Identification of Low Frequency Oscillations Based on Multidimensional Features and ReliefF-mRMR
Abstract
1. Introduction
- This paper firstly constructs multi-dimensional features from the aspects of time domain, frequency domain, energy, correlation, complexity, and modal analysis to fully characterize the LFOs. Furthermore, it combines ReliefF and mRMR to express the most significant oscillation information with fewest features.
- The method uses GA to optimize the parameters of SVM in order to obtain better training model, which has higher accuracy than that obtained with traditional fixed parameter SVM.
- The proposed method based on GA-SVM and multi-dimensional features overcomes the shortcoming of the single-feature-based methods which might possibly face the problem of neglecting crucial LFO information, so that the proposed method is more robust and has good generalization ability.
2. LFO Features Analysis and Multi-Dimensional Feature Construction
2.1. Time Domain and Frequency Domain Features Analysis and Construction
2.2. Energy, Correlation, Complexity, Modal Features Analysis, and Construction
2.2.1. Energy Index
2.2.2. Correlation Index
2.2.3. Complexity Index
- Let u represent an LFO signal. Define the vector length parameter m and the parameter r which reflects the similarity between the vectors, and construct the m-dimensional vector: Xm(1), Xm(2), ..., Xm(N – m + 1),where Xm(i) = [ui(1), ui(2), ..., ui(N – m + 1)].
- For 1 ≤ i ≤ N − m+1, calculatewhere Ci is the number of Xm(j) which satisfies max|ui(a) – uj(a)| ≤ r. ui(a) is the i-th element of Xm(i). The average value of Bim(r) is Bm(r).Bim(r) = Ci/(N − m), (I ≠ j)
- Take k = m + 1 and repeat steps 1 and 2 to calculate Bk(r). Sample entropy of LFO iswhere SE is the sample entropy. Bk(r) is the average value of Bik(r).SE = −ln[Bk(r)/Bm(r)]
2.2.4. Modal Index
3. Feature Selection of LFO Type Identification Based on ReliefF-mRMR
3.1. Evaluation of Identification Ability of Single Feature Based on ReliefF
- Set training set D, sampling number m, nearest neighboring sample number k, the number of selected feature M, and set each initial feature weight to 0.
- Select a sample X from training set D randomly and select k nearest neighbor samples from the same category of X and the different category of X respectively.
- Update the weight according to (7)where Wi(n) is the weighting factor of the n-th feature updated at the i-th time, and Xi(n) is the n-th feature index of the i-th random selection sample. Hj(n) is the n-th feature index of the Xi(n) the j-th same category nearest neighbor sample, and Mj(n) is the n-th feature index of the Xi(n) j-th different category nearest neighbor. When a feature has a crucial impact on classification, the same kind of samples are very similar in this feature, while the different kind of samples differ greatly in this feature. Therefore, the second item is the smaller and the third item is the larger on the right side of the Equation (7), so the feature has a larger weight [25].
- Judge whether the sampling is completed. If not, return to step 2.
- Obtain the feature weight vector W(n) and select the largest M weight features as the candidate features.
3.2. Evaluation of Identification Ability of Feature Subset Based on mRMR
3.3. Method for Selecting the Features of LFO Type Identification Based on ReliefF-mRMR
4. LFO Type Identification Method Based on Multidimensional Features and ReliefF-mRMR
4.1. Principle of GA-SVM
4.2. Flow of LFO Type Identification Method Based on Multidimensional Features and ReliefF-mRMR
- Obtain actual event samples or simulation samples considering various influencing factors such as disturbance source characteristics, power system operating conditions, damping level, noise, etc.
- Calculate feature index set of samples including time domain, frequency domain, energy, correlation, complexity, and modal analysis.
- Obtain feature subset with ReliefF-mRMR.
- Train LFO type identification model for feature subset with GA-SVM.
- Input feature index set of unknown type LFO data into identification model to identify LFO type.
