Next Article in Journal
Comparative Study of Injected Alzheimer’s Disease Models in Rats: Insights from Experimental Research
Previous Article in Journal
IGFBP-2 in Critical Illness: A Prognostic Marker in the Growth Hormone/Insulin-like Growth Factor Axis
 
 
Font Type:
Arial Georgia Verdana
Font Size:
Aa Aa Aa
Line Spacing:
Column Width:
Background:
Article

Pregnancy-Associated Plasma Protein A (PAPP-A) as a Predictor of Third Trimester Obesity: Insights from the CRIOBES Project

by
Inmaculada Gabaldón-Rodríguez
1,
Carmen de Francisco-Montero
1,
Inmaculada Menéndez-Moreno
1,
Álvaro Balongo-Molina
1,
Ana Isabel Gómez-Lorenzo
1,
Rubén Rodríguez-García
1,
Ángel Vilches-Arenas
2 and
Manuel Ortega-Calvo
1,*
1
Andalusian Health Service, Primary Care Seville District, 41004 Seville, Spain
2
Preventive Medicine Department, University of Seville, 41009 Seville, Spain
*
Author to whom correspondence should be addressed.
Pathophysiology 2024, 31(4), 631-642; https://doi.org/10.3390/pathophysiology31040046
Submission received: 22 September 2024 / Revised: 13 November 2024 / Accepted: 14 November 2024 / Published: 15 November 2024

Abstract

Introduction: Our objective in this article was to develop a predictive model for obesity in the third trimester of pregnancy using the plasma and clinical biomarkers that are managed within the Chromosomopathies Programme in the Andalusian Public Healthcare System. Methods: The epidemiological design was observational, of the unmatched case–control type. The geographical environment was the Seville Primary Healthcare District (DSAP Sevilla). The information was collected between 2011 and 2021. The reference cohort consisted of women who had carried a pregnancy to term. The variables and biomarkers studied correspond to those managed within the primary-care Pregnancy Integrated Care Pathway (ICP). Unconditional binary logistic regression (BLR) models were created, with the outcome variable being whether or not the women were obese in their third trimester of pregnancy. Results: A total of 423 controls and 104 cases of obesity were obtained for women in their third trimester who had not been obese in their first trimester. The average age for the sample group (P50) was 34 years old. The final, most parsimonious model included the variables PAPP-A (p = 0.074), beta-hCG (p = 0.1631), and systolic blood pressure (SBP) (p = 0.085). ROC curve = 0.75 (C.I. at 95%: 0.63–0.86). Discussion: The results of this research can only be extrapolated to primary care and to pregnancies with no complications. PAPP-A has been shown in our research to be a significant predictor of obesity risk in the third trimester of pregnancies with no complications (OR = 0.53; C.I. at 95%: 0.39–0.66; p = 0.04 in the single-variant study; OR = 0.58; C.I. at 95%: 0.29–0.93; p = 0.074 in the multi-variant analysis). This predictive capacity is further enhanced from an operational perspective by beta-hCG and 12-week SBP.

1. Introduction

Obesity is a risk factor for disorders such as diabetes mellitus [1], cardiovascular disease [2], neoplasms [3], and premature death [4]. Obesity may also affect the clinical development of many chronic conditions. Obesity during pregnancy has been linked to an increase in births via caesarean section [5].
The BMI or Quetelet´s index is one of the most used anthropometric measurements in daily clinical practice, and is calculated by dividing a person’s body weight, expressed in kilograms, by their height, expressed in meters and squared (BMI = weight (kg)/height (m2)) [6].
Pregnancy-associated plasma protein A (PAPP-A) is a zinc metalloproteinase that was identified in 1974 as a placenta-derived protein in pregnant women [7]. PAPP-A was subsequently shown to be a useful marker for Down syndrome during pregnancy. Although the placenta is the main source of PAPP-A, several studies have also reported its existence in tissues such as the testis, kidney, and colon, and its expression has also been found during injury repair and remodeling processes, during skin healing, and in vascular smooth muscle cells [8,9].
Furthermore, the beta portion of the human chorionic gonadotropin hormone (β-hCG), which was discovered in the urine of pregnant women by Aschein and Zondek in 1927 [10], is a glycoprotein produced by the syncytiotrophoblast. The primary function of β-hCG is to produce hormones such as progesterone and estrogen, which keep the endometrium growing and producing nutrients. If the corpus luteum is removed before the 7th week of pregnancy, this almost always leads to a termination. In clinical practice, it is also used for the diagnosis of trophoblastic and non-trophoblastic tumors [11,12].
Third-trimester obesity is associated with risks for both the mother and the fetus [5,8].
Our objective in this article was to develop a predictive model for obesity in the third trimester of pregnancy using the plasma and clinical biomarkers that are managed within the Chromosomopathies Programme in the Andalusian Public Healthcare System.

2. Material and Methods

The epidemiological design was observational, of the unmatched case–control type [13,14]. The geographical environment was the Seville Primary Healthcare District (DSAP Sevilla). The information was collected between 2011 and 2021. The reference cohort consisted of women who had carried a pregnancy to term within the Seville Primary Healthcare District.

2.1. Inclusion and Exclusion Criteria

The study included pregnant women who had accessed the Pregnancy Integrated Care Pathway (ICP) at one of the sampled healthcare centers. If, during the course of the pregnancy, they presented with criteria for gestational diabetes, they remained in the study. Participants were required to be aware of and to have signed the informed consent form and the information sheet for our research project.
A woman was considered a “case” if she met WHO criteria for obesity in the third trimester without being classed as obese in the first trimester. A woman was considered a “control” if she did not meet the WHO criteria for obesity in the third trimester without being classed as obese in the first trimester. Women were excluded if they had suffered from any significant complications in relation to their pregnancy, such as eclampsia, medium–severe arterial hypertension, or miscarriage. There were no age limits. If only one visit was made to the Pregnancy ICP, this was considered an exclusion criterion.

2.2. Sample

Information was collected ambispectively from a total of seven health centers in the Seville district (“Las Palmeritas”, “Amante Laffón”, “Ronda Histórica”, “El Greco”, “Esperanza Macarena”, “Montequinto”, and “El Cachorro”). The information was collected from the Diraya Programme and the SiPACAC application [15,16].

