You are currently viewing a new version of our website. To view the old version click .
Energies
  • Article
  • Open Access

30 May 2020

Synthesis, Structure and NH3 Sorption Properties of Mixed Mg1-xMnx(NH3)6Cl2 Ammines

,
,
,
,
,
and
1
Department for Neutron Materials Characterization, Institute for Energy Technology, P.O. Box 40, NO-2027 Kjeller, Norway
2
Department of Energy Conversion and Storage, Technical University of Denmark, Fysikvej, DK-2800 Lyngby, Denmark
3
Center for Materials Crystallography, Interdisciplinary Nanoscience Center (iNANO) and Department of Chemistry, Aarhus University, Langelandsgade 140, 8000 Aarhus C, Denmark
*
Author to whom correspondence should be addressed.
This article belongs to the Section A5: Hydrogen Energy

Abstract

This paper describes the synthesis, crystal structure, and NH3 sorption properties of Mg1−xMnx(NH3)6Cl2 (x = 0–1) mixed metal halide ammines, with reversible NH3 storage capacity in the temperature range 20–350 °C. The stoichiometry (x) dependent NH3 desorption temperatures were monitored using in situ synchrotron radiation powder X-ray diffraction, thermogravimetric analysis, and differential scanning calorimetry. The thermal analyses reveal that the NH3 release temperatures decrease in the mixed metal halide ammines in comparison to pure Mg(NH3)6Cl2, approaching the values of Mn(NH3)6Cl2. Desorption occurs in three steps of four, one and one NH3 moles, with the corresponding activation energies of 54.8 kJ⋅mol−1, 73.2 kJ⋅mol−1 and 91.0 kJ⋅mol−1 in Mg0.5Mn0.5(NH3)6Cl2, which is significantly lower than the NH3 release activation energies of Mg(NH3)6Cl2 (Ea = 60.8 kJ⋅mol−1, 74.8 kJ⋅mol−1 and 91.8 kJ⋅mol−1). This work shows that Mg1−xMnx(NH3)yCl2 (x = 0 to 1, y = 0 to 6) is stable within the investigated temperature range (20–350 °C) and also upon NH3 cycling.

1. Introduction

Energy storage materials and methods have gained high interest to ensure the transition to carbon-free future. Hydrogen, as a high-density energy carrier alternative to fossil fuels, is one of the promising solutions for energy storage systems via solid storage of hydrogen [1,2,3,4]. Several studies have highlighted the potential of ammonia for hydrogen-based energy systems [5,6,7,8].
Metal halide ammines have been studied as indirect hydrogen and ammonia storage materials [9,10,11]. Particularly Mg(NH3)6Cl2 has received significant attention due to its high gravimetric NH3 and H2 capacity of 51.8 wt% and 9.2 wt%, respectively [12,13,14,15,16,17]. Mg(NH3)6Cl2 crystallizes in the cubic space group Fm-3m with a K2PtCl6-structure type and a = 10.1899(4) Å [18]. NH3 is thermally released in three steps at the temperatures of 142 °C (4 moles of NH3), 230 °C (1 mole of NH3) and 375 °C (1 mole of NH3), respectively against an ammonia pressure of 1 bar [15]. The phase-formation and thermodynamic properties of Mg(NH3)6Cl2, Mg(NH3)2Cl2 and Mg(NH3)Cl2 have been thoroughly studied, and the high temperatures necessary to release the two last moles of NH3 hampers the application of Mg(NH3)6Cl2 as an effective energy storage system [19,20,21,22]. However, the desorption temperatures of NH3 may be tailored toward lower NH3 desorption temperatures via the formation of solid solutions, e.g., mixed cation metal halide ammines. Mn(NH3)6Cl2 also exhibits a high gravimetric capacity of ammonia (44.8 wt%), and is isostructural to Mg(NH3)6Cl2 with a slightly larger unit cell parameter: a = 10.249(3) Å [23]. Similar to Mg(NH3)6Cl2, NH3 is released from Mn(NH3)6Cl2 in three steps with desorption temperatures of 80 °C, 180 °C, and 354 °C, respectively, and thus lower than the desorption temperatures of Mg(NH3)6Cl2 [13,15]. However, only the sorption cyclability of the four first moles of NH3 in Mn(NH3)6Cl2 has been considered for ammonia storage applications, which is found to be reversible for at least 10 cycles [10].
The ammonia release temperatures are associated with the binding energy of NH3 with its surrounding ions, which depends on the elements and crystal structures of the metal halides as elucidated in a recent study [24]. Formation of solid solutions has been suggested as an approach to tailor the NH3 desorption temperatures and kinetics [25,26,27]. The NH3 binding energies were investigated in SrCl2-CaCl2 solid solutions, and they were found to be intermediate those of the two precursors [28]. This led to studies on solid solutions of Sr1−xBax(NH3)8Cl2 and Sr1−xCax(NH3)8Cl2, and their respective NH3 release properties. Sr1−xBax(NH3)8Cl2 solid solutions showed that varying the relative ratios of metal allowed tuning of the desorption temperature of ammonia. The gradual effect on the ammonia release temperature was observed with the optimal mixing condition of 37.5 % of BaCl2 in Sr1−xBax(NH3)8Cl2 showing the full release of ammonia at temperature T < 100 °C of the final mixed metal halide ammine [25]. Similarly, it was demonstrated for Sr1−xCaxCl2 solid solutions and the corresponding Sr1−xCax(NH3)8Cl2 ammines that the NH3 absorption and desorption properties could be enhanced by tuning the mixing ratio [26,27]. Additionally, the ammonia storage properties and crystal structures of the CaCl2-CaBr2, SrCl2-SrBr2 and SrCl2-SrI2 solid solutions have also been investigated, and intermediate ammonia storage properties of the mixed anion metal halides were observed [28,29,30]. These studies show the possibility of forming mixed metal halides with tunable ammonia sorption properties. Solid solutions of borohydride-based ammines have also been investigated as potential solid-state hydrogen storage materials. The solid solutions of Mg1−xMnx(BH4)2⋅6NH3 and structural similarities of Mg(BH4)2 and Mn(BH4)2 and their corresponding ammines were studied [31,32]. Similar to the present study it revealed temperature changes for ammonia release when compared to those of the pristine samples.
Inspired by the structural similarities between Mg(NH3)6Cl2 and Mn(NH3)6Cl2, this work addresses an investigation of solid solutions of Mg1−xMnx(NH3)6Cl2. Here we show the synthesis of these novel series of mixed metal halide ammines with tunable properties for the NH3 desorption. We present the Mg1−xMnx(NH3)6Cl2 (x = 0.025, 0.05, 0.1, 0.3 and 0.5) solid solutions obtained by mechanical mixing of MgCl2 and MnCl2, followed by annealing and subsequent exposure to anhydrous NH3 gas. The mixed metal halide ammines were systematically investigated with in situ powder X-ray diffraction, thermogravimetric analysis, differential scanning calorimetry and volumetric Sieverts techniques. The thermally induced ammonia release for the mixed metal halide ammines is discussed: three NH3 desorption events are observed and the crystal structures of the intermediate ammine phases are identified and structurally characterized. The kinetics, absorption, and desorption properties of NH3 are studied. The results presented in this work show that by changing the relative Mg/Mn ratio the NH3 sorption properties can be tuned and optimized depending on the application.

