An Agent-Based Approach for the Planning of Distribution Grids as a Socio-Technical System
Abstract
1. Introduction
2. Analysis of Residential Electricity Consumer Behavior
2.1. Values and Beliefs
2.2. Behavioral
2.3. Social Norms
2.4. Socio-Demographic
2.5. Access to Information and Technology
2.6. Institutional Arrangements
3. Methodology
3.1. Agent-Based Electricity Consumption Model (ECM)
- Factor 1a: A fixed increase rate on electricity consumption, considered to mimic changes in consumer behavior due to economic growth and the more frequent use of technologies;
- Factor 1b: Their elasticity to electricity price variations;
- Factor 1c: The interactions with the power utility through demand-side management programs;
- Factor 2: Their social interactions; and
- Factor 3: The investments made in energy-efficient technologies.
3.2. Power and Energy Analysis
4. Case Study
4.1. Distribution Feeder and Customer Load Curve Data
- Category 1: Patterns 4 (between 500 and 1000 kWh/month) or 5 (above 1000 kWh/month);
- Category 2: Pattern 1 (below 80 kWh/month);
- Category 3: Patterns 2 (between 80 and 220 kWh/month) or 3 (between 220 and 500 kWh/month); and
- Category 4: Patterns 2 (between 80 and 220 kWh/month) or 4 (between 500 and 100 kWh/month);
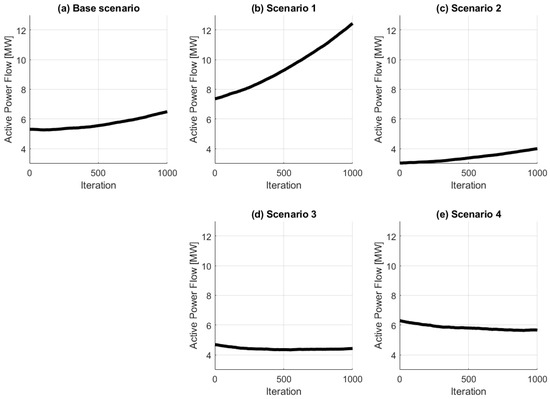
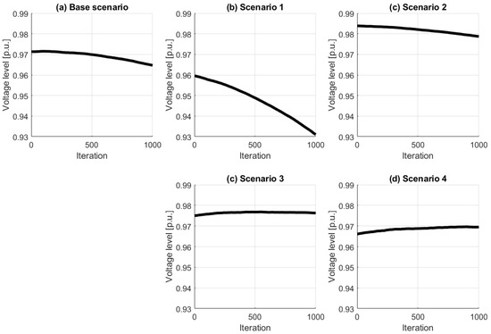
4.2. Results
5. Conclusions
Author Contributions
Funding
Acknowledgments
Conflicts of Interest
References
- Zio, E. Challenges in the Vulnerability and Risk Analysis of Critical Infrastructures. Reliab. Eng. Syst. Saf. 2016, 152, 137–150. [Google Scholar] [CrossRef]
- Howell, S.; Rezgui, Y.; Hippolyte, J.; Jayan, B.; Li, H. Towards the next Generation of Smart Grids: Semantic and Holonic Multi- Agent Management of Distributed Energy Resources. Renew. Sustain. Energy Rev. 2017, 77, 193–214. [Google Scholar] [CrossRef]
- Baxter, G.; Sommerville, I. Socio-Technical Systems: From Design Methods to Systems Engineering. Interact. Comput. 2011, 23, 4–17. [Google Scholar] [CrossRef]
- Luo, L. Power System Vulnerability and Performance: Application from Complexity Science and Complex Network. Ph.D. Thesis, Scuola di Dottorato, Politecnico di Torino, Italy, 2014. [Google Scholar]
- Bompard, E.; Connors, S.; Fulli, G.; Han, B.; Masera, M.; Mengolini, A.; Nuttal, W.J.; Nuttall, W.J. Smart Energy Grids and Complexity Science; JRC Scientific and Policy Reports; European Comission, Joint Research Centre: Petten, The Netherlands, 2012. [Google Scholar] [CrossRef]
- Yu, X.; Xue, Y. Smart Grids: A Cyber-Physical Systems Perspective. Proc. IEEE 2016, 104, 1058–1070. [Google Scholar] [CrossRef]
- Rylatt, R.; Snape, J.; Allen, P.; Ardestani, B. Exploring Smart Grid Possibilities: A Complex Systems Modelling Approach. Smart Grid 2015, 1, 1–15. [Google Scholar]
- Simon, H.A. A Behavioral Model of Rational Choice. Q. J. Econ. 1955, 69, 99–118. [Google Scholar] [CrossRef]
- Siebert, L.C.; Sbicca, A.; Aoki, A.R.; Lambert-Torres, G. A Behavioral Economics Approach to Residential Electricity Consumption. Energies 2017, 10, 768. [Google Scholar] [CrossRef]
- Van Der Werff, E.; Thogersen, J.; Bruine De Bruin, W. Changing Household Energy Usage: The Downsides of Incentives and How to Overcome Them. IEEE Power Energy Mag. 2018, 16, 42–48. [Google Scholar] [CrossRef]
- Parag, Y.; Sovacool, B.K. Electricity Market Design for the Prosumer Era. Nat. Energy 2016, 1, 16032. [Google Scholar] [CrossRef]
- Steg, L.; Shwom, R.; Dietz, T. What Drives Energy Consumers? Engaging People in a Sustainable Energy Transition. IEEE Power Energy 2018, 16, 20–28. [Google Scholar] [CrossRef]