2.3. Sample Size Calculation

Based on the objectives, a sample size calculation was performed with a case–control design using the IMIM GRANMO program. Accepting an alpha risk of 0.05 and a beta risk of 0.2 (80% power) in a bilateral contrast, 121 cases and 484 controls were required to detect a minimum odds ratio (OR) of 0.5. The rate of exposure in the control group was assumed to be 0.80. A loss to follow-up rate of 0% was estimated. The POISSON approximation was used [17]. We also took into account the criteria established by Concato, Perduzzi et al. [18,19,20].

2.4. Variables

The variables and biomarkers studied correspond to those managed within the primary-care Pregnancy Integrated Care Pathway (ICP).
  • Obesity in the third trimester.
Conceptual definition: being or not being classified as obese at 28 weeks (binary category).
Working definition: variable measurement: presenting with a BMI of over 30.00 kg/m2 (dependent variable).
2.
Plasma PAPP-A.
Conceptual definition: plasma PAPP-A in chromosomal screening (continuous quantitative).
Working definition: plasma PAPP-A level recorded in chromosomal screening. Collected from the Sipacac application. Unit: mUI/mL.
3.
Beta-hCG.
Conceptual definition: Beta-hCG in the chromosomal screening (continuous quantitative variable).
Working definition: plasma Beta-hCG level recorded in chromosomal screening. Collected from the Sipacac application. Unit: ng/mL.
4.
BMI at 12 weeks.
Conceptual definition: BMI recorded during Pregnancy ICP appointment at 12 weeks.
Working definition: BMI value recorded during Pregnancy ICP at 12 weeks of pregnancy (continuous quantitative variable). Unit: kg/m2.
5.
Basal glucose at 12 weeks of pregnancy.
Conceptual definition: Basal glucose level at the first trimester of pregnancy as an expression of carbohydrate metabolism (continuous quantitative variable).
Working definition: basal blood sugar level at the first Pregnancy ICP appointment. Unit: mg/dL.
6.
Basal glucose at 28 weeks of pregnancy.
Conceptual definition: basal glucose level at the second trimester of pregnancy as an expression of carbohydrate metabolism (continuous quantitative variable).
Working definition: basal blood sugar level at Pregnancy ICP appointment during second trimester (continuous quantitative variable). Unit: mg/dL.
7.
BMI at 28 weeks of pregnancy.
Conceptual definition: BMI recorded during Pregnancy ICP appointment at 28 weeks.
Working definition: BMI value recorded during Pregnancy ICP appointment at 28 weeks of pregnancy (continuous quantitative variable). Unit: kg/m2.
8.
SBP (systolic blood pressure) at 12 weeks of pregnancy.
Conceptual definition: SBP recorded during Pregnancy ICP appointment at 12 weeks.
Working definition: SBP value recorded during the Pregnancy ICP at 12 weeks of pregnancy (continuous quantitative variable). At rest after sitting down for five minutes. Unit: mm Hg.
9.
DBP (diastolic blood pressure) at 12 weeks of pregnancy.
Conceptual definition: DBP recorded during Pregnancy ICP appointment at 12 weeks.
Working definition: DBP value recorded during Pregnancy ICP at 12 weeks of pregnancy (continuous quantitative variable). At rest after sitting down for five minutes. Unit: mm Hg.
10.
DBP at 28 weeks of pregnancy.
Conceptual definition: DBP recorded during Pregnancy ICP appointment at 28 weeks.
Working definition: DBP value recorded during Pregnancy ICP at 28 weeks of pregnancy (continuous quantitative variable). At rest after sitting down for five minutes. Unit: mm Hg.
11.
Free T4 at 12 weeks of pregnancy.
Conceptual definition: free T4 recorded during Pregnancy ICP appointment at 12 weeks.
Working definition: free T4 level recorded during Pregnancy ICP at 12 weeks of pregnancy (continuous quantitative variable). Unit: ng/dL.
12.
TSH at 12 weeks of pregnancy.
Conceptual definition: TSH recorded during Pregnancy ICP appointment at 12 weeks.
Working definition: TSH level recorded during Pregnancy ICP at 12 weeks of pregnancy (continuous quantitative variable). Unit: µUI/mL.
13.
Free T4 at 28 weeks of pregnancy.
Conceptual definition: free T4 recorded during Pregnancy ICP appointment at 28 weeks.
Working definition: free T4 level recorded during Pregnancy ICP at 28 weeks of pregnancy (continuous quantitative variable). Unit: ng/dL.
14.
TSH at 28 weeks of pregnancy.
Conceptual definition: TSH recorded during Pregnancy ICP appointment at 28 weeks.
Working definition: TSH level recorded during Pregnancy ICP at 28 weeks of pregnancy (continuous quantitative variable). Unit: µUI/mL.
We do not consider body composition variables [21]. Resistance to insulin could not be analyzed either, because this variable is not included in the Maternal ICP for primary healthcare.

2.5. Ethical Considerations

The Local Research Ethics Committee approved the two projects (CRIOBES-CRIVENTOS) on which this article is based in 2012 and 2020 [22].

2.6. Analytical Phase

Unconditional binary logistic regression (BLR) models were created [23,24,25,26], with the outcome variable being whether or not the women were obese in their third trimester of pregnancy. To decide which model was best, we took into account the stepwise backward–forward analysis, the ROC curve surface generated by each of them [27], and the accuracy plots for each of the models. We also looked for interaction variables. The statistical analysis was carried out using the R package version 3.5.3 (“Great Truth”) [28] and the R Commander interface [29] version 2.5–2 (plug-in KMggplot2, ROC, NMBU, Optim Classifier, Pca Robust and Plot by Groups) [30,31]. The ROC curves were obtained with the ROC plug-in, and the confidence intervals were obtained using 2000 bootstrap samples [32,33].

