Influence of Water Saturation, Grain Size of Quartz Sand and Hydrate-Former on the Gas Hydrate Formation
Abstract
:1. Introduction
2. Materials and Methods
3. Results
3.1. Granulometric Analysis
3.2. Influence of Water Saturation on the Methane Hydrate Formation
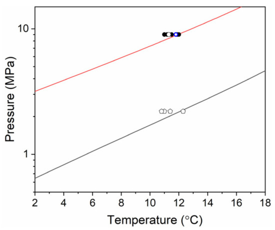
3.3. Influence of Water Saturation on the Formation of Methane-Propane Hydrate
3.4. Influence of the Size of Quartz Sand Particles on the Formation of Methane Hydrates
4. Discussion
Influence of Water Saturation, Grain Size of Quartz Sand and Hydrate-Former on Gas Hydrate Formation
5. Conclusions
Author Contributions
Funding
Institutional Review Board Statement
Informed Consent Statement
Data Availability Statement
Conflicts of Interest
References
- Sloan, E.D.; Koh, C.A. Clathrate Hydrates of Natural Gases, 3rd ed.; CRC Press: Boca Raton, FL, USA; London, UK; New York, NY, USA, 2008. [Google Scholar]
- Kirov, M. Atlas of optimal proton configurations of water clusters in the form of gas hydrate cavities. J. Struct. Chem. 2002, 43, 790–797. [Google Scholar] [CrossRef]
- Manakov, A.Y.; Kosyakov, V.I.; Solodovnikov, S.F. Structural Chemistry of Clathrate Hydrates and Related Compounds. In Comprehensive Supramolecular Chemistry II; JL, A., Ed.; Elsevier: Oxford, UK, 2017; pp. 161–206. [Google Scholar]
- Sloan, E.D. Natural Gas Hydrates in Flow Assurance; Gulf Professional Publishing: Houston, TX, USA, 2010. [Google Scholar]
- Boswell, R.; Collett, T.S. Current perspectives on gas hydrate resources. Energy Environ. Sci. 2011, 4, 1206–1215. [Google Scholar] [CrossRef]
- Mimachi, H.; Takeya, S.; Yoneyama, A.; Hyodo, K.; Takeda, T.; Gotoh, Y.; Murayama, T. Natural gas storage and transportation within gas hydrate of smaller particle: Size dependence of self-preservation phenomenon of natural gas hydrate. Chem. Eng. Sci. 2014, 118, 208–213. [Google Scholar] [CrossRef]
- Babu, P.; Nambiar, A.; He, T.; Karimi, I.A.; Lee, J.D.; Englezos, P.; Linga, P. A Review of Clathrate Hydrate Based Desalination To Strengthen Energy-Water Nexus. ACS Sustain. Chem. Eng. 2018, 6, 8093–8107. [Google Scholar] [CrossRef]
- Misyura, S. Dissociation of various gas hydrates (methane hydrate, double gas hydrates of methane-propane and methane-isopropanol) during combustion: Assessing the combustion efficiency. Energy 2020, 206, 118120. [Google Scholar] [CrossRef]
- Misyura, S. Developing the environmentally friendly technologies of combustion of gas hydrates. Reducing harmful emissions during combustion. Environ. Pollut. 2020, 265, 114871. [Google Scholar] [CrossRef]
- Delahaye, A.; Fournaison, L.; Dalmazzone, D. Use of Hydrates for Cold Storage and Distribution in Refrigeration and Air-Conditioning Applications. In Gas Hydrates 2: Geoscience Issues and Potential Industrial Applications; Wiley: Hoboken, NJ, USA, 2018; pp. 315–358. [Google Scholar] [CrossRef]
