A Speed-Governing System Model with Over-Frequency Protection for Nuclear Power Generating Units
Abstract
1. Introduction
2. Nuclear Power Unit Overspeed Protection and Super-Acceleration Protection

2.1. Overspeed Protection of the Nuclear Power Unit
2.2. Super-Acceleration Protection of Nuclear Power Unit
3. Speed-Governing System and Core System Models of a Nuclear Power Unit
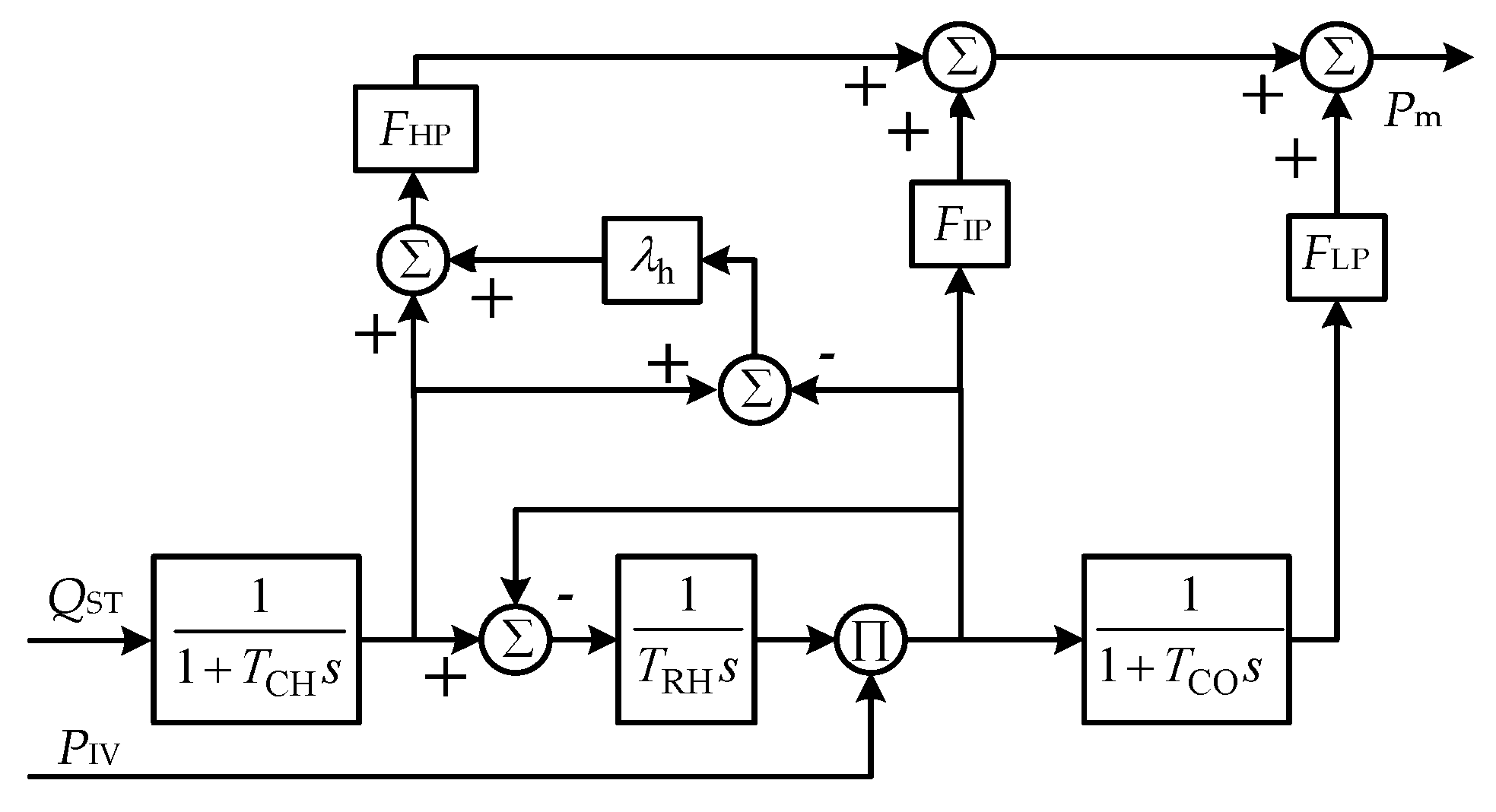
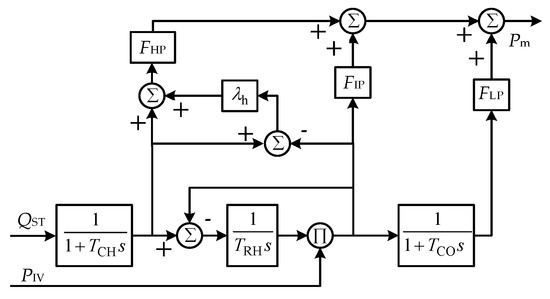
3.1. Power–Frequency Electro-Hydraulic Speed-Governing Model
3.2. Steam Bypass Control System Model
3.3. Steam Turbine Model
3.4. Reactor Core System Model
- Core neutron dynamic module:
- Core fuel and coolant temperature module:
- Hot line and cold line temperature module:
