Experimental Investigation on Intermittent Operation Characteristics of Dual-Temperature Refrigeration System Using Hydrocarbon Mixture
Abstract
:1. Introduction
2. Experimental Equipment and Testing Procedure
- (1)
- After leakage detection by nitrogen gas, the dual-temperature refrigerator system is thoroughly vacuumed with an evacuating pump to achieve the system absolute pressure under 1.5 kPa before each charged process;
- (2)
- The high boiling component R600a and low boiling component R290 are charged into the dual-temperature refrigeration system, respectively, at designated mass for each pure component. It is worth mentioning that pure refrigerants are charged by the order of R600a and R290 component to avoid the backward phenomenon;
- (3)
- The experimental refrigerator must be placed inside the environmental chamber for over 8 h to balance composition distribution before this refrigeration system operation. The prototype in unloaded condition (i.e., without additional thermal load) should operate over 24 h to obtain consecutive on–off cyclic operation mode.
3. Results and Discussion
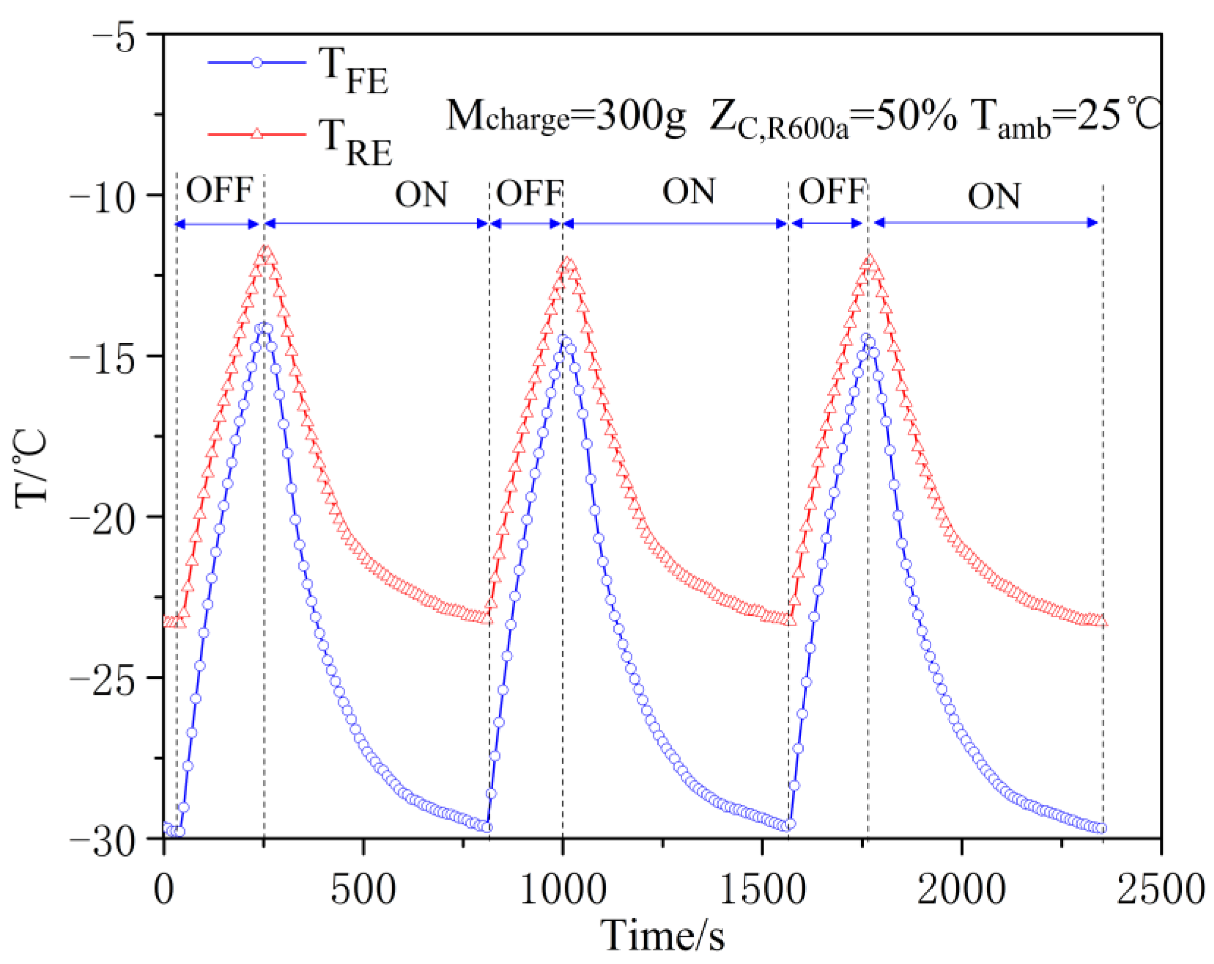
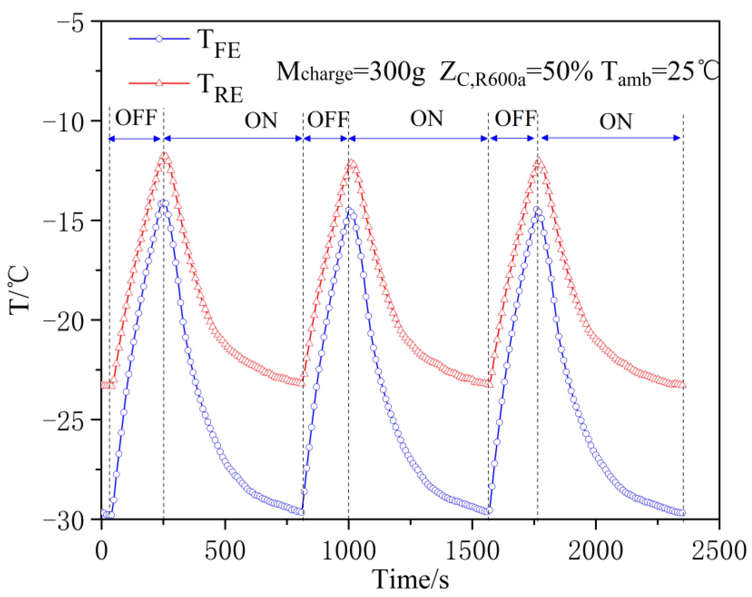
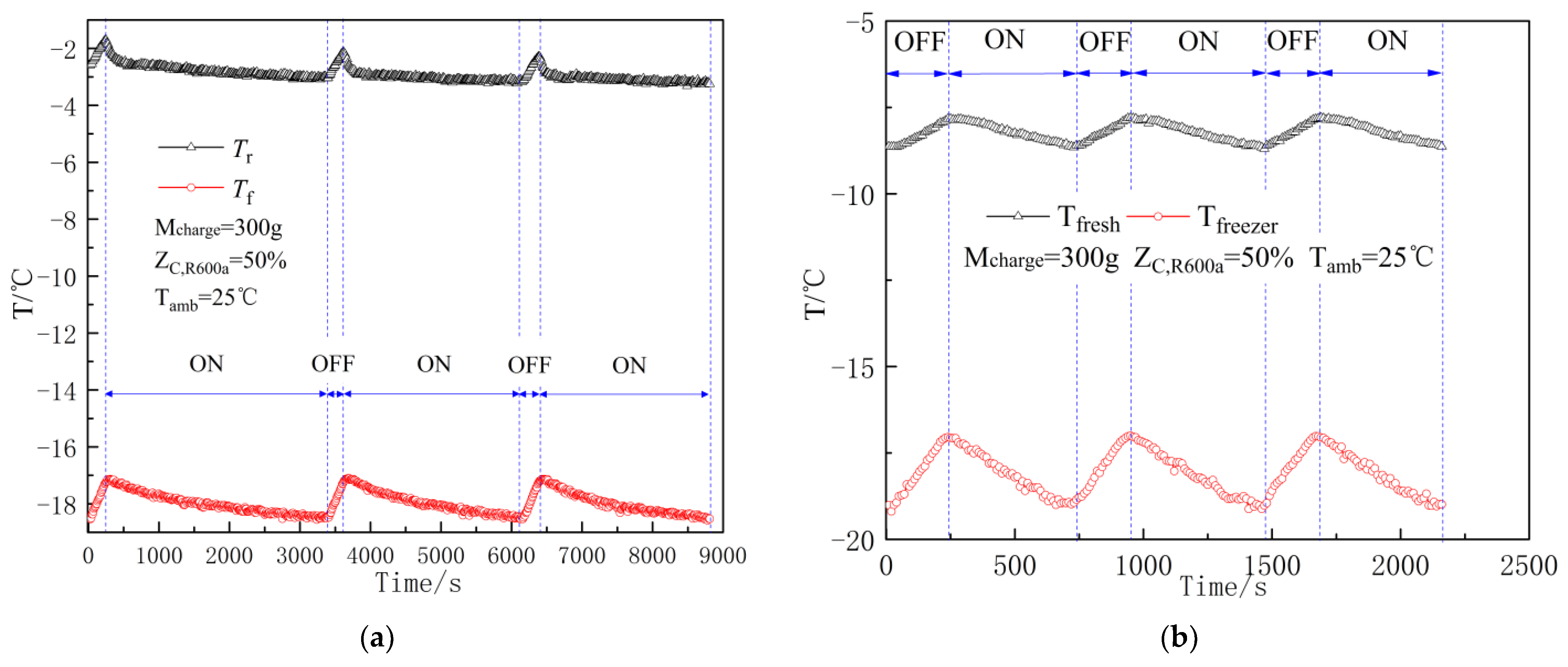
3.1. On-Off Cyclic Operation Features of Zeotropic Mixture Based Dual-Temperature Refrigeration System
3.2. The Effect of Refrigerant Charge on Intermittent Operation Characteristics
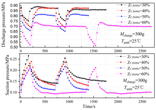