- Schwartz, S.H. A Proposal for Measuring Value Orientations Across Nations; Questionnaire Development Package of the European Social Survey; European Social Survey: London, UK, 2003; pp. 259–319. [Google Scholar]
- Bouman, T.; Steg, L.; Kiers, H.A.L. Measuring Values in Environmental Research: A Test of an Environmental Portrait Value Questionnaire. Front. Psychol. 2018, 9, 564. [Google Scholar] [CrossRef] [PubMed]
- Lobasenko, V. Consumer Behavior Towards Innovative Products: Which Methodologies for Which Values? Ph.D. Thesis, Communauté Universite Grenoble Alpes, Saint-Martin-d’Hères, France, 2017. [Google Scholar]
- Frederiks, E.R.; Stenner, K.; Hobman, E.V. Household Energy Use: Applying Behavioural Economics to Understand Consumer Decision-Making and Behaviour. Renew. Sustain. Energy Rev. 2015, 41, 1385–1394. [Google Scholar] [CrossRef]
- Pollitt, M.G.; Shaorshadze, I. The Role of Behavioural Economics in Energy and Climate Policy. In Handbook on Energy and Climate Change; Edward Elgar Publishing: Northampton, MA, USA, 2011. [Google Scholar]
- Yang, Y.; Solgaard, H.S.; Ren, J. Does Positive Framing Matter? An Investigation of How Framing Affects Consumers’ Willingness to Buy Green Electricity in Denmark. Energy Res. Soc. Sci. 2018, 46, 40–47. [Google Scholar] [CrossRef]
- Ayres, I.; Raseman, S.; Shih, A. Evidence from Two Large Field Experiments That Peer Comparison Feedback Can Reduce Residential Energy Usage. J. Law Econ. Organ. 2009, 29, 992–1022. [Google Scholar] [CrossRef]
- Wang, F.; Liu, L.; Yu, Y.; Li, G.; Li, J.; Shafie-Khah, M.; Catalão, J.P.S. Impact Analysis of Customized Feedback Interventions on Residential Electricity Load Consumption Behavior for Demand Response. Energies 2018, 11, 770. [Google Scholar] [CrossRef]
- Frederiks, E.R.; Stenner, K.; Hobman, E.V. The Socio-Demographic and Psychological Predictors of Residential Energy Consumption: A Comprehensive Review. Energies 2015, 8, 573–609. [Google Scholar] [CrossRef]
- Lampropoulos, I.; Vanalme, G.M.A.; Kling, W.L. A Methodology for Modeling the Behavior of Electricity Prosumers within the Smart Grid. In Proceedings of the IEEE PES Innovative Smart Grid Technologies Conference Europe, ISGT Europe, Gothenberg, Sweden, 11–13 October 2010. [Google Scholar] [CrossRef]
- Sütterlin, B.; Brunner, T.A.; Siegrist, M. Who Puts the Most Energy into Energy Conservation? A Segmentation of Energy Consumers Based on Energy-Related Behavioral Characteristics. Energy Policy 2011, 39, 8137–8152. [Google Scholar] [CrossRef]
- Lavrijssen, S.; Parra, A.C. Radical Prosumer Innovations in the Electricity Sector and the Impact on Prosumer Regulation. Sustainability 2017, 9, 1207. [Google Scholar] [CrossRef]
- Tiefenbeck, V. Bring Behaviour into the Digital Transformation. Nat. Energy 2017, 2, 17085. [Google Scholar] [CrossRef]
- Vizioli, T.R. Análise Do Comportamento Dos Consumidores No Âmbito Dos Ambientes de Contratação Livre e Regulada Do Mercado Brasileiro de Energia Elétrica; University of Brasília: Brasilia, Brazil, 2017. [Google Scholar]
- Schot, J.; Kanger, L.; Verbong, G. The Roles of Users in Shaping Transitions to New Energy Systems. Nat. Energy 2016, 1. [Google Scholar] [CrossRef]
- Gellings, C.W. The Concept of Demand-Side Management for Electric Utilities. Proc. IEEE 1985, 73, 1468–1470. [Google Scholar] [CrossRef]
- Siebert, L.C. Sistema de Otimização de Resposta à Demanda Para Redes Elétricas Inteligentes. Ph.D. Thesis, Federal University of Paraná, Curitiba, Brazil, 2013. [Google Scholar]