- Milkov, A.V. Global estimates of hydrate-bound gas in marine sediments: How much is really out there? Earth Sci. Rev. 2004, 66, 183–197. [Google Scholar] [CrossRef]
- Ruppel, C. Permafrost-Associated Gas Hydrate: Is It Really Approximately 1 % of the Global System? J. Chem. Eng. Data 2015, 60, 429–436. [Google Scholar] [CrossRef]
- Chong, Z.R.; Yang, S.H.B.; Babu, P.; Linga, P.; Li, X.-S. Review of natural gas hydrates as an energy resource: Prospects and challenges. Appl. Energy 2016, 162, 1633–1652. [Google Scholar] [CrossRef]
- Milkov, A.V.; Sassen, R. Economic geology of offshore gas hydrate accumulations and provinces. Mar. Pet. Geol. 2002, 19, 1–11. [Google Scholar] [CrossRef]
- Misyura, S.Y. Non-stationary combustion of natural and artificial methane hydrate at heterogeneous dissociation. Energy 2019, 181, 589–602. [Google Scholar] [CrossRef]
- Cui, Y.; Lu, C.; Wu, M.; Peng, Y.; Yao, Y.; Luo, W. Review of exploration and production technology of natural gas hydrate. Adv. Geo-Energy Res. 2018, 2, 53–62. [Google Scholar] [CrossRef] [Green Version]
- Yang, X.; Sun, C.-Y.; Su, K.-H.; Yuan, Q.; Li, Q.-P.; Chen, G.-J. A three-dimensional study on the formation and dissociation of methane hydrate in porous sediment by depressurization. Energy Convers. Manag. 2012, 56, 1–7. [Google Scholar] [CrossRef]
- Gao, Q.; Yin, Z.; Zhao, J.; Yang, D.; Linga, P. Tuning the fluid production behaviour of hydrate-bearing sediments by multi-stage depressurization. Chem. Eng. J. 2021, 406, 127174. [Google Scholar] [CrossRef]
- Feng, J.-C.; Wang, Y.; Li, X.-S.; Chen, Z.-Y.; Li, G.; Zhang, Y. Investigation into optimization condition of thermal stimulation for hydrate dissociation in the sandy reservoir. Appl. Energy 2015, 154, 995–1003. [Google Scholar] [CrossRef]
- Wu, P.; Li, Y.; Liu, W.; Liu, Y.; Wang, D.; Song, Y. Microstructure evolution of hydrate-bearing sands during thermal dissociation and ensued impacts on the mechanical and seepage characteristics. J. Geophys. Res. Solid Earth 2020, 125, e2019JB019103. [Google Scholar] [CrossRef]
- Sun, Y.-F.; Zhong, J.-R.; Li, W.-Z.; Ma, Y.-M.; Li, R.; Zhu, T.; Ren, L.-L.; Chen, G.-J.; Sun, C.-Y. Methane recovery from hydrate-bearing sediments by the combination of ethylene glycol injection and depressurization. Energy Fuels 2018, 32, 7585–7594. [Google Scholar] [CrossRef]
- Liang, M.; Gushchin, P.; Khlebnikov, V.; Antonov, S.; Mishin, A.; Khamidullina, I.; Likhacheva, N.; Semenov, A.; Vinokurov, V. Methane Recovery from Natural Gas Hydrate via CO 2/CH 4 Injection in the Presence of Methanol Aqueous Solution. Shiyou Huagong Gaodeng Xuexiao Xuebao 2018, 31, 61–66. [Google Scholar]
- Li, G.; Wu, D.; Li, X.; Zhang, Y.; Lv, Q.; Wang, Y. Experimental investigation into the production behavior of methane hydrate under methanol injection in quartz sand. Energy Fuels 2017, 31, 5411–5418. [Google Scholar] [CrossRef]