- Primary loop average temperature module:
- Steam generator module:
- f.
- Main coolant pump module:
4. Results and Discussion
4.1. Simulation Example
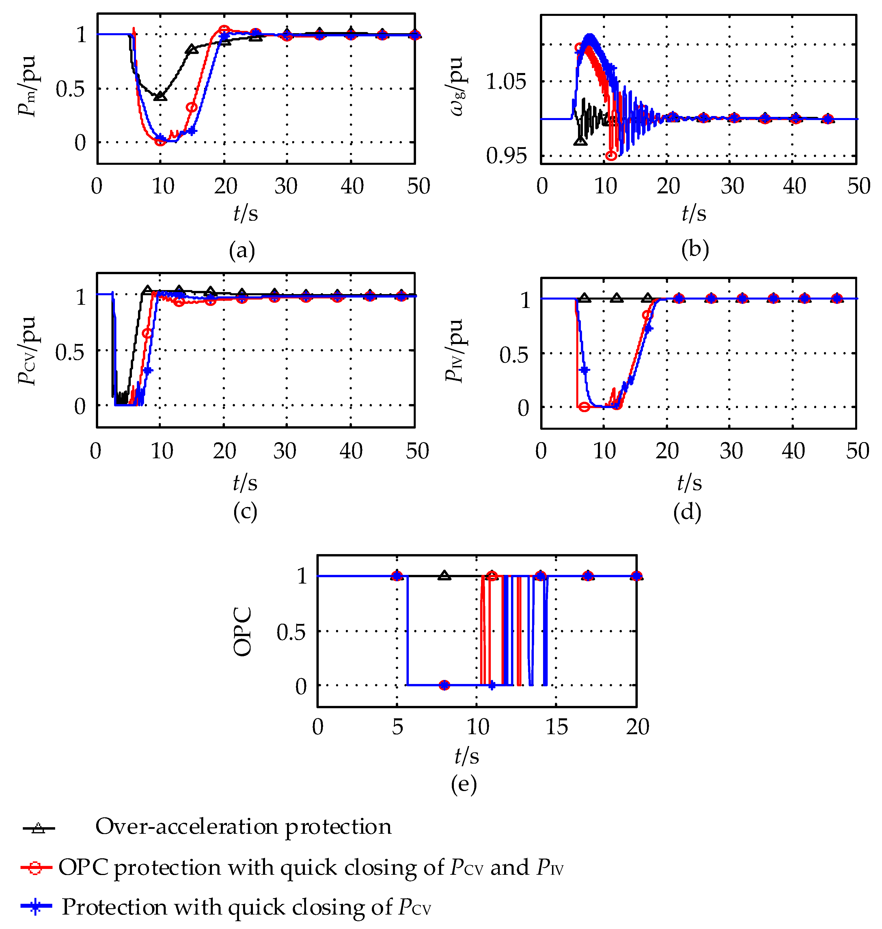
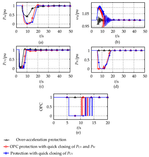
4.2. Simulation Analysis of Overspeed Protection Characteristics of Load Rejection
- (1)
- There is a large difference between the mechanical power of the nuclear turbine and the electromagnetic power of the generator (see Figure 11a,b) after a large disturbance on the grid side. This can lead easily to the overspeed of the unit, due to the large volume time constants for the nuclear steam turbine and the high proportion of the low-pressure cylinder power. Nuclear turbines are more likely to overspeed during tripping.
