Smart Meter Data Analysis of a Building Cluster for Heating Load Profile Quantification and Peak Load Shifting
Abstract
1. Introduction
2. Methodology
- (1)
- Data cleaning, including removing missing values and outliers and transforming the datasets into the appropriate form for the clustering analysis.
- (2)
- Applying hierarchical clustering analysis to typical daily heating load profiles. Based on the clustering analysis results, we defined the peak load threshold to identify the peak load and categorize the load profiles based on the occurrence of the peak. Furthermore, peak quantification was conducted, based on the categorization of the load profiles. This is discussed in detail in Section 2.2, “Categorization of daily load pattern using clustering analysis, peak identification and peak load quantification”.
- (3)
- Finally, as an example, we investigated the load shifting potential of one representative building, using a numerical model developed based on the building time-series measurement data. Dymola was used for modeling and simulation. R language was used for all data processing and analyses [36].
2.1. Description of Data
2.1.1. Data Source—Description of DH Substations
2.1.2. Dataset Characteristics
2.2. Categorization of Daily Load Pattern Using Clustering Analysis, Peak Identification and Peak Load Quantification
2.2.1. Categorization of Daily Load Pattern Using Clustering Analysis
- winter season, from mid-November to mid-March;
- transition season, from mid-March to mid-May and mid-September to mid-November;
- summer season, from mid-May to mid-September.
2.2.2. Peak Identification and Quantification
2.3. Evaluation of Peak Load Shifting Potential
2.3.1. Model Description and the Case Building
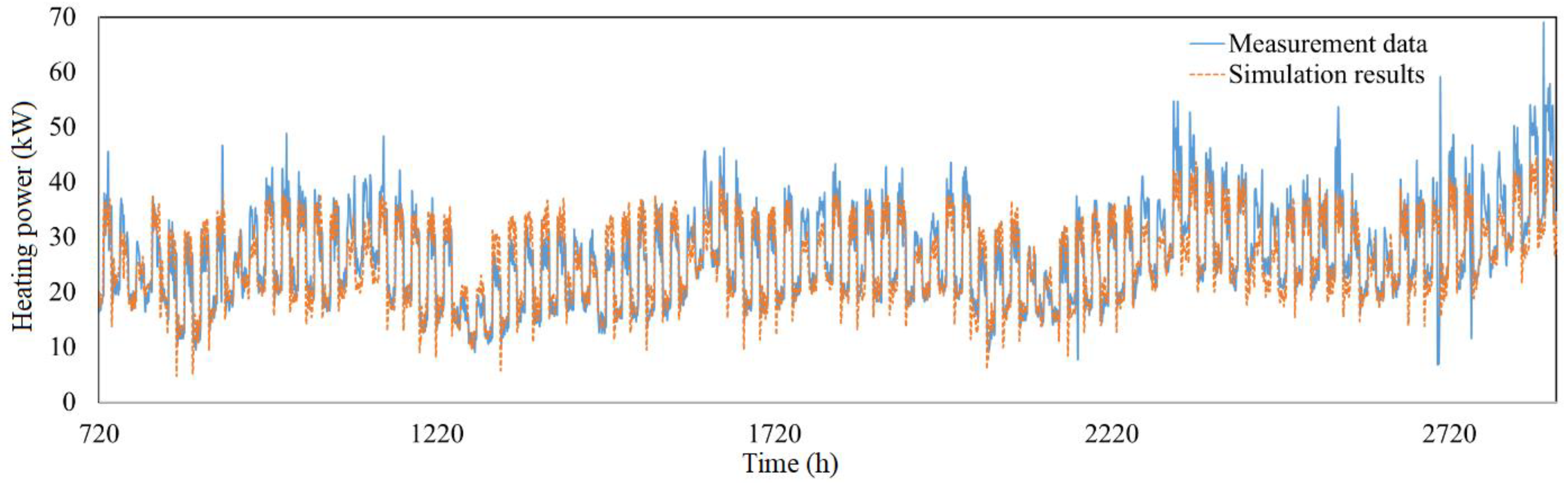
2.3.2. Model Calibration and Validation
2.3.3. Load Shifting Scenarios
2.3.4. Performance Assessment
3. Results and Discussions
3.1. Clustering Results
3.2. Results of Heating Load Profile Categorization and Peak Identification
- Hat shape type, which has continuous high heat consumption during the daytime. The heat consumption during night and evening is stable and relatively low.