- Sun, Y.-F.; Wang, Y.-F.; Zhong, J.-R.; Li, W.-Z.; Li, R.; Cao, B.-J.; Kan, J.-Y.; Sun, C.-Y.; Chen, G.-J. Gas hydrate exploitation using CO2/H2 mixture gas by semi-continuous injection-production mode. Appl. Energy 2019, 240, 215–225. [Google Scholar] [CrossRef]
- Xie, Y.; Zhu, Y.-J.; Zheng, T.; Yuan, Q.; Sun, C.-Y.; Yang, L.-Y.; Chen, G.-J. Replacement in CH4-CO2 hydrate below freezing point based on abnormal self-preservation differences of CH4 hydrate. Chem. Eng. J. 2021, 403, 126283. [Google Scholar] [CrossRef]
- Veluswamy, H.P.; Kumar, A.; Seo, Y.; Lee, J.D.; Linga, P. A review of solidified natural gas (SNG) technology for gas storage via clathrate hydrates. Appl. Energy 2018, 216, 262–285. [Google Scholar] [CrossRef]
- Yan, L.; Chen, G.; Pang, W.; Liu, J. Experimental and modeling study on hydrate formation in wet activated carbon. J. Phys. Chem. B 2005, 109, 6025–6030. [Google Scholar] [CrossRef]
- Manakov, A.Y.; Stoporev, A. physical chemistry of gas hydrates and their technological application: State of the art. Russ. Chem. Rev. 2021, 90, 90. [Google Scholar] [CrossRef]
- Oignet, J.; Hoang, H.M.; Osswald, V.; Delahaye, A.; Fournaison, L.; Haberschill, P. Experimental study of convective heat transfer coefficients of CO2 hydrate slurries in a secondary refrigeration loop. Appl. Therm. Eng. 2017, 118, 630–637. [Google Scholar] [CrossRef]
- Misyura, S.Y.; Donskoy, I.G. Ways to improve the efficiency of carbon dioxide utilization and gas hydrate storage at low temperatures. J. CO2 Util. 2019, 34, 313–324. [Google Scholar] [CrossRef]
- Khlebnikov, V.; Antonov, S.; Mishin, A.; Liang, M.; Khamidullina, I.; Zobov, P. The main influence factors of gas hydrate formation in porous media. Nat. Gas Ind. 2017, 5, 38–45. [Google Scholar]
- Liu, H.; Zhan, S.; Guo, P.; Fan, S.; Zhang, S. Understanding the characteristic of methane hydrate equilibrium in materials and its potential application. Chem. Eng. J. 2018, 349, 775–781. [Google Scholar] [CrossRef]
- Li, X.-Y.; Wang, Y.; Li, X.-S.; Zhang, Y.; Chen, Z.-Y. Experimental study of methane hydrate dissociation in porous media with different thermal conductivities. Int. J. Heat Mass Transf. 2019, 144, 118528. [Google Scholar] [CrossRef]
- Bhattacharjee, G.; Kumar, A.; Sakpal, T.; Kumar, R. Carbon dioxide sequestration: Influence of porous media on hydrate formation kinetics. ACS Sustain. Chem. Eng. 2015, 3, 1205–1214. [Google Scholar] [CrossRef]
- Zhang, Y.; Li, X.; Wang, Y.; Chen, Z.; Li, G. Methane hydrate formation in marine sediment from South China Sea with different water saturations. Energies 2017, 10, 561. [Google Scholar] [CrossRef] [Green Version]
- Em, Y.; Stoporev, A.; Semenov, A.; Glotov, A.; Smirnova, E.; Villevald, G.; Vinokurov, V.; Manakov, A.; Lvov, Y. Methane Hydrate Formation in Halloysite Clay Nanotubes. ACS Sustain. Chem. Eng. 2020, 8, 7860–7868. [Google Scholar] [CrossRef]