- (2)
- The speed-governing system and overspeed protection acted correctly, which quickly reduced the turbine’s mechanical power, with the maximum speed of the nuclear power unit reaching 1.07 pu. When using OPC protection that only considers the quick closing of the high-pressure regulating valve (i.e., strategy two), the maximum unit speed exceeded 1.10 pu. This would lead to the action of the ETS. This would remove the steam turbine directly and close the core rapidly, resulting in a significant recovery time.
- (3)
- After the steam bypass valve acted, the rapid rise of steam pressure in the secondary loop was limited. As a result, the deviation between the reactor power and the power output of the steam generator was reduced. The rate of decrease of the core power was slowed due to the reactor control, thus the safety of the core and thermal system was ensured.
- (4)
- In the process of load rejection, the maximum and minimum terminal voltage is 1.15 and 0.93 pu, respectively. This did not cause a voltage stability problem. The maximum and minimum speed of the main cooling pump reached 1.073 and 0.990 pu, respectively. This may lead to the action of the main cooling pump overspeed protection as the coolant flow is mainly affected by the change of the unit speed.
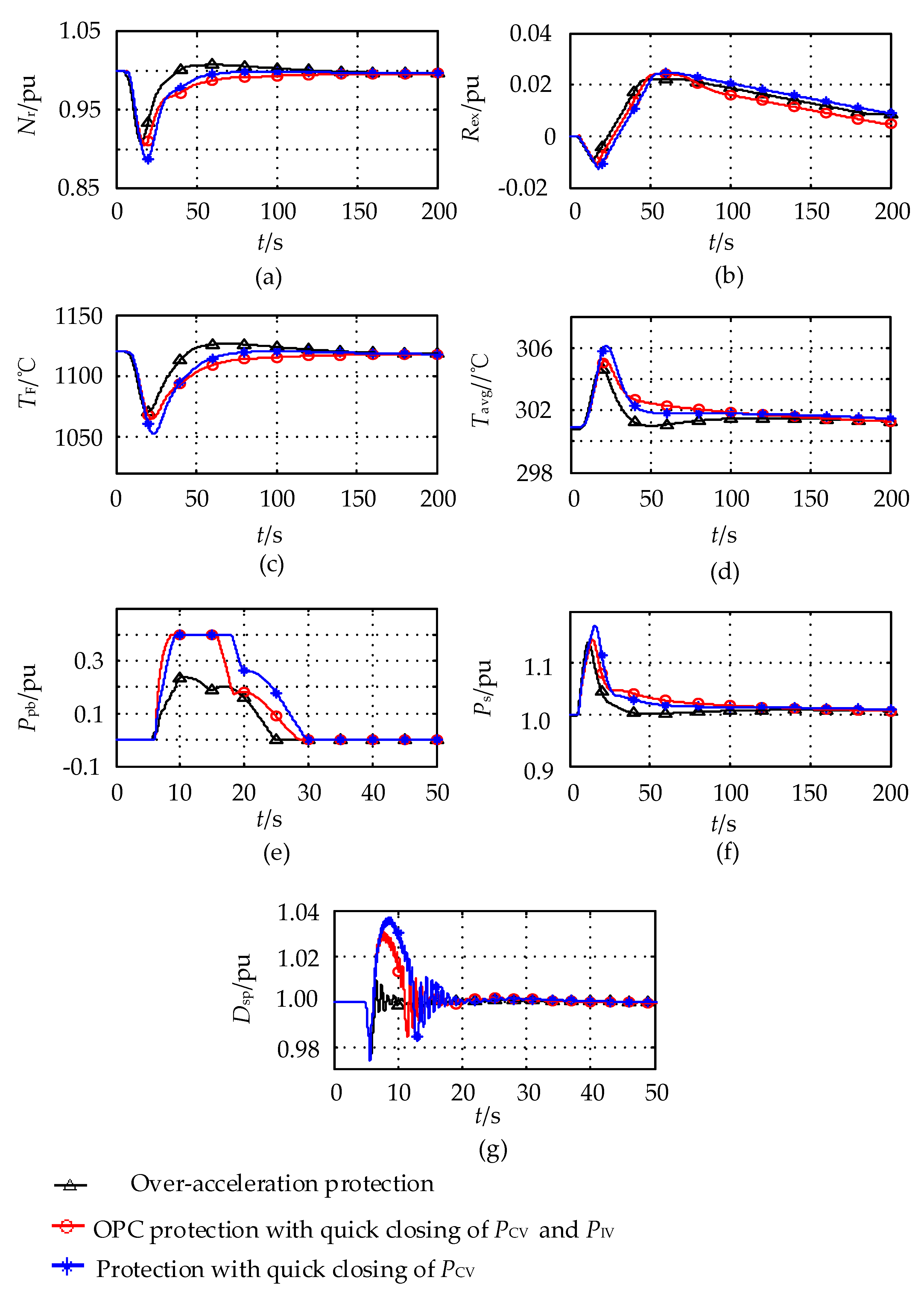
4.3. Simulation of Overspeed Protection and Super-Acceleration Protection Characteristics of a Nuclear Power Unit during Large Grid Disturbance
- (1)
