Next Article in Journal
The Relationship between Economic Growth and Pollution in Some New European Union Member States: A Dynamic Panel ARDL Approach
Next Article in Special Issue
The Bright and Dark Sides of Energy Efficiency Obligation Scheme: The Case of Latvia
Previous Article in Journal
Spray, Combustion, and Air Pollutant Characteristics of JP-5 for Naval Aircraft from Experimental Single-Cylinder CRDI Diesel Engine
Previous Article in Special Issue
Competition in Power Generation: Ex-ante Analysis of Indonesia’s Electricity Market
 
 
Font Type:
Arial Georgia Verdana
Font Size:
Aa Aa Aa
Line Spacing:
Column Width:
Background:
Article

Implementing Radical Innovation in Renewable Energy Experience Curves

1
Institute for Energy Systems, School of Engineering, University of Edinburgh, Edinburgh EH9 3DW, UK
2
Wave Energy Scotland, An Lochran, 10 Inverness Campus, Inverness IV2 5NA, UK
*
Author to whom correspondence should be addressed.
Energies 2021, 14(9), 2364; https://doi.org/10.3390/en14092364
Submission received: 11 March 2021 / Revised: 15 April 2021 / Accepted: 19 April 2021 / Published: 21 April 2021
(This article belongs to the Special Issue Energy Policy and Policy Implications 2020)

Abstract

Cost reductions in nascent forms of Renewable Energy Technology (RET) are essential for them to contribute to the energy mix. Policy intervention can facilitate this cost reduction; however, this may require a significant investment from the public sector. These cost reductions fall into two broad categories: (1) incremental cost reductions through continual improvements to existing technologies, and (2) radical innovation where technologies that significantly differ from the incumbents are developed. This study presents a modelling methodology to integrate radical innovation in RET experience curve and learning investment analysis, using wave energy as an example nascent RET. This aims to quantify the potential effects of radical innovation on the learning investment, allowing the value of successful innovation to be better analysed. The study highlights the value offered by radical innovations in long-term deployment scenarios for wave energy. This suggests that high-risk R&D efforts in nascent RET sectors, even with low success rates, could still present significant expected value in offsetting future revenue support.

1. Introduction

Support policies for Renewable Energy Technologies (RETs) promote both the development and deployment of RETs where insufficient incentive exists for the private sector without intervention. This support is normally intended to be a temporary measure, with the goal of reducing the cost of these technologies to market parity (or to a break-even level considering the other benefits they bring to the energy system) [1].
Funding this cost reduction can be very expensive, and in the case of revenue support can lock a government into financing this over long time periods [2]. In the EU 27, revenue support for solar PV is expected to peak at around €25bn per year in the mid-2020s [2], while the UK currently spends around €12bn per year on revenue support for low carbon electricity generation [3]. Due to the magnitude of this investment, increasing the efficiency of cost reduction for RETs presents the opportunity for substantial saving to the public sector. In addition, prominent roadmaps to net-zero rely heavily on technologies that are currently at demonstration and prototype stages [4,5]. Therefore, it is also important that development and deployment policy accommodates commercialisation of nascent RETs over relatively short timescales (<30 years).
It is crucial for policy makers to understand the factors that influence both the investment and the time required to bring about these cost reductions in order to efficiently allocate funding towards developing new RETs. This applies to both the selection of technologies and the policy instruments used to administer this support.
RET cost reductions can be represented as incremental (economies of scale, sector experience, etc.) and step-change (development of novel technologies). This study presents a methodology to estimate time and investment required to bring about cost reductions. This is achieved through different mixes of these two effects:
  • Incremental cost reductions are modelled using experience curves. These estimate reductions in the Levelised Cost of Energy (LCOE) associated with deployment. The associated investment (learning investment) is the cumulative revenue support, above Wholesale Market Prices (WMP), needed to facilitate this deployment.
  • The effects of introducing step-change cost reductions at an early stage are then integrated into the modelling. This considers the investment and time required to develop novel subsystems through a stage-gate innovation program, and the LCOE reductions they could bring to the sector.
Wave energy was chosen as an example nascent RET for this study. Wave energy presents a significant potential resource [6] which has potential synergies with offshore wind energy [7]. However its potential has remained almost entirely untapped due, in large part, to a high LCOE compared to established forms of RET. Therefore, assessing the investment required to reduce the LCOE of wave energy will help policy makers evaluate the costs associated with utilising this resource.
The importance of a mix of technology push and deployment policy is acknowledged in economic theory for RET development [8,9]. However, there are mixed views on the balance of these policies [10]. It is widely asserted that inadequate technology-push support, both at nascent stages and during technology deployment, leads to higher overall public investment [2,11,12]. However, there is little consensus on how to determine the ‘optimal’ mix of these policies. The ability to investigate different scenarios in more depth will provide policy makers with an additional tool to assess the trade-offs of different policy options.
The basis of this study is the concept of discontinuities or ‘step-changes’ in experience curves analysis due to radical technology innovations. This has been explored by several authors [13,14,15,16,17,18]. However, these are often presented as either single examples or illustrations with limited numerical quantification. Two studies by the Carbon Trust presented scenarios where step-change innovations were integrated into learning investment analysis for the wave energy [15,16]. While these highlighted the potential cost savings of innovation in the wave energy, they didn’t consider the sensitivities to different parameters, and provided relatively brief discussion of the modelling implications. Similarly a study by Shayegh et al [19] compared the effects of R&D that promoted either increased incremental innovation or shifts between experience curves (i.e., step-change innovation) on learning investment. However, this only considered more mature forms of renewable energy, and did not consider temporal aspects of cost reduction. This work adds to the literature by presenting cost modelling for the wave energy sector that explicitly explores the importance of step-change cost reductions through innovation, compared to incremental cost reductions through volumes. The multiple sensitivities involved in learning investment analysis for nascent RETs are also addressed in greater detail than previous studies, and temporal aspects of cost reduction and investment are modelled.
The modelling in this paper presents a range of example scenarios, combining different mixes of step-change and incremental cost reductions. These follow three different cost reduction pathways:
  • Incremental cost reduction driven through commercial deployment only.
  • Incremental cost reduction driven through commercial deployment combined with step-change cost reduction (through step-change innovation), where either:
    • deployment is delayed until a step-change innovation has been completed, or
    • deployment and step-change innovation happen in parallel.
Given the limited deployment and cost data for the wave energy sector, and inherent uncertainties in experience curve analysis, this work evaluates plausible scenarios for the wave energy sector rather than predictive forecasting. However, these scenarios still demonstrate the potential for reduction in revenue support expenditure during wave energy’s deployment phase when greater investment and time is spent on early-stage step-change cost reduction. Essentially, exploring the value of step-change innovation in achieving cost reduction in the wave energy sector.

2. Background

While many different models of innovation exist, the Research, Development, Demonstration and Deployment (RDD&D) paradigm combining ‘technology-push’ and ‘market-pull’ activities is a common thread in energy innovation literature [20]. This could be taken to suggest a simple, one-way progression from R&D to commercial deployment. However the ‘innovation chain’ is a complex process with feedback loops and knowledge spillovers [1,21]. As a RET develops, different effects drive technology progress. In a nascent stage, progress is mainly driven through R&D and knowledge transfer. As the technology develops, feedback effects through deployment also become key drivers of performance improvement (see Figure 1) [22].
While cost reductions in RET may come from many sources, they can broadly be considered in two categories (based on Wilson and Grubler [21]):
  • Radical, or step-change cost reductions where a novel (or radical) innovation is developed that strongly deviates from prevailing technologies or processes, and;
  • Incremental cost reductions, that are brought about from an aggregation of incremental technology innovations and other learning effects that improve the performance, cost, etc. of an existing commercial technology.
The development of other forms of energy supply technology have shown a pattern of radical/step-change innovation happening at the early stages of development, while more mature technologies largely derive their cost reductions from incremental learning effects [23]. This aligns with the notion of path dependence, where innovation in a mature technology sector is increasingly directed by incumbent organisations’ prior experience [24] and nacent technologies are increasingly locked out [13,25].
The rest of this section covers step-change and incremental cost reductions in RET in more detail, as well as how policy influences this cost reduction.

2.1. Cost Reduction in RET

In RET applications, experience curves describe technology performance (usually cost) as a function of experience (cumulative output in capacity, units, generation, etc.) [12,13]. This relationship between costs ( C o s t ) and output ( Q ) is shown in 1. C o s t q is an initial cost at cumulative output ( Q q ) . The learning rate ( L R ) describes the fractional decrease in cost ( C o s t i ) for every doubling of cumulative output ( Q i ) :
C o s t i = C o s t q Q i Q q b where : b = log 1 L R log 2
When used to extrapolate costs, experience curves describe a series of incremental cost reductions [26]. Experience curves have seen widespread use in analysis of more mature RET sectors [27], and forecasting of nascent RET sectors including Marine Renewable Energy (MRE) [15,28,29]. In nascent technologies, however, large uncertainties exist in the parameters required to define experience curves.
In addition, many different ‘learning effects’ contribute to the aggregated learning rate [30]. This is partly determined by the choice of independent and dependent variables for the experience curve, as these define the system boundaries of a learning system, and therefore what sources of cost reduction are included [26,30,31]. If, for example, unit prices are chosen as the dependent variable the learning rate reflects improvements in the costs of manufacturing (labour, material usage, etc.). However, for experience curves that consider energy costs as the dependant variable, the learning rate reflects many other sources of cost reduction, both embodied in the technology and in its end use (financing, O&M, lifetime etc). It is, therefore, important to note that all learning rates measure a correlation between independent (in our case deployed capacity) and dependant (in our case LCOE) variables [25,30]. The learning rate is simply a proxy for multiple sources of cost reduction that occur alongside deployment, which may include:
  • Learning by searching—improvements through R&D
  • Learning by doing and learning by using—improvements in product manufacturing mechanisms, labour efficiency, etc.
  • Learning by interacting—improvements in network interactions between research institutes, industry, end-users, policy makers, etc. that improve knowledge diffusion
  • Upsizing/downsizing—changing the scale of the technology may reduce specific costs
  • Economies of scale—product standardisation and upscaling of production facilities
Step-change, or radical innovation, can cause a ‘step-change’ in a RET sector’s performance when a new technology variant or process is developed that outperforms the incumbent (as described in Figure 2). This can cause a break or shift from the consistent incremental cost-reduction curve [13,19,26]. The development of successful new technologies (step-change innovations) are characterised as being higher risk, with payoffs realised over longer time scales [25,32].
Weber [11] recommends a development trajectory for the wave energy sector which initially focuses on finding optimal technologies (which can represent radical innovations). As the sector matures, the focus moves to improving commercial readiness, alongside smaller incremental performance improvements. This approach should avoid lock-in to sub-optimal technologies which require greater investment to achieve cost competitiveness [11]. It follows that a funder should support the development of a range of more radical technologies in the early stage of a sector’s development (to identify optimal technologies); followed by demonstration and deployment policy to support commercialisation. This study will add some quantitative analysis to this notion by considering the effects of incremental and step-change cost reductions on the investment required for a RET sector to meet cost parity.