3. Results

Table 1, Table 2 and Table 3 show most of the descriptive results of our research project.
The dependent variable of this article is based on the results obtained in the second trimester (obese = 104 records (CASES); non-obese = 214 + 209 records) (CONTROLS).
Figure 1 shows that the majority of measurements at the first trimester of pregnancy were taken between the tenth and eleventh week.
Single-variant analysis with unconditional binary logistic regression.
Multi-variant model with three predictors on the outcome variable of women who were obese/not obese at their third trimester of pregnancy but were NOT obese at their First Trimester of Pregnancy. Number of records with complete information = 290.
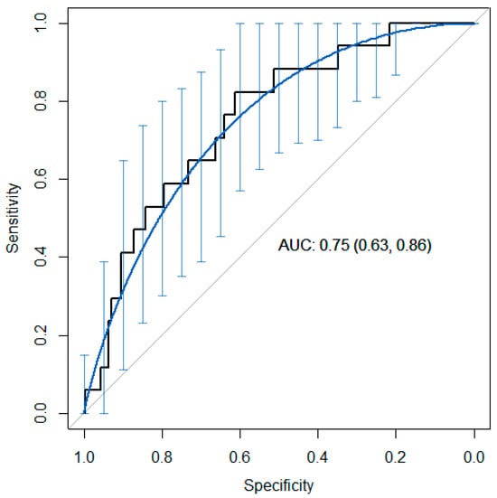
The univariate analysis of each of the variables is shown in Table 4 and Table 5. The most parsimonious multi-variant model was built via binary logistic regression (BLR). Figure 2 and Figure 3 show the graphical results obtained from the final, most parsimonious multi-variant model (ROC curve and calibration graph).

4. Discussion

In this article, we attempted to create a prediction model for obesity in the third trimester of pregnancy for women who were not obese in their first trimester. The hypothesis of the study is that PAPPA could be a clinical marker of obesity in the third trimester independent of diet in uncomplicated pregnancies.
The first objection is the amount of lost information that could not be accessed (Table 3). At no point were we willing to perform data imputations [34,35]. We had to reject over a hundred records due to lack of information in DIRAYA and SiPACAC. The retrospective aspect of this ambispective study is undoubtedly another weakness [36]. No matching took place.
No specific dietary interventions were carried out. The ICP recommends a Mediterranean diet (MD) as the healthiest option [37,38], but the women were always free to eat what they wanted, as the majority of pregnancies studied were free from complications. Patients presenting criteria for gestational diabetes received specific dietary advice. This project was carried out and analyzed in primary care, meaning that it is a community study. Its results are difficult to extrapolate to a hospital environment [39]. Huang et al. recently published observational results showing higher PAPP-A values in HBV-positive women [40]. We did not consider this variable.
The first advantage is the sample size achieved. After a phase in which we curated and adjusted the data package [41], we ended with a total number of 572 records. Despite the amount of information lost, this sample size gave the BLR models an adequate level of statistical power.
We believe that the longitudinal observation time and the number of health centers studied make the sample highly representative. In accordance with what was posited by Silva-Ayçaguer, we believe that the term “representative sample” can never have a standardized meaning [42,43]. The prospective part of this ambispective study is undoubtedly a strength [44].
We conducted an in-depth analysis of the linear correlations between the predictors and the outcome variable in its continuous form (BMI T2), which allowed us to select a BLR model with low internal collinearity [45,46]. The BMI at T1 was not included in the final model as it demonstrated very high levels of collinearity.
We sincerely believe that, with this study, we are increasing the efficiency [47,48,49] of the Primary Care Pregnancy ICP, because by just using the information contained within, without spending a single extra euro, we have developed an instrument for predicting obesity in the third trimester of pregnancy. The time spent recording the information in the data package was outside of the health center’s working day. This was the most significant investment.
We chose the most parsimonious multi-variant BLR model possible, with the lowest level of internal collinearity (Figure 2; Table 5) [50].
There is a comment of a qualitative nature that should be made about this essentially quantitative study [51,52]. We would like to highlight the highly positive response we received from most of the pregnant women when they were informed that they were taking part in a Primary Care Observational Research Project. The initial reaction of astonishment was generally followed by statements of gratitude, infusing most of the interviews with a positive feeling [53].
This article was produced as a result of two clinical research projects carried out in primary care [54,55,56]: CRIVENTOS [57] and CRIOBES. The first project began over 10 years ago when we were trying to elucidate predictor variables for Gestational Diabetes, and the second project, which serves as the framework for this study, was focused on obesity in the third trimester of pregnancy as a final variable.
The size of our total raw sample was 572 records (Table 3). With this sample size (N), we had a sufficient margin to respect the maximum of ten events per variable in the analysis with BLR [58,59]. Although other researchers have since researched this matter, they have not looked at it in much depth [60,61,62].
Chen et al. [63] recently studied weight gain in pregnant women who have undergone in vitro fertilization, but they did not obtain any significant results with respect to PAPP-A.
Although we worked with logarithmic transformations during the analysis phase, with the final model, we chose to leave the natural distribution as it was for the PAPP-A variable and Beta-hCG [64]. Figure 1 shows that the vast majority of the extractions for the records were taken during the tenth and eleventh weeks of pregnancy.
The average age of the pregnant women was 34 years old (Table 3). The 50th percentile is the best estimator of central tendency in time variables, so we accept that this result is illustrative of the reproductive age of women in Seville in recent years. It is important to remember that the included pregnancies may or may not have been first pregnancies, but only one was included per woman. It should also be noted that, due to inclusion and exclusion criteria, the vast majority of pregnancies were free from complications.
The PAPP-A and Beta-hCG biomarkers did not correlate with the weight gain or BMI gain variables using simple linear regression models. We can therefore confirm that there was no internal collinearity.
One very interesting observation we made was the lack of significance and zero-predictive contribution of TSH at 12 weeks on obesity status in the third trimester. However, the literature contains data that would contradict this observation. Collares et al. found that elevated TSH levels during the first trimester of pregnancy were associated with the development of obesity during the third trimester [65]. Svare et al. also reached the same conclusions a few years earlier [66]. Wei et al., on the other hand, demonstrated a connection between fasting plasma glucose and fetal weight in women with gestational diabetes [67].
We took into account the Brier index in the calibration graph, although certain authors question its validity [68]. In the three-variable model, the Brier index is 0.053 (a perfect model would have a Brier index of zero) and the scaled Brier index is 0.046 (the Brier index ranges from 0 to 1; the higher the value, the better the predictions). We chose a model with the lowest number of variables (Table 5), eliminating those with the highest collinearity (BMI T1 and extraction week), following Occam’s Principle of Parsimony [69] and Ludwig Wittgenstein’s logical propositions (“Simplex sigillum veri”—Simplicity is the sign of truth) [70]. The fundamental arguments for selecting the three-variable model were control of collinearity and parsimony. Although a backward–forward stepwise analysis of the more parsimonious model left the PAPP-A variable as it was, it did so at the expense of a loss in the area under the ROC curve (0.67 versus 0.75 for the model with all three variables) (Figure 2). Although we did look for models with interaction variables, no significant or operational results were obtained. We believe that this work provides an additional instrument (PAPP-A) as a predictor of obesity risk in pregnancies which are not complicated from an obstetric point of view.
In summary, our research has shown PAPP-A to be a significant predictor of third-trimester obesity risk in pregnancies without complications (OR = 0.53; C.I. at 95%: 0.39–0.66; p = 0.04 in the single-variant study (Table 4); OR = 0.58; C.I. at 95%: 0.29–0.93; p = 0.074 in the multi-variant analysis) (Table 5). This predictive capacity is further enhanced from an operational perspective by beta-hCG and 12-week SBP.