- After a three-phase short-circuit failure lasted for 0.25 s on the power grid side, the unit speed increased significantly in a short time. The maximum unit speed reached 1.12 pu by adopting the overspeed protection strategy which quickly closed the high-pressure regulating valve only (i.e., strategy three that is similar to the OPC protection strategy for the simulation of thermal power units). The multiple actions of the OPC caused the high-pressure regulating valve to close repeatedly. The maximum unit speed was 1.095 pu when we adopted the overspeed protection strategy which simultaneously quickly closed the high-pressure and medium-pressure regulating valves (i.e., strategy two).
- (2)
- This led to the action of the super-acceleration protection as the rate of change of the speed exceeds the set α1. The peak unit speed was 1.026 pu when the super-acceleration protection strategy (i.e., strategy one) was adopted, which suppressed the further unit speed increase with the minimum mechanical power dropping to 0.40 pu. As a result, the overspeed protection did not operate. However, the overspeed protection both acted in strategy two and strategy three, and the mechanical power dropped to zero. It rose to the rated value after fault clearance.
- (3)
- Since the main cooling pump was more sensitive to the power supply frequency as the unit speed rose after the grid three-phase short-circuit fault, the maximum speed of the main cooling pump reached 1.026, 1.103, and 1.114 pu under strategy one, two, and three, respectively. The minimum speed of the main cooling pump was slightly less than 0.975 pu during the fault.
- (4)
- The impact of the grid disturbance on the reactor and thermal system was minimized after adopting the super-acceleration protection, which avoided an excessive rise in unit speed. Strategy three had the greatest impact on the reactor and its thermal system.
