Abstract
Wind is the most used renewable energy source (RES) in the European Union and Poland. Due to the legal changes in the scope of RES in Poland, there are plans to develop offshore wind farms at the expense of onshore ones. On the other hand, the success of an offshore wind farm is primarily determined by its location. Therefore, the aim of this study is to select offshore wind farm locations in Poland, based on sustainability assessment, which is an inherent aspect of RES decision-making issues. To accomplish the objectives of this research, PROSA (PROMETHEE for Sustainability Assessment) method, a new multi-criteria method is proposed. Like PROMETHEE (Preference Ranking Organization METHod for Enrichment Evaluation), PROSA is transparent for decision makers and is easy to use; moreover, it provides the analytical tools available in PROMETHEE, i.e., the sensitivity and GAIA (Geometrical Analysis for Interactive Assistance) analyses. However, PROSA is characterized by a lower degree of criteria compensation than PROMETHEE. Thus, it adheres in a higher degree to the strong sustainability paradigm. The study also compared the solutions of the decision problem obtained with the use of PROSA and PROMETHEE methods. The compared methods demonstrated a high concurrence of the recommended decision-making variant of location selection, from methodological and practical points of view. At the same time, the conducted research allowed to confirm that the PROSA method recommends more sustainable decision-making variants, and that the ranking it builds is less sensitive to changes in criteria weights. Therefore, it is more stable than the PROMETHEE-based ranking.
1. Introduction
The renewable energy sources (RES) are one of the key elements of a low carbon economy []. Their ever-increasing share of the total production and consumption of energy is being observed in both the European Union [] and Poland []. Among the RES technologies, wind turbines show the largest installed capacity. In 2015, the installed capacity of onshore wind power plants in Poland reached 5.1 GW [] and over 143 GW in EU []. This represents 70% and 40% of the installed capacity of all RES [,], respectively. At the end of 2015, the installed capacity of wind power plants around the world was equal to 432 GW [], and, in 2016, it was already 456 GW [].
The most important issue determining the success of an offshore wind farm project is the choice of power plant location []. This choice determines the efficiency of the wind farm, as well as its effects on the environment, benefits and costs []. For the development of wind energy in Poland, this problem is of particular importance in the context of the 2016 introduction of the act on the investments in wind power plants []. This act introduced, in particular, restrictions on the potential locations of onshore wind turbines. The minimum distance of newly built wind turbines from the nearest buildings was defined. This distance must be at least ten times the height of the wind farms including the rotor and blades []. This requirement, combined with other relevant parameters (e.g., wind conditions and connection to the grid), makes it difficult to find a location for a newly designed onshore wind farm. However, these restrictions create opportunities for the development of wind farms in the Polish maritime area. In addition, the offshore location of wind farms is supported by the following arguments:
- the energy potential (wind power) offshore is greater than onshore [,],
- the wind farm size may be greater offshore than onshore [],
- lower environmental impact of offshore wind farms compared to the onshore ones [],
- offshore farms raise less social opposition, because the noise and visual impact are less onerous for the local communities [].
On the other hand, the disadvantages of the offshore locations, compared to the onshore ones, include:
- more difficult assessment of the wind characteristics,
- higher investment costs,
- higher operating and maintenance costs [].
One of the main aspects for implementing RES projects is their sustainability []. The sustainable development is designed to meet the current energy needs without compromising the energy needs of future generations []. In turn, the sustainability assessment means taking into account a whole set of criteria, including social, economic and environmental factors [,,], in the decision-making problem. In the context of sustainable development and sustainability assessment, the paradigms of weak and strong sustainability exist. Weak sustainability means that the economic, social and natural capitals are interchangeable, and can replace one another. On the other hand, strong sustainability means that they are complementary, but not interchangeable []. In practice, sustainability assessment appears in many RES-related publications [,], including those regarding wind energy.
RES decision problems, in which sustainability assessment is taken into account, require to consider multiple points of view and, therefore, are often considered to be multi-criteria decision-making problems []. For this reason, multi-criteria decision analysis (MCDA) methods [] are used to solve them, and, most often, the methods based on value/utility theory [] are used. Such methods are not fully suitable for use in RES and sustainability assessment problems, since, because of the criteria compensation effect, they cannot be used for the strong sustainability problems [,,]. The outranking methods [] are more suitable for such applications, because of their low degree of compensation.
The methodological contribution of this paper is to propose and verify a new MCDA method supporting strong sustainability, called PROSA (PROMETHEE for Sustainability Assessment), which is based on outranking relation. Formally, PROSA is based on similar mathematical foundations to the PROMETHEE (Preference Ranking Organization METHod for Enrichment Evaluation). However, it was observed that our approach significantly limits the undesirable effect of linear compensation of criteria, thus, fulfilling the postulate of strong sustainability. In practical terms, we verify the proposed method in a decision-making problem to select an offshore wind farm location in Poland. Four actual locations situated in the Polish economic zone in the Baltic Sea were considered. The selection was based on a sustainability assessment of the individual variants, with the use of PROSA. The obtained results were compared with the results of the PROMETHEE II calculations.
The rest of the paper is organized as follows. Section 2 contains a literature review of the MCDA methods usage in RES domain decision problems and, in particular, the decision-making problems concerning the location selection for offshore wind farms. The PROSA method, along with its PROMETHEE foundations, are presented in Section 3. Section 4 contains the results of the empirical study, followed by the discussion and sensitivity and GAIA analyses of the obtained results in Section 5. The conclusions and future directions are outlined in Section 6.
2. Literature Review
The issue of the MCDA methods’ usage to solve RES domain decision problems has been widely discussed in the literature [,,,]. The issues related strictly to wind energy, including offshore wind farms, are being resolved with the use of MCDA methods. The topic of offshore wind farm location selection has been addressed in many studies, also focused on: compensation problems [], RES decision support systems and their reuse [,], integration issues [,], social and economic issues [,], construction issues [] or GIS (Geographic Information System) technologies [,,,].
Although the main practical aim is common for all the aforementioned research, the problem is addressed with different approaches. The methodological approach is different in each of these studies, thus, using different sets of criteria or structuring them in different groups and clusters. Furthermore, the methodological foundations are drawn from various methods, such as AHP, PROMETHEE, COMET, DEMATEL, to name just a few. In [], a fuzzy version of the ELECTRE III method was used to select the location for an offshore wind farm in Shandong Province in China. The location selection was based on a decision model with six criteria and 22 sub-criteria. In [,], based on three criteria and on a total of ten sub-criteria, a location was selected for an offshore wind farm in the Polish economic zone in the Baltic Sea. The AHP with PROMETHEE II, and the COMET methods were used for this purpose in [,] respectively. In [], a similar decision problem, related to the Persian Gulf, was handled with the use of six criteria and 31 sub-criteria, using the fuzzy variants of the DEMATEL, ANP and ELECTRE methods. In turn, [] evaluated the various locations of the wind farm in the Lake Erie area in the USA. Eight aggregated criteria were used there, with the usage of the Borda method. In [,], a two-step decision-making procedure was used to evaluate the locations for offshore wind farms, where, at first, the worst locations were rejected using the Conjunctive method and the remaining sites were then evaluated with the AHP method. In [], the locations in the east part of the Mediterranean Sea (Greece) were evaluated with three (Conjunctive method) and then 5 (AHP) criteria, while in [], three criteria were used in the Conjunctive method, and then three criteria and six sub-criteria were used in the AHP method to evaluate the locations in the east part of the Baltic Sea (Baltic States economic zones). The eastern part of the Baltic Sea, specifically the Lithuanian Exclusive Economic Zone, was also the area of interest of [,]. In [], the problem of location selection for an offshore wind farm was solved with AHP and Permutation methods with the use of eight criteria. On the other hand, in [], the AHP and WASPAS methods and five criteria were used to evaluate both the locations, as well as the turbines, for an offshore wind farm. In the last two works cited, i.e., [,], the locations for hybrid offshore wind and wave energy systems were assessed using two-step procedures, where at first the inappropriate locations were excluded with the use of the Conjunctive method, and then the remaining locations were evaluated with other MCDA methods. In [], locations in the eastern part of the Mediterranean Sea (Greece) were assessed with the use of eight criteria for the Conjunctive method and, afterwards, with eight criteria for the AHP method. It should be noted that in each case, seven criteria were related to the wind energy and a single criterion was related to the wave energy. In turn, [] addressed locations in the European waters (North Sea, Bay of Biscay, Mediterranean Sea, Norwegian Sea and East part of the Atlantic). In this case, four criteria were used for the Conjunctive method, with three related to wind energy and one related to wave energy. The evaluation was then expanded with four further criteria.
Table 1 presents the case studies of the MCDA approaches to the decision problems related to the selection and evaluation of offshore wind/hybrid farm locations.

