Addressing Teacher Occupational Health in Challenging Times: The Role of a Positive Organizational Climate in Buffering Teachers’ Burnout
Highlights
- Teacher burnout represents a growing public health concern, with implications for teachers’ occupational health, education quality, and student outcomes.
- The study examines how the COVID-19 pandemic intensified pre-existing psychosocial risks in school settings, emphasizing the role of contextual job resources in mitigating teacher burnout.
- By using longitudinal data with a pre-pandemic baseline, this research provides robust evidence on how teacher burnout indicators developed over time, addressing a critical gap in predominantly cross-sectional public health research.
- The findings identify organizational climate and perceived personal accomplishment as key protective factors, informing prevention-oriented approaches to occupational mental health.
- Our results underscore the need to prioritize organizational-level interventions, such as supportive leadership, social support structures, and professional development, to mitigate teacher burnout and promote sustainable working conditions.
- The study highlights the value of longitudinal and context-sensitive designs, supporting the inclusion of positive organizational resources as central components of public health strategies targeting work-related stress.
Abstract
1. Introduction
1.1. Impacts of COVID-19 on Teacher Occupational Health
1.2. The Role of Contextual Job Resources
1.3. The Present Study
2. Method
2.1. Participants and Procedure
2.2. Measures
2.2.1. Perceived Occupational Stress
2.2.2. Burnout
2.2.3. Organizational Climate
2.3. Data Analysis
3. Results
3.1. Occupational Stress and Burnout Indicators Evolution Across Time: Five-Wave Repeated Cross-Sectional Study
3.2. Main Workplace Stressors Experienced During COVID-19
3.3. Relation Between Organizational Climate, Work-Related Stress, and Burnout Indicators: Three-Wave Longitudinal Study
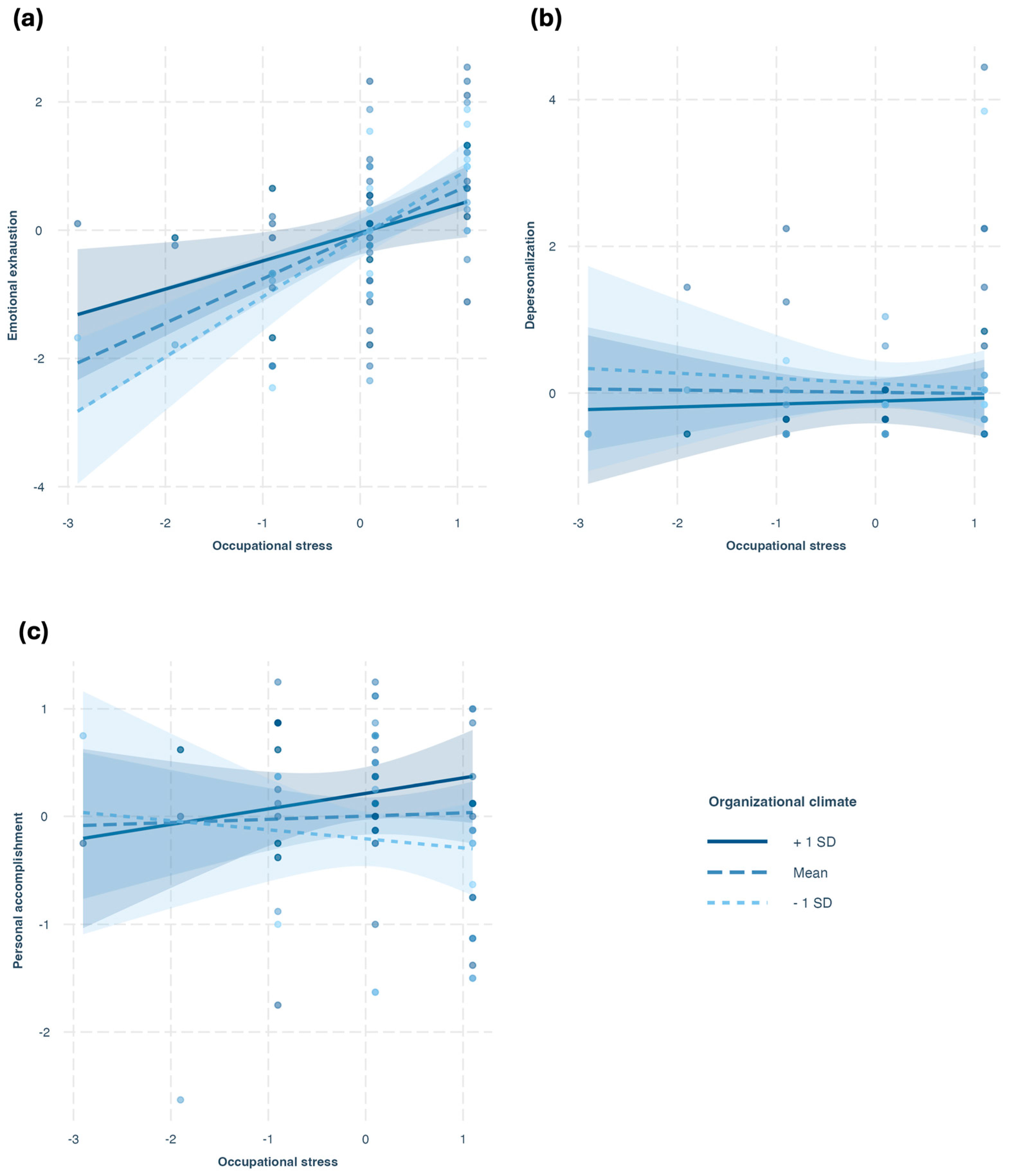
Moderation Analysis
- (1)
- Emotional Exhaustion
- (2)
- Depersonalization
- (3)
- Personal Accomplishment
4. Discussion
5. Conclusions
5.1. Limitations
5.2. Study Impact
Supplementary Materials
Author Contributions
Funding
Institutional Review Board Statement
Informed Consent Statement
Data Availability Statement
Acknowledgments
Conflicts of Interest
Abbreviations
| BANI | Brittle, Anxious, Nonlinear, and Incomprehensible |
| JD-R | Job Demands and Resources |
References
- Kyriacou, C. Teacher Stress: From Prevalence to Resilience. In Handbook of Stress in the Occupations; Edward Elgar Publishing: Cheltenham, UK, 2011; p. 14333. [Google Scholar] [CrossRef]
- Kyriacou, C.; Sutcliffe, J. Teacher Stress: Prevalence, Sources, and Symptoms. Br. J. Educ. Psychol. 1978, 48, 159–167. [Google Scholar] [CrossRef]
- Kyriacou, C. Teacher Stress: Directions for Future Research. Educ. Rev. 2001, 53, 27–35. [Google Scholar] [CrossRef]
- Maslach, C.; Schaufeli, W.B.; Leiter, M.P. Job Burnout. Annu. Rev. Psychol. 2001, 52, 397–422. [Google Scholar] [CrossRef]
- Maslach, C.; Leiter, M.P. Understanding the Burnout Experience: Recent Research and Its Implications for Psychiatry. World Psychiatry 2016, 15, 103–111. [Google Scholar] [CrossRef]