2.2. Policy to Support Innovation

Support policy has important effects at different stages of the ‘innovation chain’. It can be categorised on a number of axes, one of the most ubiquitous being push and pull mechanisms [34]:
  • Push—allows innovation to be carried out at lower cost/time (increases innovation supply)
  • Pull—rewards the outcomes of successful innovation (increases innovation demand)
The OECD/IEA and Wene make a distinction between the effects of public and private sector activities [13,35]. They note that RD&D carried out by the public sector, and public-private partnerships, play particular importance in seeding the learning process within industry (introducing new technological opportunities). In contrast, both industry RD&D and deployment are more likely to bring about incremental cost reductions through the experience curve effect. This process is shown in Figure 3. The IEA [22] and Fleming et al. [36] similarly argue that much of the innovation seen in the private sector is seeded by publicly funded programmes for higher-risk, earlier-stage research.
The importance of Government R&D support policy can be explained by 3 key market failures applicable to R&D: (i) Indivisibility, (ii) Inappropriability—generating spillover benefits, and (iii) Uncertainties—which increase risks [38]. Spillovers between firms, and the indivisible nature of knowledge, result in individual firms not necessarily realising the full benefits of their R&D efforts, and therefore underinvesting in R&D [9,13]. The RET sector is also largely risk-adverse and inclined to make more certain, short-term incremental improvements to existing portfolios [24,32], as opposed to pursuing R&D in riskier novel technologies [25,39]. Addressing these market failures is a key justification for government R&D support. This is particularly important when developing higher risk novel technologies [4], but also applies to R&D in more mature RET sectors [40]. Nemet [41] describes how, in the period 1980–2003, the majority of breakthrough improvements in solar PV technology efficiency originated in public RD&D institutions. Similarly, the majority of technology innovations identified by Norberg-Bohm [39] in the US wind energy sector during the 1980s relied (partly or wholly) on public funding. Governments can also take a portfolio approach to RD&D that supports a variety of novel concepts in a nascent RET sector, to avoid potential lock-in further down the line with sub-optimal technologies [24,25].
Incremental cost reductions derived through learning, however, can only be realised through technology deployment [13]. In liberalised energy markets, this is facilitated by a market support or ‘market pull’ mechanism. This ‘pull’ policy is also vital in market formation, increasing the incentive to develop successful technologies [42,43], as well as compensating for negative environmental externalities [44]. Unstable market pull policy may, however, incentivise firms to ‘cash out’ on existing technologies while tariffs are in place, rather than to engage in exploration of radical new solutions [34]. Additionally, price stagnation may occur if revenue support is too generous, weakening the incentive to reduce costs [30].
In summary, evidence from literature highlights the importance of technology push in developing new radical technologies during a sector’s nascent stages; and market pull that realises the technology’s benefits through deployment, while facilitating incremental cost reductions. This is outlined as a process adapted from Wene [35]:
  • Government support is often needed for high-risk R&D efforts to find radically new solutions
    • Demonstration projects or targeted government R&D grants can help knowledge gained in public R&D to be transferred to the industrial learning system
  • After the demonstration, the new technology is often too expensive to compete in the market, therefore:
    • It will then need government deployment programs to allow it into the market and to start the ride down the experience curve
    • Subsidisation of private R&D (tax credits, etc.) may complement this process (due to the private sector’s tendency to underinvest in energy R&D)
Putting greater or lesser emphasis on developing radical new technology variants before introducing deployment policy will affect the overall investment, cumulative deployment, and time to achieve cost reductions in a developing RET sector. The modelling presented in this study explores this interaction, which is key to making informed policy decisions when developing a nascent RET.

3. Materials and Methods

The cost modelling in this study investigates the effects of integrating radical innovation in experience curve analysis. As a single factor learning curve’s cost reduction is based only on one parameter (e.g., deployment) it can by definition not take into account future innovations that lead to step changes in technology costs [45]. This is addressed in this study by building on the concept of step-change innovation enabling shifts between experience curves [13,17,19] as shown in Figure 4. These experience curves can represent an incumbent technology (curve A) and a technology variant (curve B) which is enabled through step-change innovation. This allows us to construct scenarios comparing the investment required to meet an LCOE target including step-change innovation (line B) versus a scenario with incremental cost reductions alone (line A).
In our modelling, we are separating the effects of incremental cost reductions and step-change innovation. The learning rates in this modelling only represent incremental cost reductions and not the effects of step-change innovation. Historical single factor learning rates derived over long time periods may aggregate effects of both incremental cost reduction and step-change innovation [13]. Therefore, as extrapolated experience curves represent incremental cost reductions, care must be taken using historical learning rates, as their use may inflate the level of cost reduction attributed to future incremental cost reductions.
Multifactor experience curves attempt to quantify the contribution of cost reduction from different independent variables (e.g., R&D expenditure, average device scale, etc.) [45]. However, they are seen as unreliable in long-term cost extrapolations [27], due to the amount of required data and the uncertainties associated with the extrapolation of the required independent variables. In addition, R&D expenditure as an input can be associated with accelerating incremental innovation (e.g., R&D tax credits), or promoting step-change innovation (e.g., blue-skies public R&D) [19,35]. This approach does not allow for easy differentiation between the effects of incremental cost reductions and step-change innovation in cost extrapolations, which this study addresses.
The remainder of this section describes the modelling methodology used in this study. This initially addresses pathway 1, which considers incremental cost reductions only, covering in Section 4.1 the approach taken, key assumptions and values used, and the calculation steps. This is followed by the integration of step-change cost reductions (pathways 2a & 2b), for which the approach, the integration into the modelling, and the values used as inputs for the scenarios are introduced in Section 4.2.

3.1. Incremental Cost-Reduction Model

3.1.1. Modelling Approach and Key Assumptions

The incremental cost reduction model is based on the experience curve effect. This, combined with a deployment trajectory, gives a Levelised Cost of Electricity (LCOE) varying with both deployment and time (shown as the solid purple line in Figure 5).
The incremental innovation modelling uses a single factor experience curve to determine the rate of LCOE reduction (standard practice for cost extrapolations [27]) as represented in Equations (1) and (2). Other studies in the MRE sector have applied separate learning rates for CAPEX and OPEX [28], discount rate [15] and different subsystems [28]. Due to the perceived levels of uncertainty in these assumptions for nascent technologies, these were not considered in our analysis. The learning rates are applied to the LCOE values directly.
Learning Investment
In the early stages of a RET’s deployment, the LCOE is likely to be significantly above the WMP. Therefore, (in grid-connected applications) revenue support will be required to commercially deploy the technology. This subsidy above WMP (shown as the shaded areas A and B in Figure 6) is referred to as ‘learning investment’ [13]. This can be presented as a time series or as a total value to reach a target LCOE. This learning investment is determined by several factors (see Table 1). Figure 6 highlights the three key parameters in our analysis:
  • Starting point ( C D C c , L C O E c ) —an LCOE ( L C O E c ) at a given deployed capacity ( C D C c ) , from which the learning curve is extrapolated
  • LCOE target ( L C O E t a r g e t ) —the LCOE that the calculation ends at. This is the same as the wholesale price in Figure 6
  • Learning rate ( L R )—the percentage reduction in LCOE for every doubling in cumulative deployed capacity
The starting point of the experience curve represents a level of deployed capacity at which reliable LCOE estimates can first be made. For this study, this point corresponds to early commercial arrays. Before ( C D C c ) is reached, the LCOE is less certain. Consequently, either A or A + C (see Figure 6) could be considered as the learning investment required to reach ( C D C c , L C O E c ) . In a preliminary study, the difference in learning investment between A and A + C was investigated. This was found to be under 2% of the total learning investment for all scenarios considered in Results (Section 4.2). Due to the high level of uncertainty in LCOE estimates, and unreliability of experience curve relationships in early stages of technology development, the model takes the LCOE before ( C D C c , L C O E c ) to be L C O E c . Therefore, the learning investment prior to the starting point is assumed to be defined by A only.
Key Assumptions
In this study, L C O E c is based on estimates for first commercial Wave Energy Converter (WEC) arrays. Several estimates exist for this in the literature, many of which are clustered around €2020400/MWh [29]. The level of associated global cumulative deployment ( C D C c ) for sector commercialisation is taken as 100 MW (based on our assumption that several pre-commercial arrays will be in place after an additional 75 MW of installed wave energy capacity). The LCOE target reflects long-term European wholesale market prices (€202050/MWh), therefore the modelling considers the required learning investment to meet present-day cost competitiveness. The LCOE learning rate ( L R ) of 15%, applied here, is within the range of estimates presented in various wave energy sector roadmaps [29]. This is slightly higher than typical CAPEX-based learning rates used for wave energy sector economic modelling, as more sources of learning are included in an LCOE-based experience curve [26]. It is reasonable to assume L R values from MRE roadmaps are based on historical values from other sectors. Therefore, the baseline rate of incremental cost reduction used in this study can be considered to be optimistic. However, this does not affect the key trends discussed in the Results section. The rate of cumulative deployed capacity additions (30% increase/year) is based on solar PV and onshore wind energy from 2006 to 2018 [46]. An ‘aggressive’ deployment scenario is also considered, with a 60% increase/year (based on the solar PV capacity additions from 2006–2013 [46]).
The base values for the other model parameters are shown in Table 1, which are taken as round numbers for clarity. Sensitivity around these base values is considered in the modelling.
Several assumptions are made in the incremental cost reduction model:
  • Capacity additions occur in monthly time steps following an exponential growth in cumulative deployed capacity until the LCOE reaches the target LCOE. Capacity additions after this point are considered un-subsidised and are excluded from the learning investment calculation.
    • Deployment in our model is insensitive to the technology’s LCOE.
    • Due to data availability, the deployment trajectory is based on trends seen in the wind and solar PV sectors after >5GW of deployed capacity [46]. A different deployment trajectory could be expected during early stages of deployment.
  • Capacity factor variation is not included in the modelling. Although trends from other sectors have shown this may increase over time, its variation is considered too uncertain to include for a nascent RET. This may result in an underestimate of subsidised generation in each timestep.
  • The average WMP remains constant. In reality, this fluctuates both spatially and temporally due to factors including supply and demand, weather, changes in the energy mix, economic factors, etc. However, forecasting and generic trends for future energy prices is outside the scope of this study.
  • The target LCOE is set as the WMP. Specific benefits could apply to individual technologies that increase their value (in terms of portfolio variety, etc.), and variations in wholesale capture price may also shift the target LCOE. The target LCOE is, therefore, RET-specific and could be varied for different technologies. However, this has been excluded from the analysis.
  • The experience curve is smooth and continuous. Some historical experience curves have shown s-shapes [49] where slower learning happens at the beginning and end of a technology’s deployment. However, as there is little consensus on how to deal with these in long term extrapolations, the s-shaped effect has not been considered.
  • It is probable that early commercial RET projects (including wave energy) will rely on a mix of private finance, and government loans, grants, investment subsidies, etc. alongside revenue support [1,50]. This was not modelled and, in theory, should not affect the overall learning investment. However, the structure of these financial instruments would be an important consideration for policymakers.