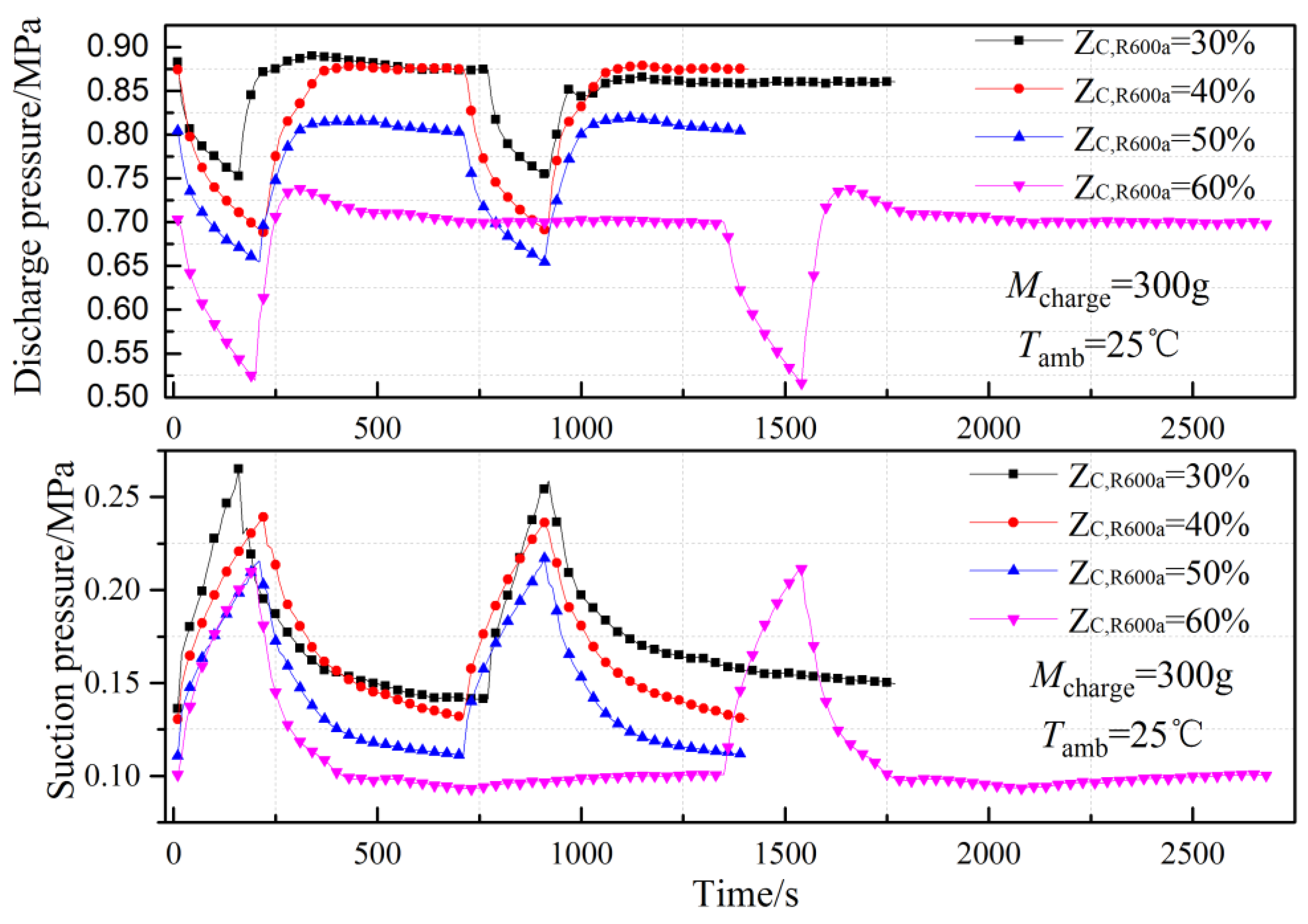
3.3. The Effect of Refrigerant Component Fraction on Intermittent Operation Characteristics
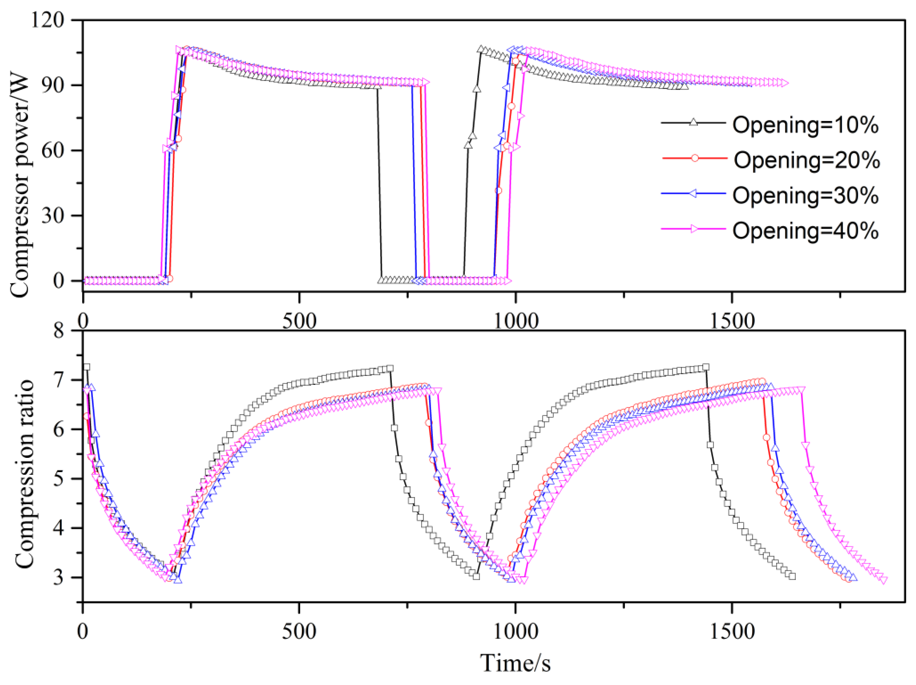
3.4. The Effect of Throttling Valve Opening on Intermittent Operation Characteristics
3.5. The Influence of Ambient Temperature on Intermittent Operation Characteristics
4. Conclusions
- (1)
- The compressor average power for the duration of the compressor startup increases and the compressor duty cycle first declines then increases with the rise of the refrigerant charge from 280 g to 340 g;
- (2)
- The daily energy consumption decreases from 2.11 kWh·24 h−1 to 1.60 kWh·24 h−1 and then goes up to 1.86 kWh·24 h−1 as the R600a-charged concentration increases from 30% to 70%. Thus, the minimum power consumption of the compressor is 1.60 kWh·24 h−1, which is achieved at the refrigerant charge of 300 g and the R600a-charged mass fraction of 50%;
- (3)
- The average power of the compressor during the on-period increases and the compressor duty cycle goes up as the freezer valve opening increases. From the comprehensive consideration for compressor power and daily energy consumption, the optimal opening of the throttling valve is determined at 10%;
- (4)
- A higher ambient temperature results in heat transfer deterioration in the condensers and significant rise in the cabinets’ heat load, which finally generates the increase in the compressor duty cycle and daily power consumption.
