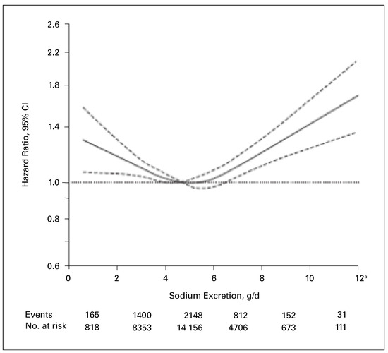
- Editorial
Gibt es Dogmen in der Medizin?
- Thomas F. Lüscher
Was ist ein Dogma?
Wenn wir unseren Freund Wikipedia konsultieren, so versteht man unter einem Dogma, altgriechisch δόγμα, eine Meinung, einen Lehrsatz, Beschluss oder eine Verordnung, eine grundlegende Aussage also, deren Wahrheitsanspruch als unumst...