3.1.2. Calculation

For the modelling in this study, the level of Cumulative Deployed Capacity ( C D C ) grows exponentially with respect to time in years, 2. Using the experience curve relationship, 3, the LCOE is then defined based on the cumulative deployed capacity (the analysis ends once the LCOE meets the target LCOE).
C D C = C D C 0 1 + R C I t
L C O E = L C O E C if C D C < C D C c L C O E C C D C C D C C b otherwise where : b = log ( 1 L R ) log ( 2 )
The model calculates outputs at discrete time steps. For the modelling presented in this study, monthly time steps ( Δ t = 1 / 12 ) were chosen to reflect a reasonable level of granularity considering sector-wide deployment. As the deployments have staggered start times, and each receive revenue support for a fixed duration ( T S P ), a matrix of subsidised generation hours is created for each individual deployment at each time step. In the generation matrix ( G e n i , j ) , subscript i refers to a specific timestep and j to a specific deployment. The generation per step is a function of deployed capacity in the step d e p j = C D C j C D C j 1 , and time from the last time step Δ t i = t i t i 1 multiplied by the capacity factor ( c f ) and the average number of hours per year (8766). Conditional clauses 1&2 in 4 account for the lack of subsidised generation before the time of deployment ( i < j ) or after the length of the tariff ( T s u p p o r t ).
G e n i , j = 0 if i < j ( before deployment ) 0 if i j + ( T s u p p o r t / Δ t ) ( after subsidy has ended ) d e p j × Δ t i × c f × 8766 otherwise ( subsidised generation )
The investment for each cell in the generation matrix is then calculated by multiplying the generation matrix ( G e n i , j ) by the differential cost (difference between the LCOE and WMP) for each capacity step. Note that LCOE varies with the cumulative deployed capacity, and it is assumed that LCOE reductions happen following each deployment.
I n v i , j = G e n i , j × ( L C O E j W M P )
To calculate the cumulative investment at time t i ( C u m I n v i ) the columns of the investment matrix are summed. The total investment ( C u m I n v t o t a l ) is calculated by summing the entire investment matrix. The present value of these investments can also be calculated.
C u m I n v i = j I n v i , j
C u m I n v t o t a l = i j I n v i , j
The main outputs from the model are the total deployment in GW at which the LCOE target is met, the time this takes in years, timeseries of the investment, and the total investment required to subsidise this deployment, both discounted and undiscounted.

3.2. Step-Change Cost Reduction

3.2.1. Modelling Approach and Key Assumptions

The approach to step-change cost reductions is based on a competitive stage-gate innovation programme, similar to the Wave Energy Scotland procurement programme [51].
It is postulated in this work that novel subsystem(s) with lower Capital costs (CAPEX), Operational costs (OPEX), increased Annual Energy Production (AEP), or some combination thereof, can be implemented within an existing wave energy converter. This results in a step-change reduction in LCOE. Implementing these would require development, integration, and demonstration, which can be split into two overall stages:
  • Novel subsystems are developed in a competitive staged approach, either taking in concepts at the earliest stage or incorporating technology transfer from other sectors and applications. Multiple concepts are funded at the early stages, resulting in a reduced number of successful subsystems at around TRL8.
  • The successfully developed subsystem is then integrated within an existing device and demonstrated at (close to) full scale.
Each of these activities has an associated time and cost, which are offset against the reduction in LCOE. The total investment required includes the cost of developing all concepts through all stages required (whether successful or not), plus the integration and demonstration costs. Lessons are learnt from the development of unsuccessful concepts and these can be used to further develop the sector, although this is not explicitly considered in the modelling. The time required to carry out a step-change cost reduction is the sum of the maximum time taken at each stage of the development programme plus the total time for both integration and demonstration. The approach is summarised in Figure 7.
It is important to highlight that some aspects of the ‘innovation chain’ are not captured by this approach. Only the costs and time associated with experimental development through to demonstration of RET subsystems are considered. This assumes sufficient basic and applied research is being carried out, which supplies early-stage concepts as a ‘feedstock’ for the novel subsystem development programme (see Figure 7). For countries that invest heavily in earlier stages of wave energy R&D, there are likely to be ample concepts available for development through an innovation programme. However, this is an important contextual factor when considering the applicability of a stage-gate style innovation programme to a specific country.
A range of values have been considered for the total investment, time, and change in LCOE resulting from step-change cost reductions, summarised in Table 2. These are constructed using values from the CORDIS database [52], published guidance on developing ocean energy technologies [16,53,54,55], and experience from the Wave Energy Scotland development programmes.
Due to significant variation of resource in different sites, wave energy may not converge on one successful device concept. Developing and implementing a novel subsystem for a leading device will reduce the LCOE of that device. However, it may not reduce the LCOE of the whole sector. On the other hand, one technology innovation (such as a grid connection system) may easily diffuse through the entire sector. It may, therefore, be necessary to develop several implementations of a novel subsystem to reduce the LCOE of the entire sector. We can reasonably assume that this happens in parallel, so this does not affect the timing. However, it directly multiplies the cost of step-change innovation. The sensitivity analysis in Section 4.2 on the cost of step-change innovation addresses this.
Key Assumptions
The base case step-change innovation scenario is an investment of €50M in funding over 10 years, which results in an LCOE reduction of 25% (i.e., a relative LCOE of 75%). Higher and lower estimates are used to illustrate the impact of these parameters on the overall time and investment required to reach the target LCOE. Time, expense and LCOE reduction for the innovation programme are independent in the model. It is likely that allocating additional time and money to the programme would give a higher probability of (1) achieving step-change cost reductions and (2) these cost reductions being larger (since the development of a greater variety of promising novel concepts could be funded).
Two other key assumptions are considered for the step-change cost-reduction process:
  • The process starts with a device concept at a pre-commercial level (around TRL7-8). The step-change in LCOE is not derived from developing a novel device from an early TRL concept.
  • The step-reductions in LCOE are the result of using a structured and staged innovation programme. They are not the result of developers refining/improving designs, which is included in the incremental innovation model.
While the midline scenario in our modelling (shown in Table 2) considers novel subsystems (as there is a level of data availability for this), it is possible that more radical approaches from entirely novel concepts could reduce the sector’s LCOE by a larger proportion. Sensitivity around our baseline LCOE in the Results section explores this further.
An underpinning assumption in this process is that experience accrued by the incumbent technologies can be transferred to the novel technology variant [13]. This means the switch of technology variants can be modelled at any point in the deployment trajectory as a transition between similar experience curves with different starting LCOEs (see Figure 4). An alternative approach would be assuming none of the experience is transferred and the learning essentially ‘starts from scratch’ when the novel technology variant is introduced. However, this would suggest an unrealistic absence of knowledge transfer between technology variants; therefore, the former approach was adopted. Although in reality a middle ground between these assumptions is likely, this was not modelled in this study.

