Research on Vehicle-to-Vehicle MIMO Wireless Channels in Various Tunnels
Abstract
1. Introduction
1.1. Backgrounds
1.2. Prior Works
1.3. Main Contributions
- We propose a 3D geometry-based stochastic scattering channel model for V2V communications in tunnel scenarios. The impacts of the typical physical properties of the propagation scenarios on the V2V channel characteristics in the time, space, and frequency domains are derived and investigated. The simulation results show that the proposed channel model has the ability to describe the practical V2V communication scenarios.
- In the proposed channel model, the time-varying parameters of the propagation paths and angles are derived to characterize the channel non-stationarity in the time domain. Furthermore, we consider the impacts of the road sections and moving time/directions/speeds of the transmitter and receiver on the correlation properties of different propagation links.
- We derive the correlation property functions of the proposed V2V channel model in the time, space, and frequency domains, which are, respectively, the space cross-correlation functions (CCFs), temporal auto-correlation functions (ACFs), frequency CCFs, as well as the Doppler power spectrum distributions (PSDs). Furthermore, we provide the numerous simulation results of the propagation characteristic for different physical properties of the tunnel, as well as the different motion properties of the transmitter and receiver.
- The proposed algorithm for V2V channel modeling considers the balance between generality and complexity. To be specific, when we properly adjust the model parameters, such as the Rician factor and motion time/velocities/directions of the transmitter and receiver, the proposed channel model has the ability to characterize the main propagation characteristics for V2V communications in tunnel scenarios, which shows the generality of the proposed V2V channel model.
2. Geometrical Tunnel Propagation Model
3. Channel Analysis for V2V MIMO in Tunnels
3.1. V2V MIMO Channel Model
3.2. Cross Correlation Functions of V2V MIMO Channel
4. Channel Capacity and Doppler of V2V MIMO
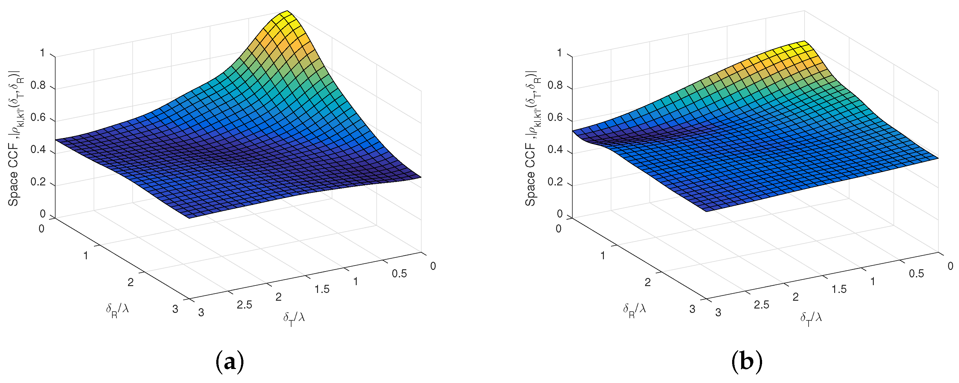
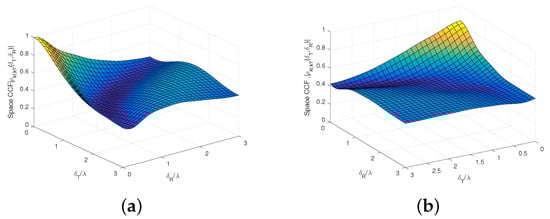
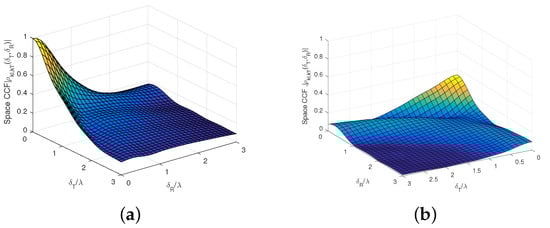
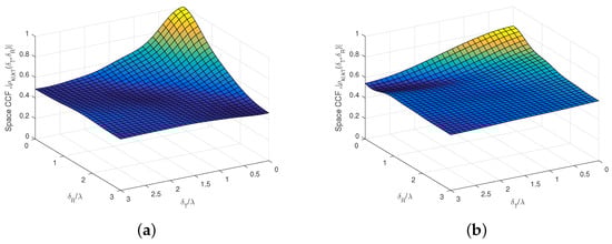
5. Numerical Results and Discussions
5.1. Channel Characteristics of SET with and without Ceilings
5.2. Channels of RT and RT with Arched Ceiling
6. Conclusions
Author Contributions
Funding
Institutional Review Board Statement
Informed Consent Statement
Data Availability Statement
Conflicts of Interest
References
- Jiang, H.; Mukherjee, M.; Zhou, J.; Lloret, J. Channel modeling and characteristics analysis for 6G wireless communications. IEEE Netw. 2021, 35, 296–303. [Google Scholar] [CrossRef]
- Wereszczyński, K.; Michalczuk, A.; Paszkuta, M.; Gumiela, J. High-precision voltage measurement for optical Quantum computation. Energies 2020, 15, 4205. [Google Scholar] [CrossRef]
- Wei, C.; Jiang, H.; Dang, J.; Wu, L.; Zhang, H. Accurate channel estimation for mmWave massive MIMO with partially coherent phase offsets. IEEE Commun. Lett. 2022, 1. [Google Scholar] [CrossRef]
- Wang, C.-X.; Huang, J.; Wang, H.; Gao, X.; You, X.-H.; Hao, Y. 6G wireless channel measurements and models: Trends and challenges. IEEE Veh. Technol. Mag. 2020, 15, 22–32. [Google Scholar] [CrossRef]
- Jiang, H.; Ying, W.; Zhou, J.; Shao, G. A 3D wideband two-cluster channel model for massive MIMO vehicle-to-vehicle communications in semi-ellipsoid environments. IEEE Access 2020, 8, 23594–23600. [Google Scholar] [CrossRef]