Author Contributions

Conceptualization, I.G.-R., C.d.F.-M. and M.O.-C.; methodology, I.G.-R., C.d.F.-M., Á.V.-A. and M.O.-C.; software, I.G.-R., C.d.F.-M., Á.V.-A. and M.O.-C.; validation, Á.V.-A. and M.O.-C.; formal analysis, I.G.-R., C.d.F.-M. and M.O.-C.; investigation, I.G.-R., C.d.F.-M., I.M.-M., Á.B.-M., A.I.G.-L., R.R.-G. and M.O.-C.; resources, I.G.-R., C.d.F.-M. and M.O.-C.; data curation, Á.V.-A. and M.O.-C.; writing—original draft I.G.-R., C.d.F.-M., I.M.-M., Á.B.-M., A.I.G.-L., R.R.-G. and M.O.-C. writing—original draft preparation, I.G.-R., C.d.F.-M., I.M.-M., Á.B.-M., A.I.G.-L., R.R.-G., Á.V.-A. and M.O.-C.; writing—review and editing, I.G.-R., C.d.F.-M., I.M.-M., Á.B.-M., A.I.G.-L., R.R.-G., Á.V.-A. and M.O.-C.; visualization, I.G.-R., C.d.F.-M., I.M.-M., Á.B.-M., A.I.G.-L., R.R.-G., Á.V.-A. and M.O.-C.; supervision, Á.V.-A. and M.O.-C.; project administration, M.O.-C.; funding acquisition, I.G.-R. and M.O.-C. All authors have read and agreed to the published version of the manuscript.

Funding

The authors received no financial support for the research authorship and/or publication of this article.

Institutional Review Board Statement

The study was conducted in accordance with the Declaration of Helsinki and approved by The Research Ethics Committee of the Virgen del Rocio University Hospital (protocol code CRIOBES-2037-N-21, approved on 21 October 2021; CRIVENTOS-2012 PI/231, approved on 4 February 2013).

Informed Consent Statement

Informed consent was obtained from all subjects involved in the study.

Data Availability Statement

The data are available to anyone who requests it.

Acknowledgments

The researchers would like to thank all the midwives in the Seville healthcare district for their preventive work and assistance with the Pregnancy ICP.

Conflicts of Interest

The authors declare no conflicts of interest.

