Optimum Solar Panel Orientation and Performance: A Climatic Data-Driven Metaheuristic Approach
Abstract
:1. Introduction
2. Materials and Methods
2.1. The Climatic Data-Driven Optimization Platform
2.2. Solar Angles Formulation and NREL Database
2.3. Solar Power Generated by a Solar Panel
2.4. The Efficiency of a Solar Panel
2.5. The DC Power of a Solar Panel
2.6. Optimization
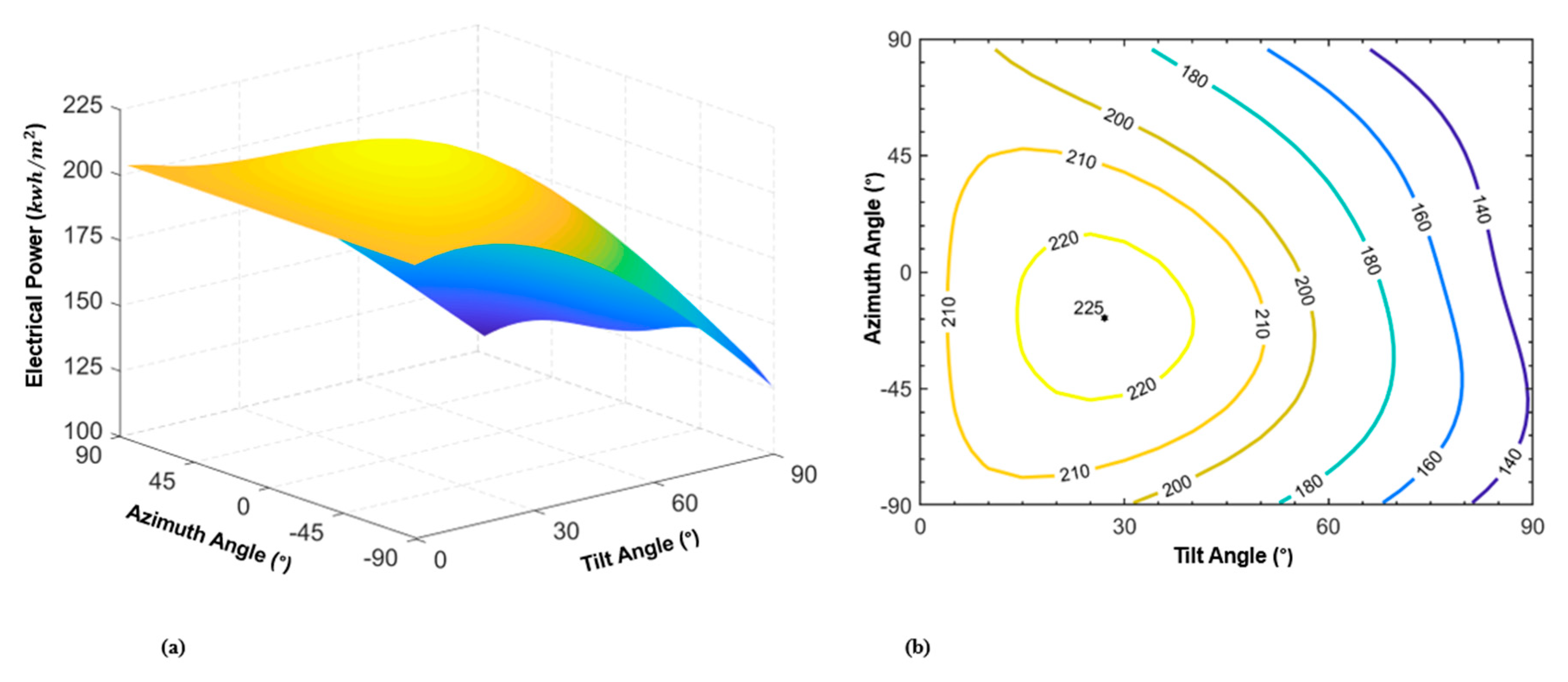
3. Results and Discussion
4. Conclusions
- There is no need for an hourly clearness index, which is not available in the climatic database.
- There is no need to evaluate extraterrestrial solar irradiance. This fact converts CDDOP into a user-friendly and easy-to-use platform.
- The model is based on the climatic data available globally (for more than twenty years in the USA) from the National Renewable Lab database. This makes CDDOP a versatile and reliable platform.
- CDDOP uses a data-driven metaheuristic optimization approach, which significantly lowers the cost of computation and improves the accuracy of the platform.
