Abstract
The paper aims to detect the differences in stock market performance between companies from the alternative energy sector and main stock market sectors in the first and second years of the COVID-19 pandemic. We used Global Industry Classification Standard to analyse eleven main stock market sectors and the alternative energy sector. Based on the one-factor variance analysis—ANOVA, we reveal the statistically significant differences between the analysed stock market sectors in both 2020 and 2021. The analysis implied that the performance of stock market companies during COVID-19 is sector-specific. Tukey’s Honestly Significant Difference (HSD) test for pairwise comparison indicates that the alternative energy sector shows the most differentiation. Its average rate of return in 2020 is the highest and is significantly different for all eleven stock market sectors, while the top constituents from the conventional energy and financial sectors suffered the most. In 2021, a reverse trend in the stock prices can be observed. Companies from the conventional energy and financial sectors achieved the highest positive average weekly rates of return among all of the analysed stock market sectors, while the alternative energy sector performed significantly worse than the other sectors did. Nevertheless, throughout the entire analyses period of 2020–2021, the companies from the alternative energy sector turned out to be the biggest stock market beneficiaries. This study might imply that the COVID-19 pandemic has not hampered but has instead accelerated growing concerns about the environment and climate change.
1. Introduction
Pandemics, i.e., large-scale outbreaks of infectious diseases, not only disturb the health status of the population and contribute to the depopulation of the Earth, but also hamper economic growth and induce uncertainty and panic in the financial market. The COVID-19 pandemic should teach us a lesson that economic health is dependent on and is as significant as public health [1]. Moreover, even if we cannot prevent infectious diseases from emerging, we should be better prepared to dampen their socio-economic effects [2].
The paper focuses on the stock market. Changes in share prices reflect market expectations in current and future situations in a given industry but also change in terms of macroeconomic variables such as demand and restrictions in supply [3]. Moreover, stock market prices are more readily available than macroeconomic indicators such as the unemployment rate and GDP growth rate, so they allow the effects of a crisis period to be analysed, even during the crisis’ initial phases.
Stock market performance reacts to major unexpected and expected events [4], including political events [5], environmental issues [6], disasters [7], news [8], and sports events [9]. Stock markets also respond to pandemic outbreaks [10,11], e.g., SARS [12,13,14], MERS, and Ebola [15,16]. The novel coronavirus pandemic has significantly affected global financial markets [17,18], as stock markets display patterns that are clearly different from those that were observed before and that have been observed after the COVID-19 outbreak [19]. Global financial markets have labelled the pandemic as a giant black swan event [20,21]. The stock markets in all of the world’s major economies immediately nosedived after the rapid global spread of the COVID-19 outbreak in February 2020 [22,23]. Due to increased uncertainty, the pandemic has reduced the confidence that investors usually have in the stock market [24]. Chakrabarti et al. [25] indicate that COVID-19 has caused contagion in the global equity market. Nevertheless, according to Okorie and Lin [26], the COVID-19 pandemic’s contagion effects on the world’s stock markets lapse when considered from medium- and long-term perspectives. The strongest stock market reaction was observed in the initial phase of the pandemic [27,28].
The reactions of stock markets to epidemics are not homogenous in terms of stock market sectors. Chen et al. [29] indicate that SARS negatively impacted tourism and the wholesale and retail sectors but positively affected biotechnology. Ichev and Marinc [15] conclude that during the EBOLA epidemic, the biotechnology, food and beverage, and healthcare industries were characterised by growth in stock prices, while the epidemic had a significant impact on other stock market industries. The stock market response to the novel coronavirus pandemic also seems to be industry-specific [4,30].
This paper concentrates on the performance of the companies from 11 MSCI main stock market sectors in the first and second years of the COVID-19 pandemic. Griffith et al. [3] compared the reactions of individual stock market sectors. However, they analysed this issue using data from companies listed on London Stock Exchange for the period of January–May 2020, i.e., the initial phase of the COVID-19 pandemic. Narayan et al. [31] and Shahzad et al. [32] applied a sector-based classifications similar to ours. The classification that was developed by Narayan et al. [31] was based on the Australian stock market and covered the period of April–September 2020 period. They observed that the healthcare, information technology, and consumer staple sectors benefitted from the pandemic, while other sectors were either negatively impacted or were not affected at all. Similarly, Al-Awadhi et al. [4] suggested that the stock returns for the information technology and medicine manufacturing sectors performed significantly better than the market, while the stock returns for the beverage, air transportation, water transportation, and highway transportation sectors performed substantially worse than the market during the initial COVID-19 outbreak. Shahzad et al. [32] revealed the adverse impact on the aggregate indices. According to them, the real economic impact of the COVID-19 outbreak has spread to several equity sectors, triggering heavy losses, especially in the financial, energy, industrial, and consumer discretionary sectors. Our contribution to the literature is that we are not only focusing on the initial stage of the COVID-19 pandemic, as most researchers are, but are instead comparing the impact of COVID-19 on the stock market during the first and second pandemic years. Additionally, compared to our paper, most studies do not compare the effects of COVID-19 on all of the main stock market sectors, but instead focus on one or a few of them.
The food industry represents one of the stock market beneficiaries from the first period after the COVID-19 pandemic was announced [23]. Nicola et al. [20] indicated that the food sector was facing increased panic-buying-driven demand and the stockpiling of food products at that time. Hohler and Lansink [33], who analysed food supply chain companies during the first wave of COVID-19, found that the stock prices of food retailers were characterised by low price volatility, while the stocks of food manufacturing and distributing companies represented high price volatility. Alam et al. [23], who developed a classification based on the Australian stock market, observed that the healthcare sector also exhibited impressive positive returns during the early stages of the COVID-19 pandemic.
Haroon and Rizvi [34] observed even greater price volatility in the sectors that were perceived to be the most affected by the novel coronavirus outbreak. Goodell [35] showed that the financial sector was substantially hit by the first wave of the pandemic due to the increase in non-performing loans. Anh and Gan [36], who analysed the Vietnamese stock market, also confirmed that the financial sector suffered the most during the COVID-19 outbreak. Moreover, the COVID-19 pandemic adversely affected both the conventional energy sector and conventional energy commodity prices [37,38,39,40]. The Great Lockdown triggered by the rapid spread of COVID-19 led to a substantial decrease in the global demand for energy, particularly oil, squeezed companies’ profit margins from the energy sector, and brought about significant decreases in their stock prices [32]. Zhang et al. [41] present the interrelationship between pandemics and oil prices and show that COVID-19 has reduced the demand for oil, causing a decrease in oil prices. Su et al. [42] indicate that the correlation between pandemics and oil prices might be affected by other economic or geopolitical factors that trigger market uncertainty.
The present paper aims to assess how companies from the alternative energy sector perform during the COVID-19 pandemic compared to companies from other main stock market sectors. To our knowledge, there is no such study comparing the response of the alternative energy sector to all of the main stock market sectors. The novel coronavirus has had an unprecedently effect on the alternative energy sector. Liu et al. [43] found that the COVID-19 pandemic had a more significant impact on the alternative energy sector than the global financial crisis did in terms of stock price returns and volatilities. Studies on the impact of COVID-19 on the alternative energy sector indicate the adverse effects of the pandemic during its initial phase. Hosseini [44], whose research was based on the novel coronavirus’ first global spread, observed that COVID-19 has struck renewable energy manufacturing facilities, supply chains, and companies and has slowed down the world’s transition to a world using more sustainable energy sources. He built a pessimistic scenario for the renewable energy market based on an initial COVID-19-induced price plunge in the stock market while analysing the short-term period. Wang and Cheng [45] present a similar view regarding the short-term impact of COVID-19 on the stock prices of solar enterprises.
However, it was later determined that the COVID-19 pandemic period, particularly 2020, was a period of prosperity for the alternative energy market, and the share prices of companies from this sector were characterised by a substantial increase. Zhao [46] reveals that uncertainty in the oil market accelerated the use of clean energy sources and led to the stock prices of clean energy corporations to increase. Ghabri et al. [47] observed a significant increase in the returns of clean energy stocks during the first wave of the pandemic. Contrary to conventional energy, renewable energy sources experienced growth in demand in the aftermath of the novel coronavirus pandemic and became the most-COVID-19-resilient sector among stock market sectors [48]. Corbet et al. [44] claim that this was due to the fact that investors considered hat renewable energy sources could more reliably generate a long-term supply than fossil fuels could, particularly oil. The advantages of cleanness, green, and broad geographical scope make renewable energy the best energy raw material for the future [49,50]. Moreover, the increasing global environmental pollution and energy crisis has resulted in renewable energy becoming something that investors are currently concerned about [51]. Sovacool et al. [52] claim that the novel coronavirus pandemic will lead to the viability of both energy companies and global energy supply chains. This increased interest in alternative energy could be related to Schumpeter’s theory referring to new combinations and creative destruction [53].Technologies that are based on alternative energies are replacing those that are based on oil energy, just coal technologies gave way to oil technologies in the energy sector in the past. New innovative companies unseat established companies through processes of creative destruction, and the COVID-19 pandemic outbreak might have been the accelerating force in this process [54]. It should be stressed that according to Schumpeter, the largest companies are the main drivers of innovation, i.e., new combinations [55].
Kuang [56] showed that clean energy stocks provide risk diversification benefits for investors with conventional energy stocks. Most of the studies that were conducted in the pre-COVID-19 period present a positive relationship between these two sectors [57,58]. Kocaarslan and Soytan [59] only showed the existence of this positive relationship from a short-term perspective, but this relationship turned out to be negative when analysed in the long-term. However, COVID-19 seems to have had a significant impact on the direction of this relationship. Czech and Wielechowski [27] revealed the considerable differences between the responses of the alternative and conventional energy sectors to the COVID-19 pandemic. They reveal that compared to the conventional energy sector, the alternative energy sector was characterised by lower volatility and was less affected by COVID-19-related indicators. This may suggest that the performance of the alternative energy sector during the COVID-19 pandemic distinguished itself among other sectors, which justifies the importance and relevance of the issue that is discussed in the present paper.
The main contribution of the present research is the comparison of the performance of the alternative energy sector with the other main stock market sectors. Moreover, we focus on companies, not indices. In contrast to other studies, our analysis covers more than just the first phase of the pandemic and covers a more extended period, i.e., January 2020–September 2021, that is divided into two sub-periods. To our knowledge, no studies similar to the one that is described here have been conducted as of yet.
