
| SMA | 0.2175 | SPEA [65] | 0.1247 | ||
| DE [66] | 0.1246 | ||||
| SMA | 0.1136 | ||||
| Item | Case 6 | Case 7 | Case 8 | Case 9 | Case 10 | Case 11 | Case 12 | Case 13 | |
|---|---|---|---|---|---|---|---|---|---|
| [MW] | 126.521 | 139.156 | 177.458 | 177.570 | 70.974 | 58.480 | 170.349 | 92.703 | |
| 57.394 | 48.924 | 46.455 | 50.162 | 70.791 | 77.896 | 70.719 | 68.717 | ||
| 26.635 | 28.495 | 20.722 | 19.629 | 49.648 | 48.772 | 17.612 | 37.093 | ||
| 34.242 | 34.955 | 21.449 | 18.869 | 34.749 | 33.597 | 19.081 | 34.532 | ||
| 24.051 | 21.583 | 12.920 | 14.099 | 29.757 | 29.299 | 10.539 | 29.626 | ||
| 20.555 | 16.447 | 14.204 | 12.017 | 32.509 | 39.018 | 14.182 | 25.070 | ||
| [p.u.] | 1.098 | 1.100 | 1.045 | 1.099 | 0.988 | 1.042 | 0.958 | 1.097 | |
| 1.098 | 1.100 | 1.045 | 1.099 | 1.011 | 1.048 | 1.097 | 1.097 | ||
| 1.098 | 1.100 | 1.045 | 1.099 | 1.079 | 1.017 | 0.959 | 1.097 | ||
| 1.098 | 1.100 | 1.045 | 1.099 | 1.056 | 1.048 | 1.097 | 1.097 | ||
| 1.098 | 1.100 | 1.045 | 1.099 | 1.098 | 1.095 | 1.035 | 1.097 | ||
| 1.098 | 1.100 | 1.045 | 1.099 | 1.098 | 1.095 | 1.090 | 1.097 | ||
| Shunt Element [MVAr] | 0.001 | 1.014 | 0.279 | 0.047 | 0.001 | 0.001 | 0.486 | 1.097 | |
| 0.055 | 0.316 | 1.045 | 1.812 | 0.057 | 0.000 | 0.765 | 1.097 | ||
| 0.000 | 0.326 | 0.440 | 0.116 | 0.004 | 0.005 | 0.179 | 0.124 | ||
| 0.485 | 0.469 | 0.015 | 0.229 | 0.000 | 0.000 | 1.097 | 0.976 | ||
| 1.675 | 4.991 | 2.378 | 4.926 | 0.000 | 0.000 | 4.915 | 2.925 | ||
| 0.070 | 4.991 | 2.846 | 4.975 | 0.144 | 0.000 | 4.915 | 2.095 | ||
| 0.325 | 4.991 | 2.916 | 4.972 | 0.000 | 0.007 | 4.915 | 3.283 | ||
| 0.003 | 4.991 | 1.608 | 4.972 | 0.001 | 1.029 | 4.915 | 2.774 | ||
| 0.043 | 2.394 | 0.775 | 4.972 | 1.335 | 0.000 | 4.915 | 0.822 | ||
| Tap Position | 1.023 | 0.999 | 1.007 | 1.005 | 1.014 | 1.022 | 1.063 | 1.027 | |
| 0.967 | 0.968 | 0.977 | 0.968 | 0.976 | 0.961 | 1.028 | 1.041 | ||
| 1.006 | 0.989 | 0.962 | 1.022 | 0.965 | 1.006 | 0.971 | 0.952 | ||
| 0.987 | 0.992 | 0.952 | 0.952 | 0.952 | 0.954 | 0.951 | 0.980 | ||
| GFC [USD/h] | 832.8647 | 840.960 | 802.0533 | 800.1309 | 935.1719 | 965.5084 | 866.5512 | 867.5282 | |
| RPL [MW] | 5.4534 | 4.8762 | 9.6647 | 8.9461 | 5.0218 | 3.1922 | 15.0962 | 4.3416 | |
| Em [ton/h] | 0.2514 | 0.2465 | 0.3826 | 0.3698 | 0.2184 | 0.2214 | 0.2713 | 0.2300 | |
| VD [p.u.] | 0.9403 | 1.5133 | 0.3267 | 1.6453 | 0.2074 | 0.5417 | 0.3102 | 1.3322 | |
| VSI | 0.1329 | 0.1243 | 0.1447 | 0.1172 | 0.1452 | 0.1370 | 0.1284 | 0.1288 | |
| Item | Case 14 | Case 15 | Case 16 | Case 17 | Case 18 | Case 19 | Case 20 | Case 21 | Case 22 | |
|---|---|---|---|---|---|---|---|---|---|---|
| [MW] | 113.137 | 118.406 | 117.802 | 103.918 | 170.859 | 71.869 | 129.158 | 111.560 | 135.012 | |
| 72.911 | 57.143 | 46.295 | 79.270 | 47.625 | 72.514 | 56.560 | 61.157 | 43.921 | ||
| 28.035 | 36.667 | 34.245 | 21.055 | 25.984 | 49.962 | 36.327 | 34.110 | 29.727 | ||