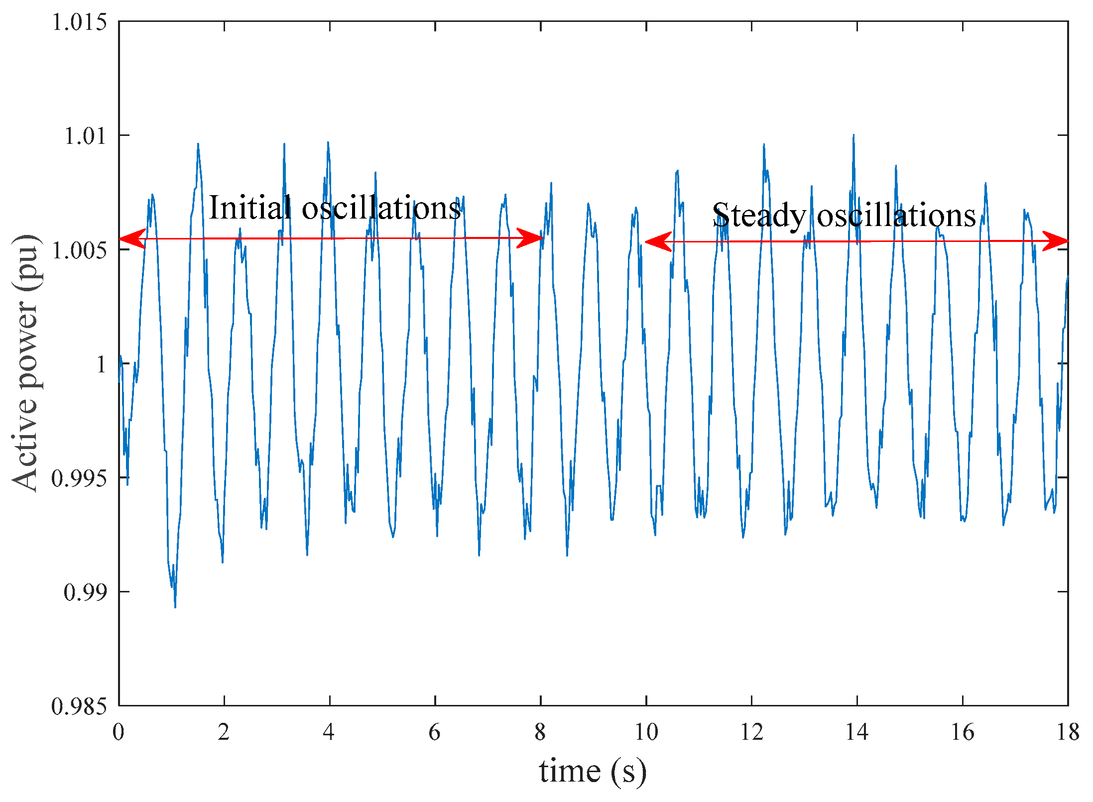
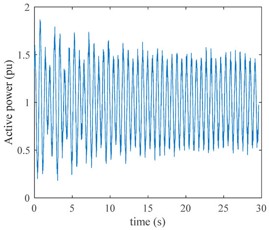
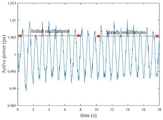
5. Case Study and Analysis
5.1. Sample Construction and Model Training
5.2. Validation
6. Conclusions and Future Work
Author Contributions
Funding
Conflicts of Interest
References
- Feng, S.; Wu, X.; Jiang, P.; Xie, L.; Lei, J.X. Mitigation of Power System Forced Oscillations: An E-STATCOM Approach. IEEE Access 2018, 6, 31599–31608. [Google Scholar] [CrossRef]
- Sui, X.; Tang, Y.; He, H.; Wen, J. Energy-Storage-Based Low-Frequency Oscillation Damping Control Using Particle Swarm Optimization and Heuristic Dynamic Programming. IEEE Trans. Power Syst. 2014, 29, 2539–2548. [Google Scholar] [CrossRef]
- Zhao, Y.; Li, Z.; Nie, Y. A Time-Frequency Analysis Method for Low Frequency Oscillation Signals Using Resonance-Based Sparse Signal Decomposition and a Frequency Slice Wavelet Transform. Energies 2016, 9, 151. [Google Scholar] [CrossRef]
- Zhou, N.; Dagle, J. Initial results in using a self-coherence method for detecting sustained oscillations. In Proceedings of the 2015 IEEE Power & Energy Society General Meeting, Denver, CO, USA, 26–30 July 2015. [Google Scholar]
- Liu, J.; Yao, W.; Wen, J.Y. Active Power Oscillation Property Classification of Electric Power Systems Based on SVM. J. Appl. Math. 2014, 2014, 218647. [Google Scholar] [CrossRef]
- Ma, Y.F.; Liu, W.D.; Zhao, S.Q. On-line identification of low-frequency oscillation properties based on envelop fitting. Autom. Electr. Power Syst. 2014, 38, 46–53. [Google Scholar]
- Ye, H.; Liu, Y.; Zhang, P. Analysis and Detection of Forced Oscillation in Power System. IEEE Trans. Power Syst. 2017, 32, 1149–1160. [Google Scholar] [CrossRef]
- Feng, S.; Jiang, P.; Wu, X. Frequency domain method for identifying property of low frequency oscillations. Proc. Chin. Soc. Electr. Eng. 2016, 36, 2357–2365. [Google Scholar]
- Wang, X.; Turitsyn, K. Data-Driven Diagnostics of Mechanism and Source of Sustained Oscillations. IEEE Trans. Power Syst. 2016, 31, 4036–4046. [Google Scholar] [CrossRef]
- Xie, R.C.; Trudnowski, D. Distinguishing features of natural and forced oscillations. In Proceedings of the 2015 IEEE Power & Energy Society General Meeting, Denver, CO, USA, 26–30 July 2015. [Google Scholar]