Author Contributions
Funding
Data Availability Statement
Acknowledgments
Conflicts of Interest
Nomenclature
| DHI | Direct Horizontal Insolation (W/m2) |
| DNI | Direct Normal Insolation (W/m2) |
| GHI | Global Horizontal Insolation (W/m2) |
| Solar hour angle | |
| Total insolation on a flat surface (W/m2) | |
| Fraction of solar energy transmitted and absorbed by PV for incident direction | |
| Latitude of location | |
| PV coating refractive index | |
| Day number = 1 for 1st January and 365 for 31st December | |
| Time | |
| Ta | Ambient temperature |
| Greek Symbols: | |
| Solar panel tilt angle | |
| Solar altitude angle | |
| Surface azimuth angle | |
| Solar declination angle | |
| Solar azimuth angle | |
| Ground albedo (reflectivity) | |
| The angle between solar beam and normal to the surface | |
| PV coating refraction angle | |
| Transmittance absorbance product of the PV coating | |
References
- Chang, Y.-P. Optimal Design of Discrete-Value Tilt Angle of PV Using Sequential Neural-Network Approximation and Orthogonal Array. Expert Syst. Appl. 2009, 36, 6010–6018. [Google Scholar] [CrossRef]
- Chen, Y.-M.; Lee, C.-H.; Wu, H.-C. Calculation of the Optimum Installation Angle for Fixed Solar-Cell Panels Based on the Genetic Algorithm and Simulated-Annealing Method. IEEE Trans. Energy Convers. 2005, 20, 467–473. Available online: https://ieeexplore.ieee.org/document/1432862 (accessed on 10 January 2022). [CrossRef]
- Hussein, H.M.S.; Ahmad, G.E.; El-Ghetany, H.H. Performance evaluation of photovoltaic modules at different tilt angles and orientations. Energy Convers. Manag. 2004, 45, 2441–2452. [Google Scholar] [CrossRef]
- Tang, R.; Wu, T. Optimal tilt-angles for solar collectors used in China. Appl. Energy 2004, 79, 239–248. [Google Scholar] [CrossRef]
- Gunrhan, H.; Hepbasli, A. Determination of the optimum tilt angle of solar collectors for building applications. Build. Environ. 2007, 42, 779–783. [Google Scholar] [CrossRef]
- Yang, H.; Lu, L. The optimum tilt angle and orientation of PV claddings for building-integrated photovoltaic (BIPV) application. J. Sol. Energy Eng. Trans. ASME 2007, 129, 253–255. [Google Scholar] [CrossRef] [Green Version]
- Naraghi, M.H. Optimum Solar Panel Tilt Angle for Maximum Annual Irradiation. In Proceedings of the IMECE2009, Lake Buena Vista, FL, USA, 13–19 November 2009; pp. 211–220. [Google Scholar] [CrossRef]
- Naraghi, M.H.; Etienne, G. Solar Panel Orientation and Modeling Based on Hourly Clearness Index. In Proceedings of the 2012 Energy Sustainability Conference & Fuel Cell Conference, San Diego, CA, USA, 23–26 July 2012. [Google Scholar] [CrossRef]
- Hartner, M.; Ortner, A.; Hiesl, A.; Hass, R. East to West—The Optimum Angle and orientation of Photovoltaic Panels from and Electricity System Perspective. Appl. Energy 2015, 160, 94–107. [Google Scholar] [CrossRef]
- Rhodes, J.D.; Upshaw, C.R.; Cole, W.J.; Holcomb, C.L.; Webber, M.E. A Multi-Objective Assessment of the Effect of Solar PV Array Orientation and Tilt on Energy Production and System Economics. Sol. Energy 2014, 108, 28–40. [Google Scholar] [CrossRef] [Green Version]
- Hafez, A.Z.; Soliman, A.; El-Metwally, I.M.; Ismail, I.M. Tilt and Azimuth Angles in Solar Energy Applications—A Review. Renew. Sustain. Energy Rev. 2017, 77, 147–168. [Google Scholar] [CrossRef]
- Chinchilla, M.; Santos-Martin, D.; Carpintero, M.; Lemon, S. Worldwide Annual Optimum Tilt Angle Model for Solar Collectors and Photovoltaic Systems in the Absense of Site Meteorological Data. Appl. Energy 2021, 281, 116056. [Google Scholar] [CrossRef]
- Naraghi, M.H. A Demand Based Optimum Solar Panel Orientation. In Proceedings of the IMECE2010-37918, Vancouver, BC, Canada, 12–18 November 2010. [Google Scholar] [CrossRef]
- Cabuk, M.; Naraghi, M.H. Solar Panel Orientation Based on Building Power Consumption. In Proceedings of the IMECE 2014-37643, Montreal, QC, Canada, 14–20 November 2014. [Google Scholar] [CrossRef]
- Delenne, E.; Naraghi, M.H. A Study of the Financial Aspect of Using Photovoltaic Panels in Buildings. In Proceedings of the 15th International Energy Conversion Engineering Conference, Atlanta, GA, USA, 10–12 July 2017. [Google Scholar] [CrossRef]
- Shah, V.; Naraghi, M.H. Shaving Peak Demand using Photovoltaics—Economic Analysis. In Proceedings of the 2018 International Energy Engineering Conversion, Cincinnati, OH, USA, 9–11 July 2018. [Google Scholar] [CrossRef]
- National Renewable Energy Laboratory Solar Database. Available online: https://maps.nrel.gov/nsrdb-viewer/ (accessed on 10 January 2022).