3.2.2. Integration into the Modelling

To assess the impact of step-change cost reductions, they were integrated into the incremental cost-reduction modelling as follows:
  • The total investment is increased by the total investment required for the programme(s) to develop and demonstrate the step-change innovation(s). This includes investment in unsuccessful subsystem innovations required to obtain those that were successful.
  • No benefit is observed from the step-change cost-reduction until this is complete, i.e., demonstrated at (close to) full scale. Two options have been considered for how this is then implemented across the sector:
    • The whole deployment timeseries is delayed by the total duration of the step-change development and demonstration activities. In this case, it is assumed that deployment is not subsidised until an acceptably low starting LCOE has been achieved.
    • Deployment continues in parallel with the novel technology development, with the assumption that one country delaying their subsidy programme would not stop subsidised deployment in other countries. Once the novel technology is developed, several timescales have been considered for the transition period as the technology is adopted throughout the sector.
  • The LCOE is reduced by the factor resulting from the step-change innovation(s). It is assumed that during the transition period the novel variant can accumulate the experience gained from deploying the previous variant [13]. This experience may not be fully transferable in practice; however, it is considered to be so for the purposes of this study.
  • The reduction in LCOE plus required investment and time for the step-change cost reduction is accounted for as one block. In reality, this may occur in a series of smaller steps, but this does not change the overall results.

4. Results

This section presents, first, results for Pathway 1—exclusively deployment-based incremental cost reductions; followed by Pathways 2a and 2b—integrating the step-change cost reduction.

4.1. Pathway 1—Deployment-Based Incremental Cost-Reduction

If not stated otherwise, the assumptions shown in Table 1 were used for the analysis in this section.
Figure 8 shows the relationship between total learning investment and both L C O E c and L R . Dashed lines show the base case ( L C O E c , L R ) and corresponding investment. The present value figures are calculated following the approach taken by the Low Carbon Innovation Coordination Group [56] using the UK Treasury social discount rate of 3.5% [57]. This reflects the social time preference of public investments and is not representative of private sector discount rates.
L C O E c and learning rate have a nonlinear relationship with the total learning investment and are coupled (a change in one variable’s effect on learning investment is dependent on the value of the other). The total learning investment is highly sensitive to the learning rate, especially at lower values (increasing the learning rate from 10% to 11% reduces the learning investment by a factor of >2.5).
The total learning investment from combinations of L C O E c and L R values at a given ( C D C c ) is shown in Figure 9. This can be used to understand the requirements to achieve ‘attractive scenarios’ for RET development. The base case scenario ( L C O E c = €400/MWh, L R = 15%) is highlighted in Figure 9 with the dotted line, and results in a total learning investment of €674bn (corresponding present value of €175bn shown in Figure 9). Figure 9 illustrates how relatively small changes to L C O E c (shifting downwards) and L R (shifting to the right) can result in large changes in the total learning investment. It is evident that there are low levels of compensation between these parameters; there is only a small range of scenarios in which a very high L C O E c or low L R can result in a feasible level of learning investment. This shows that achieving moderate to strong performance in each of these parameters is a necessity for economically viable cost reduction in a RET sector. How these parameters are influenced by policy is discussed in Section 6.
While not presented here, the support period length and capacity factor have no effect on the total cumulative deployment capacity at which the LCOE target is met, nor the time taken to get there. However, both parameters are directly proportional to the level of subsidised generation, and therefore to the learning investment.
Changing the rate of deployment affects how the learning investment is distributed over time, but results in the same total subsidised generation (and therefore learning investment) for each scenario. In Figure 10 LCOE reduction curves are presented for different values of L C O E c . In some of the higher L C O E c scenarios. ( L C O E c 400 / MWh ), the level of cumulative deployed capacity to reach cost parity could be close to estimates of the theoretical global wave energy resource [6].
This analysis suggests that wave energy may run out of learning opportunities at an LCOE significantly above current wholesale energy prices if its initial commercial LCOE is €400/MWh or more. Given our optimistic learning rate (15%), this may call into question the long-term feasibility of relying on incremental cost reductions to achieve cost competitiveness for the wave energy sector. This suggests that step-change innovation may greatly improve the prospects of wave energy meeting cost parity with current wholesale prices.
Figure 11 shows how the annual investment varies with time for different starting LCOE values. The faster rate of deployment (shown as the dotted series) results in the same learning investment for each L C O E c distributed over a shorter period. The investment in these scenarios is highly back loaded. In the base case scenario (dark blue line in Figure 11), where L C O E c = €400/MWh, the peak annual investment of €32bn is met in year 40 of subsidised deployment.

4.2. Pathway 2—Deployment with Step-Change Cost Reductions

The following results include the impact of running a focused innovation programme resulting in a sector-wide step-change cost reduction. The pathway 1 scenarios use the same base assumptions as above (see Table 1). The base case used for the step-change cost reduction considers an investment of €50M in funding over 10 years, which results in a step-change LCOE reduction of 25% and a transition period of 5 years for sector diffusion of the new technology (as shown in Table 2).
Several cost reduction scenarios for pathways 1, 2a and 2b are presented in Figure 12. These show both the base case (30%/year) and an aggressive (60%/year) increase in cumulative deployed capacity. In all cases, the experience curve is only extrapolated after C D C c (100 MW) is met. For comparison, the European Commission’s 2030 SET-plan target for wave energy is shown in light blue [58]. It can be seen from Figure 12 that the pathway 2a scenarios take longer to reach cost parity than pathway 1 unless there is a significant step-change cost reduction in a short timescale. In pathway 2a scenarios, the required capacity of subsidised deployment reduces with increasing step-change cost reduction but is independent of deployment rate. Subsidising deployment in parallel with running the innovation programme (pathway 2b) reduces the overall time taken to reach cost parity, provided accumulated experience is transferred from the incumbent to the novel technology. Using our input values, the SET-plan target is only met in the 30%/year deployment scenario where a 50% step-change cost reduction is achieved in 5 years in parallel with deployment (pathway 2b). In the 60%/year deployment scenarios, the SET plan target is met with either a 25% or 50% step-change cost reduction (achieved in 5 years) in parallel with deployment (pathway 2b).
The total learning investment in all scenarios is highly sensitive to the level of step-change cost reduction. Figure 13 shows that even a 10% step-change cost reduction can reduce the total learning investment required by over a third, and a 50% step-change can reduce this by ~90%. For scenarios on pathway 2b, higher rates of deployment increase the learning investment, as more deployed capacity is subsidised before the step-change cost reduction transition period. Additionally, in scenarios on pathway 2b, the transition period duration and the time taken for the innovation programme also affect the total investment, although to a lesser degree. In most scenarios, the relative difference in total learning investment between pathways 2a and 2b is limited. However, if accumulated learning is not fully transferable between technology variants (which is probable in reality) the relative benefits of delaying deployment (pathway 2a) compared to parallel deployment (pathway 2b) on learning investment would be increased, and the relative penalty on timescale would be reduced.
Figure 14 shows the sensitivity of the overall investment (revenue support plus innovation programmes) to the other parameters in pathway 2b scenarios. Within our sensitivity range, the time taken to run the step-change innovation programme (5–15 y) and transition period (0–15 y) to the new technology have the greatest relative impact on overall investment, especially in the larger step-change or faster deployment scenarios. Within the sensitivity range (€25–800M), the amount spent on innovation programme(s) has a limited impact on the overall investment. Effectively, the cost of successful innovation programmes (within the sensitivity range) is minimal compared to the offset revenue support.

4.3. Discussion of Results

While the outputs of the modelling are dependent on the input parameters for the specific scenarios chosen, there are generic results that are more widely applicable. Within the incremental cost reduction results:
  • Attractive learning investment scenarios can only be achieved with a (relatively) low starting LCOE and high learning rate. Poor performance in either of these parameters can result in unfeasibly high learning investment to reach cost parity.
  • Given the base assumptions, at current commercial LCOE estimates (~€400/MWh), wave energy may not be able to achieve current WMP through incremental learning effects alone. This is due to potential resource constraints (in combination with unattractively high levels of learning investment).
  • Assuming a consistent exponential deployment, the learning investment is heavily back loaded in all the scenarios. In the 30%/y deployment scenarios, peak annual learning investment occurs several decades after the initial deployments.
Additionally, when step-change cost reduction is integrated:
  • Even in scenarios with the smallest step-change cost reduction through radical innovation, a significant reduction is made to the learning investment to reach the target LCOE (€50/MWh). Even within a wide sensitivity range this offsets the estimated costs associated with running technology innovation programmes.
  • In most scenarios, delaying deployment until after innovation programmes are complete reduces learning investment by a relatively small amount. However, this is contingent on perfect knowledge transfer between the incumbent technology and the novel variant (see Section 3.1.1). Therefore, a larger relative difference in learning investment between pathway 2a and 2b scenarios would be expected in reality.
  • In the stated scenarios, the time associated with step-change innovations development, and transfer period, has far less bearing on the learning investment than the level of step-change cost reduction achieved. This, however, is also contingent on the transferability of accumulated experience. Therefore, a smaller relative difference in timescale between pathway 2a and 2b scenarios would be expected in reality.
An important message is that the learning investment figures presented in this study represent values for the entire wave energy sector. While the scenarios present both ‘optimal’ and relatively optimistic levels of investment given the baseline model parameters (Learning rate from incremental cost reduction is 15% and perfect transfer of experience between technology variants is assumed. Additionally, sector commercialisation at 100 MW is assumed), in practice this learning investment would be shared around several countries that introduced deployment policies for wave energy. Currently, eight EU member states include ocean energy in their National Renewable Energy Action Plans [59]. If we consider the example of a pathway 2a scenario with a 25% step-change cost reduction, this gives a total learning investment of ~€200bn, and peak annual investment of <€10bn/y. Shared around 10 or so countries this could present a far more manageable investment scenario for individual policy makers. For context, Germany alone spent €82bn subsidising deployment of 45 GW of solar PV from 2000–2018 [60] which represented under 10% of 2018 global installed capacity [61]. Additionally, the UK spent €2.8bn on nuclear decommissioning in 2019 [62]. Therefore, while probably unappealing for an individual funder, a total learning investment in the low hundreds of €bn could still be within the range of ‘attractive investment scenarios’ for the wave energy sector.

