Investigation on the Thermal Condition of a Traditional Cold-Lane in Summer in Subtropical Humid Climate Region of China
Abstract
:1. Introduction
2. Survey Methodology
3. Results and Analysis from Investigation
3.1. Thermal Sensations Directly
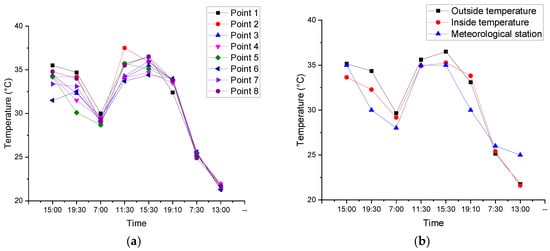
3.2. Dry-Bulb Temperatures
3.3. Relative Humidity and Air Velocity
3.4. Surface Temperatures at Each Position at Specific Time
3.5. Comparison of Surface Temperatures between the West Wall and the East Wall
3.6. Surface Temperatures at Different Heights with Time
3.7. Average Surface Temperatures Inside and Outside the Lane
4. Calculation of Heat Transfer Rate on the Pedestrian Body
4.1. Parameter
4.2. Case 1—Pedestrian Still and no Wind
4.2.1. Sensible Heat Convection over Pedestrian Body to Air
4.2.2. Radiation Dissipation
4.2.3. Latent Heat Transfer over the Human Body
4.3. Case 2—Pedestrian Still and Windy
4.4. Case 3—Pedestrian Walking
4.5. Case 4—Pedestrian on the Outside Road
4.6. Results Analysis
- (1)
- The total heat gained by the human body inside the street is less than 50% of that gained outside the street. This is mainly due to the shading effect of the high walls on both sides of the narrow street.
- (2)
- Inside the gorge, the radiant heat dissipation accounts for about 30–40% of the total heat dissipation, which shows that the relatively low temperature of the ground and walls significantly cools the human body. Evaporative cooling accounts for 50–70%, which shows that sweating is essential in summer, even in the streets with shading. The proportion of sensible heat dissipation is very small. When people stand still and there is no wind, heat dissipation only accounts for 0.8%. When there is wind or when the pedestrian is walking, the proportion of heat dissipation rises to 8.2% and 6.4%, respectively. In this kind of street, compared to standing, the heat generated by walking can help increase the total body heat gain by 29%.
- (3)
- When the pedestrian is outside the road, the radiant heat dissipation from surrounding surfaces and sensible heat dissipation by the air become relatively very small, together accounting for less than 4.5%. Evaporative heat dissipation accounts for more than 95%. Correspondingly, the increase in heat gain due to walking decreased to 11% of the total heat gain.
5. The Influence of Street Aspect Ratio on the Shading Effect
5.1. CFD Simulation Setting and Validation
5.1.1. Building Model and Flow Field
5.1.2. Boundary Conditions and Solution Settings
5.1.3. Temperature Data Processing
5.1.4. Validation
5.2. Results Analysis
5.2.1. The Average Temperature in the Street Canyon with Different Aspect Ratios
5.2.2. The Variation of Inner Surface Temperature in a Day
5.2.3. The Temperature Differences between the West Wall, Street Ground, and East Wall
5.2.4. The Influence of Incoming Wind Speed on Wall Surface Temperature
6. Conclusions
- The air temperature difference between the inside and outside of the lane is less than 2 °C, and the difference in relative humidity and air velocity are less than 10% and 0.5 m/s, respectively. The small differences indicate that they are clearly not the factors producing the cold sensation felt by pedestrians.
- The highest surface temperature of the inner wall is less than 39 °C, which is relatively low. The walls and ground are cooled by radiative heat dissipation and ventilation at night.
- Based on the calculation of the specific four cases at 3:00 pm, it is observed that the proportion of sensible heat dissipation is small, and radiative cooling between the human body and low-temperature surfaces of the inner wall plays an important role in cooling down the pedestrian. This is similar to the conclusion reached by Rosso et al. [9] that pedestrians are sensitive to lower surface temperatures.
- Under the conditions of this study, for every 1 m increase in the height of the walls on both sides, the average temperature throughout the day decreases by 0.2 K. When the wind velocity across the street increases by 0.5 m/s, the average surface temperature drops by 1.2 K. Thus, increasing the aspect ratio of the street canyon and enhancing natural ventilation can both effectively reduce the temperature of the inner surface of the street and improve the thermal comfort for pedestrians.