Author Contributions
Funding
Institutional Review Board Statement
Informed Consent Statement
Data Availability Statement
Conflicts of Interest
References
- Negrão, C.O.; Hermes, C.J. Energy and cost savings in household refrigerating appliances: A simulation-based design approach. Appl. Energy 2011, 88, 3051–3060. [Google Scholar] [CrossRef]
- Belman-Flores, J.M.; Barroso-Maldonado, J.M.; Rodríguez-Muñoz, A.P.; Camacho-Vázquez, G. Enhancements in domestic refrigeration, approaching a sustainable refrigerator—A review. Renew. Sust. Energy Rev. 2015, 51, 955–968. [Google Scholar] [CrossRef]
- Zhao, R.; Qiao, L.; Gao, Z.; Huang, D. Effect of vacuum insulation panels on energy consumption and thermal load transfer between compartments in a three-temperature frost-free refrigerator. Energies 2020, 13, 1559. [Google Scholar] [CrossRef] [Green Version]
- Park, C.; Lee, H.; Hwang, Y.; Radermacher, R. Recent advances in vapor compression cycle technologies. Int. J. Refrig. 2015, 60, 118–134. [Google Scholar] [CrossRef]
- Mohanraj, M.; Muraleedharan, C.; Jayaraj, S. A review on recent developments in new refrigerant mixtures for vapour compression-based refrigeration, air-conditioning and heat pump units. Int. J. Energy Res. 2011, 35, 647–669. [Google Scholar] [CrossRef]
- Harby, K. Hydrocarbons and their mixtures as alternatives to environmental unfriendly halogenated refrigerants: An updated overview. Renew. Sust. Energy Rev. 2017, 73, 1247–1264. [Google Scholar] [CrossRef]
- Abas, N.; Kalair, A.R.; Khan, N.; Haider, A.; Saleem, Z.; Saleem, M.S. Natural and synthetic refrigerants, global warming: A review. Renew. Sust. Energy Rev. 2018, 90, 557–569. [Google Scholar] [CrossRef]
- Bolaji, B.O.; Huan, Z. Ozone depletion and global warming: Case for the use of natural refrigerant—A review. Renew. Sustain. Energy Rev. 2013, 18, 49–54. [Google Scholar] [CrossRef]
- Bai, T.; Yan, G.; Yu, J. Experimental research on the pull-down performance of an ejector enhanced auto-cascade refrigeration system for low-temperature freezer. Energy 2018, 157, 647–657. [Google Scholar] [CrossRef]
- Agrawal, N.; Patil, S.; Nanda, P. Experimental studies of a domestic refrigerator using R290/R600a zeotropic blends. Energy Procedia 2017, 109, 425–430. [Google Scholar] [CrossRef]
- Mani, K.; Selladurai, V. Experimental analysis of a new refrigerant mixture as drop-in replacement for CFC12 and HFC134a. Int. J. Therm. Sci. 2008, 47, 1490–1495. [Google Scholar] [CrossRef]
- Jung, D.; Kim, C.B.; Song, K.; Park, B. Testing of propane/isobutane mixture in domestic refrigerators. Int. J. Refrig. 2000, 23, 517–527. [Google Scholar] [CrossRef]
- Ozsipahi, M.; Kose, H.A.; Kerpicci, H.; Gunes, H. Experimental study of R290/R600a mixtures in vapor compression refrigeration system. Int. J. Refrig. 2022, 133, 247–258. [Google Scholar] [CrossRef]
- Yan, G.; Hu, H.; Yu, J. Performance evaluation on an internal auto-cascade refrigeration cycle with mixture refrigerant R290/R600a. Appl. Therm. Eng. 2015, 75, 994–1000. [Google Scholar] [CrossRef]
- Liu, X.; Yu, J.; Yan, G. Theoretical investigation on an ejector–expansion refrigeration cycle using zeotropic mixture R290/R600a for applications in domestic refrigerator/freezers. Appl. Therm. Eng. 2015, 90, 703–710. [Google Scholar] [CrossRef]
