Modeling of an Integrated Thermoelectric Generation–Cooling System for Thermoelectric Cooler Waste Heat Recovery
Abstract
1. Introduction
2. Theory and Simulation
2.1. Theoretical Model
2.2. Numerical Simulation Model
- (1)
- one can assume that all of the other surfaces in the model have thermal insulation except for the cold and hot ends [21];
- (2)
- one can ignore the contact resistance and thermal resistance at the interface;
- (3)
- one can assume that there is no heat loss in the heat transfer process.
3. Results and Analysis
3.1. Steady State Result Analysis
3.2. Transient Analysis
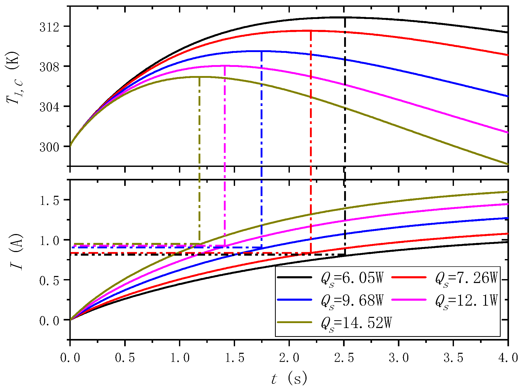
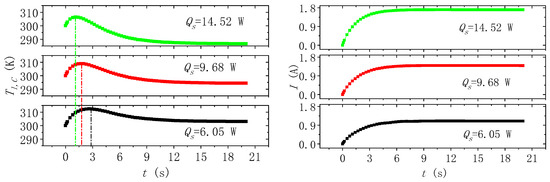
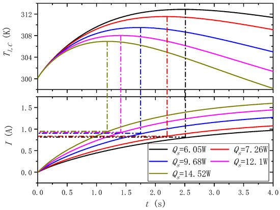
3.3. Transient Analysis of Different Qs
4. Conclusions
- (1)
- A theoretical model of the integrated thermoelectric generation–cooling system is established. In this model, the heat source of a TEG presents a nonlinear changing trend, resulting in the nonlinear changing trend of the current and cold-end temperature.
- (2)
- Under the steady-state condition, the actual heat source of the thermoelectric generator is about 20% larger than the intrinsic heat source. At the maximum value of the intrinsic heat source, the cold-end temperature of the thermoelectric cooler reaches the minimum value of 282.97 K.
- (3)
- The transient analysis of integrated thermoelectric generation–cooling system shows that the cold-end temperature in the system has a maximum value. Under different intrinsic heat sources, this maximum value can be reached between 1 s and 2.5 s.
Author Contributions
Funding
Acknowledgments
Conflicts of Interest
References
- Cramer, C.L.; Wang, H.; Ma, K. Performance of Functionally Graded Thermoelectric Materials and Devices: A Review. J. Electron. Mater. 2018, 47, 5122–5132. [Google Scholar] [CrossRef]
- He, W.; Zhang, G.; Zhang, X.; Ji, J.; Li, G.; Zhao, X. Recent Development and Application of Thermoelectric Generator and Cooler. Appl. Energy 2015, 143, 1–25. [Google Scholar] [CrossRef]
- Sajid, M.; Hassan, I.; Rahman, A. An Overview of Cooling of Thermoelectric Devices. Renew. Sustain. Energy Rev. 2017, 78, 15–22. [Google Scholar] [CrossRef]
- Siddique, A.R.M.; Mahmud, S.; Van Heyst, B. A Review of the State of the Science on Wearable Thermoelectric Power Generators (TEGs) and Their Existing Challenges. Renew. Sustain. Energy Rev. 2017, 73, 730–744. [Google Scholar] [CrossRef]
- Twaha, S.; Zhu, J.; Yan, Y.; Li, B. A Comprehensive Review of Thermoelectric Technology: Materials, Applications, Modelling and Performance Improvement. Renew. Sustain. Energy Rev. 2016, 65, 698–726. [Google Scholar] [CrossRef]
- Lv, S.; Qian, Z.; Hu, D.; Li, X.; He, W. A Comprehensive Review of Strategies and Approaches for Enhancing the Performance of Thermoelectric Module. Energies 2020, 13, 3142. [Google Scholar] [CrossRef]
- Lam, T.T.; Yuan, S.W.; Fong, E.; Fischer, W.D. Analytical Study of Transient Performance of Thermoelectric Coolers Considering the Thomson Effect. Int. J. Therm. Sci. 2018, 130, 435–448. [Google Scholar] [CrossRef]
- Rahman, E.; Nojeh, A. Harvesting Solar Thermal Energy with a Micro-Gap Thermionic-Thermoelectric Hybrid Energy Converter: Model Development, Energy Exchange Analysis, and Performance Optimization. Energy 2020, 204, 117947. [Google Scholar] [CrossRef]
- Shen, Y.; Kwan, T.H.; Kwan, T.H. Performance Numerical Analysis of Thermoelectric Generator Sizing for Integration into a High Temperature Proton Exchange Membrane Fuel Cell. Appl. Therm. Eng. 2020, 178, 115486. [Google Scholar] [CrossRef]
- Gong, T.; Gao, L.; Wu, Y.; Zhang, L.; Yin, S.; Li, J.; Ming, T. Numerical Simulation on a Compact Thermoelectric Cooler for the Optimized Design. Appl. Therm. Eng. 2019, 146, 815–825. [Google Scholar] [CrossRef]
- Cuce, E.; Guclu, T.; Cuce, P.M. Improving Thermal Performance of Thermoelectric Coolers (TECs) Through a Nanofluid Driven Water to Air Heat Exchanger Design: An Experimental Research. Energy Convers. Manag. 2020, 214, 112893. [Google Scholar] [CrossRef]
- Chen, W.-H.; Wang, C.-C.; Hung, C.-I. Geometric Effect on Cooling Power and Performance of an Integrated Thermoelectric Generation-Cooling System. Energy Convers. Manag. 2014, 87, 566–575. [Google Scholar] [CrossRef]
- Meng, F.; Chen, L.; Sun, F. Performance Analysis for Two-Stage TEC System Driven by Two-Stage TEG Obeying Newton’s Heat Transfer Law. Math. Comput. Model. 2010, 52, 586–595. [Google Scholar] [CrossRef]
- Kwan, T.H.; Wu, X.; Kwan, T.H. Integrated TEG-TEC and Variable Coolant Flow Rate Controller for Temperature Control and Energy Harvesting. Energy 2018, 159, 448–456. [Google Scholar] [CrossRef]
- Kwan, T.H.; Wu, X.; Kwan, T.H. Complete Implementation of the Combined TEG-TEC Temperature Control and Energy Harvesting System. Control. Eng. Pr. 2020, 95, 104224. [Google Scholar] [CrossRef]
- Lin, L.; Zhang, Y.-F.; Liu, H.-B.; Meng, J.-H.; Chen, W.-H.; Wang, X.-D. A New Configuration Design of Thermoelectric Cooler Driven by Thermoelectric Generator. Appl. Therm. Eng. 2019, 160, 114087. [Google Scholar] [CrossRef]
- Teffah, K.; Zhang, Y.; Mou, X.-L. Modeling and Experimentation of New Thermoelectric Cooler–Thermoelectric Generator Module. Energies 2018, 11, 576. [Google Scholar] [CrossRef]
- Lv, H.; Wang, X.-D.; Wang, T.-H.; Meng, J.-H. Optimal Pulse Current Shape for Transient Supercooling of Thermoelectric Cooler. Energy 2015, 83, 788–796. [Google Scholar] [CrossRef]
- Ming, T.; Wu, Y.; Peng, C.; Tao, Y. Thermal Analysis on a Segmented Thermoelectric Generator. Energy 2015, 80, 388–399. [Google Scholar] [CrossRef]
- Chakraborty, A.; Saha, B.; Koyama, S.; Ng, K.C. Thermodynamic Modelling of a Solid State Thermoelectric Cooling Device: Temperature–Entropy Analysis. Int. J. Heat Mass Transf. 2006, 49, 3547–3554. [Google Scholar] [CrossRef]
- Lv, H.; Wang, X.-D.; Meng, J.-H.; Wang, T.-H.; Yan, W.-M. Enhancement of Maximum Temperature Drop across Thermoelectric Cooler through Two-Stage Design and Transient Supercooling Effect. Appl. Energy 2016, 175, 285–292. [Google Scholar] [CrossRef]
- Meng, J.-H.; Wang, X.-D.; Zhang, X. Transient Modeling and Dynamic Characteristics of Thermoelectric Cooler. Appl. Energy 2013, 108, 340–348. [Google Scholar] [CrossRef]
- Wang, X.-D.; Huang, Y.-X.; Cheng, C.-H.; Lin, D.T.W.; Kang, C.-H. A Three-Dimensional Numerical Modeling of Thermoelectric Device with Consideration of Coupling of Temperature Field and Electric Potential Field. Energy 2012, 47, 488–497. [Google Scholar] [CrossRef]
- Cheng, C.-H.; Huang, S.-Y. Development of a Non-Uniform-Current Model for Predicting Transient Thermal Behavior of Thermoelectric Coolers. Appl. Energy 2012, 100, 326–335. [Google Scholar] [CrossRef]
- Ma, M.; Yu, J. A Numerical Study on the Temperature Overshoot Characteristic of a Realistic Thermoelectric Module under a Current Pulse Operation. Int. J. Heat Mass Transf. 2014, 72, 234–241. [Google Scholar] [CrossRef]