2. Materials and Methods

2.1. Sample Preparation

Anhydrous MgCl2 and MnCl2 powders with a purity of 99.999% were purchased from Alfa Aesar and Sigma-Aldrich, respectively. Mg1−xMnxCl2 solid solutions (x = 0.025, 0.05, 0.1, 0.3 and 0.5) were obtained using a SPEX SamplePrep 8000D Dual Mixer high-energy ball mill. The powders were placed in a 25 mL hardened steel vial together with hardened steel balls (10 mm diameter) in a ball-to-powder mass ratio of 16:1 and sealed in an Ar-filled glove box (<1 ppm of O2 and H2O). The ball milling program was for one hour.
The as-milled powders were annealed to increase the crystallinity. Batches of ~0.5 g of the as-milled powders were sealed in a stainless-steel cylinder inside a glove box, and subsequently heated to 350 °C with a heating rate of 1 °C⋅sec−1 and kept isothermal at 350 °C for 24 h. These samples are denoted “as-synthesized” samples. Subsequently, the as-synthesized samples were placed in a high temperature stainless-steel cylinder and connected to an in-house built Sieverts apparatus. The samples were then exposed to an NH3 gas pressure of 2.5 bar at room temperature (RT) for at least 3 h. MnCl2 was ammoniated for 3 h at T = −20 °C and 1 bar NH3. It was then stored in a glovebox freezer at −34 °C prior to the experiments, due to instability of the Mn(NH3)6Cl2 at ambient conditions. These samples are denoted “ammoniated” samples.

2.2. Thermal Analysis

Combined thermogravimetric analysis (TGA) and differential scanning calorimetry (DSC) of the monometallic and mixed metal halide ammines were measured using a Netzsch STA 449 F3 Jupiter apparatus. The powders (~40 mg) were placed in an alumina crucible with a pierced lid under protective Ar atmosphere in a glove box. The alumina crucibles were shortly exposed to air (ca. 1 min) during mounting in the TGA-DSC apparatus. The powders were heated from RT to 455 °C with a heating rate of 5 °C⋅min−1 in an Ar flow of 50 mL⋅min−1. Additionally, the batches of Mg(NH3)6Cl2, Mg0.5Mn0.5(NH3)6Cl2 and Mn(NH3)6Cl2 powder (~10 mg) were measured at six different heating rates of 1, 2, 5, 10, 20 and 40 °C⋅min−1 for Kissinger analyses [33].

2.3. Synchrotron Radiation Powder X-ray Diffraction

High resolution in situ temperature varied synchrotron radiation powder X-ray diffraction (SR-PXD) experiments were performed at the Swiss Light Source (SLS), Switzerland and at the Diamond Light Source, Oxford, UK. At SLS, data were obtained at the Material Science powder diffraction beamline X04SA [34] using a monochromatic beam in Debye–Scherrer geometry with a Mythen microstrip detector with a wavelength of λ = 0.709396 Å. At Diamond, data were obtained at the I11 beamline [35] using a wide angle position sensitive detector and a wavelength of λ = 0.82646 Å. In both cases, the samples were loaded into 0.5 mm borosilicate glass capillaries in an Ar-filled glove box (<1 ppm of O2 and H2O), sealed with grease and rotated during data acquisition. The samples were heated at 5 °C⋅min−1 from RT to 500 °C using a heat blower. The temperature was calibrated using a NaCl standard prior to diffraction runs [36]. The powder diffraction data were normalized and reduced, then modeled and refined according to the Rietveld method as implemented in the TOPAS software [37].
The structural models of Mg(NH3)6Cl2, Mg(NH3)2Cl2 and Ni(NH3)Cl2 were used as starting points for Rietveld refinements of the hexammine, diammine, and monoammine phases of the mixed metal halide ammines, respectively. The diffraction peaks were modeled by a Thompson-Cox-Hastings pseudo-Voigt function. The scale factor, zero-shift, unit cell parameters, atomic positions and background were refined. The N-H and H-H distances were restrained using soft restraints function during the Rietveld refinements.

2.4. Sorption Kinetics and Cycling

The two pristine materials MgCl2 and MnCl2 and the mixed metal halides Mg0.9Mn0.1Cl2 and Mg0.5Mn0.5Cl2 (m ~0.1 g) were studied with regards to their NH3 absorption and desorption kinetics. The absorption process was conducted under 2.5 bar of NH3 at RT, while the desorption reaction was achieved by heating the samples up to 350 °C with a heating rate of 2 °C⋅min−1 under 1 bar of NH3. A calibrated volume consisting of a reference volume (V = 482.9 mL) and a sample chamber (V = 23.25 mL) was used during the experiments and the moles of absorbed and desorbed NH3 were calculated according ideal gas law using the formula below:
Δ n = Δ P V R T ,
where Δn is the number of NH3 moles absorbed or desorbed, ΔP is the pressure change in the system occurring due to absorption or desorption of NH3, V is the volume, R is the gas constant and T is the temperature. In all cases, the number of absorbed or desorbed moles was normalized by the molar weight of the corresponding compound. Each NH3 desorption was followed by evacuation of the released NH3 from the cylinder to avoid reabsorption of the NH3 gas during cooling to RT. The NH3 desorption/absorption was cycled four times for each sample.