- Wang, C.-X.; Bian, J.; Sun, J.; Zhang, W.; Zhang, M. A survey of 5G channel measurements and models. IEEE Commun. Surveys Tuts. 2018, 20, 3142–3168. [Google Scholar] [CrossRef]
- Zhang, J.; Pan, C.; Pei, F.; Liu, G.; Cheng, X. Three-dimensional fading channel models: A survey of elevation angle research. IEEE Commun. Mag. 2014, 52, 218–226. [Google Scholar] [CrossRef]
- Jiang, H.; Zhou, J.; Hisakazu, K. Angle and time of arrival statistics for a 3-D pie-cellular-cut scattering channel model. Wirel. Personal Commun. 2014, 78, 851–865. [Google Scholar]
- Jiang, H.; Zhang, Z.C.; Wu, L.; Dang, J.; Gui, G. A 3-D non-stationary wideband geometry-based channel model for MIMO vehicle-to-vehicle communications in tunnel environments. IEEE Trans. Veh. Technol. 2019, 68, 6257–6271. [Google Scholar] [CrossRef]
- Yuan, Y.; Wang, C.; He, Y.; Alwakeel, M.M.; Aggoune, E.M. 3D wideband non-stationary geometry-based stochastic models for non-isotropic MIMO vehicle-to-vehicle channels. IEEE Trans. Wirel. Commun. 2015, 14, 6883–6895. [Google Scholar] [CrossRef]
- Jiang, H.; Zhang, Z.; Wu, L.; Dang, J. Novel 3-D irregular-shaped geometry-based channel modeling for semi-ellipsoid vehicle-to-vehicle scattering environments. IEEE Wirel. Commun. Lett. 2018, 7, 836–839. [Google Scholar] [CrossRef]
- Jiang, H.; Zhang, Z.C.; Dang, J.; Wu, L. Analysis of geometric multi-bounced virtual scattering channel model for dense urban street environments. IEEE Trans. Veh. Technol. 2017, 66, 1903–1912. [Google Scholar] [CrossRef]
- Zhang, J.; Liu, L.; Han, B.; Li, Z.; Zhou, T.; Wang, K.; Wang, D.; Ai, B. Concepts on train-to-ground wireless communication system for hyperloop: Channel, network architecture, and resource management. Energies 2020, 13, 4309. [Google Scholar] [CrossRef]
- Ching, G.S.; Ghoraishi, M.L.; Mann, M.; Lertsirisopon, N.; Takada, J.I.; Imai, T.; Sameda, I.; Sakamoto, H. Wideband polarimetric directional propagation channel analysis inside an arched tunnel. IEEE Trans. Antennas Propag. 2009, 57, 760–767. [Google Scholar] [CrossRef]
- Liu, Y.; Wang, C.X.; Huang, J.; Sun, J.; Zhang, W. Novel 3-D nonstationary mmWave massive MIMO channel models for 5G high-speed train wireless communications. IEEE Trans. Veh. Technol. 2019, 68, 2077–2086. [Google Scholar] [CrossRef]
- Zhou, J.; Wang, X.; Jiang, H.; Sasaki, S.; Shao, G. MIMO channel estimation with arbitrary angle of arrival incident power spectrum for wireless communications. IET Commun. 2020, 15, 232–244. [Google Scholar] [CrossRef]
- Fayziyev, A.; Patzold, M.; Masson, E.; Cocheril, Y.; Berbineau, M. A measurement-based channel model for vehicular communications in tunnels. In Proceedings of the IEEE WCNC, Istanbul, Turkey, 6–9 May 2014; pp. 116–121. [Google Scholar]
- Jiang, S.; Song, J.; Wang, W.; Ibrahim, R. A study on radio propagation channel modelling for tunnels. In Proceedings of the EuCAP, Madrid, Spain, 27 March–1 April 2022; pp. 1–4. [Google Scholar]
- Avazov, N.; Patzold, M. A novel wideband MIMO car-to-car channel model based on a geometrical semi-circular tunnel scattering model. IEEE Trans. Veh. Technol. 2016, 65, 1070–1082. [Google Scholar] [CrossRef][Green Version]
- He, R.; Ai, B.; Stuber, G.L.; Zhong, Z. Mobility model-based non-stationary mobile-to-mobile channel modeling. IEEE Trans. Wirel. Commun. 2018, 17, 4388–4400. [Google Scholar] [CrossRef]