The results of our research might be helpful for investors in making investment decisions to minimise risk by diversifying their portfolios. Moreover, by focusing on the alternative energy sector, our study indirectly indicates the importance of renewable energy sources, particularly during a time when there growing concerns about the environment and climate change.
The paper is organised as follows: The next section sets out the methodology. The posterior section presents the empirical findings and discussion, and the final section offers concluding remarks.
2. Materials and Methods
The present paper aims to detect the differences in stock market performance between companies from the alternative energy sector and main stock market sectors in the first and second years of the COVID-19 pandemic.
To achieve the main aim of the paper, we have formulated two research hypotheses:
Hypothesis 1 (H1).
Stock market performance during the COVID-19 pandemic differed across sectors.
Hypothesis 2 (H2).
Companies from the alternative energy sector performed better in the stock market during COVID-19 than companies from all of the other main stock market sectors.
We analysed the stock market industries using the Global Industry Classification Standard (GICS). The classification was developed by MSCI and by Standard & Poor’s Dow Jones Indices, which were introduced in 1999. This classification aims to provide an efficient investment tool that is able to capture the economic sectors’ liquidity (breadth and depth) and evolution. The GICS is a hierarchical classification system that consists of 11 sectors, 24 industry groups, 68 industries, and 157 sub-industries. Classification is mainly based on a company’s revenues, which are used to determine the company’s principal business activity. Table A1 in the Appendix A presents the industry structure of the each of 11 stock market sectors.
In the present study, we consider companies from the alternative energy sector (A) and 11 main sectors stock market sectors, i.e., (conventional) energy (1), materials (2), industrial (3), utilities (4), healthcare (5), financial (6), consumer discretionary (7), consumer staples (8), information technology (9), communication services (10), and real estate (11).
An analysis is conducted on the weekly rates of return based on the daily prices of the top 5 companies from the 11 main stock market sectors and from the alternative energy sector using GICS classification. In total, approximately 24,000 daily observations are used. Table 1 presents the list of analysed companies.
Table 1.
Top five companies from alternative energy and main stock market sectors: based on MSCI stock market sectors.
In addition to descriptive statistics, ANOVA was used for the analysis. ANOVA is a parametric statistical technique that is used to compare the mean values of selected datasets. This method was introduced by Fisher and Mackenzie [60] and Fisher [61]. ANOVA is used to determine statistically significant differences between the means of multiple groups of observations. The one-way analysis of variance concerns a situation in which we examine the influence of one factor, i.e., a qualitative variable, on the qualitative dependent variable. The general form of the ANOVA model for the random variable Y, where refers to i-th observation from the j-th group, is as follows:
where is the mean in the entire population, is the deviation from caused by factor A at the level (), and is a normally distributed random deviation that is related to the i-th observation () for the j-th level of factor A.
The null hypothesis assumes that all factor levels equally affect the dependent variable Y. This means that all of the means in the p groups are the same. The hypotheses in the ANOVA test are as follows:
The total variation of the dependent variable Y (total sum of squares, SST) is the sum of the intergroup variation that is caused by the factor (sum of squares for treatment, SSTR) and the intra-group variation that is caused by the random effects (sum of squares for errors, SSE).
where is the overall mean value of all observations, and where is the average value of all of the observations at the level of factor .
The test statistic follows F distribution with the numbers of degrees of freedom in the numerator and in the denominator, where is the sample size, and is the number of groups of the random variable
The F statistic takes on higher values when the intergroup differentiation that is caused by the selected factor is greater compared to the intragroup differentiation that is caused by random effects. The critical area of the F-test is the right-sided area. The rejection of the null hypothesis means that at least two means in the groups differ from each other, i.e., factor significantly affects the dependent variable .
The results of the F-test indicate that there are at least two means that differ significantly from each other, but it is not known to which groups it applies to precisely. For this reason, the analysis of variance is usually supplemented with so-called post hoc tests, also known as pairwise or multiple comparison tests. One of the most popular tests is Tukey’s Honestly Significant Difference (HSD) test (Tukey, 1953). Tukey’s HSD test allows any pair of means with the level of significance established for all comparisons to be compared. In Tukey’s test, statistics are determined as follows:
where is the appropriate quantile of the studentized range at i degrees of freedom and at significance level .
In this article, we check whether the response of stock prices during the COVID-19 pandemic differed depending on the sector represented by the stock companies. The study determines whether the average rates of return on the shares of the five largest companies in the selected twelve sectors differ significantly from each other. Belonging to a given sector was assumed as a qualitative variable. to the variable represents the number of stock market sectors (Equations (4)–(6)). In the null hypothesis, we assume that the average rates of return of the shares of the companies representing all 12 sectors are the same.
The research covers the period of January 2020–September 2021 and two corresponding sub-periods from the first and the second years of the COVID-19 pandemic, specifically January–September 2020 and January–September 2021. The periods of January–September 2020 and January–September 2021 were analysed separately to see if the response of the share prices differed during different phases of the COVID-19 pandemic. The length of the research period was dependent on data availability.
In the entire analysis, we apply R.
3. Results and Discussion
The outbreak of the novel coronavirus and the rapid increase in COVID-19 cases worldwide resulted in growing international socio-economic concerns. The COVID-19 pandemic has affected financial markets, including stock markets.
Figure 1 presents the MSCI ACWI Index, a broad global equity index that represents large and mid-cap equity performance across 23 developed and 27 emerging markets. The index comprises more than 2900 constituents from all 11 stock market sectors (using the Global Industry Classification Standard) and represents approximately 85% of market capitalisation in each market.
Figure 1.
The MSCI ACWI Index performance in January 2020–September 2021. Source: Authors’ own calculations and elaborations based on Refinitiv Datastream.
Throughout the entirety of the analysed period, i.e., January 2020–September 2021, the index value increased by almost 30%. However, it should be noted that the financial markets reacted strongly to the onset of COVID-19 during the early stage of the epidemic, i.e., between 20 February and 23 March 2020, when the index lost 1/3 of its value. This is in line with Hassan et al. [28] and Czech and Wielechowski [27], who observed the that the stock market reacted the most strongly during initial phase of the novel coronavirus pandemic. Nevertheless, by the end of the third quarter of 2020, the index had fully recovered. In the first nine months of 2021, the index increased gradually by over 10%.
We analysed the response of the alternative energy sector and all eleven main stock market sectors to the novel coronavirus. We also provide our analysis for the period of January 2020–September 2021. Figure A1 in the Appendix A depicts the sector performance based on the average weekly rates of return of the top five companies from each sector.
We observe the visible differences in the average weekly rates of return among the ana-lysed stock market sectors. Furthermore, the sector performance varies throughout the analysed period. During the first months of the pandemic in 2020, greater reaction can be observed, while the second year of the COVID-19 pandemic was characterized by lower price volatility among the majority of the analysed stock market sectors. This indicates that the performance of the different stock market sectors has in the two years since the onset of the novel coronavirus pandemic. Therefore, for further analysis, we considered both the entire research period, i.e., January 2020–September 2021, and two nine-month-long sub-periods, i.e., January–September 2020 and January–September 2021. The length of the periods is dependent on data availability.
Table 2 presents descriptive statistics for the average weekly rates of return among the analysed stock market sectors (based on top five companies) in the January 2020–September 2021 period.
Table 2.
Descriptive statistics for average weekly rates of return of alternative energy and main stock market sectors: based on the performance of the top give companies in January 2020–September 2021.
The results in Table 2 demonstrate that 11 out of the 12 analysed stock market sectors are characterised by a positive average weekly rate of return during the first 21 months of the COVID-19 pandemic. The alternative energy sector demonstrates the best performance, as its average weekly rate of return is 0.93%. A total of four out of the five top companies from this sector recorded an increase in their share prices of over 100% (Table A2 in the Appendix A). Moreover, the coefficient of variation for the alternative energy sector is the lowest of all of the analysed sectors, although the difference between the lowest and the highest average weekly rate of return is the largest in this sector. The alternative energy sector is characterised by weekly rate of return that is two times greater than those seen for the information technology and communication services sectors, although the information technology and communication services sectors were big beneficiaries of the pandemic and the implementation of lockdowns.
Surprisingly, the (conventional) energy sector demonstrated the worst performance among all main stock market sectors and is only characterised by the negative average rate of return in the January 2020–September 2021 period. The share prices of all of the top five companies from this sector lost at least 15% of their value (Table A2 in the Appendix A). Moreover, the consumer staples, financial, and materials sectors are characterised by the slightly positive average weekly rates of return in the analysed period.
Table 3 shows descriptive statistics for the average weekly rates of return among the analysed stock market sectors in the first analysed sub-period, i.e., January–September 2020.
Table 3.
Descriptive statistics for average weekly rates of return of alternative energy and main stock market sectors: based on the performance of the top five companies in January–September 2020.
The results in Table 3 show that during the first nine months of the COVID-19 pandemic, 10 out of the 12 analysed stock market sectors were characterized by a positive average weekly rate of return. The alternative energy sector recorded the highest average weekly rate of return, i.e., close to 1.6%. All of the top five companies in this sector experienced a substantial increase in their share prices (Table A3 in the Appendix A). This corresponds to the findings by Zhao [46] and Ghabri et al. [47], who observed a significant increase in the share prices of clean energy companies in the aftermath of the COVID-19 outbreak.
Similarly, throughout the entire research period of January–September 2020, the coefficient of variation for the alternative energy sector was the lowest of all of the analysed sectors even though the range of the average weekly rates of return was the largest in this sector.
The average rates of return for the information technology, utilities, and real estate sector oscillated at around 0.5%. This corresponds to the findings by Narayan et al. [31] and Al-Awadhi et al. [4]. This implies that these stock market sectors not only lost but also gained as a result of the outbreak of the novel coronavirus pandemic.
At the same time, the (conventional) energy and financial sectors suffered the most, i.e., experienced negative average weekly rates of return at −0.85 and −0.64%, respectively. In the period of January–September 2020, the shares of all of the top five companies from these two sectors fell by several dozen percentage points (Table A3 in the Appendix A). Our results are in line with those of Anh and Gan [36], Goodell [35], and Shahzad et al. [32], who observed that the financial and energy sectors suffered the most during the early stage of the pandemic.