- Sun, Y.; Jiang, S.; Li, S.; Wang, X.; Peng, S. Hydrate formation from clay bound water for CO2 storage. Chem. Eng. J. 2021, 406, 126872. [Google Scholar] [CrossRef]
- Linga, P.; Daraboina, N.; Ripmeester, J.A.; Englezos, P. Enhanced rate of gas hydrate formation in a fixed bed column filled with sand compared to a stirred vessel. Chem. Eng. Sci. 2012, 68, 617–623. [Google Scholar] [CrossRef]
- Dai, S.; Lee, J.Y.; Santamarina, J.C. Hydrate nucleation in quiescent and dynamic conditions. Fluid Phase Equilibria 2014, 378, 107–112. [Google Scholar] [CrossRef] [Green Version]
- Zhang, L.; Sun, M.; Sun, L.; Yu, T.; Song, Y.; Zhao, J.; Yang, L.; Dong, H. In-situ observation for natural gas hydrate in porous medium: Water performance and formation characteristic. Magn. Reson. Imaging 2020, 65, 166–174. [Google Scholar] [CrossRef]
- Benmesbah, F.D.; Ruffine, L.; Clain, P.; Osswald, V.; Fandino, O.; Fournaison, L.; Delahaye, A. Methane Hydrate Formation and Dissociation in Sand Media: Effect of Water Saturation, Gas Flowrate and Particle Size. Energies 2020, 13, 5200. [Google Scholar] [CrossRef]
- Sun, S.-C.; Liu, C.-L.; Ye, Y.-G.; Liu, Y.-F. Phase behavior of methane hydrate in silica sand. J. Chem. Thermodyn. 2014, 69, 118–124. [Google Scholar] [CrossRef]
- Bagherzadeh, S.A.; Moudrakovski, I.L.; Ripmeester, J.A.; Englezos, P. Magnetic Resonance Imaging of Gas Hydrate Formation in a Bed of Silica Sand Particles. Energy Fuels 2011, 25, 3083–3092. [Google Scholar] [CrossRef]
- Liu, C.; Lu, H.; Ye, Y.; Ripmeester, J.A.; Zhang, X. Raman spectroscopic observations on the structural characteristics and dissociation behavior of methane hydrate synthesized in silica sands with various sizes. Energy Fuels 2008, 22, 3986–3988. [Google Scholar] [CrossRef] [Green Version]
- Pan, Z.; Liu, Z.; Zhang, Z.; Shang, L.; Ma, S. Effect of silica sand size and saturation on methane hydrate formation in the presence of SDS. J. Nat. Gas Sci. Eng. 2018, 56, 266–280. [Google Scholar] [CrossRef]
- Chen, Q.; Liu, C.L.; Ye, Y.G. Differential Scanning Calorimetry Research of Hydrates Phase Equilibrium in Porous Media. Adv. Mater. Res. 2012, 512–515, 2122–2126. [Google Scholar] [CrossRef]
- Xie, Y.; Zheng, T.; Zhong, J.-R.; Zhu, Y.-J.; Wang, Y.-F.; Zhang, Y.; Li, R.; Yuan, Q.; Sun, C.-Y.; Chen, G.-J. Experimental research on self-preservation effect of methane hydrate in porous sediments. Appl. Energy 2020, 268, 115008. [Google Scholar] [CrossRef]
- Dalmazzone, C.; Dalmazzone, D.; Herzhaft, B. Differential scanning calorimetry: a new technique to characterize hydrate formation in drilling muds. In Proceedings of the SPE Annual Technical Conference and Exhibition, Dallas, TX, USA, 1–4 October 2000. [Google Scholar]