References

  1. Bellou, V.; Belbasis, L.; Tzoulaki, I.; Evangelou, E. Risk factors for type 2 diabetes mellitus: An exposure-wide umbrella review of meta-analyses. PLoS ONE 2018, 13, e0194127. [Google Scholar] [CrossRef] [PubMed]
  2. Wang, W.; He, J.; Hu, Y.; Song, Y.; Zhang, X.; Guo, H.; Wang, X.; Keerman, M.; Ma, J.; Yan, Y.; et al. Comparison of the Incidence of Cardiovascular Diseases in Weight Groups with Healthy and Unhealthy Metabolism. Diabetes Metab. Syndr. Obes. 2021, 14, 4155–4163. [Google Scholar] [CrossRef]
  3. Karagozian, R.; Derdák, Z.; Baffy, G. Obesity-associated mechanisms of hepatocarcinogenesis. Metabolism 2014, 63, 607–617. [Google Scholar] [CrossRef]
  4. Whitlock, G.; Lewington, S.; Sherliker, P.; Clarke, R.; Emberson, J.; Halsey, J.; Qizilbash, N.; Collins, R.; Peto, R. Prospective Studies Collaboration. Body-mass index and cause-specific mortality in 900,000 adults: Collaborative analyses of 57 prospective studies. Lancet 2009, 373, 1083–1096. [Google Scholar]
  5. Fernández Alba, J.J.; Paublete Herrera, M.C.; González Macías, M.C.; Carral San Laureano, F.; Carnicer Fuentes, C.; Vilar Sánchez, A.; Torrejón Cardoso, R.; Moreno Corral, L.J. Sobrepeso y obesidad maternos como factores de riesgo independientes para que el parto finalice en cesárea. Nutr. Hosp. 2016, 33, 1324–1329. [Google Scholar] [CrossRef]
  6. WHO. Physical status: The use and interpretation of anthropometry. Report of a WHO Expert Committee. World Health Organ. Tech. Rep. Ser. 1995, 854, 1–452. [Google Scholar]
  7. Lin, T.M.; Halbert, S.P.; Kiefer, D.J.; Spellacy, W.N.; Gall, S. Characterization of four human pregnancy-associated plasma proteins. Am. J. Obstet. Gynecol. 1974, 118, 223–236. [Google Scholar] [CrossRef] [PubMed]
  8. Woelfle, J.; Roth, C.L.; Wunsch, R.; Reinehr, T. Pregnancy-associated plasma protein A in obese children: Relationship to markers and risk factors of atherosclerosis and members of the IGF system. Eur. J. Endocrinol. 2011, 165, 613–622. [Google Scholar] [CrossRef] [PubMed][Green Version]
  9. Armistead, B.; Johnson, E.; VanderKamp, R.; Kula-Eversole, E.; Kadam, L.; Drewlo, S.; Kohan-Ghadr, H.R. Placental Regulation of Energy Homeostasis During Human Pregnancy. Endocrinology 2020, 161, bqaa076. [Google Scholar] [CrossRef]
  10. Velázquez, N. La hormona gonadotrofina coriónica humana. Una molécula ubícua y versátil. Parte I. Rev. Obstet. Ginecol. Venez. 2014, 74, 122–133. [Google Scholar]
  11. Cole, L.A. Biological functions of hCG and hCG-related molecules. Reprod. Biol. Endocrinol. 2010, 8, 102. [Google Scholar] [CrossRef] [PubMed]
  12. Palacios Fernández, N.; De Francisco Montero, C.; Gabaldón Rodríguez, I.; Corchado Albalat, M.Y.; Santos Lozano, J.M.; Ortega Calvo, M. Correlaciones de biomarcadores del primer trimestre con el peso fetal y con el peso materno en embarazadas con diabetes gestacional. Rev. Argent. Endocrinol. Metab. 2020, 57, 50–56. [Google Scholar]
  13. Lu, C.Y. Observational studies: A review of study designs, challenges and strategies to reduce confounding. Int. J. Clin. Pract. 2009, 63, 691–697. [Google Scholar] [CrossRef]
  14. Vandenbroucke, J.P.; Von Elm, E.; Altman, D.G.; Gøtzsche, P.C.; Mulrow, C.D.; Pocock, S.J.; Poole, C.; Schlesselman, J.J.; Egger, M. Iniciativa STROBE. Mejorar la comunicación de estudios observacionales en epidemiología (STROBE): Explicación y elaboración. Gac. Sanit. 2009, 23, 158. [Google Scholar] [CrossRef]
  15. Peral Camacho, I.; Vélez González, M.J.; Sainz Bueno, J.A.; Moro Ortiz, A. Resultados del programa de cribado prenatal de cromosomopatías en el área sanitaria sur de Sevilla, tras la implantación de la aplicación corporativa siPACAC. Clínica Investig. En Ginecol. Obstet. 2018, 2, 58–63. [Google Scholar] [CrossRef]
  16. Torres-Torres, J.; Nieto-Vázquez, E.; Maldonado-Nájera, L.F.; Coronel-Cruz, F.M.; Vargas-Ruiz, R.L.; Rojas-Zepeda, L.; Garcia-Mandujano, R.; Martinez-Cisneros, R.A. Corrección de los múltiplos de la mediana de los biomarcadores del modelo de predicción de preeclampsia de la Fetal Medicine Foundation para población mexicana. Ginecol. Obstet. Méx. 2019, 87, 792–801. [Google Scholar]
  17. Available online: https://www.datarus.eu/aplicaciones/granmo/ (accessed on 30 October 2024).
  18. Ortega Calvo, M.; Cayuela Domínguez, A. Regresión logística no condicionada y tamaño de muestra: Una revisión bibliográfica. Rev. Esp. Salud Publica 2002, 76, 85–93. [Google Scholar] [CrossRef]
  19. Concato, J.; Perduzzi, P.; Holford, T.R.; Feinstein, A.R. Importance of events per independent variable in proportional hazards analysis. I. Background, goals and general strategy. J. Clin. Epidemiol. 1995, 48, 1495–1501. [Google Scholar] [CrossRef] [PubMed]
  20. Concato, J.; Perduzzi, P.; Holford, T.R.; Feinstein, A.R. Importance of events per independent variable in proportional hazards regression analysis. II. Accuracy and precision of regression estimates. J. Clin. Epidemiol. 1995, 48, 1503–1510. [Google Scholar] [CrossRef]
  21. Carnero, E.A.; Alvero-Cruz, J.R.; Giráldez García, M.A.; Sardinha, L.B. La evaluación de la composición corporal “in vivo”. Parte I: Perspectiva histórica. Nutr. Hosp. 2015, 31, 1957–1967. [Google Scholar]
  22. Palma-Morgado, D.; Marín-Gil, R.; González-García, L.; Torelló-Iserte, J.; Santos-Lozano, J.M.; Ortega-Calvo, M. La evaluación axiológica de los Proyectos en los comités de Ética de la investigación. Ars. Pharm. 2015, 56, 121–126. [Google Scholar] [CrossRef]
  23. Clayton, D.; Hills, M. Statistical Models in Epidemiology; Oxford University Press: Oxford, UK, 1993; pp. 1–363. [Google Scholar]
  24. Sánchez-Cantalejo Ramírez, E. Regresión Logística en Salud Pública; Escuela Andaluza de Salud Pública: Granada, Spain, 2000; pp. 1–173. [Google Scholar]
  25. Moons, K.G.; Royston, P.; Vergouwe, Y.; Grobbee, D.E.; Altman, D.G. Prognosis and prognostic research: What, why, and how? BMJ 2009, 338, b375. [Google Scholar] [CrossRef] [PubMed]
  26. Van Calster, B.; Wynants, L.; Verbeek, J.F.M.; Verbakel, J.Y.; Christodoulou, E.; Vickers, A.J.; Roobol, M.J.; Steyerberg, E.W. Reporting and Interpreting Decision Curve Analysis: A Guide for Investigators. Eur. Urol. 2018, 74, 796–804. [Google Scholar] [CrossRef]
  27. Del Valle Benavides, A. Curvas ROC (Receiver—Operating—Characteristic) y sus Aplicaciones (Trabajo Fin de Grado); Departamento de Estadística e Investigación Operativa, Universidad de Sevilla: Sevilla, Spain, 2017; Available online: https://idus.us.es/handle/11441/63201 (accessed on 30 October 2024).
  28. Dalgaard, P. Introductory Statistics with R, 2nd ed.; Springer: New York, NY, USA, 2008; 363p, Available online: https://link.springer.com/content/pdf/10.1007/978-0-387-79054-1.pdf (accessed on 30 October 2024).