Furthermore, the results that are presented in Table 3 reveal a substantial difference between the performances of the alternative and conventional energy sectors. This might imply that only the alternative energy sector was COVID-19-resistant, while the (conventional) energy sector suffered the most during the analysed sub-period. This corresponds to the findings of Czech and Wielechowski [27].
Table 4 shows descriptive statistics for the average weekly rates of return among the analysed stock market sectors in the second sub-period that was analysed, i.e., January–September 2021.
Table 4.
Descriptive statistics for average weekly rates of return of alternative energy and main stock market sectors: based on the performance of the top five companies in January–September 2021.
Based on the results in Table 4 for the January–September 2021 period, we are able to observe the most remarkable trend reversal for the alternative energy, conventional energy, and financial sectors. The average weekly rate of return for the alternative energy sector was −0.45% (a decrease from plus 1.58% in the same period of the previous year). The top five companies from this sector recorded share price decreases between 13 and 37% (Table A4 in the Appendix A). It is worth emphasising that the price decreases that were observed in this period were lower than the increases that were observed in the corresponding period from the previous year, and the balance (price changes) for the entire analysed period is definitely positive.
In contrast to the alternative energy sector, the top five companies from the (conventional) energy and financial sectors achieved the highest positive average weekly rates of return in the period of January–September 2021. However, the increase in the share prices for the top five companies from the (conventional) energy sector did not make it possible to make up for all of the losses that were incurred from 2020. Among the other sectors that experienced a change from a positive to a negative average weekly rate of return are the materials, consumer staples, healthcare, and utilities sectors.
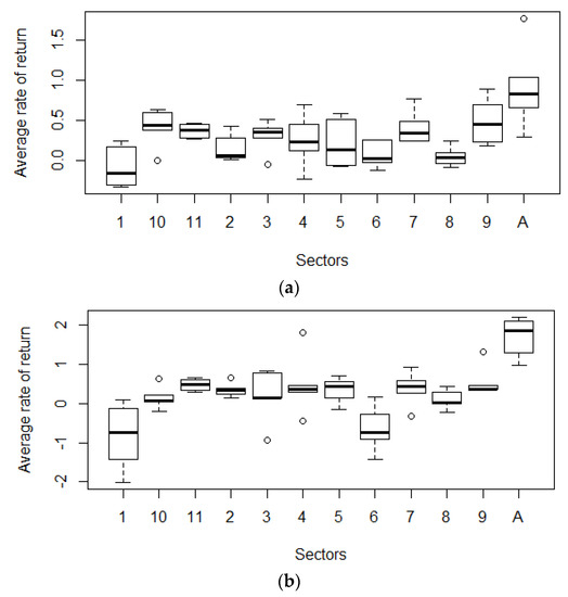
To depict the differences between the average weekly rates of return among the analysed stock market sectors for both the entire research period and for two sub-periods, box plots are presented in Figure 2.

Figure 2.
Average weekly rates of return for alternative energy and main stock market sectors: (a) January 2020–September 2021; (b) January 2020–September 2020; and (c) January 2021–September 2021. Source: Authors’ own calculations and elaborations based on Refinitiv Datastream.
Stock market sectors that are presented in Figure 2 are marked with the A and the numbers from 1 to 11. A refers to the alternative energy sector, 1—energy, 2—materials, 3—industrial, 4—–utilities, 5—healthcare, 6—financial, 7—consumer discretionary, 8—consumer staples, 9—information technology, 10—communication services, and 11—real estate. Figure 2 indicates the existence of substantial differences in the average rates of return among the analysed stock market sectors, both in the entire analysed period of January 2020–September 2021 and in the two sub-periods, i.e., January–September 2020 and January–September 2021. These findings specifically concern the alternative energy sector, which stands out from all of the other sectors. These findings confirm the relevance of our research objective.
To verify whether the differences that can be observed between the 12 analysed stock market sectors, i.e., the 11 main stock market sectors and the alternative energy sector, are statistically significant, we applied one-factor variance analysis—ANOVA. In the study, the analysed sectors represent the factors, while the dependent variable refers to the average weekly rates of return.
Table 5 presents the results of the ANOVA for the entire research period, i.e., January 2020–September 2021, and for the two sub-periods, i.e., January–September 2020 and January–September 2021.
Table 5.
Results of one-factor analysis of variance—ANOVA.
The results in Table 5 imply significant differences in the mean values of the weekly rates of return for analysed stock market sectors at a 1% significance level throughout the entire research period and during the two sub-periods. The ANOVA results show that at least two stock market sectors reacted differently to the COVID-19 pandemic. This implies that the performance of the stock market during the novel coronavirus pandemic is sector specific. This corresponds to the results of Haroon and Rizvi [34] and Shahzad et al. [32].
Based on Tukey’s HSD test, we were able to verify whether the significant differences that refer to the average rate of return of the 12 analysed stock market sectors are related to all analysed sectors or to only the selected ones throughout the entire research period and during the two sub-periods.
The results of Tukey’s HSD test for the entire research period show the existence of significant differences in the mean values of the weekly rates of return between the alternative energy sector and six out of the eleven main stock market sectors, i.e., the energy, materials, industrial, utilities, healthcare, financial, and consumer staples sectors. Moreover, we are able to observe a significant difference between the (conventional) energy sector and the information and technology sector (Table 6).
Table 6.
Tukey’s honest significance test results (Tukey’s HSD test).
Moreover, the results of Tukey’s HSD test show that the differences between the analysed stock market sectors are more pronounced during the first year of the COVID-19 pandemic than they are in the second pandemic year. Additionally, the descriptive statistics imply that the reaction to the novel coronavirus among the analysed stock market sectors fizzles over time which, corresponds to the results of Okorie and Lin [26].
In the January–September 2020 sub-period, significant differences between the alternative energy sector and all of the eleven main stock market sectors can be observed. Moreover, significant differences can also be detected between the energy sector and six other main sectors (i.e., materials, utilities, healthcare, consumer discretionary, information technology, and real estate) and between the financial and utilities, information technology, and real estate sectors.
In the January–September 2021 period, statistically significant differences can only be observed between the alternative energy sector and six stock market sectors (i.e., conventional energy, industrial, financial, information technology, communication services, and real estate) and between the materials and financial sectors.
The results for the first year that was analysed show that the market price changes of the analysed companies from the conventional energy, alternative energy, and financial sectors are the largest and are significantly different from the other stock market sectors. These results are in line with Zhao [46], Ghabri et al. [47], Anh and Gan [36], Goodell [35], and Shahzad et al. [32]. Nevertheless, the performance of the alternative energy sector during the novel coronavirus pandemic was positive, while the conventional energy and financial sectors suffered the most. The results of the descriptive statistics analysis (Table 3) show that during the first year of the COVID-19 pandemic that was analysed, the energy and financial sectors achieved average rates of return that were significantly lower than those of the other sectors, while, surprisingly, the alternative energy sector achieved substantially higher rates of return. These results are in line with those from Czech and Wielechowski [27], who showed that the alternative energy sector was more resistant to COVID-19 than the conventional energy sector. Moreover, our results correspond to Schumpeter’s theory on new combinations and creative destruction [53,54,55].
The results for the second year of the pandemic (January–September 2021) indicate that the alternative energy sector was the most different from the other analysed stock market sectors. Surprisingly, descriptive statistics show that this sector was characterised by the lowest negative rate of return in 2021.
The results of Tukey’s HSD test indicate that the equity market response to the COVID-19 pandemic is stock market sector-specific. Throughout the entire period of the pandemic, the alternative energy sector stands out from other sectors. This concerns mainly the first year of the COVID-19 pandemic, when the alternative energy sector achieved surprisingly high average rates of return. Additionally, in the aftermath of the novel coronavirus outbreak, the energy and financial sectors performed the worst, i.e., they were characterised by the lowest and most negative rates of return among all of the analysed stock market sectors.
We show that stock market performance during the COVID-19 pandemic is sector-specific, which confirms Hypothesis 1. Moreover, we reveal that companies from the alternative energy sector performed better on the stock market during the first year of the COVID-19 pandemic than companies from all of the main stock market sectors did, which is in line with Hypothesis 2.
4. Conclusions
The COVID-19 pandemic has substantially affected stock market performance.
We reveal that during the first nine months of 2020, the biggest stock market beneficiaries were companies from the alternative energy sector, while the top five constituents from the conventional energy and financial sectors suffered the most. In 2021, we observed a reversal of this trend. Companies from the conventional energy and financial sectors achieved the highest positive average weekly rates of return out of all of the analysed stock market sectors in the period of January–September 2021. The alternative energy sector experienced a substantial negative average weekly rate of return. Overall, throughout the entire studied period, i.e., January 2020–September 2021, the companies representing the alternative energy sector experienced the most significant increases in their share prices.
ANOVA confirms the preliminary analysis results, as it shows the statistically significant differences between analysed stock market sectors. This implies that stock market performance during the COVID-19 pandemic was sector-specific. Tukey’s HSD test indicates that the alternative energy sector shows the most differentiation when compared to other analysed stock market sectors. We show the existence of significant differences in the mean values of the weekly rates of return between the alternative energy sector and in six out of the eleven main stock market sectors, i.e., energy, materials, industrial, utilities, healthcare, financial, and consumer staples.
The results that were obtained here might imply that the reaction of the stock market reaction to such as the COVID-19 pandemic is sector-specific. They indicate that our study might be helpful for investors when making decisions to minimise risk by diversifying their portfolios.
The positive reaction of the alternative energy market sector during the first year of the COVID-19 pandemic can be seen as a positive symptom. It might imply that the novel coronavirus pandemic has not hampered but has instead accelerated growing concerns about climate change and environmental pollution. The following years will bring an answer to the question of whether the increased above-mentioned concerns will be permanent or temporary. This will largely depend on decision-makers and their beliefs on the importance of alternative energy sources for socio-economic development and environmental persistence in the future.
We are fully aware of the limitations of the study. The top five companies representing the entire stock market sector might not entirely reflect the sector’s performance. Moreover, it is impossible to isolate the sole effect of COVID-19 on stock market sectors. This study mainly concerns the energy sector, which has been exposed to various non-COVID-19-driven factors.
A deeper analysis of the impact of the COVID-19 pandemic on the alternative energy sector stands out as a challenge for future research. As the alternative energy sector is not homogeneous, we would like to verify how companies representing different renewable energy sources (solar, wind, hydropower, fuel cells, biogas, biomass, tidal, geothermal, etc.) have performed during the novel coronavirus pandemic.