| Material Properties | |
|---|---|
| P-type | |
| N-type | |
© 2020 by the authors. Licensee MDPI, Basel, Switzerland. This article is an open access article distributed under the terms and conditions of the Creative Commons Attribution (CC BY) license (http://creativecommons.org/licenses/by/4.0/).
Share and Cite
Yu, J.; Zhu, Q.; Kong, L.; Wang, H.; Zhu, H. Modeling of an Integrated Thermoelectric Generation–Cooling System for Thermoelectric Cooler Waste Heat Recovery. Energies 2020, 13, 4691. https://doi.org/10.3390/en13184691
Yu J, Zhu Q, Kong L, Wang H, Zhu H. Modeling of an Integrated Thermoelectric Generation–Cooling System for Thermoelectric Cooler Waste Heat Recovery. Energies. 2020; 13(18):4691. https://doi.org/10.3390/en13184691
Chicago/Turabian StyleYu, Jia, Qingshan Zhu, Li Kong, Haoqing Wang, and Hongji Zhu. 2020. "Modeling of an Integrated Thermoelectric Generation–Cooling System for Thermoelectric Cooler Waste Heat Recovery" Energies 13, no. 18: 4691. https://doi.org/10.3390/en13184691
APA StyleYu, J., Zhu, Q., Kong, L., Wang, H., & Zhu, H. (2020). Modeling of an Integrated Thermoelectric Generation–Cooling System for Thermoelectric Cooler Waste Heat Recovery. Energies, 13(18), 4691. https://doi.org/10.3390/en13184691
 
        

 
       