Author Contributions
Funding
Acknowledgments
Conflicts of Interest
Nomenclature
| A | human body surface area, taken as 1.78, m2 |
| g | gravity of acceleration, m/s2 |
| Gr | Grashof number, dimensionless |
| hc | sensible convection heat transfer coefficient, W/(m2 °C) |
| l | characteristic length taken as human height, assumed as 1.78 m |
| M | heat dissipation due to metabolism, W |
| m | metabolic rate, W/m2 |
| Nu | Nusselt number, dimensionless |
| Pr | Prandtl number, dimensionless |
| Qc | sensible heat transfer rate of a human body, W |
| Qr | radiant heat flux, W |
| S | heat storage of human body, W. |
| ta | air dry-bulb temperature, °C |
| tcloth | surface temperature of clothes, °C |
| th | equivalent human body surface temperature, °C |
| tskin | skin temperature, respectively, °C |
| tw | mean surface temperature of wall in the street, °C |
| W | mechanical output of human body, W |
| α | expansion factor, equal to 1/(273 + tm), in which tm is (th + ta)* 1/2, °C−1 |
| ε | emissivity of human body, taken as 0.85 |
| λ | thermal conductivity of the air, W/(m K) |
| σ | blackbody radiation constant from law of Stefan-Boltzmann, taken as 5.67×10−8 W/m2·K4 |
| υ | kinematic viscosity of the air, taken as 16.5 × 10−6 m2/s |
| Δt | temperature difference between ambient air and human body, equal to (th−ta), °C |
References
- Blocken, B.; Carmeliet, J. Pedestrian wind environment around buildings: Literature review and practical examples. J. Therm. Envel. Build. Sci. 2004, 28, 107–159. [Google Scholar] [CrossRef]
- Jamei, E.; Rajagopalan, P.; Seyedmahmoudian, M.; Jamei, Y. Review on the impact of urban geometry and pedestrian level greening on outdoor thermal comfort. Renew. Sustain. Energy Rev. 2016, 54, 1002–1017. [Google Scholar] [CrossRef]
- Morakinyo, T.E.; Kong, L.; Lau, K.K.L.; Yuan, C.; Ng, E. A study on the impact of shadow-cast and tree species on in-canyon and neighborhood’s thermal comfort. Build. Environ. 2017, 115, 1–17. [Google Scholar] [CrossRef]
- Nagara, K.; Shimoda, Y.; Mizuno, M. Evaluation of the thermal environment in an outdoor pedestrian space. Atmos. Environ. 1996, 30, 497–505. [Google Scholar] [CrossRef]
- Santamouris, M.; Papanikolaou, N.; Koronakis, I.; Livada, I.; Asimakopoulos, D. Thermal and air flow characteristics in a deep pedestrian canyon under hot weather conditions. Atmos. Environ. 1999, 33, 4503–4521. [Google Scholar] [CrossRef]
- Pearlmutter, D.; Berliner, P.; Shaviv, E. Integrated modeling of pedestrian energy exchange and thermal comfort in urban street canyons. Build. Environ. 2007, 42, 2396–2409. [Google Scholar] [CrossRef]
- Pantavou, K.; Theoharatos, G.; Santamouris, M.; Asimakopoulos, D. Outdoor thermal sensation of pedestrians in a Mediterranean climate and a comparison with UTCI. Build. Environ. 2013, 66, 82–95. [Google Scholar] [CrossRef]
- Hong, B.; Lin, B. Numerical studies of the outdoor wind environment and thermal comfort at pedestrian level in housing blocks with different building layout patterns and trees arrangement. Renew. Energy 2015, 73, 18–27. [Google Scholar] [CrossRef]
- Rosso, F.; Pisello, A.L.; Cotana, F.; Ferrero, M. On the thermal and visual pedestrians’ perception about cool natural stones for urban paving: A field survey in summer conditions. Build. Environ. 2016, 107, 198–214. [Google Scholar] [CrossRef]
- Jamei, E.; Rajagopalan, P. Urban development and pedestrian thermal comfort in Melbourne. Sol. Energy 2017, 144, 681–698. [Google Scholar] [CrossRef]
- Zhang, Y.; Du, X.; Shi, Y. Effects of street canyon design on pedestrian thermal comfort in the hot-humid area of China. Int. J. Biometeorol. 2017, 61, 1–12. [Google Scholar] [CrossRef]
- Chen, X.; Zhong, D. Passive energy conservation strategy of natural ventilation. China J. Archit. 2011, 9, 34–37. [Google Scholar]
- Chen, X.; Zhong, D. The principles of passive-cooling alley and its inspiration. New Archit. China 2011, 88–91. [Google Scholar] [CrossRef]
- Ma, J. Analysis of Natural Ventilation in Cold Gorge. Master’s Thesis, Guangzhou University, Guangzhou, China, 2011; pp. 13–53. (In Chinese). [Google Scholar]
- Zhu, Y. Building Environment, 4th ed.; China Building Industry Press: Beijing, China, 2016. [Google Scholar]
- Höppe, P. The physiological equivalent temperature—A universal index for the biometeorological assessment of the thermal environment. Int. J. Biometeorol. 1999, 43, 71–75. [Google Scholar] [CrossRef] [PubMed]
- Weather Underground. 2020. Available online: http://www.wunderground.com (accessed on 15 May 2020).