| 30.461 | 25.476 | 34.859 | 34.696 | 16.724 | 34.973 | 25.233 | 22.732 | 30.329 | ||
| 24.979 | 22.381 | 29.887 | 29.757 | 17.284 | 29.979 | 22.187 | 29.610 | 24.467 | ||
| 20.555 | 29.333 | 25.389 | 20.181 | 13.752 | 28.095 | 20.384 | 29.372 | 26.304 | ||
| [p.u.] | 1.023 | 1.043 | 1.099 | 1.098 | 1.094 | 1.040 | 1.041 | 1.097 | 1.078 | |
| 0.985 | 1.043 | 1.099 | 1.098 | 1.094 | 1.027 | 1.041 | 1.097 | 1.073 | ||
| 1.003 | 1.043 | 1.099 | 1.098 | 1.094 | 0.997 | 1.041 | 1.097 | 1.052 | ||
| 1.074 | 1.043 | 1.099 | 1.098 | 1.094 | 1.009 | 1.041 | 1.097 | 1.064 | ||
| 1.074 | 1.043 | 1.095 | 1.098 | 1.094 | 1.100 | 1.041 | 1.097 | 1.016 | ||
| 1.061 | 1.043 | 1.099 | 1.098 | 0.968 | 1.036 | 1.041 | 1.097 | 1.039 | ||
| Shunt Element [MVAr] | 1.385 | 1.043 | 0.558 | 0.024 | 0.154 | 0.006 | 0.220 | 0.464 | 3.800 | |
| 0.294 | 1.043 | 1.034 | 0.316 | 0.127 | 0.043 | 1.041 | 0.965 | 1.808 | ||
| 4.090 | 1.043 | 1.081 | 1.098 | 0.349 | 0.009 | 0.557 | 0.069 | 3.370 | ||
| 1.014 | 1.043 | 0.246 | 0.875 | 0.465 | 0.001 | 0.859 | 0.000 | 4.664 | ||
| 1.994 | 3.095 | 4.972 | 4.939 | 1.710 | 3.970 | 1.570 | 0.877 | 3.839 | ||
| 0.010 | 3.095 | 4.227 | 4.939 | 0.083 | 0.792 | 2.404 | 4.903 | 4.180 | ||
| 0.053 | 3.095 | 4.972 | 4.939 | 1.400 | 0.076 | 3.047 | 4.903 | 1.270 | ||
| 2.928 | 3.095 | 4.972 | 4.939 | 4.289 | 0.755 | 2.089 | 4.575 | 1.575 | ||
| 0.210 | 3.095 | 4.919 | 4.939 | 4.341 | 3.209 | 3.047 | 4.903 | 4.640 | ||
| Tap Position | 0.967 | 0.963 | 0.991 | 1.037 | 0.963 | 0.988 | 1.036 | 1.000 | 1.021 | |
| 1.049 | 0.985 | 1.029 | 0.990 | 1.097 | 0.971 | 0.979 | 0.957 | 0.990 | ||
| 0.981 | 1.050 | 1.024 | 0.999 | 0.958 | 0.995 | 0.961 | 0.959 | 0.993 | ||
| 0.953 | 0.953 | 0.963 | 0.951 | 0.952 | 0.961 | 0.965 | 0.954 | 0.956 | ||
| GFC [USD/h] | 841.554 | 844.611 | 841.4057 | 850.7178 | 804.4035 | 928.292 | 832.3665 | 847.723 | 824.7751 | |
| RPL [MW] | 6.6773 | 6.0058 | 5.0766 | 5.4772 | 8.8206 | 3.9925 | 6.4495 | 5.1423 | 6.3599 | |
| Em [ton/h] | 0.2531 | 0.2545 | 0.2502 | 0.2476 | 0.3495 | 0.2183 | 0.2675 | 0.2466 | 0.2753 | |
| VD [p.u.] | 0.2214 | 0.2279 | 1.6214 | 1.7186 | 0.5409 | 0.2414 | 0.2189 | 1.6979 | 0.5111 | |
| VSI | 0.1436 | 0.1370 | 0.1176 | 0.1158 | 0.1291 | 0.1440 | 0.1408 | 0.1183 | 0.1290 | |
| Item | Max | Min | Initial | Case 23 | Case 24 | Case 25 | |
|---|---|---|---|---|---|---|---|
| [MW] | 0.0 | 576 | 478 | 142.26 | 188.27 | 188.26 | |
| 30.0 | 100 | 0 | 89.97 | 99.58 | 22.33 | ||
| 40.0 | 140 | 40 | 45.18 | 139.66 | 139.83 | ||
| 30.0 | 100 | 0 | 70.04 | 99.56 | 99.80 | ||
| 100.0 | 550 | 450 | 463.46 | 276.00 | 300.14 | ||
| 30.0 | 100 | 0 | 94.12 | 99.95 | 99.78 | ||
| 100.0 | 410 | 310 | 359.91 | 362.06 | 409.74 | ||
| [p.u.] | 0.95 | 1.10 | 1.040 | 1.08 | 1.07 | 1.10 | |
| 0.95 | 1.10 | 1.010 | 1.08 | 1.08 | 1.10 | ||
| 0.95 | 1.10 | 0.985 | 1.08 | 1.06 | 1.10 | ||
| 0.95 | 1.10 | 0.980 | 1.09 | 1.05 | 1.10 | ||
| 0.95 | 1.10 | 1.005 | 1.10 | 1.07 | 1.10 | ||