5. Discussion and Policy Implications

The model results highlight the importance of achieving a combination of high and sustained learning rates with step-change cost reductions, to realise attractive investment scenarios for deployment of RETs. Both incremental and radical innovation are influenced by government policy. The following section will discuss this, along with other significant implications of the modelling.

5.1. Radical Innovation

The results presented in this study underline the value of supporting the search for radical innovations in developing RET. In many of the wave energy scenarios shown, the inclusion or absence of step-change cost reductions has the potential to make or break the sector’s ability to meet the target LCOE at an attractive learning investment. Relying on cost reductions, through incremental learning effects, may not enable wave energy to meet cost parity. This highlights the dangers of preemptively shifting policy focus from experimental R&D to demonstration and deployment. This is particularly true of sectors, such as wave energy, that have yet to achieve a strong level of design convergence [63]. A deployment-centric approach could favour commercialisation of more mature devices, while neglecting novel, less-developed options that have the potential to offer step-change cost reductions. Therefore, ensuring that policy supports the development of a variety of technologies (including less developed high-risk novel technologies) is important to widen the opportunity for step-change technology innovations to emerge.
While a stage-gate programme was used to develop scenarios for this study, it is just one of a several options for funding radical innovation, not all limited to pure technology push. The US Department of Energy’s Wave Energy Prize is an example of radical concept creation being supported through a mixture of grants (push) and prizes (pull). This programme was considered a success in fostering innovative prototype designs, resulting in four teams meeting the pre-defined energy capture and economic performance benchmark and the winning team surpassing the target by a factor of 5 [64].
A successful innovation framework also requires policy that supports a feedstock of novel concepts that can be developed into radical innovations. This concept creation may originate in blue skies R&D in public research institutions and universities, or may be the effect of technology transfer. The Umbra Group Electromechanical generator is an example of technology transfer from aerospace to the wave energy sector [65]. This technology transfer was enabled through targeted technology push funding through Wave Energy Scotland’s structured innovation programme and Horizon 2020 grants.
A final point is that radical innovations are riskier to develop than incremental ones. A large number of novel technology concepts may need to be funded at early stages to identify the most promising innovations for a RET sector. The impacts of these innovations may then only be realised over long timescales. As there is inherent uncertainty in the process of developing radical innovations, there is no guarantee that an innovation programme will result in a step-change cost reduction for the sector. However, even if individual projects and programmes have low success rates, the potential future learning investment avoided by step-change innovation may outweigh these uncertainties. Additionally, if mechanisms promoting knowledge capture and sharing from unsuccessful projects and programmes are put in place, these projects and programmes can still present value to a sector. In short, it is important that RET policy makers do not prioritise avoiding short-term costs at the expense of long-term benefits.

5.2. Faster Learning

The importance of sustained high LRs is shown by the sensitivity of learning investment to LR values. As discussed in the Background section, many learning effects contribute to an aggregated single factor learning rate (SFLR). Other studies [4,41,66] have attempted to attribute cost reductions in more mature RET sectors to discrete learning effects. However, given the immaturity of the wave energy sector, the relative importance of these different sources of incremental cost reduction is unclear. Therefore, these policy recommendations deal with general policy considerations that have aided incremental cost reduction in other forms of RET, and that will likely be applicable to the wave energy sector.
Systems level approaches have highlighted important factors that promote learning for RETs. For instance, Smit et al. [67] found that the factors of knowledge sharing between developers, knowledge institutes and related industrial sectors, along with setting long-term objectives, have helped remove barriers to learning in the Danish offshore wind sector. This highlights the importance of policy that promotes knowledge sharing (e.g., labour mobility, national and international collaboration programs) to promote higher levels of sector-wide learning for each additional unit of installed capacity.
Sufficient incentive to reduce costs is also important in achieving sustained high learning rates. Revenue support that is either unstable [34] or over-generous [30], may have caused experience curve stagnation in wind energy development. In addition, pressure to reduce costs can reduce the opportunity for a manufacturer with a high market share to fix prices [13,30]. Potential policy options to provide this ‘incentive to innovate’ include digressing support tariffs (as demonstrated in German Feed in Tariffs [25] and proposed by the Marine Energy Council [68]) or introducing competitive tendering between separate sectors of RET based on their maturity (as demonstrated in CfD round 1 [69]). These support mechanisms should be stable over long time periods to provide private industry with the confidence to invest in a sector’s long-term development.
Changes in the cost of capital also affect the rate of progress in LCOE reduction. This is essentially a risk premium charged by lenders or equity takers that comes from both technology risks (e.g., technology reliability) and financial risks (e.g., market-level aspects, including uncertainties in long-term political commitments to RET funding, and macroeconomic stability) [70].
Policy intervention to reduce technology risks could include certification to ensure levels of performance/reliability, demonstrated successfully in the development of the Danish wind sector [71,72]. Financial risks can be reduced through policy signals from Government, including commitment to stable long-term support, targets and sector roadmaps [50].
While this study has focussed on the role of public R&D in radical innovation, other forms of public R&D are more likely to assist in incremental cost reductions (e.g., subsidising private R&D efforts) [19]. Public funding for R&D, therefore, plays a role in both radical innovation and ongoing incremental cost reductions, especially as more mature RET sectors (such as solar PV and onshore Wind) have been seen to invest low proportions of revenue in R&D [73,74].

5.3. Other Implications

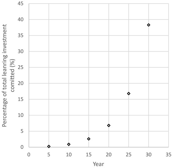
In the modelling scenarios, the distribution of learning investment is highly back loaded. This is due to the increasingly high levels of deployment as the LCOE approaches cost parity. Figure 15 shows that (in pathway 1 base case), even after 20 years of deployment, under 7% of the learning investment to achieve cost parity has been committed. This could suggest that, even after several years of deployment and significant sunk costs in learning investment, abandoning a technology on a poor cost reduction trajectory may be beneficial, rather than attempting to buy it down the experience curve.
This creates a compelling argument for governments to support the development of a large portfolio of RETs, especially at nascent stages when the key components that determine learning investment have high levels of uncertainty. If technologies are developed and deployed in parallel, this would more easily facilitate abandonment of technologies on poor cost reduction trajectories, while keeping options available for low carbon energy sources to maintain energy supply.

5.4. Limitations of the Study and Further Work

There are several limitations common to experience curve analysis when used to extrapolate cost reductions (reviewed by Yeh and Rubin [49]). The key source of uncertainty for this study is the immaturity of the wave energy sector, and the corresponding lack of deployment and cost data to determine the experience curve parameters. The assumptions for costs, deployment, and learning rates used to build the scenarios are based on wave energy forecasting reports and analogous technologies, all of which contain significant uncertainty. As demonstrated in the sensitivity analysis even small changes in these assumptions can have large effects on the learning investment and deployment to reach competitive costs. Therefore, the assumptions for nascent technologies (such as wave energy) should be updated as more cost and deployment data become available to re-assess the learning investment.
Uncertainties also exist in the integration of step-change innovation in the modelling. It is assumed that learning can be perfectly transferred to the new technology (as discussed in Section 3.2.1). Additionally, the magnitude of the LCOE reduction through step-change innovation is based on estimates from wave energy funders and published guidance for the wave energy sector, however these are yet to be born out with evidence. Innovation programmes in the wave energy sector may not be as successful as anticipated, resulting in lower levels of cost reduction. Evaluation of a range of possible success rates and a range of possible cost reduction outcomes of innovation programmes, which could be included in this type of modelling, would be a valuable avenue of further work.

6. Conclusions

This work presents a method of performing learning investment analysis for renewable energy technologies. Two different types of scenario are considered: (i) where cost reduction is derived from incremental learning effects, and (ii) a hybrid model which includes effects of step-change cost reductions arising from radical innovation. Learning investment analysis is inherently uncertain when applied to nascent RETs. It can, however, provide insights into the conditions required to meet an attractive level of investment for a sector’s development. In more mature RETs, it can be used to estimate the cost of riding down the experience curve towards a target LCOE. This can inform policy makers about the affordability of a technology’s cost reduction pathway.
While this work considered wave energy due to its significant untapped potential, the modelling process is applicable to RETs more widely. This study shows that without step-change innovation the investment and deployment associated with achieving cost competitive wave energy may be unfeasible. The baseline scenario considered in this study, which only considers incremental cost reductions, results in a learning investment of over €650bn to reach cost competitiveness. This is a potentially unappealing prospect for the wave energy sector. However, even modest step-change innovation, or accelerated learning rates, provide many scenarios with learning investment values in the low hundreds of €bn or less. A decision to invest public money in a RET such as wave energy is not straightforward, and needs to also take account of the considerable non-market benefits (e.g., low carbon electricity alongside the social, economic, environmental and energy security effects). These important social benefits are not fully reflected in the market price of electricity. It is also important to recognise that the learning investment associated with developing wave energy would be spread across a number of countries. Assuming around 10 countries support the deployment of wave energy in parallel, the national levels of learning investment could easily be in tens rather than hundreds of €bn, spread over multiple decades. This is comparable to the learning investment values observed in other—now mature—technologies such as solar PV.
The exploration of these scenarios highlights the importance of good policy making in relation to learning investment. Fundamentally, experience curves are a very abstracted way of looking at technology progress, and without an understanding of the underlying causal factors, they provide little in the way of insight for policy makers. There are understood links between policy and the factors that determine learning investment. Whilst these links are subject to significant uncertainties, they can give a policy maker an idea of the levers available to induce step-change reductions in LCOE or enhance learning effects.
This study has shown that step-change cost reductions may be required for the long term success of the wave energy sector. These step-change cost reductions can be facilitated through policy that supports the development of radical innovations. Stage-gated innovation programmes were used as an example in this study, however, other options (such as competitive grants or prizes) are available to policy makers. Supporting a wide variety of technologies, some of which are deemed too novel or risky for the private sector, is important in order to avoid technology lock-in to a sub-optimal incumbent technology. Taking a portfolio approach like this would develop the greatest pool of novel concepts with the potential to become step-change innovations, especially as the wave energy sector is still far from design convergence [63], with little evidence of an optimal design (or designs) having emerged. In addition, the earlier that step-change innovations can be introduced in a technology’s development, the greater the savings in subsequent publicly-funded revenue support. Therefore, policies that target and enable further experimentation that could lead to step-change innovation, rather than large-scale deployment of current technologies, should be a priority for the sector.
Policies that facilitate ‘fast learning’ are also required for efficient long-term cost reduction. Supporting ongoing R&D for existing technologies alongside deployment (learning by doing) has been a key driver of high learning rates in mature RET sectors. Knowledge sharing through consortia, knowledge networks, etc. will allow faster industry-wide accumulation of experience. Knowledge sharing between more mature sectors (e.g., offshore wind) and nascent sectors (e.g., wave energy) will also accelerate this accumulation of experience. Alongside this, providing a persistent ‘incentive to innovate’ is key to sustained cost reductions. This emphasises the importance of long-term sector targets and revenue-support mechanisms that are stable, but not over-generous.
This work highlights that the success of the wave energy sector will likely rely on both step-change cost reduction and achieving at least moderate learning rates. This means policy that addresses both step-change and incremental innovation will be important for the sector’s long term success, and while step-change innovation may be the initial priority neither can be neglected.

