Transient Thermal Analysis of a Li-Ion Battery Module for Electric Cars Based on Various Cooling Fan Arrangements
Abstract
1. Introduction
2. Methodology
2.1. Numerical Computation
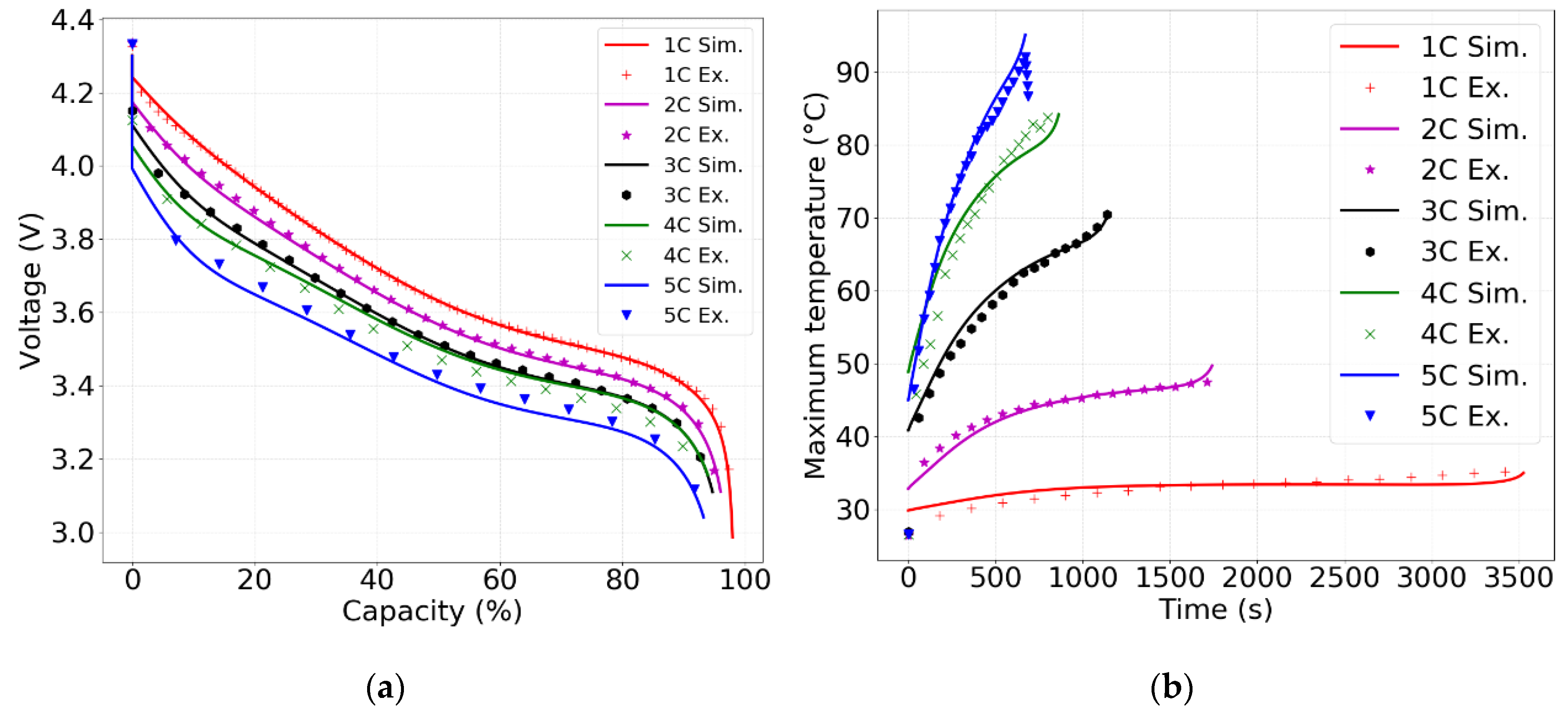
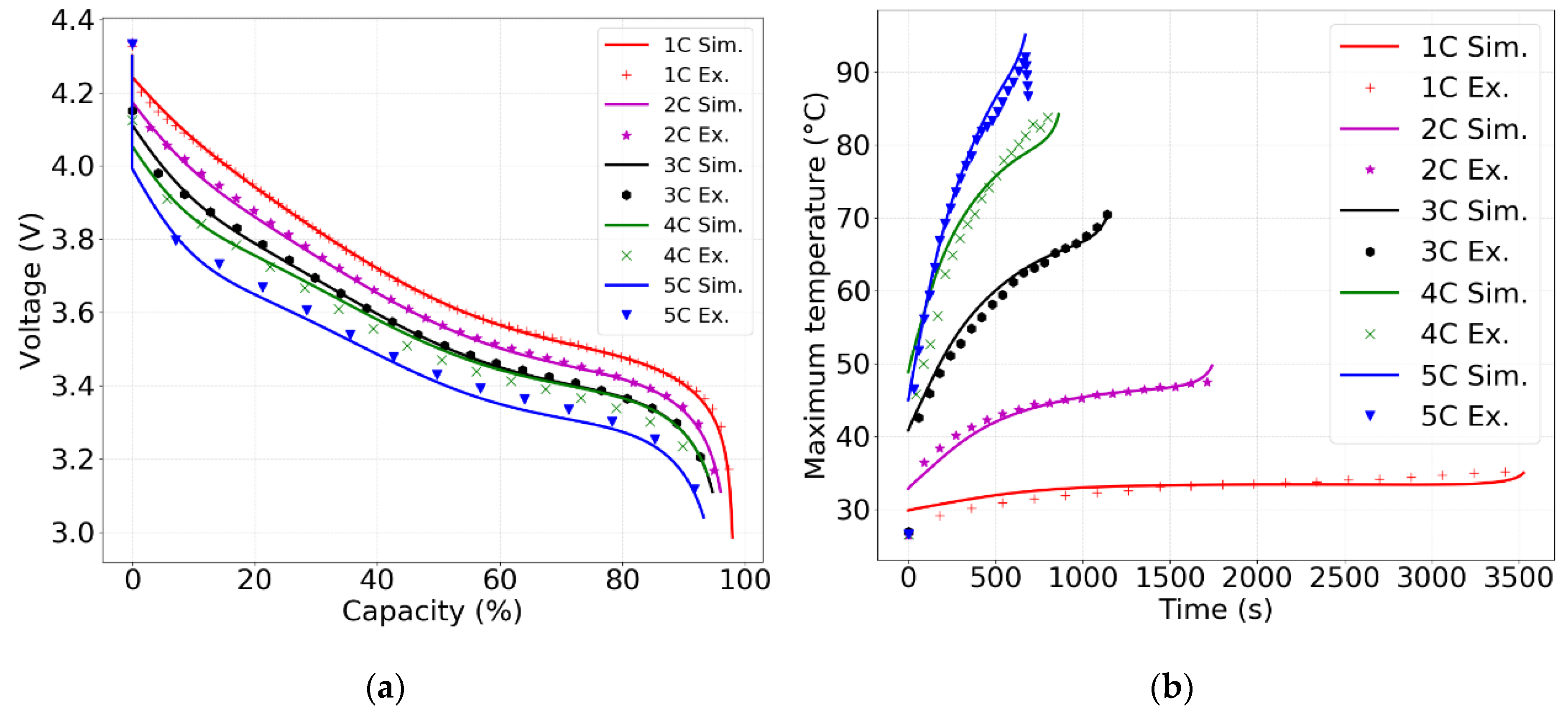
2.2. Mathematical Model and Verification of Simulation Reliability
3. Results and Discussion
3.1. Battery Module under Various Discharging Conditions
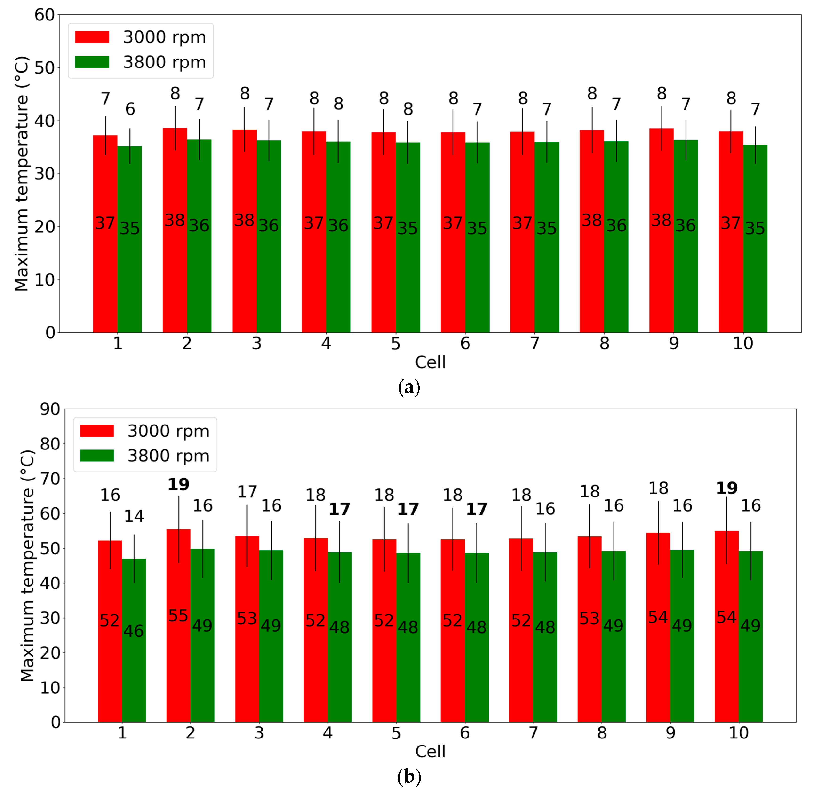
3.2. Battery module with Supply Fan Systems under a Fast Discharging Condition
3.3. Effect of Fan Speed
4. Conclusions
Author Contributions
Funding
Conflicts of Interest
References
- Orbach, Y.; Gila, E.F. Forecasting sales and product evolution: The case of the hybrid/electric car. Technol. Forecast. Soc. 2011, 78, 1210–1226. [Google Scholar] [CrossRef]
- Falvo, M.C.; Lamedica, R.; Bartoni, R.; Maranzano, G. Energy management in metro-transit system: An innovative proposal toward an integrated and sustainable urban mobility system including plug-in electric vehicles. Electr. Power Syst. Res. 2011, 81, 2127–2138. [Google Scholar] [CrossRef]
- Ghassan, Z.; Rodolfo, D.L.; Monica, C.; Guzay, P. The Lithium-ion battery: State of the art and future perspectives. Renew. Sustain. Energy Rev. 2018, 89, 292–308. [Google Scholar]
- Tran, T.-H.; Souad, H.; Bernard, D.; Sebastien, F. Experimental investigation on the feasibility of heat pipe cooling for HEV/EV lithium-ion battery. Appl. Therm. Eng. 2014, 63, 551–558. [Google Scholar] [CrossRef]
- Ye, Y.; Lip, H.S.; Shi, Y.; Andrew, A.O.T. Numerical analyses on optimizing a heat pipe thermal management system for lithium-ion batteries during fast discharging. Appl. Therm. Eng. 2015, 86, 281–291. [Google Scholar] [CrossRef]