| 0.95 | 1.10 | 0.980 | 1.09 | 1.08 | 1.09 | ||
| 0.95 | 1.10 | 1.015 | 1.08 | 1.07 | 1.09 | ||
| Tap Position | 0.90 | 1.10 | 0.97 | 0.97 | 0.99 | 1.07 | |
| 0.90 | 1.10 | 0.978 | 1.00 | 1.02 | 0.98 | ||
| 0.90 | 1.10 | 1.043 | 0.95 | 1.06 | 1.04 | ||
| 0.90 | 1.10 | 1 | 0.97 | 1.04 | 1.01 | ||
| 0.90 | 1.10 | 1 | 0.95 | 1.04 | 0.97 | ||
| 0.90 | 1.10 | 1.043 | 0.97 | 1.05 | 1.02 | ||
| 0.90 | 1.10 | 0.967 | 0.98 | 1.03 | 0.98 | ||
| 0.90 | 1.10 | 0.975 | 0.98 | 0.97 | 1.01 | ||
| 0.90 | 1.10 | 0.955 | 0.99 | 1.08 | 1.00 | ||
| 0.90 | 1.10 | 0.955 | 1.00 | 1.05 | 0.96 | ||
| 0.90 | 1.10 | 0.9 | 1.00 | 1.07 | 0.96 | ||
| 0.90 | 1.10 | 0.93 | 1.01 | 1.03 | 0.97 | ||
| 0.90 | 1.10 | 0.895 | 0.97 | 1.00 | 0.95 | ||
| 0.90 | 1.10 | 0.958 | 0.96 | 1.04 | 0.98 | ||
| 0.90 | 1.10 | 0.958 | 0.97 | 0.98 | 1.02 | ||
| 0.90 | 1.10 | 0.98 | 0.96 | 1.03 | 1.04 | ||
| 0.90 | 1.10 | 0.94 | 0.99 | 1.06 | 0.98 | ||
| [MVAr] | 0.00 | 20.0 | 10 | 12.11 | 0.00 | 20.00 | |
| 0.00 | 20.0 | 5.9 | 5.04 | 11.87 | 14.57 | ||
| 0.00 | 20.0 | 6.3 | 15.29 | 19.68 | 12.81 | ||
| FC [USD/h] | 51353 | 41633.61 | 45157 | 44911 | |||
| Em [ton/h] | 2.4129 | 1.3624 | 0.9595 | 1.1126 | |||
| RPL [MW] | 27.868 | 14.3018 | 14.7671 | 9.2874 | |||
| VD [p.u.] | 1.1264 | 2.4684 | 2.5298 | 3.8873 | |||
| VSI | 0.2561 | 0.2890 | 0.2145 | ||||
| Reduction rate | - | 18.93% | 60.24% | 66.67% | |||
Publisher’s Note: MDPI stays neutral with regard to jurisdictional claims in published maps and institutional affiliations. |
© 2022 by the authors. Licensee MDPI, Basel, Switzerland. This article is an open access article distributed under the terms and conditions of the Creative Commons Attribution (CC BY) license (https://creativecommons.org/licenses/by/4.0/).
Share and Cite
Al-Kaabi, M.; Dumbrava, V.; Eremia, M. A Slime Mould Algorithm Programming for Solving Single and Multi-Objective Optimal Power Flow Problems with Pareto Front Approach: A Case Study of the Iraqi Super Grid High Voltage. Energies 2022, 15, 7473. https://doi.org/10.3390/en15207473
Al-Kaabi M, Dumbrava V, Eremia M. A Slime Mould Algorithm Programming for Solving Single and Multi-Objective Optimal Power Flow Problems with Pareto Front Approach: A Case Study of the Iraqi Super Grid High Voltage. Energies. 2022; 15(20):7473. https://doi.org/10.3390/en15207473
Chicago/Turabian StyleAl-Kaabi, Murtadha, Virgil Dumbrava, and Mircea Eremia. 2022. "A Slime Mould Algorithm Programming for Solving Single and Multi-Objective Optimal Power Flow Problems with Pareto Front Approach: A Case Study of the Iraqi Super Grid High Voltage" Energies 15, no. 20: 7473. https://doi.org/10.3390/en15207473
APA StyleAl-Kaabi, M., Dumbrava, V., & Eremia, M. (2022). A Slime Mould Algorithm Programming for Solving Single and Multi-Objective Optimal Power Flow Problems with Pareto Front Approach: A Case Study of the Iraqi Super Grid High Voltage. Energies, 15(20), 7473. https://doi.org/10.3390/en15207473