- Duffie, J.A.; Beckman, W.A. Solar Engineering of Thermal Process; John Wiley & Sons: Hoboken, NJ, USA, 2006. [Google Scholar]
- Brandemurhl, M.J.; Beckman, W.A. Transmission of Diffuse Radiation through CPC and Flat Plate Collector Glazing. Sol. Energy 1980, 24, 511–513. [Google Scholar] [CrossRef]
- Dubey, S.; Sarvaiya, J.N.; Seshadri, B. Temperature Dependent Photovoltaic (PV) Efficiency and its Effect on PV Production in the World—Review. Energy Procedia 2013, 33, 311–321. [Google Scholar] [CrossRef] [Green Version]
- Ekoplaki, E.; Palyvos, J.A. On the Temperature Dependence of Photovoltaic Module Electrical Performance: A Review of Efficiency/Power Correlations. Sol. Energy 2009, 83, 614–624. [Google Scholar] [CrossRef]
- Elliott, L.; Ingham, D.B.; Kyne, A.G.; Mera, N.S.; Pourkashanian, M.; Wilson, C.W. Genetic algorithms for optimization of chemical kinetics reaction mechanisms. Prog. Energy Combust. Sci. 2004, 30, 297–328. [Google Scholar] [CrossRef]
- Michalewicz, Z. Genetic Algorithms and Data Structures = Evolution Programs, 3rd ed.; Chapter on “Genetic Algorithms: Why Do They Work?”; Springer: Heidelberg, Germany, 1996; pp. 44–57. [Google Scholar]
- Calicchia, M.A.; Atefi, E.; Leylegian, J.C. Creation of small kinetic models for CFD applications: A meta-heuristic approach. Eng. Comput. 2021, 1–15. [Google Scholar] [CrossRef]
- ASHRAE. Chapter 14, Climatic Design Information. In ASHRAE Handbook of Fundamentals; ASHRAE: Atlanta, GA, USA, 2021. [Google Scholar]









| Model | ||||
|---|---|---|---|---|
| Clear Sky | Monthly Clearness Index | Rule of Thumb | Present Model (CDDOP) | |
| Tilt angle | 41.2° | 33.6° | 40.89° | 33.68° |
| Azimuth angle | 0 | 0 | 0 | −5.62° |
| Annual Solar energy incident on the panel, kWh·m2 | 2487 | 1544 | 1676 | 1690 |
| Model | ||||
|---|---|---|---|---|
| Clear Sky | Monthly Clearness Index | Rule of Thumb | Present Model (CDDOP) | |
| Tilt angle | 30.7° | 23.6° | 28.38° | 26.2° |
| Azimuth angle | 0 | 0 | 0 | −17.6° |
| Annual Solar energy incident on the panel, kWh·m2 | 2590 | 1999 | 1957 | 1970 |
| Model | ||||
|---|---|---|---|---|
| Clear Sky | Monthly Clearness Index | Rule of Thumb | Present Model (CDDOP) | |
| Tilt angle | 34.43° | 29.75° | 34° | 29.86° |
| Azimuth angle | 0 | 0 | 0 | 2.78° |
| Annual Solar energy incident on the panel, kWh·m2 | 2598 | 1923 | 2229 | 2236 |
Publisher’s Note: MDPI stays neutral with regard to jurisdictional claims in published maps and institutional affiliations. |
© 2022 by the authors. Licensee MDPI, Basel, Switzerland. This article is an open access article distributed under the terms and conditions of the Creative Commons Attribution (CC BY) license (https://creativecommons.org/licenses/by/4.0/).
Share and Cite
Naraghi, M.H.; Atefi, E. Optimum Solar Panel Orientation and Performance: A Climatic Data-Driven Metaheuristic Approach. Energies 2022, 15, 624. https://doi.org/10.3390/en15020624
Naraghi MH, Atefi E. Optimum Solar Panel Orientation and Performance: A Climatic Data-Driven Metaheuristic Approach. Energies. 2022; 15(2):624. https://doi.org/10.3390/en15020624
Chicago/Turabian StyleNaraghi, Mohammad H., and Ehsan Atefi. 2022. "Optimum Solar Panel Orientation and Performance: A Climatic Data-Driven Metaheuristic Approach" Energies 15, no. 2: 624. https://doi.org/10.3390/en15020624
APA StyleNaraghi, M. H., & Atefi, E. (2022). Optimum Solar Panel Orientation and Performance: A Climatic Data-Driven Metaheuristic Approach. Energies, 15(2), 624. https://doi.org/10.3390/en15020624