- Fang, Z.; Fan, C.; Yan, G.; Yu, J. Performance evaluation of a modified refrigeration cycle with parallel compression for refrigerator-freezer applications. Energy 2019, 188, 116093. [Google Scholar] [CrossRef]
- Yu, C.C.; Teng, T.P. Retrofit assessment of refrigerator using hydrocarbon refrigerants. Appl. Therm. Eng. 2014, 66, 507–518. [Google Scholar] [CrossRef]
- Fatouh, M.; El Kafafy, M. Assessment of propane/commercial butane mixtures as possible alternatives to R134a in domestic refrigerators. Energy Convers. Manag. 2006, 47, 2644–2658. [Google Scholar] [CrossRef]
- Yoon, W.J.; Seo, K.; Chung, H.J.; Lee, E.-J.; Kim, Y. Performance optimization of a Lorenz–Meutzner cycle charged with hydrocarbon mixtures for a domestic refrigerator-freezer. Int. J. Refrig. 2012, 35, 36–46. [Google Scholar] [CrossRef]
- Jwo, C.S.; Ting, C.C.; Wang, W.R. Efficiency analysis of home refrigerators by replacing hydrocarbon refrigerants. Measurement 2009, 42, 697–701. [Google Scholar] [CrossRef]
- Wongwises, S.; Chimres, N. Experimental study of hydrocarbon mixtures to replace HFC-134a in a domestic refrigerator. Energy Convers. Manag. 2005, 46, 85–100. [Google Scholar] [CrossRef]
- Rasti, M.; Hatamipour, M.S.; Aghamiri, S.F.; Tavakoli, M. Enhancement of domestic refrigerator’s energy efficiency index using a hydrocarbon mixture refrigerant. Measurement 2012, 45, 1807–1813. [Google Scholar] [CrossRef]
- Chen, Q.; Yu, M.; Yan, G.; Yu, J. Thermodynamic analyses of a modified ejector enhanced dual temperature refrigeration cycle for domestic refrigerator/freezer application. Energy 2022, 244, 122565. [Google Scholar] [CrossRef]
- Lee, M.Y.; Lee, D.Y.; Kim, Y. Performance characteristics of a small-capacity directly cooled refrigerator using R290/R600a (55/45). Int. J. Refrig. 2008, 31, 734–741. [Google Scholar] [CrossRef]
- Abou-Ziyan, H.; Fatouh, M. Transient and cyclic characteristics of a household refrigerator using ternary hydrocarbon mixture—An experimental investigation. Appl. Therm. Eng. 2018, 129, 446–462. [Google Scholar] [CrossRef]
- He, M.G.; Song, X.Z.; Liu, H.; Zhang, Y. Application of natural refrigerant propane and propane/isobutane in large capacity chest freezer. Appl. Therm. Eng. 2014, 70, 732–736. [Google Scholar] [CrossRef]
- Mohanraj, M.; Jayaraj, S.; Muraleedharan, C.; Chandrasekar, P. Experimental investigation of R290/R600a mixture as an alternative to R134a in a domestic refrigerator. Int. J. Therm. Sci. 2009, 48, 1036–1042. [Google Scholar] [CrossRef]
- Yan, G.; Cui, C.; Yu, J. Energy and exergy analysis of zeotropic mixture R290/R600a vapor-compression refrigeration cycle with separation condensation. Int. J. Refrig. 2015, 53, 155–162. [Google Scholar] [CrossRef]
- Lemmon, E.W.; Huber, M.L.; McLinden, M.O. (Eds.) Reference Fluid Thermodynamic and Transport Properties-REFPROP; Version 9.1; NIST Standard Reference Database 23; National Institute of Standards and Technology: Gaithersburg, MD, USA, 2013. [Google Scholar]
- Sánchez, D.; Cabello, R.; Llopis, R.; Arauzoa, I.; Catalán-Gila, J.; Torrella, E. Energy performance evaluation of R1234yf, R1234ze (E), R600a, R290 and R152a as low-GWP R134a alternatives. Int. J. Refrig. 2017, 74, 269–282. [Google Scholar] [CrossRef]
- Chen, Q.; Yan, G.; Yu, J. Experimental research on the concentration distribution characteristics of dual-temperature refrigeration system using R290/R600a based on separation condensation. Int. J. Refrig. 2021, 131, 244–253. [Google Scholar] [CrossRef]