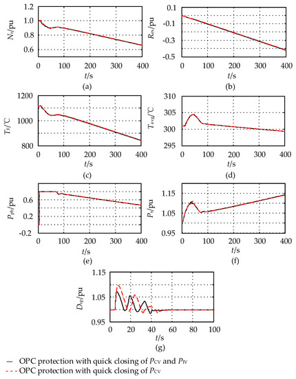
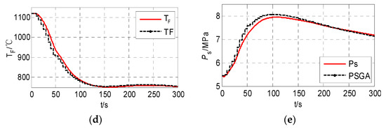
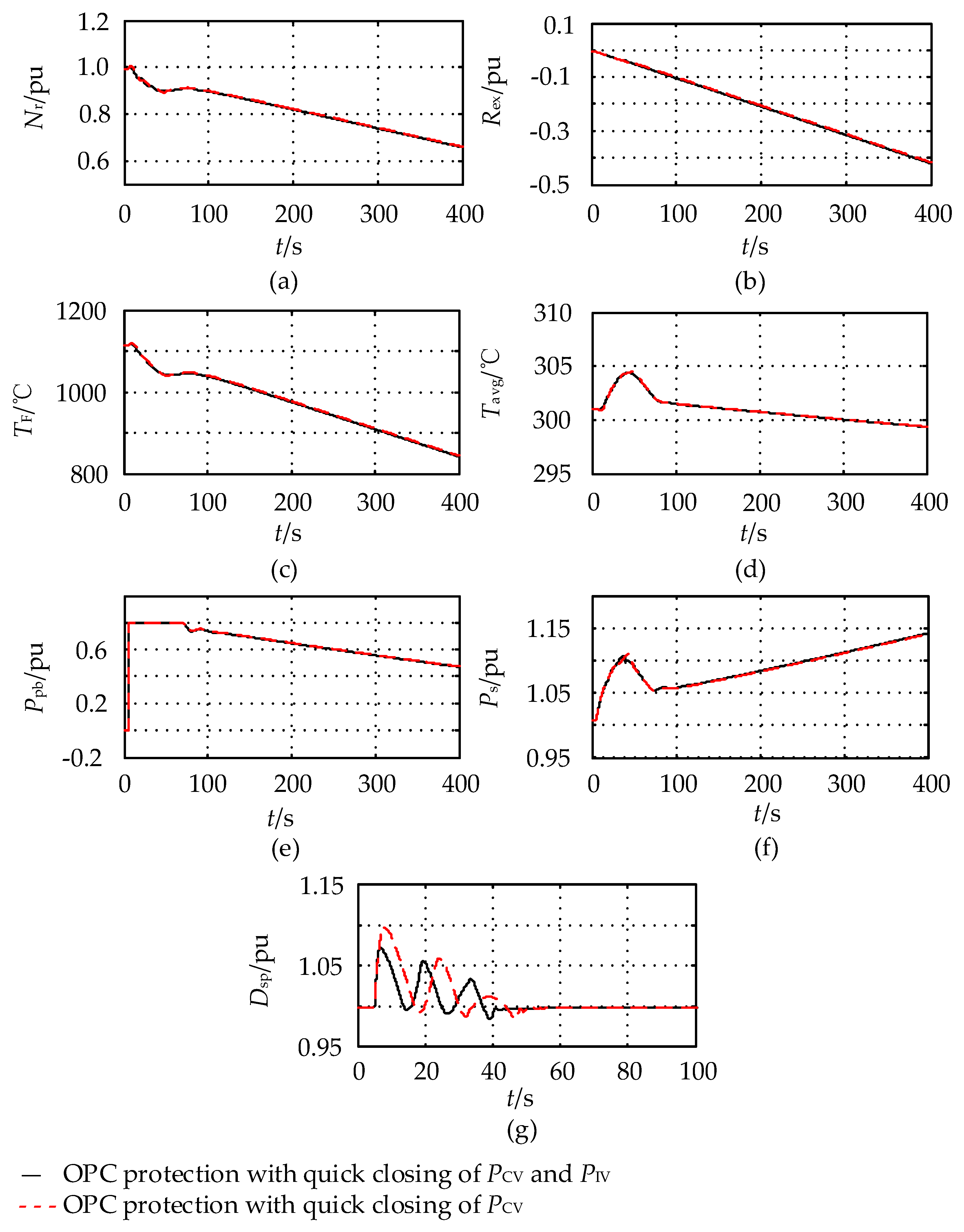
4.4. Model Validation with the PCTRAN Software
5. Conclusions
Author Contributions
Funding
Conflicts of Interest
Nomenclature
| TCH | High pressure steam volume time constant |
| TRH | Volume time constant of the intermediate reheat steam |
| TCO | Low pressure steam volume time constant |
| TO | Opening time constant of the high-pressure regulating valve oil motive |
| TC | Shutdown time of the high-pressure regulating valve oil motive constant |
| VCCVQ | Quick closing speed limit of the high-pressure regulating valve |
| VCIVQ | Quick closing speed limit of the medium-pressure regulating valve |
| KCVQ | Quick closing co-efficient of the high-pressure regulating valve |
| KIVQ | Quick closing co-efficient of the medium-pressure regulating valve |
| ωg | Generator speed |
| Rotational speed acceleration of the unit | |
| Pm | Turbine output power |
| PCV | High-pressure regulating valve opening degree |
| PIV | Medium-pressure regulating valve opening degree |
| Pbp | Bypass valve opening degree |
| UL, fL | Generator’s terminal voltage and frequency |
| Dsp | Main coolant pump flow |
| Nr | Neutron flux density in the core |
| Rext | Reactivity introduced by the control rod |
| Tavg | Measured average temperature in the primary circuit |
| THL, TCL | Hot line and cold line temperatures of the primary coolant |
| TF | Reactor core fuel temperature |
| Ps | Main steam pressure |
References
- Kueck, J.D.; Attarian, G.E.; Leake, H.C.; Sims, T.R. Risk factors regarding the application of degraded voltage relaying at nuclear generating stations. IEEE Trans. Energy Convers. 2001, 16, 374–379. [Google Scholar] [CrossRef]
- Peters, S.; Machnida, G.T.; Nthontho, M.; Chowdhury, S.; Chowdhury, S.P.; Mbuli, N. Modelling and Simulation of Degraded and Loss of Voltage Protection Scheme for Class 1E Bus of a Nuclear Power Plant. In Proceedings of the 47th International Universities Power Engineering Conference, London, UK, 4–7 September 2012. [Google Scholar]
- Kim, M.Y.; Jeong, C.H. Analysis for the Effect on Voltage Sag of Safety Bus as Electrical Operating Modes in Nuclear Power Plants. In Proceedings of the 2012 International Conference on Power System Technology, Auckland, New Zealand, 30 October–2 November 2012. [Google Scholar]
