Optimization and Model Validation of Operation Control Strategies for a Novel Dual-Motor Coupling-Propulsion Pure Electric Vehicle
Abstract
1. Introduction
2. Proposed Novel Dual-Motor Coupling-Propulsion Powertrain System (NDMPS)
3. Driving Mode Division and Power Distribution
3.1. Efficiency and Dynamics Model for the Powertrain System
3.1.1. System Dynamics in M1 and M2
3.1.2. System Dynamics in M3
3.1.3. System Dynamics in M4
3.2. Analysis of Driving Mode Division
3.3. Power Distribution for Motors
3.4. Mode-Switch Control Strategy
4. Simulation Results and Discussion
4.1. Simulation Model
4.2. Simulation and Verification of Mode Division Strategy.
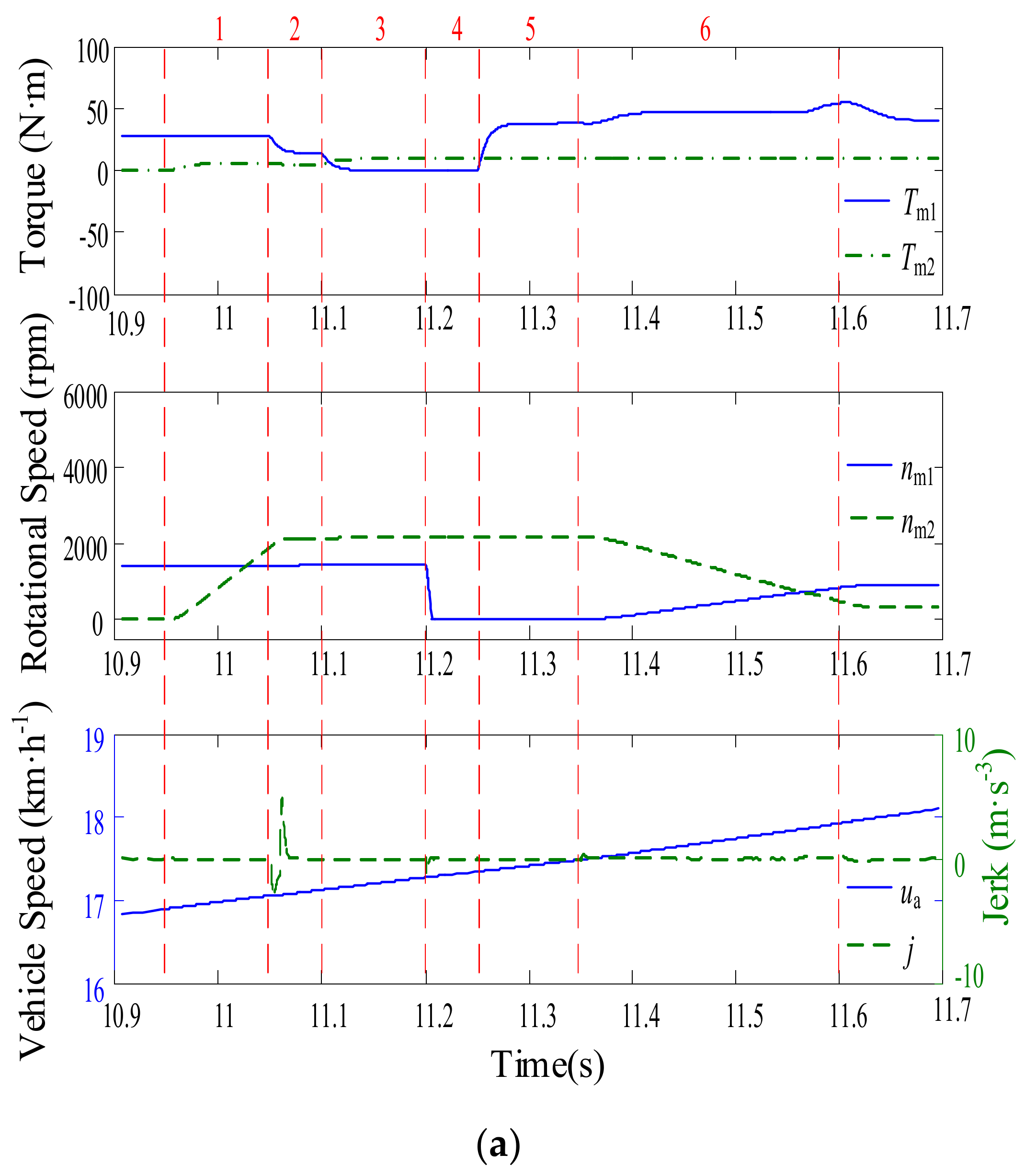
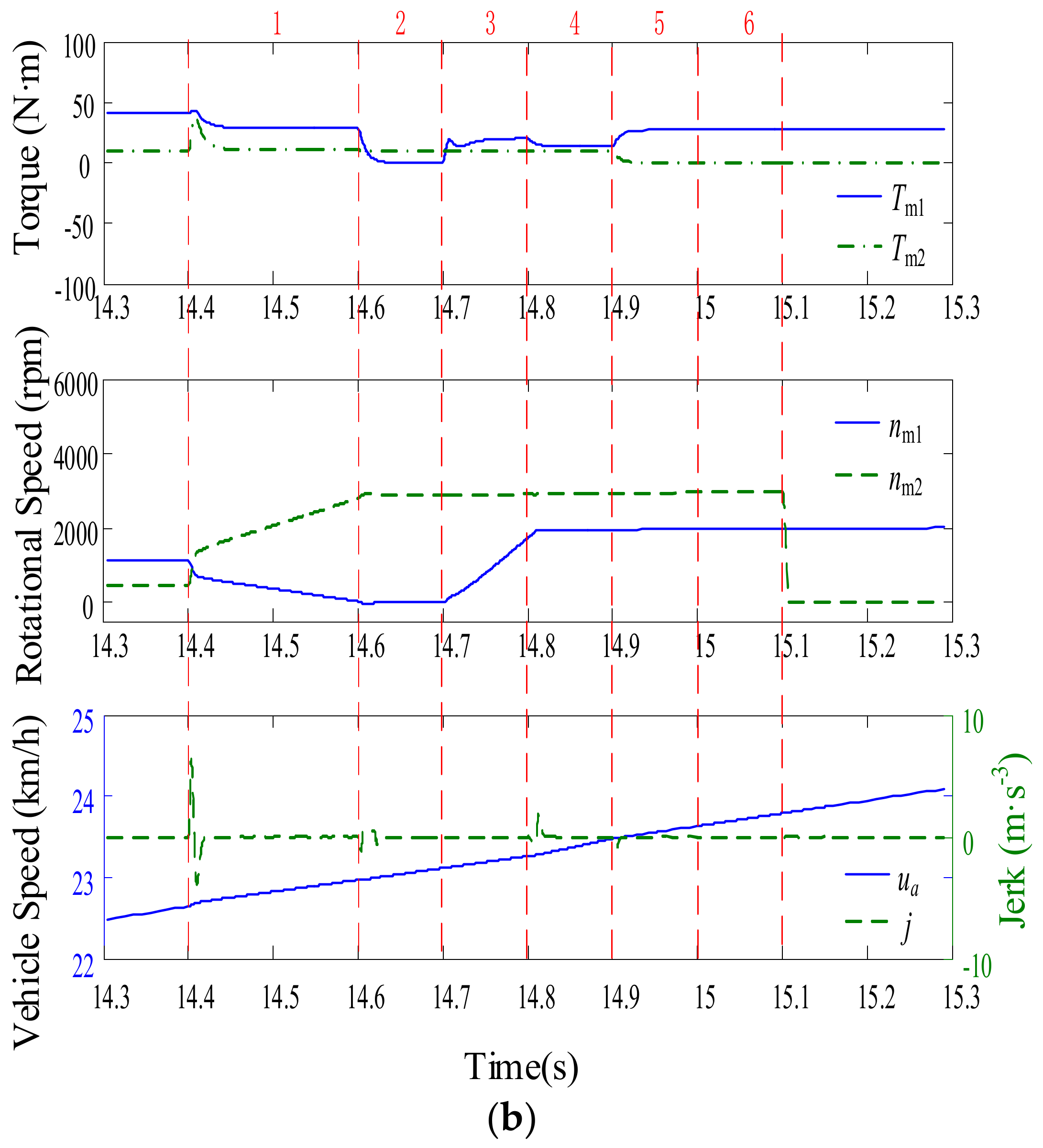
4.3. Simulation for Mode-Switch Control Strategy
4.4. Comparative Simulation for PEVs
5. Conclusions
Acknowledgments
Author Contributions
Conflicts of Interest
References
- Chu, S.; Majumdar, A. Opportunities and challenges for a sustainable energy future. Nature 2012, 488, 294–303. [Google Scholar] [CrossRef] [PubMed]
- Rahbari-Asr, N.; Chow, M.Y. Cooperative distributed demand management for community charging of PHEV/PEVs based on KKT conditions and consensus networks. IEEE Trans. Ind. Inform. 2014, 10, 1907–1916. [Google Scholar] [CrossRef]
- Crolla, D.A.; Cao, D. The impact of hybrid and electric powertrains on vehicle dynamics, control systems and energy regeneration. Veh. Syst. Dyn. 2012, 50, 95–109. [Google Scholar] [CrossRef]
- Miller, M.; Holmes, A.; Conlon, B.; Savagian, P. The GM “Voltec”4ET50 multi-mode electric transaxle. SAE Int. J. Engines 2011, 4, 1102–1114. [Google Scholar] [CrossRef]
- Wu, X.; Han, S.; Sun, H.; Han, G. Efficiency analysis of planetary coupling drive system with dual motors on electric bus. In Proceedings of the 2015 IEEE International Conference on Mechatronics and Automation (ICMA), Beijing, China, 2–5 August 2015; pp. 2547–2552. [Google Scholar]
- Zhang, S.; Zhang, C.; Han, G.; Wang, Q. Optimal control strategy design based on dynamic programming for a dual-motor coupling-propulsion system. Sci. World J. 2014. [Google Scholar] [CrossRef] [PubMed]