- Youssef, S.; Rosenberg, E.; Gland, N.F.; Kenter, J.A.; Skalinski, M.; Vizika, O. High resolution CT and pore-network models to assess petrophysical properties of homogeneous and heterogeneous carbonates. In Proceedings of the SPE/EAGE Reservoir Characterization and Simulation Conference, Abu Dhabi, UAE, 28–31 October 2007. [Google Scholar]
- Maeda, N. Interfacial Nanobubbles and the Memory Effect of Natural Gas Hydrates. J. Phys. Chem. C 2018, 122, 11399–11406. [Google Scholar] [CrossRef]
- Holzammer, C.; Schicks, J.M.; Will, S.; Braeuer, A.S. Influence of Sodium Chloride on the Formation and Dissociation Behavior of CO2 Gas Hydrates. J. Phys. Chem. B 2017, 121, 8330–8337. [Google Scholar] [CrossRef] [Green Version]
- Fukumoto, A.; Kamada, K.; Sato, T.; Oyama, H.; Torii, H.; Kiyono, F.; Nagao, J.; Temma, N.; Narita, H. Numerical simulation of pore-scale formation of methane hydrate in the sand sediment using the phase-field model. J. Nat. Gas Sci. Eng. 2018, 50, 269–281. [Google Scholar] [CrossRef]
- Stoporev, A.S.; Svarovskaya, L.I.; Strelets, L.A.; Altunina, L.K.; Villevald, G.V.; Karpova, T.D.; Rodionova, T.V.; Manakov, A.Y. Nucleation of methane hydrate and ice in emulsions of water in crude oils and decane under non-isothermal conditions. Chin. J. Chem. Eng. 2019, 27, 668–676. [Google Scholar] [CrossRef]
- Qin, J.; Kuhs, W.F. Quantitative analysis of gas hydrates using Raman spectroscopy. AIChE J. 2013, 59, 2155–2167. [Google Scholar] [CrossRef]










| Quartz Sand Fractions | Grain Size by Sieving (μm) | Grain Size by CT/Mean Size (μm) | Mean Pore Size by CT (μm) | Porosity (φ) |
|---|---|---|---|---|
| Small (S) | < 50 | 10–80/43.3 ± 0.5 | 41.5 ± 0.6 | 0.34 |
| Medium (M) | 125–160 | 50–250/162 ± 2 | 208 ± 2 | 0.46 |
| Original unsifted sand (O) | 30–800 | 100–600/460 ± 80 | 320 ± 10 | 0.41 |
| mw/ms | WS | Content of O Sand (Mass%) | ΔHice cryst (J/g) 1 | ΔHice melt (J/g) 1 | Thyd onset (°C) | ΔHhyd form (J/g) 1 | Teq (°C) | ΔHhyd dec (J/g) 1 |
|---|---|---|---|---|---|---|---|---|
| 1:1 | 3.74 | 50.0 | −299 ± 4 | 323 ± 3 | – | – | 11.0 | 16 ± 3 |
| 1:2 | 1.87 | 66.7 | −327 ± 4 | 333 ± 4 | −7.4 ± 0.1 | −2.3 ± 0.1 | 11.5 | 28 ± 3 |
| 1:4 | 0.94 | 80.0 | −317 ± 19 | 306 ± 7 | 0.5 ± 5 | −15.7 ± 0.1 | 12.0 | 68 ± 9 |
| 1:6 | 0.62 | 85.7 | −310 ± 7 | 312 ± 3 | −3 ± 2 | −19 ± 4 | 11.2 | 74 ± 5 |
| 1:8 | 0.47 | 88.9 | −320 ± 23 | 312 ± 3 | 2.3 ± 0.8 | −33 ± 2 | 11.8 | 121 ± 17 |
| 1:10 | 0.37 | 90.9 | −287 ± 41 | 255 ± 5 | −2 ± 2 | −54 ± 13 | 11.3 | 167 ± 2 |
| 1:15 | 0.25 | 93.8 | −329 ± 1 | 275 ± 4 | – | – | 11.8 | 192 ± 15 |
| 1:20 | 0.19 | 95.2 | −219 ± 26 | 206 ± 18 | 5 ± 6 | −99 ± 24 | 11.9 | 212 ± 9 |
| 1:50 | 0.07 | 98.0 | −151 ± 48 | 111 ± 10 | 4 ± 6 | −145 ± 25 | 11.9 | 296 ± 10 |
| 1:100 | 0.04 | 99.0 | −113 ± 30 | 66 ± 17 | 3 ± 5 | −177 ± 32 | 11.9 | 308 ± 14 |
| WS | Content of O Sand (Mass%) | ΔHice cryst (J/g) 1 | ΔHice melt (J/g) 1 | Thyd onset (°C) | ΔHhyd form (J/g) 1 | Teq (°C) | ΔHhyd dec (J/g) 1 |
|---|---|---|---|---|---|---|---|
