Automated Energy Scheduling Algorithms for Residential Demand Response Systems
Abstract
:1. Introduction
- A mathematical model is established to minimize the electricity costs and maximize the user convenience, which is computed as a function of the operation time.
- Two automated scheduling schemes are proposed. If the user sets the preferred time sections of the appliances, the proposed scheme can automatically schedule the appliances according to the preferred time section (referred to as semi-automated scheduling). If the user cannot set the preferred time of the appliances, the proposed scheme can search for the preference based on the usage statistics and then automatically schedule the appliances (referred to as fully-automated scheduling).
- Appliances are classified according to operation type. Then, a scheme that can estimate the preference time according to the classification based on the usage statistics pattern is proposed.
2. System Architecture and Model
2.1. System Architecture
- As mentioned earlier, the operation of some appliances may not be controllable. These appliances are referred to as uncontrollable appliances. Lighting systems, computers, televisions, and hair dryers are examples of uncontrollable appliances. Thus, they cannot be controlled by the load controller. However, they should provide their power consumption and operating information to the load controller since the smart grid system has strict energy consumption scheduling constraints. Figure 2a shows the state diagram of an uncontrollable appliance. When the appliance does not operate, it sleeps. If it receives an operation command from the user, it will then be activated.
- Although the start time could be controlled, there are some appliances that cannot be stopped during operation. These appliances are referred to as non-interruptable appliances. Non-interruptable appliances include dishwashers and washing machines. When a smart grid system calculates the scheduling strategy, the non-interruptable appliances should be scheduled continuously. Figure 2b shows the state diagram of a non-interruptable appliance. When the appliance does not operate, it sleeps. If it receives an operation command from the load controller, it will wait until the scheduled time and then be activated.
- In contrast to non-interruptable appliances, some appliances can be stopped during their operation time. These appliances are referred to as interruptable appliances. Interruptable appliances include house heat ventilation air conditioning (HVAC), water heaters, and plugged hybrid electric vehicles (PHEVs). They can be scheduled at discrete times to avoid the peak load increasing. Figure 2c shows the state diagram of an interruptable appliance. When the appliance does not operate, it sleeps. If it receives an operation command from the load controller, it will wait until the scheduled time and then activate. After being activated, it can stop operation and will then complete the remaining job.