- Cao, J.; Wang, Q.; Hu, M.; Ren, X.; Liu, W.; Su, Y.; Pei, G. Investigation on an improved household refrigerator for energy saving of residential buildings. Appl. Sci. 2020, 10, 4246. [Google Scholar] [CrossRef]
- Maiorino, A.; Del Duca, M.G.; Aprea, C. ART. I. CO.(ARTificial Intelligence for COoling): An innovative method for optimizing the control of refrigeration systems based on Artificial Neural Networks. Appl. Energy 2022, 306, 118072. [Google Scholar] [CrossRef]


















| Component | Tcr/°C | Pcr/°C | NBT/°C | ODP | GWP | Safety Group |
|---|---|---|---|---|---|---|
| R290 | 96.74 | 4.251 | −42.11 | 0 | 3 | A3 |
| R600a | 134.66 | 3.629 | −11.75 | 0 | 4 | A3 |
| Equipment | Configuration |
|---|---|
| Compressor | Hermetic reciprocating type compressor with 5.8 cm3 displacement. |
| Condenser-1 | Plain fin-tube type heat exchanger. Tube length: 2.2 m. Heat transfer area: 0.4 m2. Length: 155 mm. Width: 45 mm. Height:150 mm. |
| Condenser-2 | Wavy fin-tube type heat exchanger. Tube length: 2.5 m. Heat transfer area: 1.8 m2. Length: 260 mm. Width:50 mm. Height:138 mm. |
| Subcooler | Wavy fin-tube type heat exchanger. Tube length: 1.3 m Heat transfer area: 0.9 m2. Length: 150 mm. Width:50 mm. Height:138 mm. |
| Freezer evaporator | Plain fin-tube type heat exchanger with total heat transfer area of 0.66 m2 and Tube length of 5.4 m. |
| Refrigerating evaporator | Plain fin-tube type heat exchanger with total heat transfer area of 2.65 m2 and Tube length of 15.5 m. |
| Throttling device | Manual needle valve. |
| SLHX | Double-pipe type heat exchanger. |
| Freezer chamber | Reservoir volume: 166 L. |
| Fresh chamber | Reservoir volume:262 L. |
| Parameters | Devices | Accuracy | Full Range |
|---|---|---|---|
| Temperature | T-type thermoelectric couple. | ±0.5 °C | −150–380 °C |
| Pressure | Pressure sensor. | ±0.25% | 0–2 MPa |
| Refrigerant charge | Balance (OHAOS EX35001ZH). | ±0.1 g | 0–30 kg |
| Refrigerant mass flow rate | Coriolis digital flowmeter. | ±0.2% | 0–5 kg·h−1/0–10 kg·h−1 |
| Power | Power meter (QINGZHI 8775B1). | ±0.01 W | 0–24 kW |
Publisher’s Note: MDPI stays neutral with regard to jurisdictional claims in published maps and institutional affiliations. |
© 2022 by the authors. Licensee MDPI, Basel, Switzerland. This article is an open access article distributed under the terms and conditions of the Creative Commons Attribution (CC BY) license (https://creativecommons.org/licenses/by/4.0/).
Share and Cite
Chen, Q.; Li, Y. Experimental Investigation on Intermittent Operation Characteristics of Dual-Temperature Refrigeration System Using Hydrocarbon Mixture. Energies 2022, 15, 3990. https://doi.org/10.3390/en15113990
Chen Q, Li Y. Experimental Investigation on Intermittent Operation Characteristics of Dual-Temperature Refrigeration System Using Hydrocarbon Mixture. Energies. 2022; 15(11):3990. https://doi.org/10.3390/en15113990
Chicago/Turabian StyleChen, Qi, and Yinsong Li. 2022. "Experimental Investigation on Intermittent Operation Characteristics of Dual-Temperature Refrigeration System Using Hydrocarbon Mixture" Energies 15, no. 11: 3990. https://doi.org/10.3390/en15113990
APA StyleChen, Q., & Li, Y. (2022). Experimental Investigation on Intermittent Operation Characteristics of Dual-Temperature Refrigeration System Using Hydrocarbon Mixture. Energies, 15(11), 3990. https://doi.org/10.3390/en15113990