- Dai, X.Z.; Shen, C. A power system oscillation property identifying method based on decomposition of energy supply on port. Autom. Electr. Power Syst. 2014, 38, 40–45. [Google Scholar]
- Pai, M.A. Energy Function Analysis for Power System Stability; Kluwer Academic Publishers: Boston, MA, USA, 1989; pp. 1–48. [Google Scholar]
- Fouad, A.A.; Vittal, V. Power System Transient Stability Analysis: Using the Transient Energy Function Method; Prentice-Hall: Englewood Cliffs, NJ, USA, 1991. [Google Scholar]
- Tsolas, N.; Arapostathis, A.; Varaiya, P. A structure preserving energy function for power system transient stability analysis. IEEE Trans. Circuits Syst. 1985, 32, 1041–1049. [Google Scholar] [CrossRef]
- Moon, Y.H.; Cho, B.H.; Lee, Y.H.; Hong, H.S. Energy conservation law and its application for the direct energy method of power system stability. In Proceedings of the IEEE Power Engineering Society, 1999 Winter Meeting (Cat. No.99CH36233), New York, NY, USA, 31 January–4 February 1999. [Google Scholar]
- Min, Y.; Chen, L. A transient energy function for power systems including the induction motor model. Sci. China Ser. E 2007, 5, 575–584. [Google Scholar] [CrossRef]
- Chen, L.; Min, Y.; Chen, Y.P.; Hu, W. Evaluation of Generator Damping Using Oscillation Energy Dissipation and the Connection with Modal Analysis. IEEE Trans. Power Syst. 2014, 29, 1393–1402. [Google Scholar] [CrossRef]
- Chen, L.; Sun, M.; Min, Y.; Xu, X.L.; Xi, J.H.; Li, Y. Online monitoring of generator damping using dissipation energy flow computed from ambient data. IET Gener. Transm. Distrib. 2017, 18, 4430–4435. [Google Scholar] [CrossRef]
- Haque, M.H. Use of energy function to evaluate the additional damping provided by a STATCOM. Electr. Power Syst. Res. 2004, 72, 195–202. [Google Scholar] [CrossRef]
- Chen, L.; Min, Y.; Hu, W. An energy-based method for location of power system oscillation source. IEEE Trans. Power Syst. 2013, 28, 828–836. [Google Scholar] [CrossRef]
- Zhang, X.H.; Zhang, W.C.; Xi, J.H. Discrimination Method for Low-frequency Oscillation Type Based on Entropy of Energy Distribution in Space and Time. Autom. Electr. Power Syst. 2017, 41, 84–90. [Google Scholar]
- Wang, Y.R.; Wu, T.X. Vibration Signal Extraction of Rotating Machines Based on the Analysis of Degree of Cylcostationary. Adv. Mater. Res. 2012, 546, 188–193. [Google Scholar] [CrossRef]