Table 1.
Application of the MCDA (Multi-Criteria Decision Analysis) methods in the selection and evaluation of locations for offshore wind/hybrid farms.
All of the MCDA methods’ applications presented in Table 1 cover the issue of sustainability assessment. This is due to the fact that offshore wind/hybrid farm location selection decision problems presented in Table 1 are mainly based on environmental, economic and social criteria. In some publications, spatial criteria are also pointed out, however, they are usually grouped with the economic criteria, since they have a significant impact on the cost of the project. Likewise, the technical criteria, in particular the wind potential at the location, might also be distinguished. It is easy to demonstrate, however, that these criteria are also of an economic nature. For example, the amount of energy produced depends on the speed of the wind, which translates into the income of the power plant. Under the general criteria, or their groups, usually sub-criteria are highlighted as well. Table 2 shows the detailed criteria/sub-criteria most commonly used in the decision-making issues related to the choice of location for the offshore wind/hybrid farms including the sustainability assessment. Undoubtedly, these are not all the criteria/sub-criteria used in these types of problems, as the following criteria are also sporadically used: area of the territory covered by the wind farms [], nominal power of the wind turbine [], operation and maintenance costs [], etc.

Table 2.
Criteria and sub-criteria most commonly used in the problem of location selection for offshore wind/hybrid farms including sustainability assessment.
Based on the analysis of the literature [,,,,], it is important to note that the MCDA methods most commonly used in the sustainability assessment of energy problems are based on the value/utility theory (single synthesizing criterion), and particularly, the AHP method. The analysis of Table 1 confirms that the AHP method is also used most commonly in the problem of location selection for offshore wind/hybrid farms with sustainability assessment. However, these methods are not fully suitable for use in sustainability assessment, because they are characterized by a high degree of compensation criteria [,]. The effect of criteria compensation is itself strongly linked to sustainability assessment [,]. The degree of compensation determines whether a good rating of one criterion can offset the low evaluation of another criterion []. The higher the degree of compensation in a given MCDA method, the weaker the sustainability. On the other hand, strong sustainability is provided only by the MCDA methods with a low level of criteria compensation [,]. When the low compensation methods (partial compensation/non compensation) are considered, one can include the outranking methods [], particularly the ELECTRE and PROMETHEE methods []. Therefore, these methods seem appropriate for use in the problem of location selection for offshore wind farms, taking into account the sustainability assessment.
The methods from the ELECTRE family, however, have a complicated calculation procedure. Consequently, they can be treated by the decision makers as a ‘black box’, which might lead to their lack of trust in the recommendations obtained from the MCDA methods from this group []. The PROMETHEE methods use a more transparent calculation procedure and are easier to use, not only compared to the ELECTRE and AHP methods [,,]. Moreover, it is important to note that the PROMETHEE methods are more stable than ELECTRE [], and are more versatile and flexible in terms of the choice of the preference function used for each criterion. The PROMETHEE methods offer greater analytical capabilities than ELECTRE through the use of GAIA analysis (Geometrical Analysis for Interactive Assistance) and enable the hierarchizing of decision problems using criteria, their groups and clusters, for example using the Visual PROMETHEE software []. In addition, it should be noted that the PROMETHEE II method, like AHP, produces the total order of the variants, in contrast to the ELECTRE methods that allow to obtain only a partial order []. This is important in a situation when the decision maker wants to sort out all the variants in the ranking. Due to the above, it seems that the PROMETHEE II method can be characterized as being utmostly applicable in the sustainability assessment decision problems. On the other hand, although the degree of criteria compensation in the PROMETHEE methods is lower than in AHP [], the PROMETHEE methods have a higher degree of criteria compensation than the ELECTRE [] methods, thus offering a weaker sustainability compared to ELECTRE. Therefore, it is justified to modify the foundations of the PROMETHEE II method in order to reduce the degree of criteria compensation and to achieve stronger sustainability in this method.
3. Materials and Methods
3.1. PROMETHEE II Method Foundations
The PROMETHEE methods can be utilized to determine synthetic rankings of variants/options. Depending on the form of the preference information, they can operate either on true criteria or on pseudo-criteria []. The decision-maker may choose from six preference functions to apply: simple criterion, quasi-criterion, criterion with preference level, criterion with linear preference, criterion with linear preference and indifference area and Gaussian criterion [].
A preference index of two options,
and , is calculated according to the formulas (1) and (2):
where means a concordance factor for a pair of options compared with regard to a -th criterion in accordance with the assumed preference function, is a number of criteria and is a weight assigned to the -th criterion.
Output, , and input, , dominance flows are determined with the use of the formulas (3) and (4):
where m is the number of options. The output dominance flow, , describes how much option a outranks the other options, whereas the input dominance flow, , informs how much option a is dominated by the other options.