| 3.74 | 50.0 | 325 ± 3 | 349 ± 3 | – | – | 12.3 | 7.8 ± 0.6 |
| 0.94 | 80.0 | 358 ± 3 2 | 310 ± 7 | −4.9 ± 0.2 | 358 ± 3 2 | 11.0 | 65 ± 11 |
| 0.37 | 90.9 | 408 ± 44 2 | 120 ± 43 | −4.6 ± 0.1 | 408 ± 44 2 | 11.4 | 407 ± 74 |
| 0.04 | 99.0 | – | 6 ± 6 | 0 ± 5 | 470 ± 32 | 10.8 | 449 ± 6 |
| Quartz Sand Fraction | WS | ΔHice cryst (J/g) 1 | ΔHice melt (J/g) 1 | Thyd onset (°C) | ΔHhyd form (J/g) 1 | Teq (°C) | ΔHhyd dec (J/g) 1 |
|---|---|---|---|---|---|---|---|
| S | 0.17 | −145 ± 52 | 148 ± 35 | 1 ± 5 | −318 ± 53 | 11.3 | 459 ± 13 |
| M | 0.10 | – | 5.0 ± 0.8 | 5 ± 7 | −445 ± 2 | 11.8 | 447 ± 4 |
| O | 0.12 | −320 ± 46 | 256 ± 11 | 0.3 2 | −95.5 2 | 11.9 | 296 ± 16 |
| S 3 | 0.04 | – | – | −6 ± 3 | −159 ± 23 | 10.6 | 138 ± 4 |
| S 4 | – | – | −7 ± 3 | −105 ± 4 | 11.0 | 105 ± 1 |
| Sand Type | mw/ms | WS | Water to Hydrate Conversion of (%) |
|---|---|---|---|
| Methane hydrate | |||
| O | 1:1 | 3.74 | 3 ± 1 |
| 1:2 | 1.87 | 6 ± 1 | |
| 1:4 | 0.94 | 14 ± 2 | |
| 1:6 | 0.62 | 15 ± 1 | |
| 1:8 | 0.47 | 24 ± 3 | |
| 1:10 | 0.37 | 33 ± 1 | |
| 1:15 | 0.25 | 38 ± 3 | |
| 1:20 | 0.19 | 42 ± 2 | |
| 1:50 | 0.07 | 59 ± 2 | |
| 1:100 | 0.04 | 61 ± 3 | |
| Methane hydrate; different sand fractions | |||
| O | 1:30 | 0.12 | 59 ± 3 |
| S | 0.17 | 92 ± 3 | |
| M | 0.10 | 89 ± 1 | |
| S | 1:136 | 0.04 | 28 ± 1 1 |
| 20.9 ± 0.2 2 | |||
| Methane-propane hydrate | |||
| O | 1:1 | 3.74 | 1.2 ± 0.1 |
| 1:4 | 0.94 | 10 ± 2 | |
| 1:10 | 0.37 | 64 ± 12 | |
| 1:100 | 0.04 | 70 ± 1 | |
Publisher’s Note: MDPI stays neutral with regard to jurisdictional claims in published maps and institutional affiliations. |
© 2021 by the authors. Licensee MDPI, Basel, Switzerland. This article is an open access article distributed under the terms and conditions of the Creative Commons Attribution (CC BY) license (http://creativecommons.org/licenses/by/4.0/).
Share and Cite
Zaripova, Y.; Yarkovoi, V.; Varfolomeev, M.; Kadyrov, R.; Stoporev, A. Influence of Water Saturation, Grain Size of Quartz Sand and Hydrate-Former on the Gas Hydrate Formation. Energies 2021, 14, 1272. https://doi.org/10.3390/en14051272
Zaripova Y, Yarkovoi V, Varfolomeev M, Kadyrov R, Stoporev A. Influence of Water Saturation, Grain Size of Quartz Sand and Hydrate-Former on the Gas Hydrate Formation. Energies. 2021; 14(5):1272. https://doi.org/10.3390/en14051272
Chicago/Turabian StyleZaripova, Yulia, Vladimir Yarkovoi, Mikhail Varfolomeev, Rail Kadyrov, and Andrey Stoporev. 2021. "Influence of Water Saturation, Grain Size of Quartz Sand and Hydrate-Former on the Gas Hydrate Formation" Energies 14, no. 5: 1272. https://doi.org/10.3390/en14051272
APA StyleZaripova, Y., Yarkovoi, V., Varfolomeev, M., Kadyrov, R., & Stoporev, A. (2021). Influence of Water Saturation, Grain Size of Quartz Sand and Hydrate-Former on the Gas Hydrate Formation. Energies, 14(5), 1272. https://doi.org/10.3390/en14051272