- Hoshino, K.; Sumi, H.; Nishimura, T. Noise Detection and Reduction for Image Sensor by Time Domain Autocorrelation Function Method. In Proceedings of the 2007 IEEE International Symposium on Industrial Electronics, Vigo, Spain, 4–7 June 2007. [Google Scholar]
- Yan, R.; Gao, R.X. Approximate Entropy as a diagnostic tool for machine health monitoring. Mech. Syst. Signal Process. 2007, 21, 824–839. [Google Scholar] [CrossRef]
- Kononenko, I.; Šimec, E.; Robnik-Šikonja, M. Overcoming the Myopia of Inductive Learning Algorithms with RELIEFF. Appl. Intell. 1997, 7, 39–55. [Google Scholar] [CrossRef]
- Kwak, N.; Choi, C.H. Input feature selection by mutual information based on Parzen window. IEEE Trans. Pattern Anal. Mach. Intell. 2002, 24, 1667–1671. [Google Scholar] [CrossRef]
- Peng, H.C.; Long, F.H.; Ding, C. Feature selection based on mutual information criteria of max-dependency, max-relevance, and min-redundancy. IEEE Trans. Pattern Anal. Mach. Intell. 2005, 27, 1226–1238. [Google Scholar] [CrossRef]
- Vapnik, V.N. Statistical Learning Theory; John Wiley & Sons: New York, NY, USA, 1998. [Google Scholar]
- Maslennikov, S.; Wang, B.; Zhang, Q.; Ma, F.; Luo, X.; Sun, K.; Litvinov, E. A test cases library for methods locating the sources of sustained oscillations. In Proceedings of the 2016 IEEE Power and Energy Society General Meeting, Boston, MA, USA, 17–21 July 2016. [Google Scholar]
- Chevalier, S.; Vorobev, P.; Turitsyn, K. A Bayesian Approach to Forced Oscillation Source Location Given Uncertain Generator Parameters. IEEE Trans. Power Syst. 2019, 34, 1641–1649. [Google Scholar] [CrossRef]
- Follum, J.; Pierre, J.W. Detection of Periodic Forced Oscillations in Power Systems. IEEE Trans. Power Syst. 2016, 31, 2423–2433. [Google Scholar] [CrossRef]
- Khan, M.A.; Pierre, J.W. Detection of Periodic Forced Oscillations in Power Systems Using Multitaper Approach. IEEE Trans. Power Syst. 2019, 34, 1086–1094. [Google Scholar] [CrossRef]
- Christianini, N.; Shawe-Taylor, J. An Introduction to Support Vector Machines and Other Kernel-Based Learning Methods; Cambridge University Press: Cambridge, UK, 2000. [Google Scholar]
- Trevor, H.; Robert, T.; Jerome, F. The Elements of Statistical Learning, 2nd ed.; Springer: New York, NY, USA, 2008. [Google Scholar]
- CURENT: Test Cases. Available online: http://web.eecs.utk.edu/~kaisun/Oscillation/actualcases.html (accessed on 12 May 2019).