- Kiran, T.C.; Theivarajan, N. Transmission Lines Main and Backup Fault Clearance-Impact on a Nuclear Power Plant. In Proceedings of the IEEE 2nd International Conference on Electrical Energy Systems, Chennai, India, 7–9 January 2014. [Google Scholar]
- Ullah, M.A.; Qaiser, A.; Saeed, Q.; Abbasi, A.R.; Ahmed, I.; Soomro, A.Q. Power Flow & Voltage Stability Analyses and Remedies for a 340 MW Nuclear Power Plant Using ETAP. In Proceedings of the 2017 International Conference on Electrical Engineering, Lahore, Pakistan, 2–4 March 2017. [Google Scholar]
- Maldonado, G.I. The Performance of North American Nuclear Power Plants during the Electric Power Blackout of August 14, 2003. In Proceedings of the IEEE Symposium Conference Record Nuclear Science 2004, Rome, Italy, 16–22 October 2004. [Google Scholar]
- Kirby, B.; Kueck, J.; Leake, H.; Muhlheim, M. Nuclear Generating Stations and Transmission Grid Reliability. In Proceedings of the 39th North American Power Symposium, Las Cruces, NM, USA, 30 September–2 October 2007. [Google Scholar]
- Hejzlar, P.; Ubra, O.; Ambroz, J. A computer program for transient analysis of steam turbine generator overspeed. Nucl. Eng. Des. 1993, 144, 469–485. [Google Scholar] [CrossRef]
- Dai, Y.P.; Jiang, P.; Gao, L.; Kan, W.M.; Xiao, X.Q.; Jin, G. Capacity limitation of nuclear units in grid based on analysis of frequency regulation. Front. Energy 2012, 6, 148–154. [Google Scholar] [CrossRef]
- Power System Relaying Committee. IEEE Std C37.106-2003 IEEE Guide for Abnormal Frequency Protection for Power Generating Plants; IEEE: New York, NY, USA, 2004. [Google Scholar]
- International Atomic Energy Agency. Interaction of Grid Characteristics with Design and Performance of Nuclear Power Plants: A Guidebook; Technical reports series No. 224; International Atomic Energy Agency: Vienna, Austria, 1983. [Google Scholar]
- Kudiyarasan, S.; Sivakumar, P. Modern analysis of power flow and network stability of transmission lines for nuclear power dispatch. Int. J. Sci. Technol. Soc. 2019, 7, 21–32. [Google Scholar] [CrossRef]
- Yu, D.; Yu, X.; Chen, F.; Chen, C. Modeling and Parameter Measurement Research Pressurized Water Reactor Nuclear Power Generator’s Prime Mover and Governor. In Proceedings of the International Conference on Power System Technology, Chengdu, China, 20–22 October 2014. [Google Scholar]