2.2. Demand Response Model
2.3. Objective Function for Semi-Automated Scheduling
3. Fully-Automated Energy Scheduling Algorithm
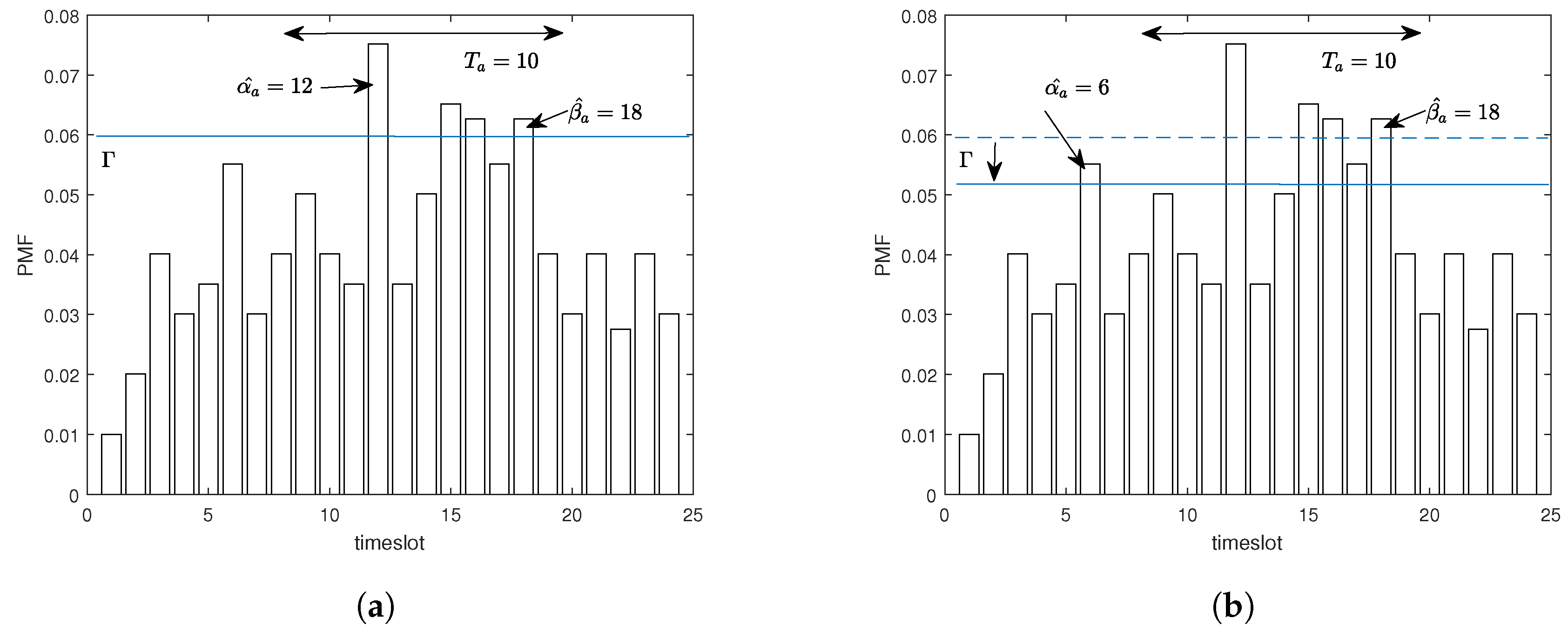
3.1. Searching for the Preference Time for Uncontrollable Appliances
| Algorithm 1: Preference Searching Algorithm for Uncontrollable Appliances |
| 1: |
| 2: |
| 3: |
| 4: |
| 5: while do |
| 6: Calculate by Equation (18) |
| 7: if then |
| 8: |
| 9: |
| 10: |
| 11: end if |
| 12: |
| 13: end while |
3.2. Searching for the Preference Time for Non-Interruptible Appliances
| Algorithm 2: Preference Searching Algorithm for Uncontrollable Appliances |
| 1: Find and by Algorithm 1 |
| 2: while 1 do |
| 3: if then |
| 4: |
| 5: else if then |
| 6: |
| 7: else |
| 8: break |
| 9: end if |
| 10: end while |
3.3. Searching for the Preference Time for Interruptible Appliances
| Algorithm 3: Preference Searching Algorithm for Uncontrollable Appliances |
| 1: while 1 do |
| 2: Update by Equation (19) |
| 3: Update by Equation (20) |
| 4: if then |
| 5: Update by Equation (21) |
| 6: else |
| 7: break |
| 8: end if |
| 9: end while |
3.4. Objective Function for Fully-Automated Scheduling
4. Simulation Results
5. Conclusions
Acknowledgments
Author Contributions
Conflicts of Interest
References
- Oh, E.; Kwon, Y.; Son, S. A new method for cost-effective demand response strategy for apartment-type factory buildings. Energy Build. 2017, 151, 275–282. [Google Scholar] [CrossRef]
- Shakeri, M.; Shayestegan, M.; Abunima, H.; Reza, S.M.S.; Akhtaruzzaman, M.; Alamoud, A.R.M.; Sopian, K.; Amin, N. An intelligent system architecture in home energy management systems (HEMS) for efficient demand response in smart grid. Energy Build. 2017, 138, 154–164. [Google Scholar] [CrossRef]
- Zhou, B.; Yao, F.; Littler, T.; Zhang, H. An electric vehicle dispatch module for demand-side energy participation. Appl. Energy 2016, 177, 464–474. [Google Scholar] [CrossRef]
- Rubino, L.; Capasso, C.; Veneri, O. Review on plug-in electric vehicle charging architectures integrated with distributed energy sources for sustainable mobility. Appl. Energy 2017, in press. [Google Scholar] [CrossRef]
- Perez, K.X.; Baldea, M.; Edgar, T.F. Integrated HVAC management and optimal scheduling of smart appliances for community peak load reduction. Energy Build. 2016, 123, 34–40. [Google Scholar] [CrossRef]
- Paridari, K.; Parisio, A.; Sandberg, H.; Johansson, K.H. Robust Scheduling of Smart Appliances in Active Apartments With User Behavior Uncertainty. IEEE Trans. Autom. Sci. Eng. 2015, 13, 247–259. [Google Scholar] [CrossRef]
- Cetin, K.S.; Tabares-Velasco, P.C.; Novoselac, A. Appliance daily energy use in new residential buildings: Use profiles and variation in time-of-use. Energy Build. 2014, 84, 716–726. [Google Scholar] [CrossRef]