- Siebert, L.C.; Aoki, A.R.; Fernandes, T.S.P.; Lambert-Torres, G. Customer Targeting Optimization System for Price-Based Demand Response Programs. Int. Trans. Electr. Energy Syst. 2018, 29, e2709. [Google Scholar]
- Yamakawa, E.K. Sistema de Controle Nebuloso Para Bancos de Capacitores Automáticos Aplicados Em Alimentadores de Distribuição de Energia Elétrica. Ph.D. Thesis, Federal University of Paraná, Curitiba, Brazil, 2007. [Google Scholar]
- Georgilakis, P.S.; Hatziargyriou, N.D. A Review of Power Distribution Planning in the Modern Power Systems Era: Models, Methods and Future Research. Electr. Power Syst. Res. 2015, 121, 89–100. [Google Scholar] [CrossRef]




| Category | Main Characteristics | Initial Consumption |
|---|---|---|
| 1: High income | Not sensible to tariff changes Invests in energy efficiency when possible Occasionally change habits due to social interaction | High (500–1000 kWh/month) |
| 2: Low income | Strongly sensible to tariff changes Does not invest in energy efficiency Change habits due to social interaction | Low (10–100 kWh/month) |
| 3: Middle class | Sensible to tariff changes May invest in energy efficiency Sometimes change habits due to social interaction | Average (100–500 kWh/month) |
| 4: Early adopters (technology) | Sensible to tariff changes Invests often in energy efficiency Sometimes change habits due to social interaction | Average–High (100–1000 kWh/month) |
| Scenario | Division of Consumers |
|---|---|
| Base | All categories: 25% (equally divided) |
| 1 | Category 1: 62.50 % Categories 2, 3, and 4: 12.50 % (each) |
| 2 | Categories 1, 3, and 4: 12.50 % (each) Category 2: 62.50 % |
| 3 | Categories 1, 2, and 4: 12.50 % (each) Category 3: 62.50 % |
| 4 | Categories 1, 2, and 3: 12.50 % (each) Category 4: 62.50 % |
| Base Case | Scenario 1 | Scenario 2 | Scenario 3 | Scenario 4 | |
|---|---|---|---|---|---|
| Coefficient of determination (R2) between power flow and constrained linear regression | 0.811 | 0.964 | 0.930 | −0.805 | 0.651 |
| Minimum voltage level [p.u.] | 0.965 | 0.931 | 0.979 | 0.975 | 0.966 |
| Maximum value of current [A] | 499,650 | 957,159 | 308,208 | 360,702 | 484,484 |
© 2020 by the authors. Licensee MDPI, Basel, Switzerland. This article is an open access article distributed under the terms and conditions of the Creative Commons Attribution (CC BY) license (http://creativecommons.org/licenses/by/4.0/).
Share and Cite
Siebert, L.C.; Aoki, A.R.; Lambert-Torres, G.; Lambert-de-Andrade, N.; Paterakis, N.G. An Agent-Based Approach for the Planning of Distribution Grids as a Socio-Technical System. Energies 2020, 13, 4837. https://doi.org/10.3390/en13184837
Siebert LC, Aoki AR, Lambert-Torres G, Lambert-de-Andrade N, Paterakis NG. An Agent-Based Approach for the Planning of Distribution Grids as a Socio-Technical System. Energies. 2020; 13(18):4837. https://doi.org/10.3390/en13184837
Chicago/Turabian StyleSiebert, Luciano Cavalcante, Alexandre Rasi Aoki, Germano Lambert-Torres, Nelson Lambert-de-Andrade, and Nikolaos G. Paterakis. 2020. "An Agent-Based Approach for the Planning of Distribution Grids as a Socio-Technical System" Energies 13, no. 18: 4837. https://doi.org/10.3390/en13184837
APA StyleSiebert, L. C., Aoki, A. R., Lambert-Torres, G., Lambert-de-Andrade, N., & Paterakis, N. G. (2020). An Agent-Based Approach for the Planning of Distribution Grids as a Socio-Technical System. Energies, 13(18), 4837. https://doi.org/10.3390/en13184837