  29. Fox, J. Getting started with the R Commander: A basic-statistics graphical user interface to R. J. Stat. Softw. 2005, 14, 1–42. [Google Scholar] [CrossRef]
  30. Fox, J. Extending the R Commander by “Plug-In” Packages. R News 2005, 7, 1–7. [Google Scholar]
  31. Artola García, J.O.; Gregori Huerta, P. Plug-Ins para el paquete R Commander de R: Una aplicación para el cálculo de probabilidades. Rev. Univ. Caribe 2017, 19, 7–14. [Google Scholar] [CrossRef]
  32. Gómez-González, C.; Peña-Rodríguez, A.; Salas-Díaz, I.; Praena-Fernández, J.M.; Gálvez-Acebal, J.; Lozano-Rodríguez, J.; Vilches Arenas, A.; Ortega Calvo, M. Una concepción topológica del “bootstrap” permite la demostración del sesgo de Berkson en epidemiología nutricional. Nutr. Clín. Diet. Hosp. 2016, 36, 134–142. [Google Scholar]
  33. Harrell, F.E., Jr. rms (Regression Modeling Strategies). CRAN. Available online: https://cran.r-project.org/web/packages/rms/index.html (accessed on 30 October 2024).
  34. Hernández, G.; Moriña, D.; Navarro, A. Imputación de valores ausentes en salud pública: Conceptos generales y aplicación en variables dicotómicas. Gac. Sanit. 2017, 31, 342–345. [Google Scholar] [CrossRef] [PubMed]
  35. Pezoulas, V.C.; Tachos, N.S.; Olivotto, I.; Barlocco, F.; Fotiadis, D.I. A “smart” Imputation Approach for Effective Quality Control Across Complex Clinical Data Structures. Annu. Int. Conf. IEEE Eng. Med. Biol. Soc. 2022, 2022, 1049–1052. [Google Scholar]
  36. Madrid Aris, E.; Martínez Lomakin, F. Moving towards a destination: Considerations about cohort studies in less than 1000 words. Medwave 2014, 14, e5877. [Google Scholar] [CrossRef]
  37. Toledo, E.; Salas-Salvadó, J.; Donat-Vargas, C.; Buil-Cosiales, P.; Estruch, R.; Ros, E.; Corella, D.; Fitó, M.; Hu, F.B.; Aros, F.; et al. Mediterranean Diet and Invasive Breast Cancer Risk Among Women at High Cardiovascular Risk in the PREDIMED Trial: A Randomized Clinical Trial. JAMA Intern. Med. 2015, 175, 1752–1760. [Google Scholar] [CrossRef] [PubMed]
  38. Galilea-Zabalza, I.; Buil-Cosiales, P.; Salas-Salvadó, J.; Toledo, E.; Ortega-Azorín, C.; Díez-Espino, J.; Vázquez-Ruiz, Z.; Dolores Zomeño, M.; Vioque, J.; Alfredo Martínez, J.; et al. PREDIMED-PLUS Study Investigators. Mediterranean diet and quality of life: Baseline cross-sectional analysis of the PREDIMED-PLUS trial. PLoS ONE 2018, 13, e0198974. [Google Scholar] [CrossRef] [PubMed]
  39. Delgado Rodríguez, M. Discordancias entre los estudios de ámbitos hospitalario y comunitario cuando evalúan la misma pregunta de investigación. Gac. Sanit. 2002, 16, 344–353. [Google Scholar] [CrossRef] [PubMed][Green Version]
  40. Huang, L.; Chen, Y.; Ning, W.; Chen, Y.; Yu, D. Correlations between maternal hepatitis B virus carrier status and Down’s syndrome prenatal screening indicators and their effects on the screening results. J. Obstet. Gynaecol. 2022, 42, 2793–2798. [Google Scholar] [CrossRef] [PubMed]
  41. Pezoulas, V.C.; Kourou, K.D.; Kalatzis, F.; Exarchos, T.P.; Venetsanopoulou, A.; Zampeli, E.; Gandolfo, S.; Skopouli, F.; De Vita, S.; Tzioufas, A.G.; et al. Medical data quality assessment: On the development of an automated framework for medical data curation. Comput. Biol. Med. 2019, 107, 270–283. [Google Scholar] [CrossRef]
  42. Silva Ayçaguer, L.C. El concepto de representatividad y el papel del azar. In Diseño Razonado de Muestras y Captación de Datos para la Investigación Sanitaria; Editorial Díaz de Santo: Bogotá, Colombia, 2000; pp. 19–23. [Google Scholar]
  43. McGlashan, T.H.; Carpenter, W.T., Jr.; Bartko, J.J. Issues of design and methodology in long-term followup studies. Schizophr. Bull. 1988, 14, 569–574. [Google Scholar] [CrossRef][Green Version]
  44. Tamargo-Barbeito, T. Consideraciones acerca de la verdadera investigación observacional ambispectiva. Rev. Cuba. Med. 2021, 60, 1–3. [Google Scholar]
  45. Herawati, N.; Nisa, K.; Nusyirwan, N. Selecting the method to overcome partial and full multicollinearity in binary logistic model. Int. J. Stat. Appl. 2020, 10, 55–59. [Google Scholar]
  46. Shen, J.; Gao, S. A Solution to Separation and Multicollinearity in Multiple Logistic Regression. J. Data Sci. 2008, 6, 515–531. [Google Scholar] [CrossRef]
  47. Cochrane, A.L. Effectiveness and Efficiency: Random Reflections on Health Services; Nuffield Provincial Hospitals Trust: London, UK, 1972; Available online: https://www.nuffieldtrust.org.uk/research/effectiveness-and-efficiency-random-reflections-on-health-services (accessed on 30 October 2024).
  48. Cochrane, A.L. Archie Cochrane in his own words. Selections arranged from his 1972 introduction to “Effectiveness and Efficiency: Random Reflections on the Health Services” 1972. Control. Clin. Trials 1989, 10, 428–433. [Google Scholar] [CrossRef]
  49. Greenhalgh, T. Effectiveness and Efficiency: Random Reflections on Health Services. BMJ 2004, 328, 529. [Google Scholar] [CrossRef]
  50. González-Marrón, A.; Real, J.; Forné, C.; Roso-Llorach, A.; Navarrete-Muñoz, E.M.; Martínez-Sánchez, J.M. Confidence interval reporting for measures of association in multivariable regression models in observational studies. Med. Clin. 2019, 153, 239–242. [Google Scholar] [CrossRef] [PubMed]
  51. Amezcua, M.; Gálvez Toro, A. Los modos de análisis en investigación cualitativa en salud: Perspectiva crítica y reflexiones en voz alta. Rev. Esp. Salud Pública 2002, 76, 423–436. [Google Scholar] [CrossRef] [PubMed]
  52. Segura-Balbuena, M.; Cejudo-López, A.; Gil-García, E.; Santos Lozano, J.M.; Ortega Calvo, M. Sobre la Necesidad Epistemológica de la Investigación Cualitativa en Salud. RECIEN Rev. Científica Enfermería 2014, 8, 47–60. [Google Scholar] [CrossRef][Green Version]
  53. Loezar-Hernández, M.; Briones-Vozmediano, E.; Gea-Sánchez, M.; Otero-García, L. Percepción de la atención sanitaria en la primera experiencia de maternidad y paternidad. Gac. Sanit. 2022, 36, 425–432. [Google Scholar] [CrossRef]
  54. Fernández, I. ¿Investigación en atención primaria? Aten Primaria 2003, 31, 281–284. [Google Scholar] [CrossRef]
  55. Pérez Milena, A. Investigación en Atención Primaria. Año Cero. Med. Fam. Andal. 2015, 16, 7–8. [Google Scholar]
  56. Amisi, J.; Downing, R. Primary care research: Does it defy definition? Prim. Health Care Res. Dev. 2017, 18, 523–526. [Google Scholar] [CrossRef]
  57. Cabrera Fernández, S.; Martín Martínez, M.D.; De Francisco Montero, C.; Gabaldón Rodríguez, I.; Vilches Arenas, Á.; Ortega Calvo, M. Modelos predictivos de diabetes gestacional, un nuevo modelo de predicción. Semergen 2021, 47, 515–520. [Google Scholar] [CrossRef]
  58. Silva, L.C.; y Barroso, I.M. Regresión Logística; Ed. La Muralla/Hespérides: Madrid, Spain, 2004. [Google Scholar]
  59. López-Puga, J.; García-García, J. Eventos por variable en regresión logística y redes bayesianas para predecir actitudes emprendedoras. REMA 2011, 16, 13–34. [Google Scholar]