Author Contributions
Conceptualization, M.W. and K.C.; methodology, M.W. and K.C.; software, M.W. and K.C.; validation, M.W. and K.C.; formal analysis, M.W. and K.C.; investigation, M.W. and K.C.; resources, M.W. and K.C.; data curation, M.W. and K.C.; writing—original draft preparation, M.W. and K.C.; writing—review and editing, M.W. and K.C.; visualization, M.W. and K.C.; supervision, M.W. and K.C.; project administration, M.W. and K.C.; funding acquisition, M.W. and K.C. All authors have read and agreed to the published version of the manuscript.
Funding
This research received no external funding.
Institutional Review Board Statement
Not applicable.
Informed Consent Statement
Not applicable.
Data Availability Statement
This study did not report any data.
Conflicts of Interest
The authors declare no conflict of interest.
Appendix A
Table A1.
Global Industry Classification Standard (GICS): stock market sector structure.
Table A1.
Global Industry Classification Standard (GICS): stock market sector structure.
| Sector | Industry Structure |
|---|---|
| Energy |
|
| Materials |
|
| Industrial |
|
| Utilities |
|
| Healthcare |
|
| Financial |
|
| Consumer discretionary |
|
| Consumer staples |
|
| Information technology |
|
| Communication services |
|
| Real estate |
|
Source: Authors’ own elaborations based on MSCI.



Figure A1.
Average weekly rates of return of top five companies from alternative energy and main stock market sectors in January 2020–September 2021. Source: Authors’ own calculations and elaborations based on Refinitiv Datastream.
Table A2.
Descriptive statistics for average weekly rates of return and daily prices: based on top five companies from stock market sectors. January 2020–September 2021.
Table A2.
Descriptive statistics for average weekly rates of return and daily prices: based on top five companies from stock market sectors. January 2020–September 2021.
| Sector | Company * | Weekly Rates of Return | Daily Prices | |||||||||
|---|---|---|---|---|---|---|---|---|---|---|---|---|
| Avg. | SD | CV | Min | Max | Avg. | SD | CV | Min | Max | RoR ** | ||
| Alternative energy | 1 | 0.656 | 5.31 | 8.10 | −12.08 | 17.25 | 10.63 | 3.26 | 0.31 | 4.58 | 17.29 | 100.77 |
| 2 | 0.282 | 4.87 | 17.28 | −14.12 | 9.42 | 142.18 | 29.68 | 0.21 | 81.00 | 224.72 | 31.30 | |
| 3 | 1.762 | 10.67 | 6.06 | −27.77 | 36.33 | 111.14 | 57.54 | 0.52 | 23.99 | 213.76 | 473.94 | |
| 4 | 1.035 | 9.07 | 8.77 | −22.09 | 24.49 | 217.61 | 76.50 | 0.35 | 69.48 | 365.97 | 178.91 | |
| 5 | 0.818 | 10.51 | 12.85 | −36.24 | 73.46 | 1.44 | 0.71 | 0.49 | 0.59 | 3.25 | 247.46 | |
| Energy | 1 | −0.308 | 5.03 | 16.34 | −14.88 | 16.12 | 49.67 | 9.88 | 0.20 | 31.45 | 70.90 | −15.71 |
| 2 | −0.168 | 4.89 | 29.15 | −16.01 | 23.79 | 93.81 | 12.37 | 0.13 | 54.22 | 121.43 | −15.82 | |
| 3 | 0.168 | 5.68 | 33.83 | −19.51 | 22.54 | 42.35 | 5.81 | 0.14 | 21.68 | 55.55 | −12.58 | |
| 4 | 0.240 | 4.75 | 19.79 | −17.90 | 13.38 | 12.21 | 1.82 | 0.15 | 6.89 | 16.93 | −15.12 | |
| 5 | −0.332 | 5.53 | 16.67 | −15.67 | 17.84 | 18.09 | 3.91 | 0.22 | 9.80 | 30.65 | −25.32 | |
| Materials | 1 | 0.272 | 41.07 | 0.17 | 150.00 | 315.64 | 37.80 | 247.80 | 6.56 | 0.17 | 315.64 | 37.80 |
| 2 | 0.006 | 4.93 | 0.20 | 12.00 | 32.87 | 10.70 | 24.39 | 2.28 | 0.20 | 32.87 | 10.70 | |
| 3 | 0.056 | 3.28 | 0.10 | 21.46 | 36.21 | 14.62 | 31.42 | 2.15 | 0.10 | 36.21 | 14.62 | |
| 4 | 0.027 | 14.24 | 0.21 | 34.85 | 93.46 | 11.43 | 67.30 | 5.89 | 0.21 | 93.46 | 11.43 | |
| 5 | 0.422 | 41.51 | 0.18 | 132.23 | 308.70 | 43.81 | 231.78 | 5.29 | 0.18 | 308.70 | 43.81 | |
| Industrial | 1 | 0.278 | 4.42 | 15.90 | −18.43 | 23.42 | 187.63 | 33.63 | 0.18 | 103.86 | 234.18 | 19.93 |
| 2 | 0.352 | 4.40 | 12.50 | −10.96 | 16.53 | 154.00 | 39.13 | 0.25 | 86.17 | 217.50 | 55.56 | |
| 3 | −0.059 | 5.35 | 90.52 | −15.14 | 25.94 | 73.05 | 11.73 | 0.16 | 44.21 | 92.50 | −2.68 | |
| 4 | 0.400 | 3.92 | 9.81 | −10.10 | 19.83 | 194.39 | 25.41 | 0.13 | 114.04 | 229.48 | 8.42 | |
| 5 | 0.505 | 4.42 | 8.75 | −19.18 | 11.74 | 132.93 | 30.35 | 0.23 | 60.78 | 177.58 | 39.72 | |
| Utilities | 1 | 0.222 | 3.86 | 17.43 | −8.69 | 11.40 | 112.29 | 26.54 | 0.24 | 56.09 | 156.69 | 92.75 |
| 2 | 0.450 | 3.06 | 6.80 | −6.71 | 10.05 | 221.20 | 40.81 | 0.18 | 135.42 | 305.22 | 78.77 | |
| 3 | 0.113 | 6.13 | 54.43 | −24.56 | 17.70 | 4.40 | 0.81 | 0.18 | 2.28 | 6.81 | 52.96 | |
| 4 | 0.692 | 7.50 | 10.85 | −18.23 | 24.66 | 2.43 | 0.63 | 0.26 | 1.20 | 3.92 | 18.33 | |
| 5 | −0.239 | 4.27 | 17.86 | −18.96 | 13.87 | 56.02 | 5.67 | 0.10 | 44.11 | 68.47 | −10.98 | |
| Healthcare | 1 | 0.132 | 2.58 | 19.44 | −8.16 | 10.27 | 154.46 | 11.69 | 0.08 | 111.14 | 179.47 | 10.72 |
| 2 | 0.508 | 4.13 | 8.13 | −9.07 | 21.85 | 337.77 | 51.76 | 0.15 | 194.86 | 429.71 | 32.91 | |
| 3 | −0.066 | 3.07 | 46.66 | −6.93 | 9.08 | 348.60 | 21.16 | 0.06 | 282.40 | 409.99 | 13.02 | |
| 4 | −0.081 | 2.84 | 35.13 | −8.08 | 8.12 | 36.93 | 4.02 | 0.11 | 27.01 | 50.42 | 15.80 | |
| 5 | 0.581 | 3.15 | 5.42 | −10.55 | 9.35 | 433.06 | 80.10 | 0.18 | 255.30 | 609.78 | 75.86 | |
| Financial | 1 | 0.248 | 2.76 | 11.10 | −10.72 | 11.08 | 348,634.39 | 55,496.88 | 0.16 | 240,000.00 | 439,460.00 | 21.14 |
| 2 | 0.245 | 5.14 | 20.97 | −14.13 | 17.79 | 31.60 | 7.16 | 0.23 | 18.08 | 43.27 | 20.53 | |
| 3 | −0.033 | 6.07 | 181.95 | −17.50 | 18.17 | 35.27 | 9.57 | 0.27 | 21.14 | 53.80 | −13.74 | |
| 4 | −0.133 | 5.54 | 41.73 | −16.19 | 21.32 | 60.91 | 12.53 | 0.21 | 35.39 | 81.91 | −12.15 | |
| 5 | 0.017 | 4.45 | 266.24 | −14.42 | 14.13 | 126.49 | 26.46 | 0.21 | 79.68 | 168.50 | 18.52 | |
| Consumer Discretionary | 1 | 0.241 | 3.62 | 15.03 | −10.60 | 9.73 | 2949.07 | 532.26 | 0.18 | 1676.61 | 3731.41 | 77.78 |
| 2 | 0.758 | 8.33 | 10.99 | −22.17 | 20.88 | 466.30 | 247.26 | 0.53 | 72.24 | 883.09 | 826.88 | |
| 3 | 0.333 | 3.53 | 10.63 | −9.56 | 15.99 | 273.80 | 40.34 | 0.15 | 152.15 | 341.41 | 50.32 | |
| 4 | 0.232 | 4.03 | 17.36 | −11.69 | 17.90 | 14.60 | 2.00 | 0.14 | 10.97 | 19.60 | 29.25 | |
| 5 | 0.480 | 3.95 | 8.23 | −12.11 | 18.21 | 576.09 | 150.04 | 0.26 | 305.04 | 840.00 | 53.43 | |
| Consumer Staples | 1 | 0.242 | 2.28 | 9.40 | −5.02 | 9.74 | 115.11 | 7.35 | 0.06 | 91.97 | 130.01 | 10.83 |
| 2 | 0.088 | 2.45 | 27.71 | −8.52 | 12.01 | 131.02 | 9.84 | 0.08 | 97.70 | 145.68 | 11.93 | |
| 3 | −0.042 | 2.69 | 64.38 | −7.72 | 9.46 | 134.52 | 11.31 | 0.08 | 104.05 | 152.79 | 17.28 | |
| 4 | −0.094 | 3.44 | 36.40 | −16.70 | 13.08 | 51.52 | 4.26 | 0.08 | 37.56 | 60.13 | −5.20 | |
| 5 | 0.026 | 2.57 | 97.10 | −8.45 | 13.56 | 140.50 | 8.81 | 0.06 | 103.93 | 158.91 | 10.05 | |
| Information technology | 1 | 0.222 | 3.86 | 17.43 | −8.69 | 11.40 | 112.29 | 26.54 | 0.24 | 56.09 | 156.69 | 92.75 |
| 2 | 0.450 | 3.06 | 6.80 | −6.71 | 10.05 | 221.20 | 40.81 | 0.18 | 135.42 | 305.22 | 78.77 | |
| 3 | 0.890 | 4.75 | 5.34 | −12.18 | 17.25 | 128.20 | 46.25 | 0.36 | 49.10 | 228.43 | 252.16 | |
| 4 | 0.175 | 3.46 | 19.73 | −8.96 | 17.41 | 207.10 | 20.70 | 0.10 | 135.74 | 250.93 | 18.55 | |
| 5 | 0.685 | 5.10 | 7.43 | −14.56 | 15.06 | 485.22 | 178.90 | 0.37 | 189.50 | 889.92 | 154.32 | |
| Communication services | 1 | 0.439 | 4.33 | 9.85 | −10.17 | 11.57 | 269.78 | 56.39 | 0.21 | 146.01 | 382.18 | 65.35 |
| 2 | 0.598 | 3.09 | 5.17 | −6.76 | 9.84 | 1848.74 | 497.00 | 0.27 | 1054.13 | 2904.31 | 99.61 | |
| 3 | 0.624 | 3.14 | 5.03 | −6.75 | 9.84 | 1863.48 | 512.26 | 0.27 | 1056.62 | 2916.84 | 99.35 | |
| 4 | −0.012 | 3.88 | 330.47 | −12.27 | 13.40 | 149.78 | 30.81 | 0.21 | 85.76 | 201.91 | 16.97 | |
| 5 | 0.371 | 3.87 | 10.44 | −9.23 | 12.66 | 482.33 | 68.17 | 0.14 | 298.84 | 610.34 | 88.63 | |
| Real estate | 1 | 0.271 | 3.59 | 13.24 | −7.76 | 19.88 | 247.12 | 22.06 | 0.09 | 179.09 | 303.62 | 15.49 |
| 2 | 0.455 | 4.11 | 9.03 | −13.00 | 22.26 | 103.82 | 14.92 | 0.14 | 62.82 | 138.99 | 40.71 | |
| 3 | 0.267 | 3.81 | 14.27 | −14.93 | 15.72 | 168.35 | 16.44 | 0.10 | 116.98 | 203.28 | 21.93 | |
| 4 | 0.447 | 4.03 | 9.02 | −11.86 | 19.47 | 719.65 | 76.43 | 0.11 | 489.14 | 882.83 | 35.37 | |
| 5 | 0.366 | 3.44 | 9.40 | −8.80 | 17.60 | 238.34 | 41.81 | 0.18 | 160.61 | 331.04 | 39.51 | |
* Full names of companies are described in Table 1; ** rate of return achieved in January 2020-September 2021 period based on daily prices. Source: Authors’ own calculations and elaborations based on Refinitiv Datastream.