One by one, the decision-maker may establish the complete ranking of options. In the PROMETHEE II method, to establish a complete ranking of options, it is necessary to compute the net dominance flow according to formula (5) []:
In this method, the following two binary preference relations can be distinguished:
- preference (P): option outranks option , when ,
- indifference (I): option is equivalent to option , [].
The PROMETHEE II method also allows to perform a broad analysis of the results, including a sensitivity analysis [], as well as it provides a GAIA analytical tool [].
3.2. PROSA–PROmethee for Sustainability Assessment Method
The PROSA method is an extension of the PROMETHEE II method for a more sustainable assessment of variants. The manner to achieve this effect is to obtain a lower degree of criteria compensation than in the PROMETHEE II method, resulting in stronger sustainability. In practice, the problem is illustrated in Figure 1.

Figure 1.
Evaluation of two examples of variants in terms of economic, social and environmental criteria, and their global assessment.
By analysing Figure 1, one can observe the economic (Ec), social (So) and environmental (En) scores Φ of the two decision options (A1, A2). There is also a global assessment of variants (Φnet), based on the assumption that the weights of economic, social and environmental criteria are equal. As can be observed in Figure 1, the global assessment scores of variants Φnet (A1) and Φnet (A2) are equal. The analysis of Figure 1, however, also indicates that the alternative A2 is more balanced in terms of the Ec, So, En criteria. Consequently, the assessments of the Ec, So and En criteria in the A2 variant are less compensated than in the A1 variant. Therefore, taking sustainability into account, it is clear that the A2 variant should have higher overall rating than the A1 variant. It is in this direction that the PROMETHEE II method was enhanced when developing PROSA.
By analysing formulas (1) and (2), allowing to obtain the global preference index in the PROMETHEE method, it is easy to observe that the values π (a, b) and π (b, a) are actually weighted averages calculated after all the criteria. Consequently, the π (a, b) and π (b, a) values can be broken down into components corresponding to the economic (Ec), social (So) and environmental (En) criteria. For the component corresponding to the economic criteria, the preference index is described by formula (6), and the formulas for the social and environmental criteria are analogous.
where means a concordance factor for a pair of options compared with regard to a j-th criterion in accordance with the assumed preference function, is a number of economic criteria and wj is a weight assigned to the j-th criterion.
As a result, for each variant, the basic Φnet value and three additional Φnet values are obtained, one for each of the economic, social and environmental components: , , . It should also be noted that, at the same time, the Equation (7) is true:
where wEc stands for the sum of the weights of all the economic criteria, and the meaning of wSo and wEn is analogous. Therefore, it is easy to examine whether all components of a given variant are close to each other, i.e., whether the variant is sustainable in terms of economic, social and environmental criteria. In the PROSA method, we propose to use the measure of mean absolute deviation (MAD) [] extended by the weights of the individual components. The basic measure of MAD is described by the formula (8):
where is the mean (in this case, Φnet), xi is the value of the sample from the population (in this case, , or ), is the number of samples. The PROSA method uses a weighted MAD value, that addresses the economic, social and environmental factors, in accordance with the formula (9):
As a result of the weighted MAD measure, the global assessment of variants in the PROSA method is based on the formula (10):
The global evaluations of the variants using the PROSA method are different than in the PROMETHEE method case. This is shown on the chart in Figure 2.

Figure 2.
Evaluation of two sample variants in terms of economic, social and environmental criteria, and their global evaluation using the PROSA method.
The analysis of Figure 2 shows that, in comparison to PROMETHEE, the PROSA method prefers more sustainable variants. The degree of compensation of the criteria is lower than in the case of the classic PROMETHEE method, which means that a high score of certain criteria does not compensate for the poor evaluation of the other criteria in such considerable degree as in the PROMETHEE II method. Consequently, the PROSA method fulfils the strong sustainability paradigm more than the PROMETHEE II method. Nevertheless, PROSA retains the versatility of the PROMETHEE method in the use of six different preference functions, while, at the same time, offering the broad analytical capabilities available in PROMETHEE, such as the sensitivity and GAIA analyses. This enables PROSA to be an appropriate tool for solving decision problems related to the sustainability assessment.
4. Results
The proposed PROSA method was used to solve the decision-making problem of choosing the location for an offshore wind farm in Poland. By using PROSA, the choice was made based on the sustainability assessment, which is very important in RES problems. The problem covered four decision variants, including the locations of wind farms in the Polish economic zone in the Baltic Sea, along with the projects assigned to these sites. The considered variants are the most advanced ones among the concession areas in the Polish economic zone in the Baltic Sea, in terms of permits, contracts signed and reports prepared []. Information about the decision variants was taken from: offshore wind farm topic websites, individual investment websites and environmental reports [,,,,,]. Basic information about each variant is provided in Table 3. In the case of the A1 location, information about the project capacity is available e.g., in [,], however, we observed the lack of data on the number and capacity of turbines. For the purposes of further calculations, 149 turbines with 10 MW capacity and one turbine with 8 MW capacity were used for the variant A1.