- Kundur, P.; Lee, D.C.; Bayne, J.P.; Dandeno, P.L. Impact of turbine generator overspeed controls on unit performance under system disturbance conditions. IEEE Trans. Power Appar. Syst. 1985, 104, 1262–1269. [Google Scholar] [CrossRef]
- Wen, L.B.; Sheng, W.; Xu, Z. Research on Overspeed Protection Control Strategies of PWR Nuclear Power Units. In Proceedings of the IEEE Innovative Smart Grid Technologies-Asia, Chengdu, China, 21–24 May 2019. [Google Scholar]
- Cheng, Y.H.; Shih, C.; Chiang, S.C.; Weng, T.L. Introducing PCTRAN as an evaluation tool for nuclear power plant emergency responses. Ann. Nucl. Energy 2012, 40, 122–129. [Google Scholar] [CrossRef]
- Inoue, T.; Ichikawa, T.; Kundur, P.; Hirsch, P. Nuclear plant models for medium-to-long term power system stability studies. IEEE Trans. Power Syst. 1995, 10, 141–148. [Google Scholar] [CrossRef]
- Xuehao, H.; Xuecheng, Z.; Xiuming, Z.; Fulin, G.; Wenhua, Z. Pressurized Water Reactor Nuclear Power Plant (NPP) Modelling and the Midterm Dynamic Simulation after NPP has been Introduced into Power System. In Proceedings of the TENCON’93. IEEE Region 10 Conference on Computers, Communications and Automation, Beijing, China, 19–21 October 1993. [Google Scholar]
- Cadini, F.; Zio, E. A Monte Carlo method for the model-based estimation of nuclear reactor dynamics. Ann. Nucl. Energy 2007, 34, 773–781. [Google Scholar] [CrossRef]
- Zhao, J.; Liu, D.; Ouyang, L.; Sun, W.; Wang, Q.; Yang, N. Analysis of the mutual interaction between large-scale pressurized water reactor nuclear power plants and power systems. Chin. Soc. Electr. Eng. 2012, 32, 64–70. [Google Scholar]
- Dong, Z.; Liu, M.; Jiang, D.; Huang, X.J.; Zhang, Y.J.; Zhang, Z.Y. Automatic generation control of nuclear heating reactor power plants. Energies 2018, 11, 2782. [Google Scholar] [CrossRef]
- Wu, G.Y.; Ju, P.; Song, X.L.; Xie, C.L.; Zhong, W.Z. Interaction and coordination among nuclear power plants, power grids and their protection systems. Energies 2016, 9, 306. [Google Scholar] [CrossRef]
- Eliasi, H.; Menhaj, M.B.; Davilu, H. Robust nonlinear model predictive control for a PWR nuclear power plant. Prog. Nucl. Energy 2012, 54, 177–185. [Google Scholar] [CrossRef]
- Wang, L.; Zhao, J.; Liu, D.C.; Lin, Y.; Zhao, Y.; Lin, Z.; Zhao, T.; Lei, Y. Parameter identification with the random perturbation particle swarm optimization method and sensitivity analysis of an advanced pressurized water reactor nuclear power plant model for power systems. Energies 2017, 10, 173. [Google Scholar] [CrossRef]