Table A3.
Descriptive statistics for average weekly rates of return and daily prices: based on top five companies from stock market sectors. January–September 2020.
Table A3.
Descriptive statistics for average weekly rates of return and daily prices: based on top five companies from stock market sectors. January–September 2020.
| Sector | Company * | Weekly Rates of Return | Daily Prices | |||||||||
|---|---|---|---|---|---|---|---|---|---|---|---|---|
| Avg. | SD | CV | Min | Max | Avg. | SD | CV | Min | Max | RoR ** | ||
| Alternative energy | 1 | −0.510 | 5.62 | 11.03 | −12.08 | 12.96 | 13.30 | 1.17 | 0.09 | 11.16 | 17.29 | −13.59 |
| 2 | −1.066 | 4.75 | 4.46 | −11.66 | 9.30 | 158.87 | 19.34 | 0.12 | 132.60 | 224.72 | −36.87 | |
| 3 | 0.343 | 10.30 | 30.00 | −26.15 | 22.09 | 166.21 | 22.28 | 0.13 | 114.61 | 213.76 | −14.53 | |
| 4 | −0.006 | 9.09 | 1625.60 | −22.09 | 16.68 | 275.49 | 29.62 | 0.11 | 204.01 | 365.97 | −16.89 | |
| 5 | −1.012 | 9.71 | 9.60 | −36.24 | 14.90 | 2.04 | 0.34 | 0.17 | 1.36 | 3.25 | −36.92 | |
| Energy | 1 | 0.484 | 4.08 | 8.43 | −6.68 | 10.61 | 56.81 | 4.95 | 0.09 | 41.22 | 64.66 | 42.70 |
| 2 | 0.219 | 3.52 | 16.11 | −6.78 | 7.25 | 102.35 | 6.16 | 0.06 | 84.45 | 111.56 | 20.13 | |
| 3 | 0.502 | 4.09 | 8.15 | −7.99 | 8.14 | 45.51 | 2.21 | 0.05 | 40.12 | 50.63 | 8.59 | |
| 4 | 0.410 | 3.89 | 9.47 | −9.95 | 13.38 | 13.09 | 0.95 | 0.07 | 10.55 | 15.68 | 25.00 | |
| 5 | 0.439 | 3.63 | 8.27 | −4.57 | 10.85 | 19.20 | 0.95 | 0.05 | 17.00 | 22.30 | 29.59 | |
| Materials | 1 | 0.185 | 2.40 | 13.02 | −5.26 | 5.68 | 285.17 | 20.63 | 0.07 | 242.91 | 315.64 | 11.34 |
| 2 | −0.288 | 3.86 | 13.40 | −13.94 | 10.54 | 29.17 | 1.61 | 0.06 | 25.94 | 32.87 | −1.82 | |
| 3 | −0.285 | 1.94 | 6.81 | −5.69 | 2.91 | 33.81 | 1.36 | 0.04 | 30.04 | 36.21 | −2.25 | |
| 4 | −0.692 | 5.00 | 7.23 | −8.93 | 9.03 | 81.27 | 6.19 | 0.08 | 64.02 | 93.46 | −10.84 | |
| 5 | 0.093 | 2.22 | 23.91 | −5.96 | 5.24 | 268.56 | 24.41 | 0.09 | 219.85 | 308.70 | 14.19 | |
| Industrial | 1 | 0.092 | 2.18 | 23.67 | −4.90 | 3.85 | 219.29 | 10.16 | 0.05 | 195.37 | 234.18 | −0.20 |
| 2 | 0.038 | 3.59 | 95.30 | −9.23 | 14.80 | 186.62 | 20.43 | 0.11 | 155.00 | 217.50 | 8.14 | |
| 3 | 0.535 | 2.33 | 4.35 | −3.61 | 7.71 | 80.91 | 6.54 | 0.08 | 65.50 | 89.45 | 20.21 | |
| 4 | 0.083 | 2.77 | 33.26 | −4.47 | 7.76 | 216.31 | 8.16 | 0.04 | 194.33 | 229.48 | −5.86 | |
| 5 | 0.830 | 3.11 | 3.74 | −6.14 | 9.17 | 162.58 | 6.82 | 0.04 | 143.75 | 177.58 | 14.09 | |
| Utilities | 1 | −0.035 | 3.16 | 89.93 | −7.98 | 8.97 | 135.14 | 9.98 | 0.07 | 116.36 | 156.69 | 6.64 |
| 2 | 0.522 | 2.13 | 4.08 | −4.25 | 6.07 | 259.17 | 25.98 | 0.10 | 212.25 | 305.22 | 26.75 | |
| 3 | 0.098 | 4.40 | 44.91 | −12.01 | 9.28 | 4.95 | 0.79 | 0.16 | 3.83 | 6.81 | 40.49 | |
| 4 | −0.600 | 7.27 | 12.12 | −16.13 | 24.66 | 2.51 | 0.72 | 0.29 | 1.35 | 3.92 | −53.06 | |
| 5 | 0.000 | 2.98 | 12,625 | −7.15 | 11.08 | 57.46 | 4.04 | 0.07 | 49.67 | 68.26 | 6.95 | |
| Healthcare | 1 | −0.024 | 1.70 | 69.44 | −4.72 | 2.98 | 166.05 | 5.19 | 0.03 | 153.07 | 179.47 | 2.62 |
| 2 | 0.218 | 2.31 | 10.61 | −4.58 | 3.90 | 386.70 | 31.60 | 0.08 | 324.34 | 429.71 | 11.42 | |
| 3 | −0.637 | 2.82 | 4.42 | −6.93 | 4.55 | 357.54 | 24.76 | 0.07 | 318.50 | 409.99 | 7.82 | |
| 4 | −0.076 | 2.29 | 30.18 | −6.90 | 5.29 | 39.59 | 4.14 | 0.10 | 33.49 | 50.42 | 16.84 | |
| 5 | 0.491 | 2.99 | 6.09 | −5.87 | 8.23 | 499.75 | 42.11 | 0.08 | 439.85 | 609.78 | 22.66 | |
| Financial | 1 | 0.285 | 1.51 | 5.29 | −3.14 | 4.00 | 403,228 | 29,063 | 0.07 | 341,820 | 439,460 | 18.28 |
| 2 | 0.657 | 3.54 | 5.39 | −6.90 | 8.00 | 38.60 | 3.55 | 0.09 | 29.65 | 43.27 | 40.05 | |
| 3 | 1.023 | 4.63 | 4.52 | −9.17 | 12.07 | 42.08 | 5.50 | 0.13 | 29.70 | 51.15 | 53.78 | |
| 4 | 0.244 | 3.57 | 14.67 | −10.59 | 8.34 | 70.20 | 4.64 | 0.07 | 57.99 | 79.86 | 13.82 | |
| 5 | 0.556 | 2.85 | 5.12 | −6.22 | 7.02 | 152.77 | 9.39 | 0.06 | 124.43 | 168.50 | 31.40 | |
| Consumer Discretionary | 1 | −0.010 | 3.16 | 315 | −10.60 | 5.88 | 3315.89 | 165.63 | 0.05 | 2951.95 | 3731.41 | 0.86 |
| 2 | −0.154 | 6.83 | 44.32 | −18.36 | 20.88 | 703.65 | 76.75 | 0.11 | 563.00 | 883.09 | 9.89 | |
| 3 | 0.323 | 2.71 | 8.39 | −6.56 | 5.29 | 307.50 | 24.56 | 0.08 | 250.93 | 341.41 | 23.58 | |
| 4 | 0.370 | 3.28 | 8.86 | −10.37 | 8.53 | 16.50 | 1.35 | 0.08 | 14.03 | 19.60 | 16.02 | |
| 5 | 0.436 | 3.53 | 8.09 | −12.11 | 7.14 | 729.93 | 69.27 | 0.09 | 598.57 | 840.00 | 14.41 | |
| Consumer Staples | 1 | −0.042 | 1.82 | 43.26 | −4.46 | 3.61 | 119.33 | 6.64 | 0.06 | 104.33 | 130.01 | −1.28 |
| 2 | −0.212 | 1.55 | 7.33 | −3.61 | 3.97 | 135.92 | 5.57 | 0.04 | 122.15 | 145.68 | 0.47 | |
| 3 | −0.147 | 2.14 | 14.54 | −5.81 | 4.76 | 141.18 | 5.07 | 0.04 | 127.53 | 151.45 | −3.31 | |
| 4 | −0.226 | 1.82 | 8.05 | −3.29 | 3.92 | 53.53 | 2.57 | 0.05 | 48.15 | 57.48 | −4.32 | |
| 5 | −0.083 | 1.67 | 20.13 | −4.76 | 4.13 | 146.02 | 7.82 | 0.05 | 128.83 | 158.91 | 1.42 | |
| Information technology | 1 | −0.035 | 3.16 | 89.93 | −7.98 | 8.97 | 135.14 | 9.98 | 0.07 | 116.36 | 156.69 | 6.64 |
| 2 | 0.522 | 2.13 | 4.08 | −4.25 | 6.07 | 259.17 | 25.98 | 0.10 | 212.25 | 305.22 | 26.75 | |
| 3 | 0.726 | 4.59 | 6.33 | −12.18 | 10.34 | 167.84 | 33.42 | 0.20 | 115.93 | 228.43 | 58.68 | |
| 4 | 0.086 | 2.63 | 30.76 | −7.61 | 5.11 | 224.56 | 12.40 | 0.06 | 193.25 | 250.93 | 1.84 | |
| 5 | 0.706 | 4.56 | 6.46 | −14.55 | 9.33 | 668.97 | 104.40 | 0.16 | 488.80 | 889.92 | 48.28 | |
| Communication services | 1 | 0.311 | 3.52 | 11.33 | −7.34 | 9.30 | 317.13 | 39.52 | 0.12 | 245.64 | 382.18 | 24.25 |
| 2 | 0.899 | 2.89 | 3.21 | −5.39 | 9.84 | 2344.53 | 329.34 | 0.14 | 1722.88 | 2904.31 | 52.54 | |
| 3 | 0.936 | 2.98 | 3.18 | −6.00 | 9.84 | 2375.84 | 339.08 | 0.14 | 1728.24 | 2916.84 | 52.14 | |
| 4 | −0.595 | 2.37 | 3.99 | −5.92 | 5.79 | 180.79 | 7.00 | 0.04 | 163.03 | 201.91 | −6.63 | |
| 5 | 0.468 | 3.63 | 7.76 | −9.23 | 12.66 | 530.98 | 30.47 | 0.06 | 484.98 | 610.34 | 12.87 | |
| Real estate | 1 | 0.268 | 2.65 | 9.90 | −6.66 | 8.00 | 254.49 | 27.22 | 0.11 | 198.66 | 303.62 | 18.24 |
| 2 | 0.405 | 2.42 | 5.98 | −5.55 | 5.42 | 116.29 | 12.26 | 0.11 | 93.91 | 138.99 | 25.86 | |
| 3 | 0.101 | 2.64 | 26.05 | −5.96 | 7.80 | 180.41 | 15.94 | 0.09 | 146.77 | 203.28 | 8.88 | |
| 4 | 0.303 | 3.28 | 10.81 | −5.99 | 11.59 | 754.16 | 70.46 | 0.09 | 594.92 | 882.83 | 10.63 | |
