- Article
Saccadic Behavior During the Response to Pure Vergence Stimuli I: General Properties
- John L. Semmlow,
- Yung-Fu Chen,
- Tara Alvarez and
- Claude Pedrono
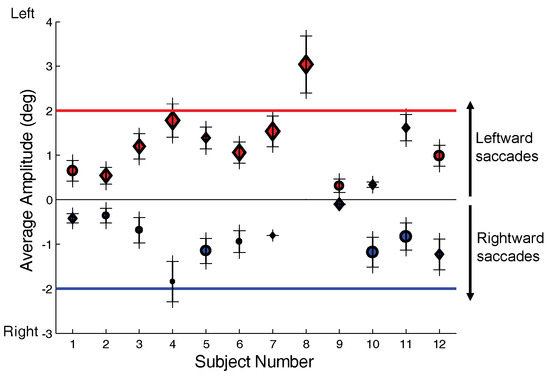
If two targets are carefully aligned so that they fall along the cyclopean axis, the required eye movement will be symmetrical with the two eyes turning equally inward or outward. When such “pure vergence stimuli” are used only a “pure vergence movem...