Table 3.
Basic information about the considered locations for offshore wind farms in the Polish economic zone in the Baltic Sea.
Figure 3 shows the considered decision variants against the background of the remaining areas for which permits for the construction and use of artificial islands, structures and facilities for offshore wind farms have been issued []. Additionally, Figure 4, Figure 5, Figure 6, Figure 7 and Figure 8 present the decision variants in the context of the quality of the seabed (Figure 4) [], fishing areas (Figure 5) [], fishing routes (Figure 6) [], shipping density (Figure 7) [] and protected areas (Figure 8) [].

Figure 3.
Decision variants and other areas for the construction of offshore wind farms in the Polish economic zone in the Baltic Sea.

Figure 4.
The decision variants in the context of the seabed quality for engineering structures.

Figure 5.
The decision variants against the background of the fishing areas.

Figure 6.
The decision variants on the background of fishing routes.

Figure 7.
The decision variants in the context of shipping routes.

Figure 8.
The decision variants against the background of Natura 2000 protected areas.
The four alternatives were evaluated in terms of 12 criteria, five of which concerned economic aspects, four were related to social issues and three encompassed environmental issues. The evaluation used the criteria for which reliable information on the variants was available. These were criteria from other publications addressing the problem of location selection for offshore wind farms (see Table 2). The criteria used, along with their weights, preference directions, units and preference functions for the PROMETHEE/PROSA methods are presented in Table 4.

Table 4.
The preference model used in the problem of location selection for an offshore wind farm in Poland.
For most of the criteria taken into account, the preference threshold, p, was defined as a two-fold value of the standard deviation determined from the values of the variants. Only for the criteria C2, C5, C7, C8 and C10, these thresholds were set manually, due to the use of point scales or minor differences between the variants (criterion C2). In the decision-making problem, equal weighting of all the criteria groups was adopted in order to ensure that the evaluation was sustainable in terms of the economic, social and environmental dimensions. On the other hand, within the groups, each criterion had a different weight assigned. The weights of the criteria were determined on the basis of expert judgement, using a point scale. The values obtained by each variant regarding individual criteria are presented in Table 5. The investment cost (C1) was estimated on the basis of the project capacity, assuming that the capital expenditures amounted to 13.6 million PLN/MW []. The payback period (C2) was calculated as the ratio of the investment cost to the assumed annual profit from the production of energy, with operating costs estimated at 128 PLN/MWh [], whilst the value of PLN 470 was assumed as the price of 1 MWh []. The values of the criteria C5, C7, C8 and C10 were determined from Figure 4, Figure 5, Figure 6, Figure 7 and Figure 8 and based on information on individual variants available in [,,,,,]. The information on the values of the criteria C3, C4, C9, C11 and C12 was also taken from the publications [,,,,,]. Employment (C6) was calculated on the basis of the project capacity, assuming that 1 MW of capacity generates approximately three jobs in the sector.

Table 5.
Values of the variants with respect to individual criteria.
Based on the variant values presented in Table 5, a multi-criteria evaluation was conducted using PROSA. The results of this evaluation are presented in Table 6. The table contains the global assessments of the variants (Value) identified by the PROSA method and, for comparative purposes, the global evaluations (Φnet) based on the PROMETHEE II method. Additionally, the evaluation values of the variants for the economic (), social () and environmental () dimensions, as well as the MAD values are included.

Table 6.
The results of the multi-criteria evaluation.
The analysis of Table 6 indicates that the best offshore wind farm location is A2, which ranks first in both the PROSA and PROMETHEE II rankings. Its lowest MAD value among all alternatives shows that this option is also the most sustainable in terms of economic, social and environmental criteria. On the other hand, when analysing the position of the A1 variant in both rankings, one can easily notice the difference in PROSA and PROMETHEE. In the PROMETHEE ranking, the A1 variant ranked second, due to the value of Φnet. It is clear, however, that this variant is the least sustainable, as indicated by its MAD value. The PROSA method imposes penalties for non-sustainability, resulting in a lower global assessment of such variants. For variant A1, this penalty (corresponding to the MAD value) is higher than for the other alternatives, resulting in A1 obtaining the last position in the PROSA ranking.
5. Discussion
Due to the fact that the PROSA method is based on PROMETHEE, it enables the GAIA analysis. With this analysis, one can consider the decision problem and its solution from a descriptive perspective. Figure 9 shows the GAIA plane with regard to the individual decision criteria. It should be noted that the vectors of criteria C6 and C11 are very similar to the vector of the C12 criterion and are obscured by it.