  60. Courvoisier, D.S.; Combescure, C.; Agoritsas, T.; Gayet-Ageron, A.; Perneger, T.V. Performance of logistic regression modeling: Beyond the number of events per variable, the role of data structure. J. Clin. Epidemiol. 2011, 64, 993–1000. [Google Scholar] [CrossRef] [PubMed]
  61. Van Smeden, M.; de Groot, J.A.; Moons, K.G.; Collins, G.S.; Altman, D.G.; Eijkemans, M.J.; Reitsma, J.B. No rationale for 1 variable per 10 events criterion for binary logistic regression analysis. BMC Med. Res. Methodol. 2016, 16, 163. [Google Scholar] [CrossRef] [PubMed]
  62. Van Smeden, M.; Moons, K.G.; de Groot, J.A.; Collins, G.S.; Altman, D.G.; Eijkemans, M.J.; Reitsma, J.B. Sample size for binary logistic prediction models: Beyond events per variable criteria. Stat. Methods Med. Res. 2019, 28, 2455–2474. [Google Scholar] [CrossRef] [PubMed]
  63. Chen, Y.C.; Lai, Y.J.; Su, Y.T.; Tsai, N.C.; Lan, K.C. Higher gestational weight gain and lower serum estradiol levels are associated with increased risk of preeclampsia after in vitro fertilization. Pregnancy Hypertens. 2020, 22, 126–131. [Google Scholar] [CrossRef]
  64. Huang, J.; Liu, Y.; Yang, H.; Xu, Y.; Lv, W. The Effect of Serum β-Human Chorionic Gonadotropin on Pregnancy Complications and Adverse Pregnancy Outcomes: A Systematic Review and Meta-Analysis. Comput. Math. Methods Med. 2022, 2022, 8315519. [Google Scholar] [CrossRef]
  65. Collares, F.M.; Korevaar, T.I.M.; Hofman, A.; Steegers, E.A.P.; Peeters, R.P.; Jaddoe, V.W.V.; Gaillard, R. Maternal thyroid function, prepregnancy obesity and gestational weight gain-The Generation R Study: A prospective cohort study. Clin. Endocrinol. 2017, 87, 799–806. [Google Scholar] [CrossRef]
  66. Svare, A.; Nilsen, T.I.; Bjøro, T.; Asvold, B.O.; Langhammer, A. Serum TSH related to measures of body mass: Longitudinal data from the HUNT Study, Norway. Clin. Endocrinol. 2011, 74, 769–775. [Google Scholar] [CrossRef]
  67. Wei, Y.; Peng, J.; Li, H.; Wei, M.; Peng, H.; Wang, K.; Yu, Y.; He, Q. Association Between Maternal Fasting Plasma Glucose Value and Fetal Weight Among Singletons of Mothers with Gestational Diabetes Mellitus. Diabetes Metab. Syndr. Obes. 2022, 15, 3799–3807. [Google Scholar] [CrossRef] [PubMed]
  68. Assel, M.; Sjoberg, D.D.; Vickers, A.J. The Brier score does not evaluate the clinical utility of diagnostic tests or prediction models. Diagn. Progn. Res. 2017, 1, 19. [Google Scholar] [CrossRef]
  69. Van Den Berg, H.A. Occam’s razor: From Ockham’s via moderna to modern data science. Sci. Prog. 2018, 101, 261–272. [Google Scholar] [CrossRef]
  70. Shimp, C.P. Ambiguity, logic, simplicity, and dynamics: Wittgensteinian evaluative criteria in peer review of quantitative research on categorization. Behav. Process. 2004, 66, 333–348. [Google Scholar] [CrossRef] [PubMed]
Figure 1. Week of pregnancy when screening was performed (discrete quantitative variable). Measured according to information from DIRAYA or the chromosomal screening. A total of 409 records were taken between the 10th and 11th week of pregnancy (78.8%).
Figure 1. Week of pregnancy when screening was performed (discrete quantitative variable). Measured according to information from DIRAYA or the chromosomal screening. A total of 409 records were taken between the 10th and 11th week of pregnancy (78.8%).
Pathophysiology 31 00046 g001
Figure 2. Model ROC curve from Table 5 (most parsimonious).
Figure 2. Model ROC curve from Table 5 (most parsimonious).
Pathophysiology 31 00046 g002
Figure 3. Calibration graph of most parsimonious model shown in Table 5 (three predictor variables; x-axis predicted probabilities; y-axis observed data).
Figure 3. Calibration graph of most parsimonious model shown in Table 5 (three predictor variables; x-axis predicted probabilities; y-axis observed data).
Pathophysiology 31 00046 g003
Table 1. Frequencies and percentages of the weights of the entire sample of pregnant women in their first trimester according to WHO criteria.
Table 1. Frequencies and percentages of the weights of the entire sample of pregnant women in their first trimester according to WHO criteria.
Number of WomenPercentageC.I. of the Percentage at 95%
Normal weight35363.3859.4–67.4
Overweight13123.5218.3–25.9
Obese7313.1110.1–15.8
Table 2. Frequencies and percentages of the weights of the entire sample of pregnant women in their second trimester according to WHO criteria.
Table 2. Frequencies and percentages of the weights of the entire sample of pregnant women in their second trimester according to WHO criteria.
Number of WomenPercentageC.I. of the Percentage at 95%
Normal weight21440.6136.6–45.0
Overweight20939.6635.5–43.8
Obese10419.7316.5–23.2
Table 3. Continuous variables. Descriptive statistics.
Table 3. Continuous variables. Descriptive statistics.
Arithmetic MeanMedianStandard DeviationQ1Q3nLost
Values
Age at pregnancy (in years)33.45344.7930375723
PAPP-A mU/mL.2.001.392.910.842.2250669
Ln PAPP-A0.330.320.79−0.170.7950669
Beta-hCG68.2556.2948.3034.2591.354530
Week of pregnancy at screening10.4310.001.0610.011.052154
BMI T124.6223.514.7821.326.455817
BMI T226.8425.944.8423.529.152847
Basal Glucose T180.31809.73748554728
Basal Glucose T275.347412.15688153540
SBP T1 mmHg108.2711012.95100117384191
DBP T1 mmHg68.55698.586174384191
SBP T2 mmHg106.9910711.32100115378197
DBP T2 mmHg66.99678.676073378197
TSH T12.081.752.081.092.55374201
TSH T22.462.242.461.522.97177398
Free T4 T11.211.200.291.081.31134441
Free T4 T20.960.960.140.861.05156419
BMI gain2.162.061.531.192.9752649
Weight gain (kg)5.8275.54.332−5.6853738
Table 4. Outcome variable: women who are obese/not obese at their third trimester of pregnancy but were NOT obese at their first trimester of pregnancy. Number of records = 290.
Table 4. Outcome variable: women who are obese/not obese at their third trimester of pregnancy but were NOT obese at their first trimester of pregnancy. Number of records = 290.
Estimated CoefficientOdds RatioSignificance
Blood sugar T10.0101.0100.68
PAPP-A−0.0630.5320.044
Beta-hCG−0.0120.9870.10
SBP T10.0451.0470.037
Age of the mother0.0081.0080.86
Table 5. Most parsimonious multi-variant model.
Table 5. Most parsimonious multi-variant model.
Estimated CoefficientC.I. of the
Coefficient
at 95%
Odds RatioC.I. of Odds RatioSignificance
PAPP-A−0.532367−1.22;
−0.065
0.5870.294; 0.9360.0744
Beta-hCG−0.010515−0.027; 0.0020.9890.972; 1.0020.1631
SBP T10.037−0.004; 0.0811.0380.995; 1.0850.085
Disclaimer/Publisher’s Note: The statements, opinions and data contained in all publications are solely those of the individual author(s) and contributor(s) and not of MDPI and/or the editor(s). MDPI and/or the editor(s) disclaim responsibility for any injury to people or property resulting from any ideas, methods, instructions or products referred to in the content.