| 5 | 0.420 | 1.77 | 4.20 | −3.79 | 3.28 | 275.96 | 34.97 | 0.13 | 213.82 | 331.04 | 28.65 | |
* Full names of companies are described in Table 1; ** rate of return achieved in January-September 2020 period based on daily prices. Source: Authors’ own calculations and elaborations based on Refinitiv Datastream.
Table A4.
Descriptive statistics for average weekly rates of return and daily prices: based on top five companies from stock market sectors. January–September 2021.
Table A4.
Descriptive statistics for average weekly rates of return and daily prices: based on top five companies from stock market sectors. January–September 2021.
| Sector | Company * | Weekly Rates of Return | Daily Prices | |||||||||
|---|---|---|---|---|---|---|---|---|---|---|---|---|
| Avg. | SD | CV | Min | Max | Avg. | SD | CV | Min | Max | RoR ** | ||
| Alternative energy | 1 | 1.291 | 5.08 | 3.94 | −7.67 | 17.25 | 7.25 | 1.62 | 0.22 | 4.58 | 10.77 | 59.88 |
| 2 | 0.973 | 4.66 | 4.79 | −14.12 | 9.20 | 115.47 | 17.67 | 0.15 | 81.00 | 144.15 | 38.78 | |
| 3 | 2.194 | 11.66 | 5.32 | −27.77 | 36.33 | 50.72 | 15.17 | 0.30 | 23.99 | 82.59 | 216.07 | |
| 4 | 1.858 | 9.39 | 5.06 | −20.34 | 24.49 | 139.98 | 43.32 | 0.31 | 69.48 | 238.35 | 150.66 | |
| 5 | 2.102 | 11.73 | 5.58 | −3.15 | 73.46 | 0.71 | 0.27 | 0.38 | 0.59 | 1.40 | 137.29 | |
| Energy | 1 | −1.431 | 5.95 | 4.16 | −14.88 | 16.12 | 47.12 | 9.95 | 0.21 | 31.45 | 70.90 | −50.80 |
| 2 | −0.735 | 6.35 | 8.64 | −16.01 | 23.79 | 91.02 | 13.59 | 0.15 | 54.22 | 121.43 | −40.25 | |
| 3 | −0.135 | 7.25 | 53.64 | −19.51 | 22.54 | 40.26 | 6.64 | 0.16 | 21.68 | 55.55 | −37.58 | |
| 4 | 0.080 | 6.09 | 76.51 | −17.90 | 13.09 | 11.82 | 2.14 | 0.18 | 6.89 | 16.93 | −36.52 | |
| 5 | −2.007 | 6.89 | 3.43 | −15.67 | 17.84 | 18.06 | 5.31 | 0.29 | 9.80 | 30.65 | −58.64 | |
| Materials | 1 | 0.240 | 4.25 | 17.73 | −9.74 | 10.94 | 211.32 | 27.14 | 0.13 | 150.00 | 260.23 | 11.85 |
| 2 | 0.134 | 7.15 | 53.26 | −32.09 | 15.08 | 20.06 | 3.21 | 0.16 | 12.00 | 24.00 | −6.01 | |
| 3 | 0.328 | 2.82 | 8.61 | −5.80 | 6.59 | 28.79 | 3.18 | 0.11 | 21.46 | 33.90 | 13.40 | |
| 4 | 0.392 | 5.87 | 15.00 | −13.87 | 20.87 | 54.07 | 7.04 | 0.13 | 34.85 | 66.30 | 0.35 | |
| 5 | 0.661 | 4.64 | 7.01 | −13.73 | 14.73 | 193.29 | 23.85 | 0.12 | 132.23 | 239.20 | 19.40 | |
| Industrial | 1 | 0.144 | 6.22 | 43.23 | −18.43 | 23.42 | 154.25 | 17.25 | 0.11 | 103.86 | 183.23 | −7.00 |
| 2 | 0.781 | 5.41 | 6.92 | −10.96 | 16.53 | 116.54 | 24.69 | 0.21 | 86.17 | 168.90 | 42.35 | |
| 3 | −0.935 | 7.52 | 8.04 | −15.14 | 25.94 | 67.63 | 12.53 | 0.19 | 44.21 | 92.50 | −34.86 | |
| 4 | 0.818 | 4.91 | 6.01 | −10.10 | 19.83 | 170.73 | 19.10 | 0.11 | 114.04 | 202.37 | 8.89 | |
| 5 | 0.151 | 5.66 | 37.37 | −19.18 | 11.74 | 103.34 | 18.29 | 0.18 | 60.78 | 129.30 | 10.16 | |
| Utilities | 1 | 0.455 | 4.50 | 9.90 | −8.69 | 11.40 | 86.83 | 18.39 | 0.21 | 56.09 | 134.18 | 57.75 |
| 2 | 0.371 | 3.72 | 10.04 | −6.71 | 9.61 | 185.48 | 21.80 | 0.12 | 135.42 | 231.65 | 33.37 | |
| 3 | 0.298 | 7.39 | 24.78 | −24.56 | 17.70 | 4.01 | 0.59 | 0.15 | 2.28 | 5.09 | 11.27 | |
| 4 | 1.809 | 7.69 | 4.25 | −18.23 | 18.23 | 2.22 | 0.53 | 0.24 | 1.20 | 3.24 | 102.50 | |
| 5 | −0.441 | 5.02 | 11.38 | −18.96 | 13.87 | 57.03 | 5.90 | 0.10 | 44.61 | 68.47 | −13.48 | |
| Healthcare | 1 | 0.129 | 3.21 | 24.79 | −8.16 | 10.27 | 145.24 | 7.08 | 0.05 | 111.14 | 155.51 | 2.06 |
| 2 | 0.708 | 5.38 | 7.60 | −9.07 | 21.85 | 289.94 | 22.70 | 0.08 | 194.86 | 323.70 | 6.05 | |
| 3 | 0.438 | 3.26 | 7.45 | −5.73 | 9.08 | 343.03 | 16.47 | 0.05 | 282.40 | 372.80 | 6.37 | |
| 4 | −0.147 | 3.28 | 22.29 | −8.08 | 8.12 | 34.38 | 2.36 | 0.07 | 27.01 | 38.59 | −6.33 | |
| 5 | 0.567 | 3.23 | 5.71 | −10.55 | 7.19 | 354.82 | 46.07 | 0.13 | 255.30 | 441.52 | 35.91 | |
| Financial | 1 | 0.168 | 3.78 | 22.52 | −10.72 | 11.08 | 300,189 | 29,085 | 0.10 | 240,000 | 344,970 | −5.77 |
| 2 | −0.270 | 6.74 | 24.99 | −14.13 | 17.79 | 26.24 | 4.51 | 0.17 | 18.08 | 35.64 | −31.60 | |
| 3 | −1.438 | 7.33 | 5.10 | −17.50 | 18.17 | 31.61 | 9.59 | 0.30 | 22.53 | 53.80 | −56.30 | |
| 4 | −0.924 | 7.40 | 8.01 | −16.19 | 21.32 | 54.97 | 13.16 | 0.24 | 35.39 | 81.91 | −46.04 | |
| 5 | −0.753 | 6.00 | 7.97 | −14.42 | 14.13 | 105.16 | 17.24 | 0.16 | 79.68 | 140.14 | −30.84 | |
| Consumer Discretionary | 1 | 0.575 | 4.02 | 6.98 | −6.45 | 9.41 | 2502.59 | 527.20 | 0.21 | 1676.61 | 3531.45 | 70.40 |
| 2 | 0.935 | 9.92 | 10.61 | −22.17 | 18.02 | 213.72 | 110.91 | 0.52 | 72.24 | 498.32 | 412.77 | |
| 3 | 0.432 | 4.44 | 10.28 | −9.56 | 15.99 | 239.92 | 29.95 | 0.12 | 152.15 | 291.93 | 27.17 | |
| 4 | −0.320 | 4.75 | 14.83 | −11.69 | 17.90 | 12.92 | 0.79 | 0.06 | 10.97 | 14.50 | −6.42 | |
| 5 | 0.254 | 4.53 | 17.84 | −7.23 | 18.21 | 430.83 | 42.68 | 0.10 | 305.04 | 503.44 | 1.33 | |
| Consumer Staples | 1 | 0.445 | 2.66 | 5.98 | −4.77 | 9.74 | 110.77 | 6.55 | 0.06 | 91.97 | 121.97 | 10.04 |
| 2 | 0.287 | 3.18 | 11.08 | −8.52 | 12.01 | 123.21 | 9.07 | 0.07 | 97.70 | 140.51 | 11.28 | |
| 3 | −0.001 | 3.31 | 3605.60 | −7.72 | 9.46 | 124.11 | 8.54 | 0.07 | 104.05 | 147.68 | 17.73 | |
| 4 | −0.218 | 4.78 | 21.97 | −16.70 | 13.08 | 49.44 | 5.12 | 0.10 | 37.56 | 60.13 | −10.80 | |
| 5 | 0.011 | 3.39 | 321.36 | −8.45 | 13.56 | 134.44 | 6.89 | 0.05 | 103.93 | 146.99 | 1.41 | |
| Information technology | 1 | 0.455 | 4.50 | 9.90 | −8.69 | 11.40 | 86.83 | 18.39 | 0.21 | 56.09 | 134.18 | 57.75 |
| 2 | 0.371 | 3.72 | 10.04 | −6.71 | 9.61 | 185.48 | 21.80 | 0.12 | 135.42 | 231.65 | 33.37 | |
| 3 | 1.310 | 4.75 | 3.63 | −8.52 | 17.25 | 86.87 | 24.24 | 0.28 | 49.10 | 143.47 | 130.01 | |
| 4 | 0.355 | 4.20 | 11.84 | −8.96 | 17.41 | 190.51 | 15.55 | 0.08 | 135.74 | 216.48 | 6.42 | |
| 5 | 0.371 | 5.81 | 15.66 | −14.56 | 15.06 | 323.53 | 45.47 | 0.14 | 189.50 | 397.00 | 27.71 | |
| Communication services | 1 | 0.625 | 4.92 | 7.88 | −10.17 | 9.70 | 221.25 | 35.30 | 0.16 | 146.01 | 303.91 | 27.60 |
| 2 | 0.033 | 3.20 | 98.05 | −6.76 | 5.51 | 1410.79 | 133.85 | 0.09 | 1054.13 | 1717.39 | 9.42 | |
| 3 | 0.058 | 3.23 | 55.18 | −6.75 | 5.25 | 1412.37 | 133.56 | 0.09 | 1056.62 | 1728.28 | 9.92 | |
| 4 | −0.208 | 4.70 | 22.55 | −12.27 | 11.70 | 120.86 | 15.02 | 0.12 | 85.76 | 148.20 | −14.21 | |