- Rao, Z.; Qian, Z.; Kuang, Y.; Li, Y. Thermal performance of liquid cooling based thermal management system for cylindrical lithium-ion battery module with variable contact surface. Appl. Therm. Eng. 2017, 123, 1514–1522. [Google Scholar] [CrossRef]
- Saw, L.H.; Ye, Y.; Tay, A.A.O.; Chong, W.T.; Kuan, S.H.; Yew, M.C. Computational fluid dynamics and thermal analysis of lithium-ion battery pack with air cooling. Appl. Energy 2016, 177, 783–792. [Google Scholar] [CrossRef]
- Wang, H.; Xu, W.; Ma, L. Actively controlled thermal management of prismatic Li-ion cells under elevated temperatures. Int. J. Heat Mass Transf. 2016, 177, 315–322. [Google Scholar] [CrossRef]
- Lan, C.; Xu, J.; Qiao, Y.; Ma, Y. Thermal management for high power lithium-ion battery by mini-channel aluminum tubes. Appl. Therm. Eng. 2016, 101, 284–292. [Google Scholar] [CrossRef]
- Yang, X.-H.; Tan, S.-C.; Liu, J. Thermal management of Li-ion battery with liquid metal. Appl. Therm. Eng. 2016, 117, 577–587. [Google Scholar] [CrossRef]
- Azizi, Y.; Sadrameli, S.M. Thermal management of a LiFePO4 battery pack at high temperature environment using a composite of phase change materials and aluminum wire mesh plates. Energy Convers. Manag. 2016, 117, 294–302. [Google Scholar] [CrossRef]
- Bernardo, B.; Davide, E.; Oronzio, M.; Ferdinando, M. Thermal cooling behaviors of lithium-ion batteries by metal foam with phase change materials. Energy Procedia 2018, 148, 1175–1182. [Google Scholar]