3. Results and Discussion

3.1. Structural Characterization of the As-Synthesized and Ammoniated Samples at RT

SR-PXD data were collected for the pristine samples, MgCl2 and MnCl2, and for the as-synthesized Mg1−xMnxCl2, (x = 0.025, 0.05, 0.1, 0.3 and 0.5) samples. The unit cell parameters are presented in Table S1 in the Supporting Information. The diffraction patterns in Figure 1 confirm the formation of a MgCl2-MnCl2 solid solutions, as only a single set of Bragg diffraction peaks belonging to Mg1−xMnxCl2 are observed, which is positioned in between that of MgCl2 and MnCl2. MgCl2 and MnCl2 are isostructural and crystallize in the trigonal CdCl2-type structure with space group symmetry R-3m [38,39].
Figure 1. SR-PXD patterns of Mg1−xMnxCl2 (x = 0, 0.025, 0.05, 0.1, 0.3, 0.5 and 1) obtained at RT. All peaks belong to the same CdCl2-type phase.
The MgCl2-MnCl2 solid solution follows Vegard’s law approximately, as the volume is a function of the relative content of cations and in between that of the two pristine compounds, see Figure 2a. The larger ionic radius of Mn2+ (0.83 Å) as compared to Mg2+ (0.72 Å) results in an increase of the unit cell volume [40]. The deviation from Vegard’s law might be due to a localized strain field caused by difference in Mg and Mn sizes, as well as to the different outer electronic structures of the mixing components (Mg and Mn in our case) [41]. The solid solution is maintained after ammoniation and the deviation from Vegard’s law remains. It should be noted that a negative deviation from Vegard’s law should be also expected if contamination from iron contained in the milling media results in the form Mg1−x−yMnxFeyCl2. Indeed, the ionic radius for Fe2+ (0.63 Å) is smaller than the radii of both Mg2+ and Mn2+ [40]. However, even if slight contaminations from the milling media and metallic Fe cannot be ruled out, they are expected to be very limited due to the relatively short milling time (1 h) used in this work. Additionally, metallic Fe must be oxidized to Fe2+ in order to substitute Mg2+/Mn2+ and form Mg1−x−yMnxFeyCl2. Therefore, it is most likely that the deviation from Vegard’s law observed here might be due to the different outer electronic structures of Mg and Mn. Rietveld refinement and structural characterization of the ammoniated samples confirm the cubic Mg(NH3)6Cl2 structure for all mixed cation hexammines (Supporting Information, Figure S1–S5). Figure 2b illustrate Vegard’s law (blue dotted line) for Mg1−xMnx(NH3)6Cl2. Surprisingly, the unit cell volume for samples with x < 0.05 are lower than that of Mg(NH3)6Cl2.
Figure 2. Unit cell volumes (V) of (a) Mg1−xMnxCl2 and (b) Mg1−xMnx(NH3)6Cl2 at RT divided by the number of formula units (Z), plotted as a function of the Mn amount in the formula unit (x = 0, 0.025, 0.05, 0.1, 0.3, 0.5 and 1). The blue dotted line represents Vegard’s law. The standard deviations are within the data points.
The atomic positions of the monometallic and mixed hexammines obtained from Rietveld refinement are presented in Table 1. During the Rietveld refinements Mg and Cl atoms are fixed in the 4a and 8c positions, respectively, while the x-coordinate of N atom (24e position) is refined. N-H and H-H distances are restrained at ~1.107 Å and ~1.345 Å, respectively. Mg-N and Mn-N bond distances for the monometallic hexammines are 2.1564(7) Å and 2.2100(14) Å and thus similar to the previously reported values (2.197(5) [18] and 2.270(15) [23], respectively). Mg1−xMnx-N bond distances are intermediate between the Mg-N and Mn-N bond distances. The unit cell parameters of the monometallic Mg(NH3)6Cl2 and Mn(NH3)6Cl2 obtained in this study are a = 10.19579(9) Å and a = 10.26017(2) Å which correspond to the values reported previously [18,23]. The unit cell parameters for Mg1−xMnx(NH3)6Cl2 are also intermediate between the unit cell parameters of the monometallic hexammines.
Table 1. Atomic positions of the monometallic and mixed hexammines: Mg1−xMnx (x = 0 to 1) in (0, 0, 0), Cl in (1/4, 1/4, 1/4) and N in (x, 0, 0)*.