Figure 9.
The GAIA plane with (a) the criteria; (b) the groups of criteria.
The analysis of Figure 9a allows to observe that the global rating of variants (Φnet) is most impacted by the C1, C3, C4 (economic), C6, C9 (social) and C10–C12 (environmental) criteria. In contrast, the C2 and C5 criteria have the least effect. The A2 variant, best in the PROMETHEE and PROSA rankings, is supported by the C2, C3, C6, C7, C8, C10–C12 criteria, while the C2, C3, C7 and C10 criteria also support A4, and the C6, C8, C11 and C12 criteria also support the A1 variant. On the other hand, the C1, C4 and C9 criteria are the ones that weaken the A2 variant rank the most. It should also be noted that the criteria C2, C3, C7 and C10 are in conflict with the C9 criterion. Moreover, the C1 and C4 criteria are in conflict with the C6, C8, C11 and C12 criteria.
Figure 9b contains a GAIA plane that takes into account the economic, social and environmental dimensions. The analysis of Figure 9b shows that the economic criteria are in conflict with social criteria, while the economic and environmental criteria are most influential in ranking the variants. The environmental and social criteria are most strongly supported by the A1 and A2 variants and the economic criteria support the A3 and A4 variants. The A2 alternative is the most sustainable, as none of the criteria is in a considerable conflict with it (to a certain extent, A2 is in conflict with the economic criteria). In contrast, the A1 variant is in conflict with the economic criteria, the A3 variant is in a mediocre conflict with the social and environmental criteria, whereas the A4 variant is in a strong conflict with the social criteria and in a slight conflict with the environmental criteria. The analysis of Table 5 and Table 6 confirms that the conclusions drawn from the GAIA analysis are valid. This means that the GAIA plane correctly describes the decision problem in question and its solution.
The last step in the study was to conduct a sensitivity analysis of the PROSA ranking to changes in the criteria weights. For comparison purposes, a sensitivity analysis was also performed for the PROMETHEE ranking. Table 7 shows the stability ranges for the criteria and their groups, i.e., the range of weights for each criterion/group, allowing to maintain the same sequence of variants in the ranking obtained in solving the decision problem (see Table 6). Additionally, Table 7 provides the ranking sensitivity for each criterion. The sensitivity describes how a change in the weight of a given criterion/group causes a change in the order of variants in the ranking. The analysis of Table 7 indicates that the PROSA solution is most sensitive to the change in the weights of the C9 criterion and the economic criteria group. Increasing the weight of the C9 criterion by more than 1.2 or reducing the weight by more than 1.7 would change the order of the variants in the ranking. Likewise, reducing the weight of the economic criteria group by 1.4 would also change the order of variants. The solution obtained by the PROSA method is also sensitive to minor changes in C1 (by −1.4), C3 (−1.3), C6 (1.73), C11 (1.77) and C12 (1.77) weights. It should be noted, however, that the PROSA ranking is much more resistant to changes of the weights of the criteria/groups than the ranking obtained using the PROMETHEE II method. In case of the PROMETHEE ranking, a very small change of weight of one of the criteria is enough: C1 (by 0.2), C3 (0.3), C4 (0.23), C6 (−0.17), C7 (0.73), C8 (−0.4), C9 (−0.3), C10 (0.73), C11 (−0.23), C12 (−0.23). The PROMETHEE ranking is also very sensitive to changes in the weights of particular groups of criteria. Changing the weight of one of the groups of criteria: economic, social or environmental, by 0.2, −0.4 and −0.5 respectively, would change the order of the variants in the PROMETHEE ranking.

Table 7.
Stability intervals of full rankings (all variants) for values of criteria and groups.
Table 8 outlines the ranges of stability and sensitivity of the rankings, but taking into account only the changes in the first position in the rankings. By analysing Table 8, it is easy to observe that also in this case, the PROSA ranking is much more stable than the PROMETHEE ranking. The PROSA ranking is more sensitive than the PROMETHEE ranking only for the change in weight of the C5 criterion, yet for the remaining criteria it exhibits a higher stability of the first position in the ranking of the variants.

Table 8.
Stability intervals of best variants in rankings for values of criteria and groups.
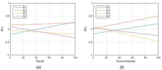
Figure 10 contains plots of sensitivity of the PROSA (Figure 10a–c) and PROMETHEE (Figure 10d–f) methods to changes in the weights of the groups of criteria. The comparison of the plots for both methods shows a relatively significant similarity. Nevertheless, the plots for the PROSA method have fewer intersections for the lines representing the global assessment of the variants (see Figure 10b,e). As a result, broader stability ranges are achieved for the PROSA method, as previously noted in the analysis of Table 7 and Table 8. This difference is primarily due to the fact that in the PROSA method, the sensitivity charts in most cases are not linear. What is more, they are not monotonous, so that the suprema or infima of the plots for each variant do not have to be at the beginning or end of the x-axis representing the weight of the given criterion/group.