| 5 | 0.213 | 4.16 | 19.52 | −6.82 | 10.77 | 425.70 | 63.23 | 0.15 | 298.84 | 556.55 | 54.54 | |
| Real estate | 1 | 0.338 | 4.68 | 13.85 | −7.76 | 19.88 | 244.78 | 15.51 | 0.06 | 179.09 | 271.29 | 5.18 |
| 2 | 0.487 | 5.67 | 11.64 | −13.00 | 22.26 | 92.37 | 8.81 | 0.10 | 62.82 | 106.17 | 12.88 | |
| 3 | 0.597 | 5.04 | 8.45 | −14.93 | 15.72 | 158.46 | 10.66 | 0.07 | 116.98 | 174.56 | 17.13 | |
| 4 | 0.651 | 4.79 | 7.36 | −11.86 | 19.47 | 677.46 | 69.75 | 0.10 | 489.14 | 799.61 | 30.23 | |
| 5 | 0.298 | 4.75 | 15.94 | −8.80 | 17.60 | 204.01 | 15.30 | 0.07 | 160.61 | 232.82 | 4.58 | |
* Full names of companies are described in Table 1; ** rate of return achieved in January-September 2021 period based on daily prices. Source: Authors’ own calculations and elaborations based on Refinitiv Datastream.
References
- Lim, W.M. History, Lessons, and Ways Forward from the COVID-19 Pandemic. Int. J. Qual. Innov. 2021, 5, 101–108. [Google Scholar]
- Donthu, N.; Gustafsson, A. Effects of COVID-19 on Business and Research. J. Bus. Res. 2020, 117, 284–289. [Google Scholar] [CrossRef] [PubMed]
- Griffith, R.; Levell, P.; Stroud, R. The Impact of COVID-19 on Share Prices in the UK*. Fisc. Stud. 2020, 41, 363–369. [Google Scholar] [CrossRef] [PubMed]
- Al-Awadhi, A.M.; Alsaifi, K.; Al-Awadhi, A.; Alhammadi, S. Death and Contagious Infectious Diseases: Impact of the COVID-19 Virus on Stock Market Returns. J. Behav. Exp. Financ. 2020, 27, 100326. [Google Scholar] [CrossRef] [PubMed]
- Shanaev, S.; Ghimire, B. Is All Politics Local? Regional Political Risk in Russia and the Panel of Stock Returns. J. Behav. Exp. Financ. 2019, 21, 70–82. [Google Scholar] [CrossRef]
- Guo, M.; Kuai, Y.; Liu, X. Stock Market Response to Environmental Policies: Evidence from Heavily Polluting Firms in China. Econ. Model. 2020, 86, 306–316. [Google Scholar] [CrossRef]
- Barro, R.J.; Liao, G.Y. Rare Disaster Probability and Options Pricing. J. Financ. Econ. 2021, 139, 750–769. [Google Scholar] [CrossRef]
- Baker, S.; Bloom, N.; Davis, S.; Kost, K. Policy News and Stock Market Volatility; National Bureau of Economic Research: Cambridge, MA, USA, 2019; p. w25720. [Google Scholar]
- Harjito, D.A.; Alam, M.; Dewi, R.A.K. Impacts of International Sports Events on the Stock Market: Evidence from the Announcement of the 18th Asian Games and 30th Southeast Asian Games. IJSF 2021, 16, 139–147. [Google Scholar] [CrossRef]
- David, S.A.; Inácio, C.M.C., Jr.; Machado, J.A.T. The Recovery of Global Stock Markets Indices after Impacts Due to Pandemics. Res. Int. Bus. Financ. 2021, 55, 101335. [Google Scholar] [CrossRef]
- Wang, Y.-H.; Yang, F.-J.; Chen, L.-J. An investor’s perspective on infectious diseases and their influence on market behavior. J. Bus. Econ. Manag. 2013, 14, S112–S127. [Google Scholar] [CrossRef] [Green Version]
- Chen, M.-H.; Jang, S.S.; Kim, W.G. The Impact of the SARS Outbreak on Taiwanese Hotel Stock Performance: An Event-Study Approach. Int. J. Hosp. Manag. 2007, 26, 200–212. [Google Scholar] [CrossRef] [PubMed]
- Nippani, S.; Washer, K.M. SARS: A Non-Event for Affected Countries’ Stock Markets? Appl. Financ. Econ. 2004, 14, 1105–1110. [Google Scholar] [CrossRef]
- Chen, M.-P.; Lee, C.-C.; Lin, Y.-H.; Chen, W.-Y. Did the S.A.R.S. Epidemic Weaken the Integration of Asian Stock Markets? Evidence from Smooth Time-Varying Cointegration Analysis. Econ. Res.-Ekon. Istraživanja 2018, 31, 908–926. [Google Scholar] [CrossRef] [Green Version]
- Ichev, R.; Marinč, M. Stock Prices and Geographic Proximity of Information: Evidence from the Ebola Outbreak. Int. Rev. Financ. Anal. 2018, 56, 153–166. [Google Scholar] [CrossRef]
- Del Giudice, A.; Paltrinieri, A. The Impact of the Arab Spring and the Ebola Outbreak on African Equity Mutual Fund Investor Decisions. Res. Int. Bus. Financ. 2017, 41, 600–612. [Google Scholar] [CrossRef]
- Ali, M.; Alam, N.; Rizvi, S.A.R. Coronavirus (COVID-19)—An Epidemic or Pandemic for Financial Markets. J. Behav. Exp. Financ. 2020, 27, 100341. [Google Scholar] [CrossRef]
- Yilmazkuday, H. COVID-19 Effects on the S&P 500 Index. Appl. Econ. Lett. 2021, 1–7. [Google Scholar] [CrossRef]
- Zhang, D.; Hu, M.; Ji, Q. Financial Markets under the Global Pandemic of COVID-19. Financ. Res. Lett. 2020, 36, 101528. [Google Scholar] [CrossRef]
- Nicola, M.; Alsafi, Z.; Sohrabi, C.; Kerwan, A.; Al-Jabir, A.; Iosifidis, C.; Agha, M.; Agha, R. The Socio-Economic Implications of the Coronavirus Pandemic (COVID-19): A Review. Int. J. Surg. 2020, 78, 185–193. [Google Scholar] [CrossRef] [PubMed]
- Gössling, S.; Scott, D.; Hall, C.M. Pandemics, Tourism and Global Change: A Rapid Assessment of COVID-19. J. Sustain. Tour. 2021, 29, 1–20. [Google Scholar] [CrossRef]
- Mishra, P.K.; Mishra, S.K. Corona Pandemic and Stock Market Behaviour: Empirical Insights from Selected Asian Countries. Millenn. Asia 2020, 11, 341–365. [Google Scholar] [CrossRef]
- Alam, M.M.; Wei, H.; Wahid, A.N.M. COVID-19 Outbreak and Sectoral Performance of the Australian Stock Market: An Event Study Analysis. Aust. Econ. Pap. 2021, 60, 482–495. [Google Scholar] [CrossRef] [PubMed]
- Liu, H.; Manzoor, A.; Wang, C.; Zhang, L.; Manzoor, Z. The COVID-19 Outbreak and Affected Countries Stock Markets Response. Int. J. Environ. Res. Public Health 2020, 17, 2800. [Google Scholar] [CrossRef] [PubMed] [Green Version]
- Chakrabarti, P.; Jawed, M.S.; Sarkhel, M. COVID-19 Pandemic and Global Financial Market Interlinkages: A Dynamic Temporal Network Analysis. Appl. Econ. 2021, 53, 2930–2945. [Google Scholar] [CrossRef]
- Okorie, D.I.; Lin, B. Stock Markets and the COVID-19 Fractal Contagion Effects. Financ. Res. Lett. 2021, 38, 101640. [Google Scholar] [CrossRef]
- Czech, K.; Wielechowski, M. Is the Alternative Energy Sector COVID-19 Resistant? Comparison with the Conventional Energy Sector: Markov-Switching Model Analysis of Stock Market Indices of Energy Companies. Energies 2021, 14, 988. [Google Scholar] [CrossRef]
- Hassan, S.; Gavilanes, J.R. First to React Is the Last to Forgive: Evidence from the Stock Market Impact of COVID 19. J. Risk Financ. Manag. 2021, 14, 26. [Google Scholar] [CrossRef]
- Chen, C.D.; Chen, C.C.; Tang, W.W.; Huang, B.Y. The Positive and Negative Impacts of the Sars Outbreak: A Case of the Taiwan Industries. J. Dev. Areas 2009, 43, 281–293. [Google Scholar] [CrossRef]