- Kim, J.; Kim, T.; Min, B.; Hwang, S.; Kim, H. Mode Control Strategy for a Two-Mode Hybrid Electric Vehicle Using Electrically Variable Transmission (EVT) and Fixed-Gear Mode. IEEE Trans. Veh. Technol. 2011, 60, 793–803. [Google Scholar] [CrossRef]
- Musardo, C.; Rizzoni, G.; Guezennec, Y.; Staccia, B. A-ECMS: An adaptive algorithm for hybrid electric vehicle energy management. Eur. J. Control 2005, 11, 509–524. [Google Scholar] [CrossRef]
- Xi, L.; Zhang, X.; Sun, C.; Wang, Z.; Hou, X.; Zhang, J. Intelligent Energy Management Control for Extended Range Electric Vehicles Based on Dynamic Programming and Neural Network. Energies 2017, 10, 1871. [Google Scholar] [CrossRef]
- Zou, Y.; Sun, F.; Hu, X. Combined Optimal Sizing and Control for a Hybrid Tracked Vehicle. Energies 2012, 5, 4697–4710. [Google Scholar] [CrossRef]
- Un-Noor, F.; Padmanaban, S.; Mihet-Popa, L.; Mollah, M.N.; Hossain, E. A comprehensive study of key electric vehicle (EV) components, technologies, challenges, impacts, and future direction of development. Energies 2017, 10, 1217. [Google Scholar] [CrossRef]
- Tie, S.F.; Tan, C.W. A review of energy sources and energy management system in electric vehicles. Renew. Sustain. Energy Rev. 2013, 20, 82–102. [Google Scholar] [CrossRef]
- Guan, J.C.; Chen, B.C. Adaptive Power Management Strategy for a Four-Mode Hybrid Electric Vehicle. Energy Procedia 2017, 105, 2403–2408. [Google Scholar] [CrossRef]
- Sciarretta, A.; Guzzella, L. Control of hybrid electric vehicles. IEEE Control Syst. 2007, 27, 60–70. [Google Scholar] [CrossRef]
- Thibault, L.; Grondin, S.O.; Quérel, C.; Corde, G. Energy Management Strategy and Optimal Hybridization Level for a Diesel HEV; SAE World Congress: Detroit, MI, USA, 2012; pp. 260–271. [Google Scholar]
- Zhang, C.; Zhang, S.; Han, G.; Liu, H. Power Management Comparison for a Dual-Motor-Propulsion System Used in a Battery Electric Bus. IEEE Trans. Ind. Electron. 2017, 64, 3873–3882. [Google Scholar] [CrossRef]
- Da, W.; Bo, W. Research on driving force optimal distribution and fuzzy decision control system for a dual-motor electric vehicle. In Proceedings of the 2015 34th Chinese Control Conference (CCC), Hangzhou, China, 28–30 July 2015; pp. 8146–8153. [Google Scholar]