- Yang, S.; Tao, W. Heat Transfer, 4th ed.; Higher Education Press: Beijing, China, 2006. [Google Scholar]
- McIntyre, D.A. Indoor Climate; Applied Science Publisher: London, UK, 1980. [Google Scholar]
- China Meteorological Administration, Tsinghua University. China Meteorological Dataset for Building Thermal Environment; China Building Industry Press: Beijing, China, 2005. [Google Scholar]
- Bottillo, S.; De Lieto Vollaro, A.; Galli, G.; Vallati, A. CFD modeling of the impact of solar radiation in a tridimensional urban canyon at different wind conditions. Sol. Energy 2014, 102, 212–222. [Google Scholar] [CrossRef]
- Van Hooff, T.; Blocken, B.; Tominaga, Y. On the accuracy of CFD simulations of cross-ventilation flows for a generic isolated building: Comparison of RANS, LES and experiments. Build. Environ. 2016, 114, 148–165. [Google Scholar] [CrossRef]
- Wang, T.; Yin, W.; Fu, L.; Zhang, Z. Estimation model for natural ventilation by wind force considering wind direction and building orientation for low-rise building in China. Indoor Built Environ. 2020, 8. [Google Scholar] [CrossRef]
- Fu, L.; Yin, W.; Wang, T.; Zhang, G. Effect of the porosity the upstream building on the natural ventilation of the downstream building and the reliability of its computational fluid dynamics simulation. J. Civ. Environ. Eng. 2020. [Google Scholar] [CrossRef]
- Fu, L.; Yin, W.; Wang, T.; Hao, X.; Liu, H.; Zhang, G.; Chen, H. Reliability of CFD simulation for the wind pressure on a cubic after another cavity in comparison of wind tunnel experiment. J. Civ. Environ. Eng. 2020, 42, 180–190. [Google Scholar]



















| Date (y/m/d) | Weather | Time | Average Temperature | Heat Index | Relative Humidity | Wind Direction | Wind Velocity |
|---|---|---|---|---|---|---|---|
| 2016/8/24 | Sunny | 15:00 | 35.0 °C | 40.3 °C | 49% | North | 3 m/s |
| 2016/8/24 | Sunny | 19:30 | 30.0 °C | 33.2 °C | 62% | East | 3 m/s |
| 2016/8/25 | Sunny | 7:00 | 28.0 °C | 31.9 °C | 79% | No wind | No wind |
| 2016/8/25 | Sunny | 11:30 | 35.0 °C | 37.5 °C | 41% | Unstable | 1 m/s |
| 2016/8/25 | Sunny | 15:30 | 35.0 °C | 37.5 °C | 41% | East | 3 m/s |
| 2016/8/25 | Sunny | 19:10 | 30.0 °C | 34.1 °C | 66% | East | 3 m/s |
| 2016/8/26 | Rainy | 7:30 | 26.0 °C | - | 83% | Northeast | 4 m/s |
| 2016/8/26 | Rainy | 13:00 | 25.0 °C | - | 89% | Northeast | 4 m/s |
| Duration and Weather | Air Characteristic | Mean Surface Temperature |
|---|---|---|
| 15:00–16:00 Sunny Heat index: 40.3 °C Wind direction: North Wind velocity: 3 m/s | Dry-bulb temperature ta = 34.5 °C Relative humidity, 49% Density ρ = 1.14 kg/m3 Specific heat capacity Cp = 1.005 kJ/(kg·K) Thermal conductivity λ = 0.027 W/(m·K) Kinematic viscosity υ = 16.5 × 10−6 m2/s Prandtl number Pr = 0.7 | Inside the gorge wt = 30.2 °C Human body temperature th = 35.3 °C Outside the gorge (on the roads) tr = 34.8 °C |
Publisher’s Note: MDPI stays neutral with regard to jurisdictional claims in published maps and institutional affiliations. |
© 2020 by the authors. Licensee MDPI, Basel, Switzerland. This article is an open access article distributed under the terms and conditions of the Creative Commons Attribution (CC BY) license (http://creativecommons.org/licenses/by/4.0/).
Share and Cite
Chen, H.; Wei, Y.; Lin, Y.; Yang, W.; Chen, X.; Kolokotroni, M.; Liu, X.; Zhang, G. Investigation on the Thermal Condition of a Traditional Cold-Lane in Summer in Subtropical Humid Climate Region of China. Energies 2020, 13, 6602. https://doi.org/10.3390/en13246602
Chen H, Wei Y, Lin Y, Yang W, Chen X, Kolokotroni M, Liu X, Zhang G. Investigation on the Thermal Condition of a Traditional Cold-Lane in Summer in Subtropical Humid Climate Region of China. Energies. 2020; 13(24):6602. https://doi.org/10.3390/en13246602
Chicago/Turabian StyleChen, Hui, Yin Wei, Yaolin Lin, Wei Yang, Xiaoming Chen, Maria Kolokotroni, Xiaohong Liu, and Guoqiang Zhang. 2020. "Investigation on the Thermal Condition of a Traditional Cold-Lane in Summer in Subtropical Humid Climate Region of China" Energies 13, no. 24: 6602. https://doi.org/10.3390/en13246602
APA StyleChen, H., Wei, Y., Lin, Y., Yang, W., Chen, X., Kolokotroni, M., Liu, X., & Zhang, G. (2020). Investigation on the Thermal Condition of a Traditional Cold-Lane in Summer in Subtropical Humid Climate Region of China. Energies, 13(24), 6602. https://doi.org/10.3390/en13246602