| Expression | Meaning |
|---|---|
| Mean | |
| Standard deviation | |
| Square root amplitude | |
| Root mean square value (effective value) | |
| Peak | |
| Twist index (skewed indicator) | |
| Kurtosis index | |
| Crest factor | |
| Margin index | |
| Waveform index | |
| Pulse index |
| Expression | Meaning |
|---|---|
| Center frequency | |
| variance | |
| Skewness | |
| Kurtosis | |
| Frequency center | |
| Frequency standard deviation | |
| Root mean square frequency | |
| Waveform stability factor | |
| Coefficient of variation | |
| Twist | |
| Kurtosis | |
| Root mean square ratio |
| Case Number | Buses of Generators with Modified Parameter | Damping Parameter | Fault Bus |
|---|---|---|---|
| NO1 | 6, 11 | 2, −6 | 30 |
| NO2 | 6, 11 | 5, −9 | 6 |
| NO3 | 6, 11 | 3, −8 | 30 |
| NO4 | 45, 159 | −2, −0.5 | 159 |
| NO5 | 45, 159 | −0.5, −0.5 | 159 |
| NO6 | 45, 159, 36 | −2.5, 1, −1 | 159 |
| NO7 | 11 | −10 | 79 |
| NO8 | 35, 65 | 0.5, −1.5 | 79 |
| NO9 | 45, 159 | −2, 1 | 159 |
| NO10 | 6, 11 | 1.5, −6 | 30 |
| NO11 | 6, 11 | 5, −8 | 6 |
| NO12 | 6, 11 | 3, −7 | 30 |
| NO13 | 45, 159 | −0.2, −0.2 | 159 |
| NO14 | 45, 159, 36 | −2.5, 1.3, −0.6 | 159 |
| NO15 | 11 | −7.5 | 79 |
| Inputs of Disturbance | Wave Form | Amplitude | Frequency (Hz) |
|---|---|---|---|
| Prime mover torque | Sine and square | 0.1–0.5 | 0.2–2.5 |
| Excitation system inputs | Sine and square | 0.05–0.25 | 0.2–2.5 |
| Feature Selection Algorithm | Accuracy |
|---|---|
| ReilefF-mRMR | 98.0% |
| mRMR | 95.6% |
| ReilefF | 97.1% |
| Pearson correlation coefficient | 96.9% |
| Type of Recorded Data | Traditional SVM Accuracy | GA-SVM Accuracy |
|---|---|---|
| Initial period | 94% | 100% |
| Steady period | 92% | 99% |
© 2019 by the authors. Licensee MDPI, Basel, Switzerland. This article is an open access article distributed under the terms and conditions of the Creative Commons Attribution (CC BY) license (http://creativecommons.org/licenses/by/4.0/).
Share and Cite
Feng, S.; Chen, J.; Tang, Y. Identification of Low Frequency Oscillations Based on Multidimensional Features and ReliefF-mRMR. Energies 2019, 12, 2762. https://doi.org/10.3390/en12142762
Feng S, Chen J, Tang Y. Identification of Low Frequency Oscillations Based on Multidimensional Features and ReliefF-mRMR. Energies. 2019; 12(14):2762. https://doi.org/10.3390/en12142762
Chicago/Turabian StyleFeng, Shuang, Jianing Chen, and Yi Tang. 2019. "Identification of Low Frequency Oscillations Based on Multidimensional Features and ReliefF-mRMR" Energies 12, no. 14: 2762. https://doi.org/10.3390/en12142762
APA StyleFeng, S., Chen, J., & Tang, Y. (2019). Identification of Low Frequency Oscillations Based on Multidimensional Features and ReliefF-mRMR. Energies, 12(14), 2762. https://doi.org/10.3390/en12142762