- Gábor, A.; Fazekas, C.; Szederkényi, G.; Hangos, K.M. Modeling and identification of a nuclear reactor with temperature effects and Xenon poisoning. Eur. J. Control 2011, 17, 104–115. [Google Scholar] [CrossRef]
- Wang, P.F.; Wan, J.S.; Chen, Z.; Sun, J.; Zhang, R.; He, Z.X.; Zhao, F.Y. Dynamic simulation and study of Mechanical Shim (MSHIM) core control strategy for AP1000 reactor. Ann. Nucl. Energy 2014, 72, 49–62. [Google Scholar] [CrossRef]
- Hsu, Y.Y.; Liu, C.S.; Luor, T.S.; Chang, C.L.; Liu, A.S.; Chen, Y.T.; Huang, C.T. Experience with the identification and tuning of excitation system parameters at the second nuclear power plant of Taiwan power company. IEEE Trans. Power Syst. 1996, 11, 747–753. [Google Scholar]
- Energy Development and Power Generation Committee. IEEE Std 421.5-2016 IEEE Recommended Practice for Excitation System Models for Power System Stability Studies; IEEE: New York, NY, USA, 2016. [Google Scholar]















| Parameter Symbols | Recommended Values | Parameter Symbols | Recommended Values |
|---|---|---|---|
| TCH | 0.4 | VCCVQ | −5 |
| TRH | 10 | VCIVQ | −5 |
| TCO | 1 | TCV1 | 0.01 |
| FHP | 0.33 | TIV1 | 0.01 |
| FIP | 0 | PCV,MAX | 1.03 |
| FLP | 0.67 | PCV,MIN | 0 |
| λh | 0.8 | PIV,MAX | 1 |
| TO | 5 | PIV,MIN | 0 |
| TC | 0.26 | α1 | 0.05 |
| TIV | 0.5 | α2 | 0.06 |
© 2019 by the authors. Licensee MDPI, Basel, Switzerland. This article is an open access article distributed under the terms and conditions of the Creative Commons Attribution (CC BY) license (http://creativecommons.org/licenses/by/4.0/).
Share and Cite
Wang, L.; Sun, W.; Zhao, J.; Liu, D. A Speed-Governing System Model with Over-Frequency Protection for Nuclear Power Generating Units. Energies 2020, 13, 173. https://doi.org/10.3390/en13010173
Wang L, Sun W, Zhao J, Liu D. A Speed-Governing System Model with Over-Frequency Protection for Nuclear Power Generating Units. Energies. 2020; 13(1):173. https://doi.org/10.3390/en13010173
Chicago/Turabian StyleWang, Li, Wentao Sun, Jie Zhao, and Dichen Liu. 2020. "A Speed-Governing System Model with Over-Frequency Protection for Nuclear Power Generating Units" Energies 13, no. 1: 173. https://doi.org/10.3390/en13010173
APA StyleWang, L., Sun, W., Zhao, J., & Liu, D. (2020). A Speed-Governing System Model with Over-Frequency Protection for Nuclear Power Generating Units. Energies, 13(1), 173. https://doi.org/10.3390/en13010173