- Morning peak type, which has a noticeable short-term morning peak load occurring at 06:00-09:00. After that, the heat consumption reduces to a lower and stable level until the evening, when the substation is switched into night setback operation. The peak duration is much shorter compared with the hat shape.
- Morning and afternoon peak type, which has not only morning peaks, but also several additional peaks occurring in the afternoon. Typically, the highest peak is the first one in the morning.
- Morning and evening peak type, which has peaks during the evening period in addition to the morning peak.
- No peak, which has no peaks in the hourly heating profile of the day.
3.3. Peak Load Quantification
3.4. Peak Load Shifting Potential
4. Conclusions and Discussion
- The energy consumption profiles were categorized into five types in the winter and transition season. Most of the buildings had the hat shape peak type during the winter and the morning peak type during the transition season. No correlation was found between the function of the buildings and the peak type.
- For the analyzed 61 buildings, the total peak loads were 808.0 MWh in the winter and 639.9 MWh in the transition season in 2018. The hat shape type’s peak load was predominating in the winter with 353.3 MWh, and accounted for 55% of the total peak loads. In the transition season, the morning peak type was the majority with a peak load of 338.0 MWh and accounted for 52.8% of the total peak loads. In the winter and transition season, the peak load accounted for 24% of total heating consumption. The buildings with the hat shape profile have been shown to have a notable potential for load shifting.
- For the modeled building with a hat shape profile, the morning peak was reduced by about 70% in all scenarios, by implementing the proposed load shifting strategy. It was shown that the energy consumption during morning peak hours could be reduced by between 2.2 MWh and 2.5 MWh during the 50 weekdays in the winter. For the investigated building, the optimal start time of preheating was 2 h before the morning peak.
Author Contributions
Funding
Acknowledgments
Conflicts of Interest
Nomenclature
| Indices, Parameters and Variables | |
| origin value | |
| normalized value | |
| mean of dataset | |
| standard deviation of dataset | |
| indicator for peak load magnitude quantification | |
| maximum heating power of a load profile (kW) | |
| threshold for peak load of a load profile (kW) | |
| heating power at 10:00 (kW) | |
| heating load during peak hours (kWh) | |
| total heating load of the day (kWh) | |
| heating load during preheating hours (kWh) | |
| increased heating load during preheating hours in scenarios compared with the reference case (kWh) | |
| reduced heating load during morning peak hours in scenarios compared with the reference case (kWh) | |
| Si | scenario i |
| peak load duration of a load profile (h) | |
| secondary side space heating supply water temperature setpoints (°C) | |
| ambient temperature (°C) | |
Abbreviations
| CV(RMSD) | Coefficient of variation of the root mean squared distance |
| DH | District heating |
| DSM | Demand side management |
| DHW | Domestic hot water |
| LSF | Load shifting factor |
| SH | Space heating |
| WCCs | Weather compensation curves |
Subscripts
| ref | reference case |
| S | scenarios |
References
- Danish Government. The Danish Climate Policy Plan; Ministry of Climate, Energy and Building: Copenhagen, Denmark, 2013; Volume 61. Available online: https://ens.dk/sites/ens.dk/files/Analyser/danishclimatepolicyplan_uk.pdf (accessed on 25 August 2019).