Figure 10.
Plots of the solution sensitivity to the changes of weights of groups of criteria: (a) economic—PROSA; (b) social—PROSA; (c) environmental—PROSA; (d) economic—PROMETHEE; (e) social—PROMETHEE; (f) environmental—PROMETHEE.
6. Conclusions
This paper addressed the problem of location selection for offshore wind farms in Poland. Four decision variants, which are the most advanced in terms of meeting the formal and legal requirements related to the construction of offshore wind farms in the Polish Exclusive Economic Zone in the Baltic Sea, were considered. The choice of location was based on 12 decision criteria describing individual variants from the economic, social and environmental perspectives. The solution of this multi-criteria decision-making problem, like other RES decision-making problems, requires the use of the appropriate MCDA method and should be based on sustainability assessment.
The methodological contribution of the paper was to develop a new MCDA method based on the strong sustainability postulate. For this purpose, the foundations of the proposed PROSA method were presented, and it was used for selection of an offshore wind farm location. Additionally, the PROMETHEE II method was used for comparison purposes. Both methods recommended the same decision-making option, which was the location of the designed offshore wind farm ‘Baltica 3’, located at the height of Łeba at the distance of 33 km from the shore. This variant is the most sustainable in terms of the perspectives in question, so it can be stated that it is justified for economic, social and environmental reasons. It is very likely that the construction of an offshore wind farm in the chosen location will not cause large social conflicts, nor harm the environment and, at the same time, it is economically justified.
When analysing the PROSA method applied to the sustainability assessment, it is important to note that, due to its PROMETHEE formal background, it provides an analytical tool related to PROMETHEE, i.e., the GAIA and sensitivity analyses, and it is relatively simple and transparent for the decision maker. Compared to PROMETHEE II, however, the PROSA method offers a lower degree of criteria compensation, which causes the recommended decision variants to be more sustainable, fulfilling the strong sustainability paradigm. Moreover, sensitivity analysis demonstrated that the solution of the decision problem obtained with PROSA was more stable and less sensitive to changes in the criteria weights than the solution obtained using the PROMETHEE II method.
While summarizing the research carried out, it should be noted that the methodological and practical contributions presented above included the following highlights:
- development of an MCDA method called PROSA, which enables sustainability assessment and meeting largely the strong sustainability paradigm,
- confirmation of the obtained solution by comparing it with a solution based on the PROMETHEE method,
- consideration of different locations in the Baltic Sea in the context of the construction of an offshore wind farm,
- sensitivity analysis of the solutions obtained with the PROSA and PROMETHEE methods, in order to evaluate the quality of these solutions,
- examination of the problem from a descriptive perspective using the GAIA analysis and confirmation of the PROSA and PROMETHEE calculations with it.
During the research, some possible areas of improvements of the proposed approach and future work directions were identified. When analyzing the formal basis of the PROSA method, it would be interesting to take into account the natural imprecision of the model’s input data, for example by using their fuzzy representation. Another potential direction of the development of the proposed method is to extend it to the case of a larger number of main criteria, e.g., political, technical or spatial (currently there are three: economic, social and environmental), while taking into account the strong sustainability paradigm. It would be also interesting to conduct comparative studies of PROSA results, with the use of MCDA methods, with significant criteria compensation (including the widely used AHP method), as well as those MCDA methods where the compensatory effect is strongly limited (methods from the ELECTRE family).
Author Contributions
Paweł Ziemba prepared assumptions, developed concepts, wrote the paper, implemented PROSA method and prepared and performed MCDA analysis. Jarosław Wątróbski performed data processing, reviewed and complemented the paper. Magdalena Zioło performed economic analysis. Artur Karczmarczyk prepared the final amendments. All authors have read and approved the final manuscript.
Conflicts of Interest
The authors declare no conflict of interest.
Nomenclature/Acronyms
MCDA | Multi-Criteria Decision Analysis |
AHP | Analytic Hierarchy Process |
ANP | Analytic Network Process |
BM | Borda Method |
CM | Conjunctive Method |
COMET | Characteristic Objects METhod |
DEMATEL | DEcision MAking Trial and Evaluation Laboratory |
ELECTRE | ELimination Et Choix Traduisant la REalité |
PM | Permutation Method |
PROMETHEE | Preference Ranking Organization METHod for Enrichment Evaluation |
WASPAS | Weighted Aggregates Sum Product ASsessment |
CD | criteria dependencies defining |
CW | criteria weighting |
PA | preference aggregation |
RC | restrictive criteria |
PLN | Polish złoty, currency of Poland |
Points | discrete evaluation scale from 1 (the best) to 4 or 5 (the worst) |
References
- Ligus, M. The assessment of environmental benefits of low-emission electricity generation, the case of Poland. Energy Procedia 2017, 107, 363–368. [Google Scholar] [CrossRef]
- Scarlat, N.; Dallemand, J.F.; Monforti-Ferrario, F.; Banja, M.; Motola, V. Renewable energy policy framework and bioenergy contribution in the European Union—An overview from National Renewable Energy Action Plans and Progress Reports. Renew. Sustain. Energy Rev. 2015, 51, 969–985. [Google Scholar] [CrossRef]
- Paska, J.; Surma, T. Electricity generation from renewable energy sources in Poland. Renew. Energy 2014, 71, 286–294. [Google Scholar] [CrossRef]