3.2. Thermal Analysis

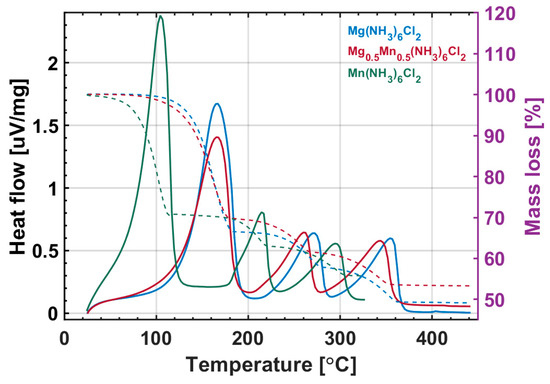
Figure 3 shows the TGA-DSC measurements performed on Mg(NH3)6Cl2, Mn(NH3)6Cl2 and Mg0.5Mn0.5(NH3)6Cl2. The DSC measurements for the other mixed ammines are shown in the Supporting Information (Figure S6). All the hexammine compounds are relatively stable at RT, except for Mn(NH3)6Cl2, which slowly releases NH3 in the glove box at RT. Thus, Mn(NH3)6Cl2 was kept at T = −34 °C in a glovebox freezer prior to the TGA-DSC measurements.
Figure 3. TGA-DSC of Mg(NH3)6Cl2, Mg0.5Mn0.5(NH3)6Cl2 and Mn(NH3)6Cl2 measured from RT to 450 °C, ΔT/Δ t = 5 °C⋅min−1.
TGA-DSC data shows the desorption process of the monometallic and mixed chloride ammines which consists of three events. With a heating rate of 5 °C⋅min−1, the onset temperatures of the initial ammonia desorption of 4 NH3 moles from Mg(NH3)6Cl2 and Mn(NH3)6Cl2 are observed at 121 °C and 79 °C, respectively. For the solid solution Mg0.5Mn0.5(NH3)6Cl2, the onset temperature for the first desorption is 116 °C. The onset temperature for the next NH3 release is at 179 °C for Mg0.5Mn0.5(NH3)2Cl2, significantly lower as compared to 211 °C in Mg(NH3)2Cl2 and similar to 179 °C in Mn(NH3)2Cl2. The onset temperature of the last NH3 desorption of Mg0.5Mn0.5(NH3)Cl2 is 276 °C, which is lower than the last desorption event onset temperature of Mg(NH3)Cl2 – 289 °C. Mn(NH3)Cl2 starts desorbing the last mole of NH3 at 257 °C.
Each NH3 desorption step is followed by mass loss. In the first desorption step, 4 NH3 moles are released and Mg0.5Mn0.5(NH3)6Cl2 experience a 30.2% mass loss, while the next two desorption events reduce the mass of the sample by 8.3% and 8.1%, respectively. The mass loss ratio 4:1:1 of the monometallic and mixed hexammines (Supporting Information, Table S2) corresponds to the moles of NH3 desorbed in each desorption event, i.e., four moles of NH3 released in the first desorption step, and 1 mole of NH3 released in the second and third step, respectively, and agrees well with the theoretical weight loss expected from the NH3 desorption. The gravimetric NH3 capacities for the monometallic and the mixed cation hexammines are presented in Table S3. SR-PXD data measured of Mg1−xMnx(NH3)6Cl2, (x = 0, 0.025, 0.05, 0.1, 0.3 and 0.5) after the TGA-DSC measurements confirm the reformation of Mg1−xMnxCl2 after full NH3 release, thus confirming the stability of the solid solution (Supporting Information, Figure S7).
Kissinger analysis was performed on the DSC heat flow signals for the three desorption events measured for Mg(NH3)6Cl2, Mn(NH3)6Cl2 and Mg0.5Mn0.5(NH3)6Cl2 to determine the activation energy and investigate their NH3 desorption kinetics. Kissinger plots for the three endothermic events with the release of 4, 1 and 1 moles of NH3 are shown in Figure 4a–c. The corresponding activation energies were calculated for each desorption event and are presented in Figure 4d–f. The activation energy of the first four moles of NH3 desorption from Mg0.5Mn0.5(NH3)6Cl2 is 54.8 kJ⋅mol−1, which is approximately in between that of Mg(NH3)6Cl2 (Ea = 60.8 kJ⋅mol−1) and Mn(NH3)6Cl2 (Ea = 43.5 kJ⋅mol−1). For the second NH3 desorption step, the activation energy for Mg0.5Mn0.5(NH3)2Cl2 is 73.2 kJ⋅mol−1, in between that of Mg(NH3)2Cl2 (Ea = 74.8 kJ⋅mol−1) and Mn(NH3)2Cl2 (Ea = 67.7 kJ⋅mol−1). The final desorption event of Mg0.5Mn0.5(NH3)Cl2 has an activation energy of 91.0 kJ⋅mol−1, as compared to Mg(NH3)Cl2 (Ea = 91.8 kJ⋅mol−1) and Mn(NH3)Cl2 (Ea = 90.9 kJ⋅mol−1).
Figure 4. Kissinger analysis of the three desorption events occurring in Mg(NH3)6Cl2 (blue), Mg0.5Mn0.5(NH3)6Cl2 (red) and Mn(NH3)6Cl2 (black). The left column (ac) shows the Kissinger plot which corresponds to the release of (a) 4 NH3 (b) 1 NH3 and (c) 1 NH3. β is the heating rate and Tp is the corresponding peak temperature. The right column (df) shows the corresponding activation energies (Ea) for the three desorption events as determined by the Kissinger method. The R-values for each linear fit are included in the graphs.
The activation energies for Mg0.5Mn0.5(NH3)6Cl2 in all three desorption events are significantly lower as compared to monometallic Mg(NH3)6Cl2. Therefore, by obtaining the mixed metal halide ammines, it is possible to tailor the desorption temperature and kinetics of the mixed metal halide ammines compared to the monometallic halide ammines.