- Shelley, T. Green Energy—The Road to a Danish Energy System Without Fossil Fuels; Danish Commission on Climate Change Policy: Copenhagen, Denmark, 2000; pp. 30–31. [Google Scholar]
- Balaras, C.; Gaglia, A.G.; Georgopoulou, E.; Mirasgedis, S.; Sarafidis, Y.; Lalas, D.P. European residential buildings and empirical assessment of the Hellenic building stock, energy consumption, emissions and potential energy savings. Build. Environ. 2007, 42, 1298–1314. [Google Scholar] [CrossRef]
- Gong, M.; Werner, S. Exergy analysis of network temperature levels in Swedish and Danish district heating systems. Renew. Energy 2015, 84, 106–113. [Google Scholar] [CrossRef]
- Lund, H.; Vad Mathiesen, B.; Connolly, D.; Østergaarda, P.A. Renewable energy systems—A smart energy systems approach to the choice and modelling of 100 % renewable solutions. Chem. Eng. Trans. 2014, 39, 1–6. [Google Scholar] [CrossRef]
- Sandersen, C.; Honoré, K. District Heating Flexibility—Short Term Heat Storage in Buildings; HOFOR: Copenhagen, Denmark, 2018; pp. 1–30. [Google Scholar]
- Lizana, J.; Friedrich, D.; Renaldi, R.; Chacartegui, R. Energy flexible building through smart demand-side management and latent heat storage. Appl. Energy 2018, 230, 471–485. [Google Scholar] [CrossRef]
- Uddin, M.; Romlie, M.; Abdullah, M.F.; Halim, S.A.; Abu Bakar, A.H.; Kwang, T.C. A review on peak load shaving strategies. Renew. Sustain. Energy Rev. 2018, 82, 3323–3332. [Google Scholar] [CrossRef]
- Stinner, S.; Huchtemann, K.; Müller, D. Quantifying the operational flexibility of building energy systems with thermal energy storages. Appl. Energy 2016, 181, 140–154. [Google Scholar] [CrossRef]
- Finck, C.; Li, R.; Kramer, R.; Zeiler, W. Quantifying demand flexibility of power-to-heat and thermal energy storage in the control of building heating systems. Appl. Energy 2018, 209, 409–425. [Google Scholar] [CrossRef]
- Foteinaki, K.; Li, R.; Heller, A.; Rode, C. Heating system energy flexibility of low-energy residential buildings. Energy Build. 2018, 180, 95–108. [Google Scholar] [CrossRef]
- Wolisz, H.; Harb, H.; Matthes, P.; Streblow, R.; Müller, D. Dynamic simulation of thermal capacity and charging/ discharging performance for sensible heat storage in building wall mass. In Proceedings of the 13th Conference of International Building Performance Simulation Association, Chambery, France, 26–28 August 2013; pp. 2716–2723. [Google Scholar]
- Favre, B.; Peuportier, B. Application of dynamic programming to study load shifting in buildings. Energy Build. 2014, 82, 57–64. [Google Scholar] [CrossRef]
- Guelpa, E.; Deputato, S.; Verda, V. Thermal request optimization in district heating networks using a clustering approach. Appl. Energy 2018, 228, 608–617. [Google Scholar] [CrossRef]
- Guelpa, E.; Marincioni, L.; Deputato, S.; Capone, M.; Amelio, S.; Pochettino, E.; Verda, V. Demand side management in district heating networks: A real application. Energy 2019, 182, 433–442. [Google Scholar] [CrossRef]
- Finck, C.; Li, R.; Zeiler, W. Optimal control of demand flexibility under real-time pricing for heating systems in buildings: A real-life demonstration. Appl. Energy 2020, 263, 114671. [Google Scholar] [CrossRef]
- Cai, H.; Ziras, C.; You, S.; Li, R.; Honoré, K.; Bindner, H.W. Demand side management in urban district heating networks. Appl. Energy 2018, 230, 506–518. [Google Scholar] [CrossRef]