- Li, L.; Yang, C.; Zhang, Y.; Zhang, L.; Song, J. Correctional DP-Based Energy Management Strategy of Plug-In Hybrid Electric Bus for City-Bus Route. IEEE Trans. Veh. Technol. 2015, 64, 2792–2803. [Google Scholar] [CrossRef]
- Moura, S.J.; Fathy, H.K.; Callaway, D.S.; Stein, J.L. A Stochastic Optimal Control Approach for Power Management in Plug-In Hybrid Electric Vehicles. IEEE Trans. Control Syst. Trans. 2011, 19, 545–555. [Google Scholar] [CrossRef]
- Dizqah, A.M.; Lenzo, B.; Sorniotti, A.; Gruber, P.; Fallah, S.; De Smet, J. A fast and parametric torque distribution strategy for four-wheel-drive energy-efficient electric vehicles. IEEE Trans. Ind. Electron. 2016, 63, 4367–4376. [Google Scholar] [CrossRef]
- He, H.; Liu, Z.; Zhu, L. Dynamic Coordinated Shifting Control of Automated Mechanical Transmissions without a Clutch in a Plug-In Hybrid Electric Vehicle. Energies 2012, 5, 3094–3109. [Google Scholar] [CrossRef]
- Ma, Y.; Xiang, C.; Huang, K.; Liu, H.; Li, Y. Modelling and mode switch stability criterion research of power-split hybrid transmission system. In Proceedings of the International Conference on Modelling, Identification and Control, Melbourne, Australia, 3–5 December 2015; pp. 225–230. [Google Scholar]
- Sim, K.; Oh, S.-M.; Namkoong, C.; Lee, J.-S.; Han, K.-S.; Hwang, S.-H. Control strategy for clutch engagement during mode change of plug-in hybrid electric vehicle. Int. J. Automot. Technol. 2017, 18, 901–909. [Google Scholar] [CrossRef]
- Wang, J.; Wang, Q.; Wang, P.; Li, L. Mode Transition Dynamic Control for Dual-Motor Hybrid Driving System. In Proceedings of the SAE/KSAE 2013 International Powertrains, Fuels Lubricants Meeting, Seoul, Korean, 14 October 2013. [Google Scholar]
- Hu, M.; Zeng, J.; Xu, S.; Fu, C. Efficiency Study of a Dual-Motor Coupling EV Powertrain. IEEE Trans. Veh. Technol. 2015, 64, 2252–2260. [Google Scholar] [CrossRef]
- Guo, L.; Gao, B.; Gao, Y.; Chen, H. Optimal energy management for HEVs in eco-driving applications using bi-level MPC. IEEE Trans. Intell. Transp. Syst. 2017, 18, 2153–2162. [Google Scholar] [CrossRef]
- Zhao, Z.; Lei, D.; Chen, J.; Li, H. Optimal control of mode transition for four-wheel-drive hybrid electric vehicle with dry dual-clutch transmission. Mech. Syst. Signal Process 2018, 105, 68–89. [Google Scholar] [CrossRef]