- Cetin, K.S. Characterizing large residential appliance peak load reduction potential utilizing a probabilistic approach. Sci. Technol. Built Environ. 2016, 22, 720–732. [Google Scholar] [CrossRef]
- Chen, Z.; Wu, L.; Fu, Y. Real-Time Price-Based Demand Response Management for Residential Appliances via Stochastic Optimization and Robust Optimization. IEEE Trans. Smart Grid 2012, 3, 1822–1831. [Google Scholar] [CrossRef]
- Qdr, Q. Benefits of Demand Response in Electricity Markets and Recommendations for Achieving Them; Technical Report; U.S. Department of Energy: Washington, DC, USA, February 2006.
- Mohsenian-Rad, A.H.; Leon-Garcia, A. Optimal Residential Load Control with Price Prediction in Real-Time Electricity Pricing Environments. IEEE Trans. Smart Grid 2010, 1, 120–133. [Google Scholar] [CrossRef]
- Yoon, J.H.; Bladick, R.; Novoselac, A. Demand response for residential buildings based on dynamic price of electricity. Energy Build. 2014, 80, 531–541. [Google Scholar] [CrossRef]
- Ghazvini, M.A.F.; Soares, J.; Abrishambaf, O.; Castro, R.; Vale, Z. Demand response implementation in smart households. Energy Build. 2017, 143, 129–148. [Google Scholar] [CrossRef]
- Bhattarai, B.P.; Myers, K.S.; Bak-Jensen, B.; Paudyal, S. Multi-Time Scale Control of Demand Flexibility in Smart Distribution Networks. Energies 2017, 10, 37. [Google Scholar] [CrossRef]
- Yi, P.; Dong, X.; Iwayemi, A.; Zhou, C.; Li, S. Real-Time Opportunistic Scheduling for Residential Demand Response. IEEE Trans. Smart Grid 2013, 4, 227–234. [Google Scholar] [CrossRef]
- Chen, S.; Sinha, P.; Shroff, N.B. Scheduling Heterogeneous Delay Tolerant Tasks in Smart Grid with Renewable Energy. In Proceedings of the 2012 IEEE 51st IEEE Conference on Decision and Control (CDC), Maui, HI, USA, 10–13 December 2012; pp. 1130–1135. [Google Scholar]
- Kim, J.; de Dear, R.; Parkinson, T.; Candido, C. Understanding patterns of adaptive comfort behaviour in the Sydney mixed-mode residential context. Energy Build. 2017, 141, 274–283. [Google Scholar] [CrossRef]
- Ponce, P.; Peffer, T.; Molina, A. Framework for communicating with consumers using an expectation interface in smart thermostats. Energy Build. 2017, 145, 44–56. [Google Scholar] [CrossRef]
- Tang, S.; Kalavally, V.; Ng, K.Y.; Parkkinen, J. Development of a prototype smart home intelligent lighting control architecture using sensors onboard a mobile computing system. Energy Build. 2017, 138, 368–376. [Google Scholar] [CrossRef]
- Park, L.; Jang, Y.; Cho, S.; Kim, J. Residential Demand Response for Renewable Energy Resources in Smart Grid Systems. IEEE Trans. Ind. Inform. 2017, in press. [Google Scholar] [CrossRef]
- MOSEK. Available online: https://www.mosek.com/ (accessed on 5 October 2016).