- An, Z.; Chen, X.; Zhao, L.; Gao, Z. Numerical investigation on integrated thermal management for a lithium-ion battery module with a composite phase change material and liquid cooling. Appl. Therm. Eng. 2019, 163, 114–345. [Google Scholar] [CrossRef]
- Pendergast, D.R.; DeMauro, E.P.; Fletcher, M.; Stimson, E.; Mollendorf, J.C. A rechargeable lithium-ion battery module for underwater use. J. Power Sources 2011, 196, 793–800. [Google Scholar] [CrossRef]
- Zhao, J.; Rao, Z.; Li, Y. Thermal performance of mini-channel liquid cooled cylinder based battery thermal management for cylindrical lithium-ion power battery. Energy Convers. Manag. 2015, 103, 157–165. [Google Scholar] [CrossRef]
- Fan, L.; Khodadadi, J.M.; Pesaran, A.A. A parametric study on thermal management of an air-cooled lithium-ion battery module for plug-in hybrid electric vehicles. J. Power Sources 2013, 238, 301–312. [Google Scholar] [CrossRef]
- Doyle, M.; Fuller, T.F.; Newman, J. Modeling of galvannostatic charge and discharge of the lithium-ion/polymer/insertion cell. J. Electrochem. Soc. 1993, 140, 1526–1533. [Google Scholar] [CrossRef]
- Smith, K.; Wang, C.Y. Solid-state diffusion limitations on pulse operation of a lithium-ion cell for hybrid electric vehicles. J. Power Sources 2006, 161, 628–639. [Google Scholar] [CrossRef]
- Cai, L.; White, R.E. Reduction of model order based on proper orthogonal decomposition for lithium-ion battery simulations. J. Electrochem. Soc. 2009, 156, A154–A161. [Google Scholar] [CrossRef]
- Chen, M.; Rincón-Mora, G.A. Accurate electrical battery model capable of predicting runtime and I-V performance. IEEE Trans. Energy Convers. 2006, 21, 504–511. [Google Scholar] [CrossRef]