Share and Cite

MDPI and ACS Style

Gabaldón-Rodríguez, I.; de Francisco-Montero, C.; Menéndez-Moreno, I.; Balongo-Molina, Á.; Gómez-Lorenzo, A.I.; Rodríguez-García, R.; Vilches-Arenas, Á.; Ortega-Calvo, M. Pregnancy-Associated Plasma Protein A (PAPP-A) as a Predictor of Third Trimester Obesity: Insights from the CRIOBES Project. Pathophysiology 2024, 31, 631-642. https://doi.org/10.3390/pathophysiology31040046

AMA Style

Gabaldón-Rodríguez I, de Francisco-Montero C, Menéndez-Moreno I, Balongo-Molina Á, Gómez-Lorenzo AI, Rodríguez-García R, Vilches-Arenas Á, Ortega-Calvo M. Pregnancy-Associated Plasma Protein A (PAPP-A) as a Predictor of Third Trimester Obesity: Insights from the CRIOBES Project. Pathophysiology. 2024; 31(4):631-642. https://doi.org/10.3390/pathophysiology31040046

Chicago/Turabian Style

Gabaldón-Rodríguez, Inmaculada, Carmen de Francisco-Montero, Inmaculada Menéndez-Moreno, Álvaro Balongo-Molina, Ana Isabel Gómez-Lorenzo, Rubén Rodríguez-García, Ángel Vilches-Arenas, and Manuel Ortega-Calvo. 2024. "Pregnancy-Associated Plasma Protein A (PAPP-A) as a Predictor of Third Trimester Obesity: Insights from the CRIOBES Project" Pathophysiology 31, no. 4: 631-642. https://doi.org/10.3390/pathophysiology31040046

APA Style

Gabaldón-Rodríguez, I., de Francisco-Montero, C., Menéndez-Moreno, I., Balongo-Molina, Á., Gómez-Lorenzo, A. I., Rodríguez-García, R., Vilches-Arenas, Á., & Ortega-Calvo, M. (2024). Pregnancy-Associated Plasma Protein A (PAPP-A) as a Predictor of Third Trimester Obesity: Insights from the CRIOBES Project. Pathophysiology, 31(4), 631-642. https://doi.org/10.3390/pathophysiology31040046

Article Metrics

Back to TopTop