| Mode | MG1 | MG2 | C1 | C2 | C3 | B1 |
|---|---|---|---|---|---|---|
| M1 | DRIVE | IDLE | OFF | ON | OFF | OFF |
| M2 | IDLE | DRIVE | OFF | OFF | ON | ON |
| M3 | DRIVE | DRIVE | OFF | ON | ON | ON |
| M4 | DRIVE | DRIVE | ON | OFF | ON | OFF |
| Item | Description | Value |
|---|---|---|
| Basic parameters | Fully loaded mass, m (kg) | 1700 |
| Windward area, A (m2) | 2.16 | |
| Drag coefficient | 0.29 | |
| Tire rolling radius, r (m) | 0.345 | |
| Rolling resistance coefficient, f | 0.015 | |
| Rotational mass coefficient, δ | 1.04 | |
| Performance indicators | Maximum speed (km/h) | 150 |
| Acceleration time of 0~50 km/h (s) | 5 | |
| Acceleration time of 0~100 km/h (s) | 15 | |
| Maximum climbing degree of 15 km/h (%) | 30 | |
| Mileage of 60 km/h cruising (km) | 150 |
| Component | Parameter | Value |
|---|---|---|
| MG1 | Rated/peak power (kW) | 22/46.5 |
| Rated/maximum speed (rpm) | 2880/5636 | |
| Rated/maximum torque (N∙m) | 73/154 | |
| MG2 | Rated/peak power (kW) | 10/20.5 |
| Rated/maximum speed (rpm) | 3300/8338 | |
| Rated/maximum torque (N∙m) | 29/59 | |
| Planetary gear | Ratio between ring gear and sun gear, k | 2.6 |
| Gear 1 | Ratio i1 | 2.92 |
| Gear 2 | Ratio i2 | 1.2 |
| Final drive | Ratio i0 | 4.05 |
| Battery pack | Type | Li-ion |
| Rated voltage (V) | 333 | |
| Rated capacity (Ah) | 78 |
| Switch | Step | Process |
|---|---|---|
| M1-to-M4 | M1 to M3: | ① Start MG2 and regulate its speed to ωr·i0·i2·(k + 1) at no load; ② Engage clutch C3; Then, the torque of MG1 and MG2 can be adjusted. |
| M3 to M2: | ① Reduce the output torque of MG1 to zero and increase the torque of MG2 to Tr/i0/i2/(k +1); ② Disengage clutch C2 and decrease the speed of MG1 to zero. | |
| M2 to M4: | ① Engage clutch C1; ② Increase the torque of MG1 to kTm2; ③ Disengage brake B1; Then, the speed of MG1 and MG2 can be adjusted. | |
| M4-to-M1 | M4 to M2: | ① Decrease the speed of MG1 to zero and increase the speed of MG2 to ωr·i0·i2·(k + 1); ② Engage brake B1; ③ Decrease the torque of MG1 to zero; ④ Disengage clutch C1. |
| M2 to M3: | ① Increase the speed of MG1 to ωr·i0·i1; ② Engage clutch C2; Then, the torque of MG1 and can be adjusted. | |