- Kwon, K.H.; Shin, C.B.; Kang, T.T.; Kim, C.S. A Two-dimensional modeling of a lithium-polymer battery. J. Power Sources 2006, 163, 151–157. [Google Scholar] [CrossRef]
- Kim, U.S.; Shin, C.B.; Kim, C.S. Effect of electrode configuration on the thermal behavior of a lithium-polymer battery. J. Power Sources 2008, 180, 909–916. [Google Scholar] [CrossRef]
- Kim, U.S.; Shin, C.B.; Kim, C.S. Modeling for the scale-up of a lithium-ion polymer battery. J. Power Sources 2009, 189, 841–846. [Google Scholar] [CrossRef]
- Kim, U.S.; Yi, J.; Shin, C.B.; Han, T.; Park, S. Modeling for the thermal behavior of a lithium-ion battery during charge. J. Power Sources 2011, 196, 5115–5121. [Google Scholar] [CrossRef]
- Kim, U.S.; Yi, J.; Shin, C.B.; Han, T.; Park, S. Modeling the temperature dependence of the discharge behavior of a lithium-ion battery on the environmental temperature. J. Electrochem. Soc. 2011, 158, A611–A618. [Google Scholar]
- Yi, J.; Kim, U.S.; Shin, C.B.; Han, T.; Park, S. Modeling the temperature dependence of the discharge behavior of a lithium-ion battery in low environmental temperature. J. Power Sources 2013, 244, 143–148. [Google Scholar] [CrossRef]
- Yi, J.; Koo, B.; Shin, C.B. Three-dimensional modeling of the thermal behavior of a lithium-ion battery module for hybrid electric vehicle applications. Energies 2014, 7, 7586–7601. [Google Scholar] [CrossRef]
- Shahid, S.; Agelin-Chaab, M. Analysis of Cooling Effectiveness and Temperature Uniformity in a Battery Pack for Cylindrical Batteries. Energies 2017, 10, 1157. [Google Scholar] [CrossRef]
- ANSYS. ANSYS Fluent User’s Guide, Release 18.0. 2017. Available online: http://www.ansys.com (accessed on 7 June 2017).