3.3. In Situ SR-PXD

The in situ SR-PXD data for Mg0.5Mn0.5(NH3)6Cl2 in the temperature range RT to 402 °C, with a heating rate of 5 °C⋅min−1, are shown in Figure 5a, while Figure 5b shows diffraction patterns at selected temperatures for each of the ammoniated compounds observed during heating. Rietveld refinements of the mixed metal hexammines are presented in the supporting material (Figures S1–S5). The in situ SR-PXD data from RT for monometallic Mg(NH3)6Cl2 is shown in the supporting material (Figure S6). SR-PXD data at RT contain Bragg peaks from Mg0.5Mn0.5(NH3)6Cl2 (97.6(6) wt%) and Mg0.5Mn0.5(NH3)2Cl2 (2.4(5) wt%). Upon heating, the Bragg peaks corresponding to Mg0.5Mn0.5(NH3)6Cl2 disappear between 115 and 125 °C, while peaks corresponding to Mg0.5Mn0.5(NH3)2Cl2 increase significantly in intensity. Upon further heating, the Bragg peaks corresponding to Mg0.5Mn0.5(NH3)2Cl2 decrease in intensity from ~230 °C and peaks from Mg0.5Mn0.5(NH3)Cl2 appear at ~246 °C. The peaks from Mg0.5Mn0.5(NH3)Cl2 disappear at 325 °C and some Bragg peaks from an unknown compound appear at 328 °C (Figure 5b, yellow diffraction pattern) before the full desorption of NH3 and formation of the Mg0.5Mn0.5Cl2 solid solution. The appearance of unknown diffraction peaks might be due to a non-stoichiometric transition from the Mg0.5Mn0.5(NH3)Cl2 monoammine to the Mg0.5Mn0.5Cl2 chloride. Such behavior was previously reported for Mn(NH3)Cl2, which was observed to release the last NH3 via two or more desorption events [13,42]. This is also observed in our data from the Sieverts measurements and will be discussed later in Section 3.4.
Figure 5. (a) In situ SR-PXD of Mg0.5Mn0.5(NH3)6Cl2 measured from RT to 402 °C with a heating rate of 5 °C⋅min−1 and λ = 0.82646 Å and (b) SR-PXD data at specific temperatures.
In situ SR-PXD data for Mn(NH3)6Cl2 in the temperature range RT to 406 °C, with a heating rate of 5 °C⋅min−1 confirms the presence of such intermediate phase at 307 °C (Figure S9). However, due to the fast heating rate and, therefore, dominant peaks from Mn(NH3)Cl2 and MnCl2 phases in the diffraction pattern, it was challenging to index it and extract the unit cell parameters for Mn(NH3)1-δCl2. The same applies for the diffraction pattern of possible Mg0.5Mn0.5(NH3)1-δCl2 phase at 328 °C from the in situ data for Mg0.5Mn0.5(NH3)6Cl2 (Figure 5), where the dominant diffraction peaks from Mg0.5Mn0.5(NH3)Cl2 make the indexing challenging. Observation of these intermediate diffraction patterns suggests that the transition of Mn(NH3)Cl2 to MnCl2 and Mg0.5Mn0.5(NH3)Cl2 to Mg0.5Mn0.5Cl2, which was described as non-stoichiometric process [42], in our study undergoes by stoichiometric NH3 releases of δ moles.
The NH3 desorption temperatures are decreased significantly for Mg0.5Mn0.5(NH3)6Cl2 as compared to monometallic Mg(NH3)6Cl2 (Figure S8), confirming the results from TGA-DSC analysis. The first NH3 desorption step of 4NH3 moles and transformation from Mg0.5Mn0.5(NH3)6Cl2 to Mg0.5Mn0.5(NH3)2Cl2 (T = 125 °C) is 20 °C lower than observed for Mg(NH3)6Cl2 (T = 146 °C). All NH3 is desorbed from Mg0.5Mn0.5(NH3)6Cl2 at T = 337 °C, significantly lower than reported for Mg(NH3)Cl2 (T = 375 °C) [15]. The first desorption step of Mg(NH3)6Cl2 at 146 °C is similar to the temperature reported in the literature (T = 142 °C) [15].
Rietveld refinements of the hexa-, di-, monoammine and chloride are shown in Figure 6, and Table 2 summarizes their structural information.
Figure 6. Rietveld refinements of the SR-PXD data for (a) Mg0.5Mn0.5(NH3)6Cl2 at RT (Rwp = 1.48%), (b) Mg0.5Mn0.5(NH3)2Cl2 at 214 °C (Rwp = 3.17%), (c) Mg0.5Mn0.5(NH3)Cl2 at 280 °C (Rwp = 5.02%), and (d) Mg0.5Mn0.5Cl2 at 402 °C (Rwp = 3.19 %); showing the experimental (black circles), calculated (solid green line) and the difference plot (solid black line). The vertical ticks mark the Bragg peak positions for the corresponding compounds. λ = 0.82646 Å. In (a) vertical ticks mark Mg0.5Mn0.5(NH3)6Cl2 (97.6(6) wt%, black) and Mg0.5Mn0.5(NH3)2Cl2 (2.4(5) wt%, red).
Table 2. Structural parameters for the present Mg0.5Mn0.5(NH3)yCl2 (y = 6, 2, 1 and 0) phases investigated in this study.
Rietveld refinement of Mg0.5Mn0.5(NH3)6Cl2 at RT is performed using the structural model of Mg(NH3)6Cl2 (Figure 6a). Two phases are present in the sample, which are identified as Mg0.5Mn0.5(NH3)6Cl2 and Mg0.5Mn0.5(NH3)2Cl2 with the refined phase fractions to 97.6(6) wt% and 2.4(5) wt%, respectively, which might be resulted from partial NH3 release at RT. Mg0.5Mn0.5(NH3)6Cl2 crystallizes in a cubic unit cell, a = 10.22037(8) Å at RT with space group Fm-3m and is isostructural to Mg(NH3)6Cl2. Octahedral Mg0.5Mn0.5(NH3)6 complexes are contained in a cubic lattice of Cl atoms, with each Mg0.5Mn0.5 atom octahedrally coordinated by six N atoms.
Mg0.5Mn0.5(NH3)2Cl2 was refined using the Mg(NH3)2Cl2 structure as a starting point. Figure 6b shows the Rietveld refinement of the SR-PXD data for Mg0.5Mn0.5(NH3)2Cl2 at 214 °C. For the diammine Mg0.5Mn0.5(NH3)2Cl2, space group Cmmm [43], each Cl atom is shared by two neighboring Mg0.5Mn0.5 atoms in edge-sharing octahedral chains.
The monoammine Mg0.5Mn0.5(NH3)Cl2 is isostructural to Ni(NH3)Cl2, which crystallizes in a monoclinic unit cell with space group I2/m [44] where each Cl atom is shared by three Mg0.5Mn0.5 atoms in edge-sharing double octahedral chains. Both broad and narrow diffraction peaks are observed for the monoammine phase (see Figure 6c), indicating the presence of structural disorder or stacking faults in the structure, resulting in a marked difference between the experimental and calculated patterns.
The Rietveld refinement of the fully desorbed Mg0.5Mn0.5Cl2 at 402 °C is shown in Figure 6d. Mg0.5Mn0.5Cl2 structure, space group R-3m, is formed by the octahedra of Cl atoms with central Mg0.5Mn0.5 atoms sharing half of their edges, and thus resulting in layers of Mg0.5Mn0.5Cl2.