| M3 to M1: | ① Decrease the torque of MG2 to zero and increase the torque of MG2 to Tr/i0/i1; ② Disengage clutch C3; ③ Decrease the speed of MG2 to zero. |
| Item | Parameter | Value |
|---|---|---|
| Motor | Rated/peak power (kW) | 35/67 |
| Rated/maximum speed (rpm) | 2500/6300 | |
| Rated/maximum torque (N∙m) | 124/253 | |
| Final Drive | Ratio | 5.2 |
| Transmission | First gear ratio | 1.6 |
| Second gear ratio | 1 |
| Item | SMPS | NDMPS | Increment (%) |
|---|---|---|---|
| Maximum speed (km/h) | 160 | 160 | - |
| Acceleration time of 0~50 km/h (s) | 4.85 | 4.6 | 5.43% |
| Stable speed at 30% climbing grade (km/h) | 43.7 | 43.7 | - |
| Driving Condition | SMPS (km) | NDMPS (km) | Increment (%) |
|---|---|---|---|
| Mileage of 60 km/h cruising | 157.5 | 163.3 | 3.55% |
| WLTP | 114.5 | 125.2 | 8.56% |
| 1015 | 154.9 | 174.2 | 11.1% |
| FTP75 | 88.5 | 93.5 | 5.35% |
© 2018 by the authors. Licensee MDPI, Basel, Switzerland. This article is an open access article distributed under the terms and conditions of the Creative Commons Attribution (CC BY) license (http://creativecommons.org/licenses/by/4.0/).
Share and Cite
Hu, J.; Zheng, L.; Jia, M.; Zhang, Y.; Pang, T. Optimization and Model Validation of Operation Control Strategies for a Novel Dual-Motor Coupling-Propulsion Pure Electric Vehicle. Energies 2018, 11, 754. https://doi.org/10.3390/en11040754
Hu J, Zheng L, Jia M, Zhang Y, Pang T. Optimization and Model Validation of Operation Control Strategies for a Novel Dual-Motor Coupling-Propulsion Pure Electric Vehicle. Energies. 2018; 11(4):754. https://doi.org/10.3390/en11040754
Chicago/Turabian StyleHu, Jianjun, Lingling Zheng, Meixia Jia, Yi Zhang, and Tao Pang. 2018. "Optimization and Model Validation of Operation Control Strategies for a Novel Dual-Motor Coupling-Propulsion Pure Electric Vehicle" Energies 11, no. 4: 754. https://doi.org/10.3390/en11040754
APA StyleHu, J., Zheng, L., Jia, M., Zhang, Y., & Pang, T. (2018). Optimization and Model Validation of Operation Control Strategies for a Novel Dual-Motor Coupling-Propulsion Pure Electric Vehicle. Energies, 11(4), 754. https://doi.org/10.3390/en11040754