- Kim, G.-H.; Smith, H.; Lee, K.-J.; Santhanagopalan, S.; Pesaran, A. Multi-domain modeling of lithium-ion batteries encompassing multi-physics in varied length scales. J. Electrochem. Soc. 2011, 158, A955–A969. [Google Scholar] [CrossRef]
- Tiedemann, W.; Newman, J. Current and potential distribution in lead-acid battery plates. In Battery Design and Optimization; Gross, S., Ed.; The Electrochemical Society Inc.: Pennington, NJ, USA, 1979; pp. 39–49. [Google Scholar]
- Gu, H. Mathematical analysis of a Zn/NiOOH cell. J. Electrochem. Soc. 1983, 130, 1459–1464. [Google Scholar] [CrossRef]
- Huo, Y.; Rao, Z.; Liu, X.; Zhao, J. Investigation of power battery thermal management by using mini-channel cold plate. Energy Convers. Manag. 2015, 189, 387–395. [Google Scholar] [CrossRef]











| Component | Property (Unit) | Details |
|---|---|---|
| Battery 1 | Nominal voltage (V) Nominal capacity (Ah) Negative electrodePositive electrode Electrolyte Electrical conductivity Electrical conductivity Thermal conductivity Specific heat Density Operating temperature (°C) | 3.75 52.3 Copper-Graphite Aluminum-NCM523 Polyethylene 566 2695 −40 to 60 |
| Supply fan | Dimensions (mm) Rotor diameter (mm) Rated speed (rpm) Air pressure (mmH2O) | 120 × 120 × 38 120 2000, 3000, 3800 4.3, 7.5, 14.3 |
| Domain (air) | Density Dynamic viscosity | 1.225 |
| Parameter | Constant | Value |
|---|---|---|
| U | 4.3104 | |
| −1.9184 | ||
| 2.8835 | ||
| −6.8305 | ||
| −9.7601 | ||
| −4.8786 | ||
| Y | 879.2 | |
| −4606.2 | ||
| −23,007.5 | ||
| −86,540.6 | ||
| 101,993.2 | ||
| −44,914.4 |
© 2020 by the authors. Licensee MDPI, Basel, Switzerland. This article is an open access article distributed under the terms and conditions of the Creative Commons Attribution (CC BY) license (http://creativecommons.org/licenses/by/4.0/).
Share and Cite
Ho, V.-T.; Chang, K.; Lee, S.W.; Kim, S.H. Transient Thermal Analysis of a Li-Ion Battery Module for Electric Cars Based on Various Cooling Fan Arrangements. Energies 2020, 13, 2387. https://doi.org/10.3390/en13092387
Ho V-T, Chang K, Lee SW, Kim SH. Transient Thermal Analysis of a Li-Ion Battery Module for Electric Cars Based on Various Cooling Fan Arrangements. Energies. 2020; 13(9):2387. https://doi.org/10.3390/en13092387
Chicago/Turabian StyleHo, Van-Thanh, Kyoungsik Chang, Sang Wook Lee, and Sung Han Kim. 2020. "Transient Thermal Analysis of a Li-Ion Battery Module for Electric Cars Based on Various Cooling Fan Arrangements" Energies 13, no. 9: 2387. https://doi.org/10.3390/en13092387
APA StyleHo, V.-T., Chang, K., Lee, S. W., & Kim, S. H. (2020). Transient Thermal Analysis of a Li-Ion Battery Module for Electric Cars Based on Various Cooling Fan Arrangements. Energies, 13(9), 2387. https://doi.org/10.3390/en13092387