Author Contributions

Conceptualization, P.K., D.R.N., J.H. and H.J.; methodology, P.K. and D.R.N.; software, P.K. and D.R.N.; validation, P.K. and D.R.N.; formal analysis, P.K. and D.R.N.; writing—original draft preparation, P.K.; writing—review and editing, D.R.N., J.H. and H.J.; visualization, P.K. and D.R.N.; supervision, D.R.N., J.H. and H.J.; funding acquisition, J.H. and H.J. All authors have read and agreed to the published version of the manuscript.

Funding

This work was jointly funded by The Energy Technology Partnership, the University of Edinburgh, and Wave Energy Scotland under the ETP Energy Industry Doctorate Programme. This work was additionally supported by European Union’s Horizon 2020 research and innovation programme under grant agreement No 785921, project DTOceanPlus (Advanced Design Tools for Ocean Energy Systems Innovation, Development and Deployment).

Institutional Review Board Statement

Not applicable.

Informed Consent Statement

Not applicable.

Data Availability Statement

Not applicable.

Acknowledgments

The authors would also like to thank Anna Garcia Teruel, Maria Vanegas Cantarero, and Shona Pennock for their valuable input on the modelling and draft manuscript.

Conflicts of Interest

The authors declare no conflict of interest.

Abbreviations

The following abbreviations are used in this manuscript:
CAPEXCapital Expenditure
CDCCumulative deployed capacity
c f Capacity factor
d r Private discount rate
d r s Social discount rate
LRLearning rate
OPEXOperational Expenditure
QProduction quantity
R C I Percentage increase in cumulative deployed capacity per year
RD&DResearch, development, and demonstration
RDD&DResearch, development, demonstration, and deployment
RETRenewable energy technology
SFLRSingle Factor Learning Rate
tTime (years)
TRLTechnology Readiness Level
T S P Duration of revenue support
WECWave energy converter
WMPWholesale market price