| Index () | Index () | Index () | ||||||||||||
|---|---|---|---|---|---|---|---|---|---|---|---|---|---|---|
| 1 | 16 | 24 | 4 | 120 | 12 | 6 | 7 | 1 | 360 | 23 | 20 | 24 | 3 | 90 |
| 2 | 12 | 22 | 2 | 120 | 13 | 20 | 23 | 1 | 74 | 24 | 20 | 24 | 1 | 60 |
| 3 | 16 | 23 | 2 | 198 | 14 | 11 | 22 | 2 | 24 | 25 | 1 | 24 | 7 | 100 |
| 4 | 5 | 7 | 1 | 150 | 15 | 7 | 21 | 10 | 12 | 26 | 1 | 24 | 24 | 15 |
| 5 | 10 | 16 | 2 | 30 | 16 | 17 | 22 | 1 | 12 | 27 | 20 | 24 | 3 | 195 |
| 6 | 20 | 23 | 1 | 600 | 17 | 19 | 22 | 1 | 198 | 28 | 16 | 24 | 5 | 200 |
| 7 | 11 | 17 | 5 | 60 | 18 | 14 | 18 | 1 | 900 | 29 | 1 | 8 | 2 | 440 |
| 8 | 21 | 23 | 1 | 540 | 19 | 1 | 24 | 24 | 84 | 30 | 1 | 24 | 24 | 5 |
| 9 | 14 | 22 | 1 | 600 | 20 | 1 | 24 | 24 | 18 | 31 | 20 | 24 | 3 | 40 |
| 10 | 11 | 22 | 5 | 36 | 21 | 20 | 24 | 3 | 500 | 32 | 1 | 24 | 17 | 320 |
| 11 | 6 | 9 | 1 | 780 | 22 | 1 | 8 | 2 | 44 | 33 | 10 | 22 | 5 | 9.1 |
| Only Consider the Electricity Bill | Consider Both the Bill and the Convenience | Only Consider the User Convenience | ||
|---|---|---|---|---|
| Proposed Scheme | electricity bill (cents) | 479 | 486 | 522 |
| sum of dissatisfaction | 103.2 | 0.6 | 0 | |
| Comparison Scheme | electricity bill (cents) | 482 | 483 | 520 |
| sum of dissatisfaction | 59.7 | 40 | 0 | |
© 2017 by the authors. Licensee MDPI, Basel, Switzerland. This article is an open access article distributed under the terms and conditions of the Creative Commons Attribution (CC BY) license (http://creativecommons.org/licenses/by/4.0/).
Share and Cite
Park, L.; Jang, Y.; Bae, H.; Lee, J.; Park, C.Y.; Cho, S. Automated Energy Scheduling Algorithms for Residential Demand Response Systems. Energies 2017, 10, 1326. https://doi.org/10.3390/en10091326
Park L, Jang Y, Bae H, Lee J, Park CY, Cho S. Automated Energy Scheduling Algorithms for Residential Demand Response Systems. Energies. 2017; 10(9):1326. https://doi.org/10.3390/en10091326
Chicago/Turabian StylePark, Laihyuk, Yongwoon Jang, Hyoungchel Bae, Juho Lee, Chang Yun Park, and Sungrae Cho. 2017. "Automated Energy Scheduling Algorithms for Residential Demand Response Systems" Energies 10, no. 9: 1326. https://doi.org/10.3390/en10091326
APA StylePark, L., Jang, Y., Bae, H., Lee, J., Park, C. Y., & Cho, S. (2017). Automated Energy Scheduling Algorithms for Residential Demand Response Systems. Energies, 10(9), 1326. https://doi.org/10.3390/en10091326