- Stephany, F.; Stoehr, N.; Darius, P.; Neuhäuser, L.; Teutloff, O.; Braesemann, F. The CoRisk-Index: A Data-Mining Approach to Identify Industry-Specific Risk Assessments Related to COVID-19 in Real-Time. arXiv 2020, arXiv:2003.12432. [Google Scholar] [CrossRef]
- Narayan, P.K.; Gong, Q.; Ahmed, H.J.A. Is There a Pattern in How COVID-19 Has Affected Australia’s Stock Returns? Appl. Econ. Lett. 2021, 1–4. [Google Scholar] [CrossRef]
- Shahzad, S.J.H.; Bouri, E.; Kristoufek, L.; Saeed, T. Impact of the COVID-19 Outbreak on the US Equity Sectors: Evidence from Quantile Return Spillovers. Financ. Innov. 2021, 7, 14. [Google Scholar] [CrossRef]
- Höhler, J.; Lansink, A.O. Measuring the Impact of COVID-19 on Stock Prices and Profits in the Food Supply Chain. Agribusiness 2021, 37, 171–186. [Google Scholar] [CrossRef]
- Haroon, O.; Rizvi, S.A.R. COVID-19: Media Coverage and Financial Markets Behavior—A Sectoral Inquiry. J. Behav. Exp. Financ. 2020, 27, 100343. [Google Scholar] [CrossRef] [PubMed]
- Goodell, J.W. COVID-19 and Finance: Agendas for Future Research. Financ. Res. Lett. 2020, 35, 101512. [Google Scholar] [CrossRef]
- Anh, D.L.T.; Gan, C. The Impact of the COVID-19 Lockdown on Stock Market Performance: Evidence from Vietnam. JES 2021, 48, 836–851. [Google Scholar] [CrossRef]
- Albulescu, C. Coronavirus and Oil Price Crash. SSRN J. 2020, 3553452. [Google Scholar] [CrossRef]
- Dutta, A.; Das, D.; Jana, R.K.; Vo, X.V. COVID-19 and Oil Market Crash: Revisiting the Safe Haven Property of Gold and Bitcoin. Resour. Policy 2020, 69, 101816. [Google Scholar] [CrossRef]
- Kuzemko, C.; Bradshaw, M.; Bridge, G.; Goldthau, A.; Jewell, J.; Overland, I.; Scholten, D.; Van de Graaf, T.; Westphal, K. COVID-19 and the Politics of Sustainable Energy Transitions. Energy Res. Soc. Sci. 2020, 68, 101685. [Google Scholar] [CrossRef]
- Czech, K.; Wielechowski, M. Energy commodity price response to COVID-19: Impact of epidemic status, government policy, and stock market volatility. Int. J. Energy Econ. Policy 2021, 11, 443–453. [Google Scholar] [CrossRef]
- Qin, M.; Zhang, Y.-C.; Su, C.-W. The Essential Role of Pandemics: A Fresh Insight Into the Oil Market. Energy Res. Lett. 2020, 1, 13166. [Google Scholar] [CrossRef]
- Su, C.-W.; Khan, K.; Tao, R.; Nicoleta-Claudia, M. Does Geopolitical Risk Strengthen or Depress Oil Prices and Financial Liquidity? Evidence from Saudi Arabia. Energy 2019, 187, 116003. [Google Scholar] [CrossRef]
- Liu, T.; Nakajima, T.; Hamori, S. The Impact of Economic Uncertainty Caused by COVID-19 on Renewable Energy Stocks. Empir. Econ. 2021, 1–21. [Google Scholar] [CrossRef]
- Hosseini, S.E. An Outlook on the Global Development of Renewable and Sustainable Energy at the Time of COVID-19. Energy Res. Soc. Sci. 2020, 68, 101633. [Google Scholar] [CrossRef] [PubMed]
- Wang, Q.-J.; Chen, D.; Chang, C.-P. The Impact of COVID-19 on Stock Prices of Solar Enterprises: A Comprehensive Evidence Based on the Government Response and Confirmed Cases. Int. J. Green Energy 2021, 18, 443–456. [Google Scholar] [CrossRef]
- Zhao, X. Do the Stock Returns of Clean Energy Corporations Respond to Oil Price Shocks and Policy Uncertainty? Econ. Struct. 2020, 9, 53. [Google Scholar] [CrossRef]
- Ghabri, Y.; Ayadi, A.; Guesmi, K. Fossil Energy and Clean Energy Stock Markets under COVID-19 Pandemic. Appl. Econ. 2021, 53, 4962–4974. [Google Scholar] [CrossRef]
- IEA Global Energy Review 2020. Available online: https://www.iea.org/reports/global-energy-review-2020 (accessed on 31 January 2021).
- Feng, G.-F.; Wang, Q.-J.; Chu, Y.; Wen, J.; Chang, C.-P. Does the Shale Gas Boom Change the Natural Gas Price-Production Relationship? Evidence from the U.S. Market. Energy Econ. 2021, 93, 104327. [Google Scholar] [CrossRef]
- Zeren, F.; Akkuş, H.T. The Relationship between Renewable Energy Consumption and Trade Openness: New Evidence from Emerging Economies. Renew. Energy 2020, 147, 322–329. [Google Scholar] [CrossRef]
- Liu, T.; Hamori, S. Spillovers to Renewable Energy Stocks in the US and Europe: Are They Different? Energies 2020, 13, 3162. [Google Scholar] [CrossRef]
- Sovacool, B.K.; Furszyfer Del Rio, D.; Griffiths, S. Contextualizing the Covid-19 Pandemic for a Carbon-Constrained World: Insights for Sustainability Transitions, Energy Justice, and Research Methodology. Energy Res. Soc. Sci. 2020, 68, 101701. [Google Scholar] [CrossRef]
- Schumpeter, J.A. Capitalism, Socialism, and Democracy; Harper & Brothers: New York, NY, USA, 1942. [Google Scholar]
- Hart, S.L.; Milstein, M.B. Global Sustainability and the Creative Destruction of Industries. MIT Sloan Manag. Rev. 1999, 41, 23–33. [Google Scholar]
- Hagedoorn, J. Innovation and Entrepreneurship: Schumpeter Revisited. Ind. Corp. Chang. 1996, 5, 883–896. [Google Scholar] [CrossRef]
- Kuang, W. Are Clean Energy Assets a Safe Haven for International Equity Markets? J. Clean. Prod. 2021, 302, 127006. [Google Scholar] [CrossRef]
- Kumar, S.; Managi, S.; Matsuda, A. Stock Prices of Clean Energy Firms, Oil and Carbon Markets: A Vector Autoregressive Analysis. Energy Econ. 2012, 34, 215–226. [Google Scholar] [CrossRef]
- Managi, S.; Okimoto, T. Does the Price of Oil Interact with Clean Energy Prices in the Stock Market? Jpn. World Econ. 2013, 27, 1–9. [Google Scholar] [CrossRef] [Green Version]
- Kocaarslan, B.; Soytas, U. Asymmetric Pass-through between Oil Prices and the Stock Prices of Clean Energy Firms: New Evidence from a Nonlinear Analysis. Energy Rep. 2019, 5, 117–125. [Google Scholar] [CrossRef]
- Fisher, R.A.; Mackenzie, W.A. Studies in Crop Variation. II. The Manurial Response of Different Potato Varieties. J. Agric. Sci. 1923, 13, 311–320. [Google Scholar] [CrossRef] [Green Version]
- Fisher, R.A. Theory of Statistical Estimation. Math. Proc. Camb. Phil. Soc. 1925, 22, 700–725. [Google Scholar] [CrossRef] [Green Version]
Publisher’s Note: MDPI stays neutral with regard to jurisdictional claims in published maps and institutional affiliations. |
© 2021 by the authors. Licensee MDPI, Basel, Switzerland. This article is an open access article distributed under the terms and conditions of the Creative Commons Attribution (CC BY) license (https://creativecommons.org/licenses/by/4.0/).