3.4. NH3 Cycling and Kinetics

Studies of the NH3 sorption kinetics and cyclability of the pristine and mixed metal halides with the lower and higher Mn contents (Mg0.9Mn0.1Cl2 and Mg0.5Mn0.5Cl2) were performed using a Sieverts apparatus. The results from the desorption cycles performed on Mg0.9Mn0.1(NH3)6Cl2 are presented in the supporting information (Figure S10). The fifth NH3 absorption process (after four cycles) of pristine MgCl2, MnCl2 and Mg0.5Mn0.5Cl2 are presented in Figure 7. For absorption, the applied NH3 gas pressure was ~2.5 bar and the processes were conducted at RT. The moles of absorbed NH3 were calculated (see Equation (1)), where Δn is calculated from the pressure drop, ΔP, occurring during NH3 absorption. The observed pressure drop was ΔP = 0.33 bar and the final pressures at the end of absorption were 2.21 and 2.22 bar for MgCl2 and Mg0.5Mn0.5Cl2, respectively. MnCl2 only absorbed 5.5 moles of NH3, which corresponds to a pressure drop of only ΔP = 0.29 bar reaching a final pressure p = 2.23 bar. This indicated that not all the MnCl2 powder had reacted with NH3, despite the still relatively high value of the final pressure of absorption. Indeed, due to the large volume expansion of the metal chloride during ammonia absorption, some clogging may occur and prevent ammonia from reaching all the salt crystals [16]. On the other, it cannot be excluded that that the absorption reaction stops because the equilibrium pressure for Mn(NH3)6Cl2 at RT is higher than the final pressure reached during absorption (p = 2.23 bar). A more detailed thermodynamic study using pressure-composition-isotherms is needed to clarify this in detail. MgCl2 absorbed 6 moles of NH3 in less than 1000 s, while Mg0.5Mn0.5Cl2 absorbed 6 moles of NH3 in 6000 s. Similarly, the NH3 absorption rate for the pristine halides are very different: Four moles of NH3 is absorbed in MgCl2 in about 200 s, while it took about 800 s to absorb the similar amount of NH3 in MnCl2. The rate of absorption for Mg0.5Mn0.5Cl2 is similar to that of MnCl2, indicating that Mn plays a predominant role for governing the kinetics of the hexammine formation.
Figure 7. NH3 absorption processes of Mg(NH3)6Cl2 (blue), Mg0.5Mn0.5(NH3)6Cl2 (yellow) and Mn(NH3)6Cl2 (purple).
The NH3 desorption processes during cycling were carried out upon heating with a constant heating rate of 2 °C⋅min−1 from RT to 350 °C under an initial NH3 pressure of 1 bar, see Figure 8. The moles of desorbed NH3 were calculated using Equation (1) and the pressure increase, ΔP = 0.32 bar, due to NH3 release. The three desorption steps of NH3 were observed as a pressure increase and Δn was calculated. For Mg0.5Mn0.5(NH3)2Cl2, the first 4 moles of NH3 starts desorbing at around 100 °C and are fully released at 166 °C. The resulting Mg0.5Mn0.5(NH3)2Cl2 desorbs one mole of NH3 in the temperature range from 240 °C to 260 °C, forming Mg0.5Mn0.5(NH3)Cl2. The final NH3 desorption step occurs above 300 °C. However, the transformation from monoammine to fully desorbed mixed metal chloride, Mg0.5Mn0.5Cl2, does not proceed via a single step as for the previous desorption. Instead it undergoes through two discrete steps, consistent with the observations of a different crystalline phase in the in situ SR-PXD experiments.
Figure 8. A series of NH3 desorption from Mg0.5Mn0.5(NH3)6Cl2. The four cycles confirm the stability and cyclability of the mixed metal halide after several ab/desorption cycles.
For some hexammines, M(NH3)6Cl2 (M = Mg, Ni), the desorption consists of three events [13]. In contrast, Mn(NH3)6Cl2 was reported to undergo non-stoichiometric NH3 release in the last desorption step [13,42]. In our study, we observe two separate steps, and from the number of desorbed NH3 moles calculated from ΔP in Sieverts studies, δ seems to be equal to 0.5. Furthermore, the NH3 desorption studies of Mg0.9Mn0.1(NH3)6Cl2 (Figure S10) suggest that this phenomenon does not occur in Mg1−xMnx(NH3)6Cl2 with low Mn content, as the last decomposition step occurs as a single event. This indicates that sufficiently high amount of Mn in Mg1−xMnx(NH3)6Cl2 results in a change in the physical behavior to be similar to that of Mn(NH3)6Cl2.
These results suggest that by changing the relative Mg:Mn ratio in Mg1−xMnx(NH3)6Cl2 the NH3 sorption propertied can be tuned and optimized. For instance, substituting Mg in Mn(NH3)6Cl2 increases its stability, avoiding NH3 desorption at RT. Furthermore, due to the low weight of Mg, the gravimetric capacity increases, with increasing Mg content. Finally, increasing the relative content of magnesium can be beneficial if cost reduction is desirable.
A thorough investigation of the NH3 desorption reaction enthalpies is planned for further thermodynamic studies of the Mg1−xMnx(NH3)6Cl2 hexammines by applying pressure composition isotherm (PCI) studies.

4. Conclusions

A series of novel mixed metal halide ammines, Mg1−xMnx(NH3)6Cl2, with a usable ammonia capacity in the temperature range 20–350 °C were synthesized and characterized. The crystal structures of the different ammine phases are identified and investigated by in situ SR-PXD. All Mg1−xMnx(NH3)6Cl2 solid solutions crystallize in a cubic unit cell with space group symmetry Fm-3m and unit cell parameters intermediate that of the two monometallic materials, Mg(NH3)6Cl2 and Mn(NH3)6Cl2. DSC analysis reveal a decrease in the onset temperature for NH3 desorption for the solid solutions as compared to the monometallic Mg(NH3)6Cl2. Activation energies for each desorption step are calculated and show the possibility of tailoring the activation energies for the NH3 release in mixed metal chloride hexammines. The lower activation energies for NH3 desorption in Mn(NH3)6Cl2 resulted in a lowering of the activation energies for the solid solution Mg0.5Mn0.5(NH3)6Cl2. Finally, NH3 reversibility measurements reveal that the solid solution has a high stability, thus making them promising candidates for solid-state NH3 storage systems.

Supplementary Materials

The following are available online at https://www.mdpi.com/1996-1073/13/11/2746/s1, Table S1: Structural parameters for the MgCl2, MnCl2 and Mg1−xMnxCl2 (x = 0.025, 0.05, 0.1, 0.3 and 0.5) solid solutions obtained for this study, Figure S1: Rietveld refinement of SR-PXD data of Mg(NH3)6Cl2 at RT, Figure S2: Rietveld refinement of SR-PXD data of Mg0.95Mn0.05(NH3)6Cl2 at RT, Figure S3: Rietveld refinement of SR-PXD data of Mg0.9Mn0.1(NH3)6Cl2 at RT, Figure S4: Rietveld refinement of SR-PXD data of Mg0.7Mn0.3(NH3)6Cl2 at RT, Figure S5: Rietveld refinement of SR-PXD data of Mn(NH3)6Cl2 at RT, Figure S6: DSC measurements performed on Mg(NH3)6Cl2, Mn(NH3)6Cl2 and Mg1−xMnx(NH3)6Cl2, Table S2: The NH3 desorption onset temperatures of Mg(NH3)6Cl2, Mn(NH3)6Cl2 and Mg1−xMnx(NH3)6Cl2, Table S3: The gravimetric NH3 capacities of the monometallic and mixed cation hexammines investigated in this study, Figure S7: SR-PXD patterns of Mg1−xMnxCl2 after one cycle of NH3 absorption and desorption, Figure S8: In-situ SR-PXD of Mg(NH3)6Cl2 measured from RT to 227 °C, Figure S9: In-situ SR-PXD of Mn(NH3)6Cl2 measured from RT to 406 °C, Figure S10: NH3 desorption upon cycling of Mg0.9Mn0.1(NH3)6Cl2.

Author Contributions

Conceptualization, P.B., S.D. and D.B.; methodology, P.B., R.E.J., S.D. and D.B.; formal analysis, P.B., J.B.G. and A.K.; investigation, P.B., J.B.G. and A.K.; resources, D.B. and S.D.; data curation, P.B.; writing—original draft preparation, P.B.; writing—review and editing, A.K., J.B.G., R.E.J., D.B., B.C.H. and S.D.; visualization, P.B.; supervision, B.C.H. and S.D.; project administration, D.B.; funding acquisition, D.B. and S.D. All authors have read and agreed to the published version of the manuscript.

Funding

The Nordic Neutron Science Programme from NordForsk is acknowledged for financial support via the project NHS (No. 82206).

Acknowledgments

J. B. Grinderslev gratefully acknowledges NordForsk for financial support via the NNSP project FunHy (No. 81942). The authors are also grateful to the X04SA beamline at the Swiss light source, Villigen, Switzerland and the local contact Antonio Cervellino for assistance with data collection and the beamline I11 at the Diamond light source, Oxford, UK and the local contacts Stephen Thompson and Chiu Tang for assistance with data collection.