- Igliński, B.; Iglińska, A.; Koziński, G.; Skrzatek, M.; Buczkowski, R. Wind energy in Poland—History, current state, surveys, renewable energy sources Act, SWOT analysis. Renew. Sustain. Energy Rev. 2016, 64, 19–33. [Google Scholar] [CrossRef]
- Rehman, S.; Khan, S.A. Fuzzy Logic Based Multi-Criteria Wind Turbine Selection Strategy—A Case Study of Qassim, Saudi Arabia. Energies 2016, 9, 872. [Google Scholar] [CrossRef]
- Mas’ud, A.A.; Wirba, A.V.; Ardila-Rey, J.A.; Albarracín, R.; Muhammad-Sukki, F.; Jaramillo Duque, Á.; Bani, N.A.; Munir, A.B. Wind Power Potentials in Cameroon and Nigeria: Lessons from South Africa. Energies 2017, 10, 443. [Google Scholar] [CrossRef]
- Wu, Y.; Zhang, J.; Yuan, J.; Geng, S.; Zhang, H. Study of decision framework of offshore wind power station site selection based on ELECTRE-III under intuitionistic fuzzy environment: A case of China. Energy Convers. Manag. 2016, 113, 66–81. [Google Scholar] [CrossRef]
- Wątróbski, J.; Ziemba, P.; Wolski, W. Methodological aspects of decision support system for the location of renewable energy sources. In Proceedings of the 2015 Federated Conference on Computer Science and Information Systems (FedCSIS), Lodz, Poland, 13–16 September 2015; pp. 1451–1459. [Google Scholar]
- Sokołowski, M.M. Discovering the new renewable legal order in Poland: With or without wind? Energy Policy 2017, 106, 68–74. [Google Scholar] [CrossRef]
- Wilson, J.C.; Elliott, M.; Cutts, N.D.; Mander, L.; Mendão, V.; Perez-Dominguez, R.; Phelps, A. Coastal and offshore wind energy generation: Is it environmentally benign? Energies 2010, 3, 1383–1422. [Google Scholar] [CrossRef]
- Pliego Marugán, A.; García Márquez, F.P.; Pinar Pérez, J.M. Optimal maintenance management of offshore wind farms. Energies 2016, 9, 46. [Google Scholar] [CrossRef]
- Wimmler, C.; Hejazi, G.; de Oliveira Fernandes, E.; Moreira, C.; Connors, S. Multi-criteria decision support methods for renewable energy systems on islands. J. Clean Energy Technol. 2015, 3, 185–195. [Google Scholar] [CrossRef]
- Zhao, H.; Li, N. Optimal siting of charging stations for electric vehicles based on fuzzy Delphi and hybrid multi-criteria decision making approaches from an extended sustainability perspective. Energies 2016, 9, 270. [Google Scholar] [CrossRef]
- Li, H.; Dong, K.; Sun, R.; Yu, J.; Xu, J. Sustainability Assessment of Refining Enterprises Using a DEA-Based Model. Sustainability 2017, 9, 620. [Google Scholar] [CrossRef]
- Onat, N.C.; Kucukvar, M.; Halog, A.; Cloutier, S. Systems Thinking for Life Cycle Sustainability Assessment: A Review of Recent Developments, Applications, and Future Perspectives. Sustainability 2017, 9, 706. [Google Scholar] [CrossRef]
- Zagonari, F. Four sustainability paradigms for environmental management: A methodological analysis and an empirical study based on 30 Italian industries. Sustainability 2016, 8, 504. [Google Scholar] [CrossRef]
- Santoyo-Castelazo, E.; Azapagic, A. Sustainability assessment of energy systems: Integrating environmental, economic and social aspects. J. Clean. Prod. 2014, 80, 119–138. [Google Scholar] [CrossRef]
- Kang, H.-Y.; Hung, M.-C.; Pearn, W.L.; Lee, A.H.; Kang, M.-S. An integrated multi-criteria decision making model for evaluating wind farm performance. Energies 2011, 4, 2002–2026. [Google Scholar] [CrossRef]
- Mardani, A.; Jusoh, A.; Zavadskas, E.K.; Cavallaro, F.; Khalifah, Z. Sustainable and renewable energy: An overview of the application of multiple criteria decision making techniques and approaches. Sustainability 2015, 7, 13947–13984. [Google Scholar] [CrossRef]
- Martín-Gamboa, M.; Iribarren, D.; García-Gusano, D.; Dufour, J. A review of life-cycle approaches coupled with data envelopment analysis within multi-criteria decision analysis for sustainability assessment of energy systems. J. Clean. Prod. 2017, 150, 164–174. [Google Scholar] [CrossRef]
- Rowley, H.V.; Peters, G.M.; Lundie, S.; Moore, S.J. Aggregating sustainability indicators: Beyond the weighted sum. J. Environ. Manag. 2012, 111, 24–33. [Google Scholar] [CrossRef] [PubMed]
- Polatidis, H.; Haralambopoulos, D.A.; Munda, G.; Vreeker, R. Selecting an Appropriate Multi-Criteria Decision Analysis Technique for Renewable Energy Planning. Energy Sources Part B Econ. Plan. Policy 2006, 1, 181–193. [Google Scholar] [CrossRef]
- Cinelli, M.; Coles, S.R.; Kirwan, K. Analysis of the potentials of multi criteria decision analysis methods to conduct sustainability assessment. Ecol. Indic. 2014, 46, 138–148. [Google Scholar] [CrossRef]
- Strantzali, E.; Aravossis, K. Decision making in renewable energy investments: A review. Renew. Sustain. Energy Rev. 2016, 55, 885–898. [Google Scholar] [CrossRef]
- Antunes, C.H.; Henriques, C.O. Multi-Objective Optimization and Multi-Criteria Analysis Models and Methods for Problems in the Energy Sector. In Multiple Criteria Decision Analysis; International Series in Operations Research & Management Science; Springer: New York, NY, USA, 2016; pp. 1067–1165. ISBN 978-1-4939-3093-7. [Google Scholar]
- Sałabun, W.; Wątróbski, J.; Piegat, A. Identification of a Multi-criteria Model of Location Assessment for Renewable Energy Sources. In Artificial Intelligence and Soft Computing; Lecture Notes in Computer Science; Springer: Cham, Switzerland, 2016; pp. 321–332. [Google Scholar]
- Fetanat, A.; Khorasaninejad, E. A novel hybrid MCDM approach for offshore wind farm site selection: A case study of Iran. Ocean Coast. Manag. 2015, 109, 17–28. [Google Scholar] [CrossRef]
- Chaouachi, A.; Covrig, C.F.; Ardelean, M. Multi-criteria selection of offshore wind farms: Case study for the Baltic States. Energy Policy 2017, 103, 179–192. [Google Scholar] [CrossRef]
- Mekonnen, A.D.; Gorsevski, P.V. A web-based participatory GIS (PGIS) for offshore wind farm suitability within Lake Erie, Ohio. Renew. Sustain. Energy Rev. 2015, 41, 162–177. [Google Scholar] [CrossRef]
- Bagočius, V.; Zavadskas, E.K.; Turskis, Z. Multi-person selection of the best wind turbine based on the multi-criteria integrated additive-multiplicative utility function. J. Civ. Eng. Manag. 2014, 20, 590–599. [Google Scholar] [CrossRef]