- Arnaudo, M.; Topel, M.; Puerto, P.; Widl, E.; Laumert, B. Heat demand peak shaving in urban integrated energy systems by demand side management—A techno-economic and environmental approach. Energy 2019, 186, 115887. [Google Scholar] [CrossRef]
- Arteconi, A.; Hewitt, N.; Polonara, F. Domestic demand-side management (DSM): Role of heat pumps and thermal energy storage (TES) systems. Appl. Therm. Eng. 2013, 51, 155–165. [Google Scholar] [CrossRef]
- An, J.; Yan, D.; Hong, T. Clustering and statistical analyses of air-conditioning intensity and use patterns in residential buildings. Energy Build. 2018, 174, 214–227. [Google Scholar] [CrossRef]
- Xue, P.; Zhou, Z.; Fang, X.; Chen, X.; Liu, L.; Liu, Y.; Liu, J. Fault detection and operation optimization in district heating substations based on data mining techniques. Appl. Energy 2017, 205, 926–940. [Google Scholar] [CrossRef]
- Capozzoli, A.; Lauro, F.; Khan, I. Fault detection analysis using data mining techniques for a cluster of smart office buildings. Expert Syst. Appl. 2015, 42, 4324–4338. [Google Scholar] [CrossRef]
- Gadd, H.; Werner, S. Daily heat load variations in Swedish district heating systems. Appl. Energy 2013, 106, 47–55. [Google Scholar] [CrossRef]
- Finck, C.; Li, R.; Zeiler, W. Economic model predictive control for demand flexibility of a residential building. Energy 2019, 176, 365–379. [Google Scholar] [CrossRef]
- Guelpa, E.; Marincioni, L.; Verda, V. Towards 4th generation district heating: Prediction of building thermal load for optimal management. Energy 2019, 171, 510–522. [Google Scholar] [CrossRef]
- Andriamamonjy, A.; Klein, R.; Saelens, D. Automated grey box model implementation using BIM and Modelica. Energy Build. 2019, 209–225. [Google Scholar] [CrossRef]
- Lin, M.; Fan, B.; Lui, J.C.; Chiu, D.-M. Stochastic analysis of file-swarming systems. Perform. Eval. 2007, 64, 856–875. [Google Scholar] [CrossRef]
- Miller, C.; Nagy, Z.; Schlueter, A. A review of unsupervised statistical learning and visual analytics techniques applied to performance analysis of non-residential buildings. Renew. Sustain. Energy Rev. 2018, 81, 1365–1377. [Google Scholar] [CrossRef]
- Halkidi, M.; Batistakis, Y.; Vazirgiannis, M. On clustering validation techniques. J. Intell. Inf. Syst. 2001, 17, 107–145. [Google Scholar] [CrossRef]
- Rani, S.; Sikka, G. Recent techniques of clustering of time series data: A survey. Int. J. Comput. Appl. 2012, 52, 1–9. [Google Scholar] [CrossRef]
- Liao, T.W. Clustering of time series data—A survey. Pattern Recognit. 2005, 38, 1857–1874. [Google Scholar] [CrossRef]
- Gadd, H.; Werner, S. Heat load patterns in district heating substations. Appl. Energy 2013, 108, 176–183. [Google Scholar] [CrossRef]
- Carmo, C.M.R.D.; Christensen, T.H. Cluster analysis of residential heat load profiles and the role of technical and household characteristics. Energy Build. 2016, 125, 171–180. [Google Scholar] [CrossRef]
- Gianniou, P.; Liu, X.; Heller, A.; Nielsen, P.S.; Rode, C. Clustering-based analysis for residential district heating data. Energy Convers. Manag. 2018, 165, 840–850. [Google Scholar] [CrossRef]
- Yang, J.; Ning, C.; Deb, C.; Zhang, F.; Cheong, K.W.; Lee, S.E.; Sekhar, C.; Tham, K.W. k-Shape clustering algorithm for building energy usage patterns analysis and forecasting model accuracy improvement. Energy Build. 2017, 146, 27–37. [Google Scholar] [CrossRef]
- Hadley, W.; Grolemund, G. R for Data Science—Import, Tidy, Transformation, Visualize and Model Data, 1st ed.; O’Reilly: Sebastopol, CA, USA, 2017; Available online: https://r4ds.had.co.nz/index.html (accessed on 5 December 2019).