Conflicts of Interest

The authors declare no conflict of interest.

References

  1. Mohtadi, R.; Orimo, S. The renaissance of hydrides as energy materials. Nat. Rev. Mater. 2016, 2, 1–15. [Google Scholar] [CrossRef]
  2. He, T.; Pachfule, P.; Wu, H.; Xu, Q.; Chen, P. Hydrogen carriers. Nat. Rev. Mater. 2016, 1, 1–17. [Google Scholar] [CrossRef]
  3. Milanese, C.; Jensen, T.R.; Hauback, B.C.; Pistidda, C.; Dornheim, M.; Yang, H.; Lombardo, L.; Zuettel, A.; Filinchuk, Y.; Ngene, P.; et al. Complex hydrides for energy storage. Int. J. Hydrog. Energy 2019, 44, 7860–7874. [Google Scholar] [CrossRef]
  4. Hirscher, M.; Yartys, V.A.; Baricco, M.; Bellosta von Colbe, J.; Blanchard, D.; Bowman, R.C.; Broom, D.P.; Buckley, C.E.; Chang, F.; Chen, P.; et al. Materials for hydrogen-based energy storage—Past, recent progress and future outlook. J. Alloys Compd. 2020, 827, 153548. [Google Scholar] [CrossRef]
  5. Zamfirescu, C.; Dincer, I. Ammonia as a green fuel and hydrogen source for vehicular applications. Fuel Process. Technol. 2009, 90, 729–737. [Google Scholar] [CrossRef]
  6. Lan, R.; Irvine, J.T.S.; Tao, S. Ammonia and related chemicals as potential indirect hydrogen storage materials. Int. J. Hydrog. Energy 2012, 37, 1482–1494. [Google Scholar] [CrossRef]
  7. Zamfirescu, C.; Dincer, I. Using ammonia as a sustainable fuel. J. Power Sources 2008, 185, 459–465. [Google Scholar] [CrossRef]
  8. Christensen, C.H.; Johannessen, T.; Sørensen, R.Z.; Nørskov, J.K. Towards an ammonia-mediated hydrogen economy? Catal. Today 2006, 111, 140–144. [Google Scholar] [CrossRef]
  9. Makepeace, J.W.; He, T.; Weidenthaler, C.; Jensen, T.R.; Chang, F.; Vegge, T.; Ngene, P.; Kojima, Y.; de Jongh, P.E.; Chen, P.; et al. Reversible ammonia-based and liquid organic hydrogen carriers for high-density hydrogen storage: Recent progress. Int. J. Hydrog. Energy 2019, 44, 7746–7767. [Google Scholar] [CrossRef]
  10. Kubota, M.; Matsuo, K.; Yamanouchi, R.; Matsuda, H. Absorption and Desorption Characteristics of NH3 with Metal Chlorides for Ammonia Storage. J. Chem. Eng. Jpn. 2014. [Google Scholar] [CrossRef]
  11. Klerke, A.; Christensen, C.H.; Nørskov, J.K.; Vegge, T. Ammonia for hydrogen storage: Challenges and opportunities. J. Mater. Chem. 2008, 18, 2304–2310. [Google Scholar] [CrossRef]
  12. Christensen, C.H.; Sørensen, R.Z.; Johannessen, T.; Quaade, U.J.; Honkala, K.; Elmøe, T.D.; Køhler, R.; Nørskov, J.K. Metal ammine complexes for hydrogen storage. J. Mater. Chem. 2005, 15, 4106–4108. [Google Scholar] [CrossRef]
  13. Sørensen, R.Z.; Hummelshøj, J.S.; Klerke, A.; Reves, J.B.; Vegge, T.; Nørskov, J.K.; Christensen, C.H. Indirect, Reversible High-Density Hydrogen Storage in Compact Metal Ammine Salts. J. Am. Chem. Soc. 2008, 130, 8660–8668. [Google Scholar] [CrossRef] [PubMed]
  14. Jacobsen, H.S.; Hansen, H.A.; Andreasen, J.W.; Shi, Q.; Andreasen, A.; Feidenhans’l, R.; Nielsen, M.M.; Ståhl, K.; Vegge, T. Nanoscale structural characterization of Mg(NH3)6Cl2 during NH3 desorption: An in situ small angle X-ray scattering study. Chem. Phys. Lett. 2007, 441, 255–260. [Google Scholar] [CrossRef]
  15. Walker, G. Solid-State Hydrogen Storage: Materials and Chemistry; Woodhead Publishing: Cambridge, UK, 2008; ISBN 978-1-84569-494-4. [Google Scholar]
  16. Tekin, A.S.; Hummelshøj, J.S.; Jacobsen, H.; Sveinbjörnsson, D.; Blanchard, D.K.; Nørskov, J.; Vegge, T. Ammonia dynamics in magnesium ammine from DFT and neutron scattering. Energy Environ. Sci. 2010, 3, 448–456. [Google Scholar] [CrossRef]
  17. Elmøe, T.D.; Sørensen, R.Z.; Quaade, U.; Christensen, C.H.; Nørskov, J.K.; Johannessen, T. A high-density ammonia storage/delivery system based on Mg(NH3)6Cl2 for SCR–DeNOx in vehicles. Chem. Eng. Sci. 2006, 61, 2618–2625. [Google Scholar] [CrossRef]
  18. Hwang, I.C.; Drews, T.; Seppelt, K. Mg(NH3)6Hg22, a Mercury Intercalation Compound. J. Am. Chem. Soc. 2000, 122, 8486–8489. [Google Scholar] [CrossRef]
  19. Wentworth, W.E.; Raldow, W.M.; Corbett, G.E. Correlation of thermodynamic properties for dissociation of ammines of divalent metal halides. Inorg. Chim. Acta 1978, 30, L299–L301. [Google Scholar] [CrossRef]
  20. Bevers, E.; Oonk, H.; Haije, W.; van Ekeren, P. Investigation of thermodynamic properties of magnesium chloride amines by HPDSC and TG. J. Therm. Anal. Calorim. 2007, 90, 923–929. [Google Scholar] [CrossRef]
  21. Aoki, T.; Miyaoka, H.; Inokawa, H.; Ichikawa, T.; Kojima, Y. Activation on Ammonia Absorbing Reaction for Magnesium Chloride. J. Phys. Chem. C 2015, 119, 26296–26302. [Google Scholar] [CrossRef]
  22. Aoki, T.; Ichikawa, T.; Miyaoka, H.; Kojima, Y. Thermodynamics on Ammonia Absorption of Metal Halides and Borohydrides. J. Phys. Chem. C 2014, 118, 18412–18416. [Google Scholar] [CrossRef]