References

  1. IEA. Good Practice Policy Framework for Energy Technology Research Development and Demonstration (RD&D); Technical Report; IEA: Paris, France, 2011. [Google Scholar]
  2. Albrecht, J.; Laleman, R.; Vulsteke, E. Balancing demand-pull and supply-push measures to support renewable electricity in Europe. Renew. Sustain. Energy Rev. 2015, 49, 267–277. [Google Scholar] [CrossRef]
  3. BEIS. Consumer-Funded Policies Report; Technical Report; Department for Business, Energy & Industrial Strategy: London, UK, 2016.
  4. IEA. Energy Technology Perspectives 2020; Technical Report; IEA: Paris, France, 2020. [Google Scholar] [CrossRef]
  5. IPCC. Global Warming of 1.5 °C. An IPCC Special Report on the Impacts of Global Warming of 1.5 °C above Pre-Industrial Levels and Related Global Greenhouse Gas Emission Pathways, in the Context of Strengthening the Global Response to the Threat of Climate Change; Technical Report; IPCC: Geneva, Switzerland, 2018. [Google Scholar]
  6. Gunn, K.; Stock-Williams, C. Quantifying the global wave power resource. Renew. Energy 2012, 44, 296–304. [Google Scholar] [CrossRef]
  7. Astariz, S.; Perez-Collazo, C.; Abanades, J.; Iglesias, G. Co-located wave-wind farms: Economic assessment as a function of layout. Renew. Energy 2015, 83, 837–849. [Google Scholar] [CrossRef]
  8. Stavins, R.N. Carbon-Pricing and Technology R&D Initiatives: Both Are Necessary, but Neither Is Sufficient; Grist Magazine, Inc.: Seattle, WA, USA, 2010. [Google Scholar]
  9. Jaffe, A.B.; Newell, R.G.; Stavins, R.N. A tale of two market failures: Technology and environmental policy. Ecol. Econ. 2005, 54, 164–174. [Google Scholar] [CrossRef]
  10. Gross, R.; Hanna, R.; Gambhir, A.; Heptonstall, P.; Speirs, J. How long does innovation and commercialisation in the energy sectors take? Historical case studies of the timescale from invention to widespread commercialisation in energy supply and end use technology. Energy Policy 2018, 123, 682–699. [Google Scholar] [CrossRef]
  11. Weber, J. WEC Technology Readiness and Performance Matrix—Finding the best research technology development trajectory. In Proceedings of the 4th International Conference on Ocean Energy, Dublin, Ireland, 17–19 October 2012. [Google Scholar]
  12. Jamasb, T. Technical Change Theory and Learning Curves: Patterns of Progress in Electricity Generation Technologies. Energy J. 2007, 28, 51–71. [Google Scholar] [CrossRef]
  13. IEA. Experience Curves for Energy Technology Policy; Technical Report; IEA: Paris, France, 2000. [Google Scholar] [CrossRef]
  14. Linton, J.D.; Walsh, S.T. Integrating innovation and learning curve theory: An enabler for moving nanotechnologies and other emerging process technologies into production. R D Manag. 2004, 34, 517–526. [Google Scholar] [CrossRef]
  15. Carbon Trust. Future Marine Energy; Technical Report; Carbon Trust: London, UK, 2006. [Google Scholar]
  16. The Carbon Trust. Accelerating Marine Energy—The Potential for Cost Reduction—Insights from the Carbon Trust Marine Energy Accelerator; Technical Report; The Carbon Trust: London, UK, 2011. [Google Scholar]
  17. Mukora, A.; Winksel, M.; Jeffrey, H.F.; Mueller, M. Learning curves for emerging energy technologies. Proc. Inst. Civ. Eng. Energy 2009, 162, 151–159. [Google Scholar] [CrossRef]
  18. MacGillivray, A.; Jeffrey, H.; Winskel, M.; Bryden, I. Innovation and cost reduction for marine renewable energy: A learning investment sensitivity analysis. Technol. Forecast. Soc. Chang. 2013, 87, 108–124. [Google Scholar] [CrossRef]
  19. Shayegh, S.; Sanchez, D.L.; Caldeira, K. Evaluating relative benefits of different types of R&D for clean energy technologies. Energy Policy 2017, 107, 532–538. [Google Scholar] [CrossRef]
  20. Fri, R.W. The Role of Knowledge: Technological Innovation in the Energy System. Energy J. 2003, 24, 51–74. [Google Scholar] [CrossRef]
  21. Wilson, C.; Grubler, A. Energy Technology Innovation. In Energy Technology Innovation: Learning from Historical Successes and Failures; Cambridge University Press: Cambridge, UK, 2013; Chapter 1; pp. 3–10. [Google Scholar] [CrossRef]
  22. IEA. Technology Innovation to Accelerate Energy Transitions; Technical Report; IEA: Paris, France, 2019. [Google Scholar] [CrossRef]
  23. Winskel, M.; Markusson, N.; Jeffrey, H.; Candelise, C.; Dutton, G.; Howarth, P.; Jablonski, S.; Kalyvas, C.; Ward, D. Learning pathways for energy supply technologies: Bridging between innovation studies and learning rates. Technol. Forecast. Soc. Chang. 2014, 81, 96–114. [Google Scholar] [CrossRef]
  24. OECD. Emerging Technologies & Firm Dynamics: The Implications of Green Growth; Technical Report; OECD: Paris, France, 2015. [Google Scholar]
  25. Stern, N. Accelerating Technological Innovation. In The Economics of Climate Change, 6th ed.; Cambridge University Press: Cambridge, UK, 2006; Chapter 16; pp. 393–426. [Google Scholar] [CrossRef]
  26. Neij, L.; Andersen, P.D.; Durstewitz, M.; Helby, P.; Hoppe-kilpper, M.; Morthorst, P.E.; Larsen, H.V. Experience Curves: A Tool for Energy Policy Assessment (EXTOOL); Technical Report 5; Lund University: Lund, Sweden, 2003. [Google Scholar] [CrossRef]
  27. Rubin, E.S.; Azevedo, I.M.; Jaramillo, P.; Yeh, S. A review of learning rates for electricity supply technologies. Energy Policy 2015, 86, 198–218. [Google Scholar] [CrossRef]
  28. Smart, G.; Noonan, M. Tidal Stream and Wave Energy Cost Reduction and Industrial Benefit: Summary Analysis; Technical Report; Offshore Renewable Energy Catapult: Glasgow, UK, 2018. [Google Scholar]
  29. Previsic, M.; Chozas, J. International Levelised Cost Of Energy for Ocean Energy Technologies; Ocean Energy Systems: Paris, France, 2015; pp. 1–48. [Google Scholar] [CrossRef]
  30. Junginger, M.; Faaij, A.; Turkenburg, W. Global experience curves for wind farms. Energy Policy 2005, 33, 133–150. [Google Scholar] [CrossRef]
  31. Martinsen, T. Technology learning in a small open economy-The systems, modelling and exploiting the learning effect. Energy Policy 2011, 39, 2361–2372. [Google Scholar] [CrossRef]
  32. Charles, J.; Anadon, L.D.; Narayanamurti, V. Encouraging Private Sector Energy Technology Innovation and Public–Private Cooperation; Cambridge University Press: New York, NY, USA, 2014; pp. 125–168. [Google Scholar] [CrossRef]
  33. Marklund, G. Critical dimensions of innovation policy: Channenges for Sweden and the EU. In The Innovation Imperative: National Innovation Strategies in a Global Economy, 1st ed.; Marklund, G., Vonortas, N.S., Wessner, C.W., Eds.; Edward Elgar Publishing: Cheltenam, UK, 2009; Chapter 11; pp. 190–216. [Google Scholar]
  34. Nemet, G.F. Demand-pull, technology-push, and government-led incentives for non-incremental technical change. Res. Policy 2009, 38, 700–709. [Google Scholar] [CrossRef]
  35. Wene, C.O. Energy Technology Learning Through Deployment in Competitive Markets. Eng. Econ. 2008, 53, 340–364. [Google Scholar] [CrossRef]
  36. Fleming, L.; Greene, H.; Li, G.; Marx, M.; Yao, D. Government-funded research increasingly fuels innovation. Science 2019, 364, 1139–1141. [Google Scholar] [CrossRef] [PubMed]
  37. Watanabe, C.; Wakabayashi, K.; Miyazawa, T. Industrial dynamism and the creation of a “virtuous cycle” between R&D, market growth and price reduction. Technovation 2000, 20, 299–312. [Google Scholar] [CrossRef]
  38. Arrow, K.J. Economic Welfare and the Allocation of Resources for Invention; Technical Report; National Bureau of Economic Research, Inc.: Cambridge, MA, USA, 1962. [Google Scholar]
  39. Norberg-Bohm, V. The Role of Government in Energy Technology Innovation: Insights for Government Policy in the Energy Sector; Belfer Center for Science and International Affairs John F. Kennedy School of Government: Cambridge, MA, USA, 2002. [Google Scholar]
  40. Hanna, R.; Gross, R.; Speirs, J.; Gambhir, A. Innovation Timelines from Invention to Maturity: A Rapid Review of the Evidence on the Time Taken for New Technologies to Reach Widespread Commercialisation; UKERC: London, UK, 2015; p. 90. [Google Scholar] [CrossRef]
  41. Nemet, G.F. Beyond the learning curve: Factors influencing cost reductions in photovoltaics. Energy Policy 2006, 34, 3218–3232. [Google Scholar] [CrossRef]
  42. Andersson, J.; Perez Vico, E.; Hammar, L.; Sandén, B.A. The critical role of informed political direction for advancing technology: The case of Swedish marine energy. Energy Policy 2017, 101, 52–64. [Google Scholar] [CrossRef]
  43. Wilson, C.; Grubler, A. Policies for Energy Technology Innovation; Cambridge University Press: Cambridge, UK, 2013; Chapter 25; pp. 371–386. [Google Scholar] [CrossRef]
  44. IEA. Deploying Renewables 2011: Best and Future Policy Practice; Technical Report; IEA: Paris, France, 2011. [Google Scholar]
  45. Louwen, A.; Lacerda, J.S. The Experience Curve: Concept, History, Methods, and Issues; Elsevier Inc.: Cambridge, MA, USA, 2020; pp. 9–31. [Google Scholar] [CrossRef]
  46. REN21. Renewables 2018, Global Status Report; Technical Report; REN21: Paris, France, 2018. [Google Scholar]
  47. Ocean Energy Europe. Ocean Energy Key Trends and Statistics 2018; Technical Report; Ocean Energy Europe: Brussels, Belgium, 2018. [Google Scholar]
  48. IRENA. Ocean Energy: Technologies, Patents, Deployment Status and Outlook; Technical Report; IRENA: Abu Dhabi, United Arab Emirates, 2014. [Google Scholar]
  49. Yeh, S.; Rubin, E.S. A review of uncertainties in technology experience curves. Energy Econ. 2012, 34, 762–771. [Google Scholar] [CrossRef]
  50. ETIP Ocean. Powering Homes Today, Powering Nations Tomorrow; Technical Report; Ocean Energy Europe: Brussels, Belgium, 2019. [Google Scholar]
  51. Wave Energy Scotland. Programmes; Wave Energy Scotland: Inverness, UK, 2021. [Google Scholar]
  52. European Comission. European Commission: CORDIS: Projects and Results: Home. 2020. Available online: https://cordis.europa.eu/projects/en (accessed on 4 December 2020).
  53. Holmes, B.; Nielsen, K. Report T02-2.1 Guidelines for the Development & Testing of Wave Energy Systems, OES-IA Annex II Task 2.1; IEA: Paris, France, 2010. [Google Scholar]
  54. ETIP Ocean. Strategic Research and Innovation Agenda for Ocean Energy; Technical Report; Ocean Energy Systems: Brussels, Belgium, 2020. [Google Scholar]
  55. Holland, M.; Bannon, E. Novel Wave Energy Converter—Stage 1 Novel Wave Energy Converter Competition Specification and Guidance Document; Technical Report; Wave Energy Scotland: Inverness, UK, 2015. [Google Scholar]
  56. Low Carbon Innovation Coordination Group. Technology Innovation Needs Assessment (TINA): Marine Energy Summary Report; Technical Report; UK Government: London, UK, 2012.
  57. HM Treasury. The Green Book: Central Government Guidance on Appraisal and Evaluation; HM Treasury: London, UK, 2018.
  58. European Commission. SET Plan—Declaration of Intent on Strategic Targets in the context of an Initiative for Global Leadership in Ocean Energy; Technical Report; European Commission: Brussels, Belgium, 2016. [Google Scholar]
  59. Magagna, D. Ocean Energy Technology Development Report; Technical Report; Publications Office of the EU: Luxembourg, 2019. [Google Scholar] [CrossRef]
  60. Fraunhofer ISE. Recent Facts about Photovoltaics in Germany; Technical Report; Fraunhofer ISE: Breisgau, Germany, 2020. [Google Scholar]
  61. IRENA. Renewable Energy Capacity Statistics 2019; Technical Report; IRENA: Abu Dhabi, United Arab Emirates, 2019. [Google Scholar]
  62. BEIS. Annual Report and Accounts; Technical Report; Department for Business, Energy & Industrial Strategy: London, UK, 2019.
  63. Hannon, M.; Diemen, R.; Skea, J. Examining the Effectiveness of Support for UK Wave Energy Innovation since 2000. Lost at Sea or a New Wave of Innovation? Technical Report 2; International Public Policy Institute: Glasgow, UK, 2017. [Google Scholar] [CrossRef]
  64. U.S. Department of Energy. About the Wave Energy Prize; Department of Energy: Washington, DC, USA, 2020.
  65. Umbra Group. IMAGINE Umbra: The Project; Umbra Group: Foligno, Italy, 2018. [Google Scholar]
  66. Elia, A.; Taylor, M.; Ó Gallachóir, B.; Rogan, F. Wind turbine cost reduction: A detailed bottom-up analysis of innovation drivers. Energy Policy 2020, 147, 111912. [Google Scholar] [CrossRef]
  67. Smit, T.; Junginger, M.; Smits, R. Technological learning in offshore wind energy: Different roles of the government. Energy Policy 2007, 35, 6431–6444. [Google Scholar] [CrossRef]
  68. Marine Energy Council. UK Marine Energy 2019—A New Industry; Technical Report 1; Scottish Renewables: Glasgow, UK, 2019. [Google Scholar]