- Gaitani, N.; Lehmann, C.; Santamouris, M.; Mihalakakou, G.; Patargias, P. Using principal component and cluster analysis in the heating evaluation of the school building sector. Appl. Energy 2010, 87, 2079–2086. [Google Scholar] [CrossRef]
- Kassambara, A. Practical Guide to Cluster Analysis in R: Unsupervised Machine Learning, 1st ed.; CreateSpace Independent Publishing Platform: Scotts Valley, CA, USA, 2017. [Google Scholar]
- Hastie, T.; Tibshirani, R.; Friedman, J. The Elements of Statistical Learning Data Mining, Inference, and Prediction, 2nd ed.; Springer: Berlin/Heidelberg, Germany, 2009. [Google Scholar]
- Erdogan, N.; Erden, F.; Kisacikoglu, M. A fast and efficient coordinated vehicle-to-grid discharging control scheme for peak shaving in power distribution system. J. Mod. Power Syst. Clean Energy 2018, 6, 555–566. [Google Scholar] [CrossRef]
- Son, S.; Song, H. Real-time peak shaving algorithm using fuzzy wind power generation curves for large-scale battery energy storage systems. Int. J. Fuzzy Log. Intell. Syst. 2014, 14, 305–312. [Google Scholar] [CrossRef]
- Chapaloglou, S.; Nesiadis, A.; Iliadis, P.; Atsonios, K.; Nikolopoulos, N.; Grammelis, P.; Yiakopoulos, C.; Antoniadis, I.; Kakaras, E. Smart energy management algorithm for load smoothing and peak shaving based on load forecasting of an island’s power system. Appl. Energy 2019, 238, 627–642. [Google Scholar] [CrossRef]
- Zheng, M.; Meinrenken, C.J.; Lackner, K.S. Smart households: Dispatch strategies and economic analysis of distributed energy storage for residential peak shaving. Appl. Energy 2015, 147, 246–257. [Google Scholar] [CrossRef]
- T.R. of the U. of C. (through Lawrence Berkeley National Laboratory), Modelica Building Libray, (n.d.). Available online: https://simulationresearch.lbl.gov/modelica/index.html (accessed on 17 November 2019).
- Scrucca, L.; Fop, M.; Murphy, T.B.; Raftery, A.E. Mclust 5: Clustering, classification and density estimation using gaussian finite mixture models. R.J. 2016, 8, 289–317. [Google Scholar] [CrossRef]
- EN/DS 15251. Indoor environmental input parameters for design and assessment of energy performance of buildings-addressing indoor air quality, thermal environment, lighting and acoustics. Dansk Standard. 2006, pp. 1–52. Available online: http://www.cres.gr/greenbuilding/PDF/prend/set4/WI_31_Pre-FV_version_prEN_15251_Indoor_Environment.pdf (accessed on 31 July 2019).
- Yu, Y.; Woradechjumroen, D.; Yu, D. A review of fault detection and diagnosis methodologies on air-handling units. Energy Build. 2014, 82, 550–562. [Google Scholar] [CrossRef]












| Building Function | Number |
|---|---|
| Daycare center | 38 |
| Inpatient institution | 10 |
| Teaching and researching facility | 7 |
| Others | 6 |
| No. | Attribute | Unit |
|---|---|---|
| 1 | Datetime | yyyy-mm-dd hh:mm:ss |
| 2 | Energy | MWh |
| 3 | Cumulative flow | m3 |
| 4 | Supply water temperature | °C |
| 5 | Return water temperature | °C |
| No. | Attribute | Unit |
|---|---|---|
| 1 | Datetime | yyyy-mm-dd hh:mm:ss |
| 2 | Supply water temperature of loop i | °C |
| 3 | Supply water temperature setpoint of loop i | °C |
| 4 | Return water temperature of loop i | °C |
| 5 | Return water temperature setpoint of loop i | °C |
| 6 | Ambient temperature | °C |