- Jiang, H.; Chen, Z.; Zhou, J.; Dang, J.; Wu, L. A general 3D non-stationary wideband twin-cluster channel model for 5G V2V tunnel communication environments. IEEE Access 2019, 7, 137744–137751. [Google Scholar] [CrossRef]
- Li, Y.; He, R.; Lin, S.; Guan, K.; He, D.; Wang, Q.; Zhong, Z. Cluster-based nonstationary channel modeling for vehicle-to-vehicle communications. IEEE Antennas Wirel. Prop. Lett. 2017, 16, 1419–1422. [Google Scholar] [CrossRef]
- Ghazal, A.; Yuan, Y.; Wang, C.X.; Zhang, Y.; Yao, Q.; Zhou, H.; Duan, W. A non-stationary IMT-Advanced MIMO channel model for high-mobility wireless communication systems. IEEE Trans. Wirel. Commun. 2017, 16, 2057–2068. [Google Scholar] [CrossRef]
- Ghazal, A.; Wang, C.-X.; Ai, B.; Yuan, D.; Haas, H. A nonstationary wideband MIMO channel model for high-mobility intelligent transportation systems. IEEE Trans. Intel. Transp. Syst. 2015, 16, 885–897. [Google Scholar] [CrossRef]
- Jiang, H.; Xiong, B.; Zhang, Z.; Zhang, J.; Zhang, H.; Dang, J.; Wu, L. Novel statistical wideband MIMO V2V channel modeling using Unitary matrix transformation algorithm. IEEE Trans. Wirel. Commun. 2021, 20, 4947–4961. [Google Scholar] [CrossRef]
- Xiong, B.; Zhang, Z.; Zhang, J.; Jiang, H.; Dang, J.; Wu, L. Novel multi-mobility V2X channel model in the presence of randomly moving clusters. IEEE Trans. Wirel. Commun. 2021, 20, 3180–3195. [Google Scholar] [CrossRef]
- Xiong, B.; Zhang, Z.; Jiang, H.; Zhang, J.; Wu, L.; Dang, J. A 3D non-stationary MIMO channel model for reconfigurable intelligent surface auxiliary UAV-to-ground mmWave communications. IEEE Trans. Wirel. Commun. 2022, 21, 5658–5672. [Google Scholar] [CrossRef]
- Xiong, B.; Zhang, Z.; Jiang, H.; Zhang, H.; Zhang, J.; Wu, L.; Dang, J. A statistical MIMO channel model for reconfigurable intelligent surface assisted wireless communications. IEEE Trans. Commun. 2022, 70, 1360–1375. [Google Scholar] [CrossRef]
- Jiang, H.; Ruan, C.; Zhang, Z.; Dang, J.; Wu, L.; Mukherjee, M.; da Costa, D.B. A general wideband non-stationary stochastic channel model for intelligent reflecting surface-assisted MIMO communications. IEEE Trans. Wirel. Commun. 2021, 20, 5314–5328. [Google Scholar] [CrossRef]
- Payami, S.; Tufvesson, F. Channel measurements and analysis for very large array systems at 2.6 GHz. In Proceedings of the EUCAP, Prague, Czech Republic, 22–26 March 2012; pp. 433–437. [Google Scholar]
















Publisher’s Note: MDPI stays neutral with regard to jurisdictional claims in published maps and institutional affiliations. |
© 2022 by the authors. Licensee MDPI, Basel, Switzerland. This article is an open access article distributed under the terms and conditions of the Creative Commons Attribution (CC BY) license (https://creativecommons.org/licenses/by/4.0/).
Share and Cite
Zhou, J.; Wu, S.; Lv, Z.; Luo, H.; Liu, T.; Shao, G. Research on Vehicle-to-Vehicle MIMO Wireless Channels in Various Tunnels. Energies 2022, 15, 5222. https://doi.org/10.3390/en15145222
Zhou J, Wu S, Lv Z, Luo H, Liu T, Shao G. Research on Vehicle-to-Vehicle MIMO Wireless Channels in Various Tunnels. Energies. 2022; 15(14):5222. https://doi.org/10.3390/en15145222
Chicago/Turabian StyleZhou, Jie, Sujie Wu, Zhikang Lv, Hong Luo, Ting Liu, and Genfu Shao. 2022. "Research on Vehicle-to-Vehicle MIMO Wireless Channels in Various Tunnels" Energies 15, no. 14: 5222. https://doi.org/10.3390/en15145222
APA StyleZhou, J., Wu, S., Lv, Z., Luo, H., Liu, T., & Shao, G. (2022). Research on Vehicle-to-Vehicle MIMO Wireless Channels in Various Tunnels. Energies, 15(14), 5222. https://doi.org/10.3390/en15145222