- Bagocius, V.; Zavadskas, E.K.; Turskis, Z. Sequence determining of construction of the offshore wind farm construction applying permutation method. E M Ekon. Manag. 2014, 17. [Google Scholar] [CrossRef]
- Vagiona, D.G.; Karanikolas, N.M. A multicriteria approach to evaluate offshore wind farms siting in Greece. Glob. NEST J. 2012, 14, 235–243. [Google Scholar]
- Vasileiou, M.; Loukogeorgaki, E.; Vagiona, D.G. GIS-based multi-criteria decision analysis for site selection of hybrid offshore wind and wave energy systems in Greece. Renew. Sustain. Energy Rev. 2017, 73, 745–757. [Google Scholar] [CrossRef]
- Cradden, L.; Kalogeri, C.; Barrios, I.M.; Galanis, G.; Ingram, D.; Kallos, G. Multi-criteria site selection for offshore renewable energy platforms. Renew. Energy 2016, 87, 791–806. [Google Scholar] [CrossRef]
- Guitouni, A.; Martel, J.-M. Tentative guidelines to help choosing an appropriate MCDA method. Eur. J. Oper. Res. 1998, 109, 501–521. [Google Scholar] [CrossRef]
- De Mare, G.; Granata, M.; Nesticò, A. Weak and Strong Compensation for the Prioritization of Public Investments: Multidimensional Analysis for Pools. Sustainability 2015, 7, 16022–16038. [Google Scholar] [CrossRef]
- Loken, E. Use of multicriteria decision analysis methods for energy planning problems. Renew. Sustain. Energy Rev. 2007, 11, 1584–1595. [Google Scholar] [CrossRef]
- Al-Shemmeri, T.; Al-Kloub, B.; Pearman, A. Model choice in multicriteria decision aid. Eur. J. Oper. Res. 1997, 97, 550–560. [Google Scholar] [CrossRef]
- Visual PROMETHEE 1.4 Manual. Available online: http://www.promethee-gaia.net/files/VPManual.pdf (accessed on 9 August 2017).
- Wang, J.-J.; Yang, D.-L. Using a hybrid multi-criteria decision aid method for information systems outsourcing. Comput. Oper. Res. 2007, 34, 3691–3700. [Google Scholar] [CrossRef]
- Behzadian, M.; Kazemzadeh, R.B.; Albadvi, A.; Aghdasi, M. PROMETHEE: A comprehensive literature review on methodologies and applications. Eur. J. Oper. Res. 2010, 200, 198–215. [Google Scholar] [CrossRef]
- Wątróbski, J.; Ziemba, P.; Jankowski, J.; Zioło, M. Green Energy for a Green City—A Multi-Perspective Model Approach. Sustainability 2016, 8, 702. [Google Scholar] [CrossRef]
- Brans, J.-P.; Smet, Y.D. PROMETHEE Methods. In Multiple Criteria Decision Analysis; International Series in Operations Research & Management Science; Springer: New York, NY, USA, 2016; pp. 187–219. ISBN 978-1-4939-3093-7. [Google Scholar]
- Ghafghazi, S.; Sowlati, T.; Sokhansanj, S.; Melin, S. A multicriteria approach to evaluate district heating system options. Appl. Energy 2010, 87, 1134–1140. [Google Scholar] [CrossRef]
- Saltelli, A.; Tarantola, S.; Chan, K. A role for sensitivity analysis in presenting the results from MCDA studies to decision makers. J. Multi-Crit. Decis. Anal. 1999, 8, 139–145. [Google Scholar] [CrossRef]
- Mareschal, B.; Brans, J.-P. Geometrical representations for MCDA. Eur. J. Oper. Res. 1988, 34, 69–77. [Google Scholar] [CrossRef]
- Chen, J.; Liu, L.; Zhou, S.; Xiao, L.; Song, G.; Ren, F. Modeling Spatial Effect in Residential Burglary: A Case Study from ZG City, China. ISPRS Int. J. Geo-Inf. 2017, 6, 138. [Google Scholar] [CrossRef]
- Czy Ruszy Największy Projekt OZE w Polsce? Available online: http://wysokienapiecie.pl/oze/1349-czy-ruszy-najwiekszy-projekt-oze-w-polsce (accessed on 14 August 2017).
- The Wind Power. Wind Energy Market Intelligence. Available online: http://www.thewindpower.net/windfarms_list_en.php (accessed on 14 August 2017).
- 4C Offshore. Available online: http://www.4coffshore.com/windfarms/windfarms.aspx?windfarmId=PL19 (accessed on 14 August 2017).
- Polenergia. Offshore Wind Farms. Available online: http://www.polenergia.pl/pol/en/page/offshore-wind-farms (accessed on 14 August 2017).
- Morska Farma Wiatrowa Polenergia Bałtyk III. Available online: http://www.baltyk3.pl (accessed on 14 August 2017).
- Morska Farma Wiatrowa Bałtyk Środkowy II. Available online: http://portalgis.gdansk.rdos.gov.pl/morskafarmawiatrowa-BaltykSrodkowyII/ (accessed on 14 August 2017).
- Morska Farma Wiatrowa Bałtyk Środkowy III. Available online: http://portalgis.gdansk.rdos.gov.pl/morskafarmawiatrowa-BaltykSrodkowyIII/ (accessed on 14 August 2017).
- Offshore Poland. Available online: http://morskiefarmywiatrowe.pl/en/database/maps (accessed on 16 August 2017).
- Kaszubowski, L.J. Seismic Profiling of the Seabottoms for Shallow Geological and Geotechnical Investigations. In Seafloor Mapping along Continental Shelves; Finkl, C.W., Makowski, C., Eds.; Springer International Publishing: Cham, Switzerland, 2016; Volume 13; pp. 191–243. ISBN 978-3-319-25119-6. [Google Scholar]
- Zaucha, J.; Matczak, M. Studium Uwarunkowań Zagospodarowania Przestrzennego Polskich Obszarów Morskich Wraz z Analizami Przestrzennymi; Instytut Morski w Gdańsku: Gdańsk, Poland, 2015. [Google Scholar]
- HELCOM Map and Data Service. Available online: http://maps.helcom.fi/website/mapservice/?datasetID=cfe32d32-62f1-431e-b138-08da8ac60440 (accessed on 16 August 2017).
- Ernst & Young Wpływ Energetyki Wiatrowej na Wzrost Gospodarczy w Polsce. Ernst & Young in Cooperation with Polskie Stowarzyszenie Energetyki Wiatrowej and European Wind Energy Association. Ernst & Young, 2012. Available online: http://www.continowind.com/public/docs/PSEW%20-%20Raport%20Wpływ%20energetyki%20wiatrowej%20na%20wzrost%20gospodarczy%20w%20Polsce.pdf (accessed on 30 October 2017).
- Dziennik Ustaw RP Rozporządzenie Ministra Energii z Dnia 16 Marca 2017 r. w Sprawie Ceny Referencyjnej Energii Elektrycznej z Odnawialnych Źródeł Energii w 2017 r. Oraz Okresów Obowiązujących Wytwórców, Którzy Wygrali Aukcje w 2017 r. Dziennik Ustaw, 24 March 2017. Available online: http://dziennikustaw.gov.pl/du/2017/634/1 (accessed on 30 October 2017).
© 2017 by the authors. Licensee MDPI, Basel, Switzerland. This article is an open access article distributed under the terms and conditions of the Creative Commons Attribution (CC BY) license (http://creativecommons.org/licenses/by/4.0/).