  69. DECC. Budget Notice for CFD Allocation Round 1; Department of Energy and Climate Change: London, UK, 2014.
  70. Steffen, B. Estimating the cost of capital for renewable energy projects. Energy Econ. 2020, 88, 104783. [Google Scholar] [CrossRef]
  71. Neij, L.; Andersen, P.D. A Comparative Assessment of Wind Turbine Innovation and Diffusion Policies. In Energy Technology Innovation: Learning from Historical Successes and Failures; Cambridge University Press: Cambridge, UK, 2013; Chapter 16; pp. 221–230. [Google Scholar] [CrossRef]
  72. IRENA; GWEC. 30 Years of Policies for Wind Energy: Lessons from 12 Markets (2013 Edition); Technical Report; International Renewable Energy Agency: Abu Dhabi, United Arab Emirates, 2013. [Google Scholar]
  73. Laleman, R.; Albrecht, J. Comparing push and pull measures for PV and wind in Europe. Renew. Energy 2014, 61, 33–37. [Google Scholar] [CrossRef]
  74. IEA. Global Gaps in Clean Energy RD&D; Technical Report; IEA: Paris, France, 2010. [Google Scholar]
Figure 1. The ‘Innovation chain’ (adapted from IEA [1]).
Figure 1. The ‘Innovation chain’ (adapted from IEA [1]).
Energies 14 02364 g001
Figure 2. Incremental and radical innovation adapted from [33].
Figure 2. Incremental and radical innovation adapted from [33].
Energies 14 02364 g002
Figure 3. The ‘virtuous cycle’ for Renewable Energy Technology (RET) cost reductions based on IEA [13], Watanabe et al. [37], Wene [35]. This shows how increased production can lead to cost reductions from experience in production and industry R&D. Public R&D can either increase ongoing industry R&D through subsidies, etc., or seed the learning process by introducing new technology opportunities to the learning system (highlighted in figure). Government deployment policies (alongside cost reductions) increase RET demand and subsequent production.
Figure 3. The ‘virtuous cycle’ for Renewable Energy Technology (RET) cost reductions based on IEA [13], Watanabe et al. [37], Wene [35]. This shows how increased production can lead to cost reductions from experience in production and industry R&D. Public R&D can either increase ongoing industry R&D through subsidies, etc., or seed the learning process by introducing new technology opportunities to the learning system (highlighted in figure). Government deployment policies (alongside cost reductions) increase RET demand and subsequent production.
Energies 14 02364 g003
Figure 4. Experience curve with transition between technology variants, based on IEA [13]. Solid line shows sector wide cost curve. The technology variants are assumed to have equal learning rates. See text for discussion.
Figure 4. Experience curve with transition between technology variants, based on IEA [13]. Solid line shows sector wide cost curve. The technology variants are assumed to have equal learning rates. See text for discussion.
Energies 14 02364 g004
Figure 5. Relationships between Levelised Cost of Energy (LCOE), cumulative deployed capacity and time in incremental cost reduction model.
Figure 5. Relationships between Levelised Cost of Energy (LCOE), cumulative deployed capacity and time in incremental cost reduction model.
Energies 14 02364 g005
Figure 6. Key parameters and learning investment in the incremental cost reduction model. Circles indicate starting points of the three experience curves, and black diamonds indicate the LCOE target where the calculation ends (equal to the wholesale price in this figure). Shaded areas A and B represent learning investment (subsidy above wholesale price) for the pink experience curve, the pink dashed line represents extrapolation of the experience curve backwards before C D C c
Figure 6. Key parameters and learning investment in the incremental cost reduction model. Circles indicate starting points of the three experience curves, and black diamonds indicate the LCOE target where the calculation ends (equal to the wholesale price in this figure). Shaded areas A and B represent learning investment (subsidy above wholesale price) for the pink experience curve, the pink dashed line represents extrapolation of the experience curve backwards before C D C c
Energies 14 02364 g006
Figure 7. Overall approach of staged subsystem development, integration and demonstration. ‘Feedstock’ of novel concepts is shown in the bottom left of the figure.
Figure 7. Overall approach of staged subsystem development, integration and demonstration. ‘Feedstock’ of novel concepts is shown in the bottom left of the figure.
Energies 14 02364 g007
Figure 8. Sensitivity of total learning investment to the two main inputs, L C O E c and L R . Base case (see Table 1) used for other parameters. Values shown as undiscounted and present value.
Figure 8. Sensitivity of total learning investment to the two main inputs, L C O E c and L R . Base case (see Table 1) used for other parameters. Values shown as undiscounted and present value.
Energies 14 02364 g008
Figure 9. Contours of total investment shown for ranges of learning rate and LCOE ( L C O E c ) at 100MW of cumulative deployed capacity ( C D C c = 100 MW). Left panel shows undiscounted value, right panel shows discounted investment at a 3.5% discount rate and a 30%/y deployment trajectory. Moving down the plot represents a reduction in L C O E c , for example, from pre-deployment innovation. Moving right is an increase in learning rate. Both of these changes reduce the learning investment.
Figure 9. Contours of total investment shown for ranges of learning rate and LCOE ( L C O E c ) at 100MW of cumulative deployed capacity ( C D C c = 100 MW). Left panel shows undiscounted value, right panel shows discounted investment at a 3.5% discount rate and a 30%/y deployment trajectory. Moving down the plot represents a reduction in L C O E c , for example, from pre-deployment innovation. Moving right is an increase in learning rate. Both of these changes reduce the learning investment.
Energies 14 02364 g009
Figure 10. Cumulative installed capacity required to meet cost parity. Resource ranges are between mean extractable resource (based on arrays of Pelamis devices) and theoretical wave resource (estimated global incident coastal wave power resource ( 2.11 ± 0.05 TW (95% CI), estimated global extractable resource using illustrative arrays of Pelamis WECs: 96.6 ± 1.3 GW (95% CI), data from Gunn and Stock-Williams [6]).
Figure 10. Cumulative installed capacity required to meet cost parity. Resource ranges are between mean extractable resource (based on arrays of Pelamis devices) and theoretical wave resource (estimated global incident coastal wave power resource ( 2.11 ± 0.05 TW (95% CI), estimated global extractable resource using illustrative arrays of Pelamis WECs: 96.6 ± 1.3 GW (95% CI), data from Gunn and Stock-Williams [6]).
Energies 14 02364 g010
Figure 11. Annual investment per year for a range of L C O E c (25 €/MWh increments, selected values highlighted). Dotted lines show alternative faster deployment trajectory that results in a higher and earlier peak annual investment, but the same overall total investment. Both sets of lines use the same L C O E c values.
Figure 11. Annual investment per year for a range of L C O E c (25 €/MWh increments, selected values highlighted). Dotted lines show alternative faster deployment trajectory that results in a higher and earlier peak annual investment, but the same overall total investment. Both sets of lines use the same L C O E c values.
Energies 14 02364 g011
Figure 12. Illustrative trajectories of LCOE vs. Time and Cumulative deployed capacity. Dotted lines show the lower experience curve for different technology variants enabled through innovation programmes before the technology has been adopted by the sector. The percentage step-change is the LCOE reduction compared to the deployment-only experience curve once the novel technology has been adopted. Transition period between technology variants is 5 years in all cases shown.
Figure 12. Illustrative trajectories of LCOE vs. Time and Cumulative deployed capacity. Dotted lines show the lower experience curve for different technology variants enabled through innovation programmes before the technology has been adopted by the sector. The percentage step-change is the LCOE reduction compared to the deployment-only experience curve once the novel technology has been adopted. Transition period between technology variants is 5 years in all cases shown.
Energies 14 02364 g012
Figure 13. Total learning investment required for differing scenarios of step-change cost reduction before subsidised deployment.
Figure 13. Total learning investment required for differing scenarios of step-change cost reduction before subsidised deployment.
Energies 14 02364 g013
Figure 14. Sensitivity of the total investment required of the total cost of running the innovation programme(s), the time taken, and the transition time for adoption. Total investment when delaying deployment is independent of programme time, equal to 0 years. Sub-plots show differing amounts of step-change innovation (25% & 50%), noting the y-axis scales are different.
Figure 14. Sensitivity of the total investment required of the total cost of running the innovation programme(s), the time taken, and the transition time for adoption. Total investment when delaying deployment is independent of programme time, equal to 0 years. Sub-plots show differing amounts of step-change innovation (25% & 50%), noting the y-axis scales are different.
Energies 14 02364 g014
Figure 15. The level of learning investment committed at different points in time under the base case incremental (pathway 1) cost reduction scenario.
Figure 15. The level of learning investment committed at different points in time under the base case incremental (pathway 1) cost reduction scenario.
Energies 14 02364 g015
Table 1. Parameters used for pathway 1 (subsidised deployment only) cost reduction scenarios
Table 1. Parameters used for pathway 1 (subsidised deployment only) cost reduction scenarios
VariableSymbolBase CaseUnitDescription
Learning Rate L R 15%LCOE reduction per doubling of capacity [15,29]
Initial capacity C D C 0 25MWCumulative capacity deployed at t = 0 (this is the cumulative global wave energy capacity deployed from 2004 until the end of 2018  [47,48])
Capacity at starting point C D C c 100MWCumulative deployed capacity at experience curve start point in model corresponding to early commercial arrays
LCOE at starting point L C O E c 400€/MWhLCOE at experience curve start point in model [29]
LCOE target L C O E t a r g e t 50€/MWhLCOE when calculation stops
Support Period T S P 20YearsRevenue support mechanism duration
Capacity Increase R C I 30%/yearIncrease in cumulative deployed capacity per year (based on REN 21 data [46])
Capacity factor c f 35%Device average power/rated power
Table 2. Parameters and values used to illustrate impact of step-change innovation.
Table 2. Parameters and values used to illustrate impact of step-change innovation.
ParameterValues Used (Base Case in Bold)
Investment in each step-change innovation programme€25M, €50M, €100M, €200M, €400M or €800M
Time taken to develop step-change innovation5 years, 10 years, or 15 years (noting 5 years is very ambitious)
LCOE reduction resulting from step-change innovation50%, 25%, or 10%
(relative LCOE remaining shown in parentheses)(50%, 75%, or 90%)
Deployment occurs in parallel with technology developmentyes, no
Transition time to adopt innovation across the sectorImmediately, 5 years, 10 years, or 15 years
Publisher’s Note: MDPI stays neutral with regard to jurisdictional claims in published maps and institutional affiliations.

Share and Cite

MDPI and ACS Style

Kerr, P.; Noble, D.R.; Hodges, J.; Jeffrey, H. Implementing Radical Innovation in Renewable Energy Experience Curves. Energies 2021, 14, 2364. https://doi.org/10.3390/en14092364

AMA Style

Kerr P, Noble DR, Hodges J, Jeffrey H. Implementing Radical Innovation in Renewable Energy Experience Curves. Energies. 2021; 14(9):2364. https://doi.org/10.3390/en14092364

Chicago/Turabian Style

Kerr, Paul, Donald R. Noble, Jonathan Hodges, and Henry Jeffrey. 2021. "Implementing Radical Innovation in Renewable Energy Experience Curves" Energies 14, no. 9: 2364. https://doi.org/10.3390/en14092364

APA Style

Kerr, P., Noble, D. R., Hodges, J., & Jeffrey, H. (2021). Implementing Radical Innovation in Renewable Energy Experience Curves. Energies, 14(9), 2364. https://doi.org/10.3390/en14092364

Note that from the first issue of 2016, this journal uses article numbers instead of page numbers. See further details here.

Article Metrics

Back to TopTop