| Model Calibration and Validation | Calibration of the Thermal Zone Model (4 Months) | Calibration of System Operation (4 Months) | Model Validation (5 Months) |
|---|---|---|---|
| CV(RMSD) | 0.126 | 0.198 | 0.204 |
| Scenario | Period | Time | Function of Supply Temperature Setpoints for SH Loop T2s,SH,sp = |
|---|---|---|---|
| Ref. | Working | 06:00–17:00 | −1.42Tamb + 57.1 |
| Off-work | 18:00–05:00 | −1.72Tamb + 51.1 | |
| S1 | Peak hours | 06:00–09:00 | −1.43Tamb + 51.8 |
| S2, S3 | Peak hours | 06:00–09:00 | −1.42Tamb + 50.1 |
| S2 | Preheating | 04:00–05:00 | −1.72Tamb + 63.1 |
| S3 | 03:00–05:00 | −1.72Tamb + 61.1 |
| Profile Type in Winter | Daycare | Nursing Home | Teaching | Others | Sum |
| Hat shape | 14 | 0 | 0 | 0 | 14 |
| Morning | 9 | 1 | 5 | 4 | 19 |
| Morning and afternoon | 10 | 2 | 0 | 0 | 12 |
| Morning and evening | 2 | 1 | 0 | 0 | 3 |
| None | 3 | 6 | 2 | 2 | 13 |
| Sum | 38 | 10 | 7 | 6 | 61 |
| Profile Type in the Transition Season | Daycare | Nursing Home | Teaching | Others | Sum |
| Hat shape | 3 | 0 | 0 | 0 | 3 |
| Morning | 20 | 7 | 7 | 5 | 39 |
| Morning and afternoon | 13 | 1 | 0 | 0 | 14 |
| Morning and evening | 1 | 1 | 0 | 0 | 2 |
| None | 1 | 1 | 0 | 1 | 3 |
| Sum | 38 | 10 | 7 | 6 | 61 |
| Profile Type in Winter | (MWh) | (MWh) | (%) | (%) |
| Hat shape | 353.3 | 642.7 | 55.0 | 10.7 |
| Morning | 200.2 | 1673.9 | 12.0 | 6.1 |
| Morning and afternoon | 167.5 | 687.8 | 24.4 | 5.1 |
| Morning and evening | 87.0 | 286.8 | 30.3 | 2.6 |
| Sum of all types | 808.0 | 3291.2 | - | 24.5 |
| Profile Type in the Transition Season | (MWh) | (MWh) | (%) | (%) |
| Hat shape | 73.8 | 136.1 | 54.2 | 2.8 |
| Morning | 338.0 | 1997.4 | 16.9 | 12.6 |
| Morning and afternoon | 156.7 | 384.1 | 40.8 | 5.9 |
| Morning and evening | 71.4 | 160.2 | 44.6 | 2.7 |
| Sum of all types | 639.9 | 2677.8 | - | 23.9 |
| Scenarios | Peak load Reduction Rate in Morning Peak Hours (%), Equation (6) | Load Increasing Rate in Preheating Hours (%), Equation (7) | Rebound Effect after Peak Hours (%), Equation (8) | LSF (-), Equation (5) | ||
|---|---|---|---|---|---|---|
| Ref. | 0 | 0 | 0.0 | 0.0 | 0.0 | - |
| S1 | 2.16 | 0 | −68.7 | 0.0 | 16.1 | 1.00 |
| S2 | 2.46 | 0.76 | −70.2 | 32.6 | 20.2 | 0.53 |
| S3 | 2.45 | 0.81 | −70.0 | 23.6 | 20.1 | 0.50 |
© 2020 by the authors. Licensee MDPI, Basel, Switzerland. This article is an open access article distributed under the terms and conditions of the Creative Commons Attribution (CC BY) license (http://creativecommons.org/licenses/by/4.0/).
Share and Cite
Yang, Y.; Li, R.; Huang, T. Smart Meter Data Analysis of a Building Cluster for Heating Load Profile Quantification and Peak Load Shifting. Energies 2020, 13, 4343. https://doi.org/10.3390/en13174343
Yang Y, Li R, Huang T. Smart Meter Data Analysis of a Building Cluster for Heating Load Profile Quantification and Peak Load Shifting. Energies. 2020; 13(17):4343. https://doi.org/10.3390/en13174343
Chicago/Turabian StyleYang, Yunbo, Rongling Li, and Tao Huang. 2020. "Smart Meter Data Analysis of a Building Cluster for Heating Load Profile Quantification and Peak Load Shifting" Energies 13, no. 17: 4343. https://doi.org/10.3390/en13174343
APA StyleYang, Y., Li, R., & Huang, T. (2020). Smart Meter Data Analysis of a Building Cluster for Heating Load Profile Quantification and Peak Load Shifting. Energies, 13(17), 4343. https://doi.org/10.3390/en13174343