  23. Eßmann, R.; Kreiner, G.; Niemann, A.; Rechenbach, D.; Schmieding, A.; Sichla, T.; Zachwieja, U.; Jacobs, H. Isotype Strukturen einiger Hexaamminmetall(II)-halogenide von 3d-Metallen: [V(NH3)6]I2, [Cr(NH3)6]I2, [Mn(NH3)6]Cl2, [Fe(NH3)6]Cl2, [Fe(NH3)6]Br2, [Co(NH3)6]Br2 und [Ni(NH3)6]Cl2. Z. Anorg. Allg. Chem. 1996, 622, 1161–1166. [Google Scholar] [CrossRef]
  24. Lysgaard, S.; Ammitzbøll, A.L.; Johnsen, R.E.; Norby, P.; Quaade, U.J.; Vegge, T. Resolving the stability and structure of strontium chloride amines from equilibrium pressures, XRD and DFT. Int. J. Hydrog. Energy 2012, 37, 18927–18936. [Google Scholar] [CrossRef]
  25. Bialy, A.; Jensen, P.B.; Blanchard, D.; Vegge, T.; Quaade, U.J. Solid solution barium–strontium chlorides with tunable ammonia desorption properties and superior storage capacity. J. Solid State Chem. 2015, 221, 32–36. [Google Scholar] [CrossRef]
  26. Kishida, Y.; Aoki, M.; Yamauchi, T. Crystal Structure and NH3 Desorption Properties of Complex Metal Ammine Chloride. J. Chem. Eng. Jpn. 2019, 52, 239–242. [Google Scholar] [CrossRef]
  27. Lasocha, W.; Eick, H.A. The structure of Ca0.3Sr0.7Cl2 and Ca0.46Sr0.54Cl2 by the X-ray Rietveld refinement procedure. J. Solid State Chem. 1988, 75, 175–182. [Google Scholar] [CrossRef]
  28. Liu, C.Y.; Aika, K. Ammonia Absorption into Alkaline Earth Metal Halide Mixtures as an Ammonia Storage Material. Ind. Eng. Chem. Res. 2004, 43, 7484–7491. [Google Scholar] [CrossRef]
  29. Hodorowicz, S.A.; Eick, H.A. Phase relationships in the system SrBr2 SrCl2. J. Solid State Chem. 1982, 43, 271–277. [Google Scholar] [CrossRef]
  30. Hodorowicz, S.A.; Eick, H.A. An X-ray diffraction study of the SrBrxI2−x system. J. Solid State Chem. 1983, 46, 313–320. [Google Scholar] [CrossRef]
  31. Černý, R.; Penin, N.; D’Anna, V.; Hagemann, H.; Durand, E.; Růžička, J. MgxMn(1−x)(BH4)2 (x=0–0.8), a cation solid solution in a bimetallic borohydride. Acta Mater. 2011, 59, 5171–5180. [Google Scholar] [CrossRef]
  32. Jepsen, L.H.; Ley, M.B.; Filinchuk, Y.; Besenbacher, F.; Jensen, T.R. Tailoring the Properties of Ammine Metal Borohydrides for Solid-State Hydrogen Storage. ChemSusChem 2015, 8, 1452–1463. [Google Scholar] [CrossRef] [PubMed]
  33. Kissinger, H.E. Variation of Peak Temperature with Heating Rate in Differential Thermal Analysis. J. Res. Natl. Bur. Stand. 1956, 57, 217–221. [Google Scholar] [CrossRef]
  34. Willmott, P.R.; Meister, D.; Leake, S.J.; Lange, M.; Bergamaschi, A.; Böge, M.; Calvi, M.; Cancellieri, C.; Casati, N.; Cervellino, A.; et al. The Materials Science beamline upgrade at the Swiss Light Source. J. Synchrotron. Radiat. 2013, 20, 667–682. [Google Scholar] [CrossRef] [PubMed]
  35. Thompson, S.P.; Parker, J.E.; Potter, J.; Hill, T.P.; Birt, A.; Cobb, T.M.; Yuan, F.; Tang, C.C. Beamline I11 at Diamond: A new instrument for high resolution powder diffraction. Rev. Sci. Instrum. 2009, 80, 075107. [Google Scholar] [CrossRef] [PubMed]
  36. Pathak, P.D.; Vasavada, N.G. Thermal expansion of NaCl, KCl and CsBr by X-ray diffraction and the law of corresponding states. Acta Crystallogr. A 1970, 26, 655–658. [Google Scholar] [CrossRef]
  37. Coelho, A.A. TOPAS and TOPAS-Academic: An optimization program integrating computer algebra and crystallographic objects written in C++. J. Appl. Crystallogr. 2018, 51, 210–218. [Google Scholar] [CrossRef]
  38. Tornero, J.D.; Fayos, J. Single crystal structure refinement of MnCl2. Z. Krist. 2015, 192, 147–148. [Google Scholar] [CrossRef]
  39. Feitknecht, W.; Held, F. Über die Hydroxychloride des Magnesiums. Helv. Chim. Acta 1944, 27, 1480–1495. [Google Scholar] [CrossRef]
  40. Shannon, R.D. Revised effective ionic radii and systematic studies of interatomic distances in halides and chalcogenides. Acta Crystallogr. A 1976, 32, 751–767. [Google Scholar] [CrossRef]
  41. King, H.W. Quantitative size-factors for metallic solid solutions. J. Mater. Sci. 1966, 1, 79–90. [Google Scholar] [CrossRef]
  42. Reardon, H.; Hanlon, J.M.; Grant, M.; Fullbrook, I.; Gregory, D.H. Ammonia Uptake and Release in the MnX2–NH3 (X = Cl, Br) Systems and Structure of the Mn(NH3)nX2 (n = 6, 2) Ammines. Crystals 2012, 2, 193–212. [Google Scholar] [CrossRef]
  43. Leineweber, A.; Friedriszik, M.W.; Jacobs, H. Preparation and Crystal Structures of Mg(NH3)2Cl2, Mg(NH3)2Br2, and Mg(NH3)2I2. J. Solid State Chem. 1999, 147, 229–234. [Google Scholar] [CrossRef]
  44. Leineweber, A.; Jacobs, H.; Ehrenberg, H. Crystal Structure of Ni(NH3)Cl2 and Ni(NH3)Br2. Z. Anorg. Allg. Chem. 2000, 626, 2146–2152. [Google Scholar] [CrossRef]

Article Metrics

Citations

Article Access Statistics

Multiple requests from the same IP address are counted as one view.