- Schaufeli, W.B.; Taris, T.W. A Critical Review of the Job Demands-Resources Model: Implications for Improving Work and Health. In Bridging Occupational, Organizational and Public Health; Springer: Dordrecht, The Netherlands, 2014; pp. pp 43–68. [Google Scholar] [CrossRef]
- Taris, T.W.; Leisink, P.L.M.; Schaufeli, W.B. Applying Occupational Health Theories to Educator Stress: Contribution of the Job Demands-Resources Model. In Educator Stress. Aligning Perspectives on Health, Safety and Well-Being; McIntyre, T.M., McIntyre, S.E., Francis, D.J., Eds.; Aligning Perspectives on Health, Safety and Well-Being; Springer International Publishing: Cham, Switzerland, 2017; pp. 237–259. [Google Scholar] [CrossRef]
- Lazarus, R.S.; Folkman, S. Stress, Appraisal, and Coping; Springer Publishing Company: New York, NY, USA, 1984. [Google Scholar]
- Demerouti, E.; Bakker, A.B.; Nachreiner, F.; Schaufeli, W.B. The Job Demands-Resources Model of Burnout. J. Appl. Psychol. 2001, 86, 499–512. [Google Scholar] [CrossRef]
- Cheng, H.; Fan, Y.; Lau, H. An Integrative Review on Job Burnout among Teachers in China: Implications for Human Resource Management. Int. J. Hum. Resour. Manag. 2023, 34, 529–561. [Google Scholar] [CrossRef]
- Skaalvik, E.M.; Skaalvik, S. Dimensions of Teacher Burnout: Relations with Potential Stressors at School. Soc. Psychol. Educ. 2017, 20, 775–790. [Google Scholar] [CrossRef]
- Skaalvik, E.M.; Skaalvik, S. Job Demands and Job Resources as Predictors of Teacher Motivation and Well-Being. Soc. Psychol. Educ. 2018, 21, 1251–1275. [Google Scholar] [CrossRef]
- Xanthopoulou, D.; Bakker, A.B.; Dollard, M.F.; Demerouti, E.; Schaufeli, W.B.; Taris, T.W.; Schreurs, P.J.G. When Do Job Demands Particularly Predict Burnout? The Moderating Role of Job Resources. J. Manag. Psychol. 2007, 22, 766–786. [Google Scholar] [CrossRef]
- von der Embse, N.; Ryan, S.V.; Gibbs, T.; Mankin, A. Teacher Stress Interventions: A Systematic Review. Psychol. Sch. 2019, 56, 1328–1343. [Google Scholar] [CrossRef]
- Kotowski, S.E.; Davis, K.G.; Barratt, C.L. Teachers Feeling the Burden of COVID-19: Impact on Well-Being, Stress, and Burnout. Work 2022, 71, 407–415. [Google Scholar] [CrossRef] [PubMed]
- Collie, R.J.; Mansfield, C.F. Teacher and School Stress Profiles: A Multilevel Examination and Associations with Work-Related Outcomes. Teach. Teach. Educ. 2022, 116, 103759. [Google Scholar] [CrossRef]
- Madigan, D.J.; Kim, L.E. Towards an Understanding of Teacher Attrition: A Meta-Analysis of Burnout, Job Satisfaction, and Teachers’ Intentions to Quit. Teach. Teach. Educ. 2021, 105, 103425. [Google Scholar] [CrossRef]
- von der Embse, N.; Mankin, A. Changes in Teacher Stress and Wellbeing throughout the Academic Year. J. Appl. Sch. Psychol. 2021, 37, 165–184. [Google Scholar] [CrossRef]
- UNESCO. Global Report on Teachers: Addressing Teacher Shortages and Transforming the Profession; United Nations Educational, Scientific and Cultural Organization: Paris, France, 2024. [Google Scholar] [CrossRef]
- Viac, C.; Fraser, P. Teachers’ Well-Being: A Framework for Data Collection and Analysis; OECD Education Working Papers; OECD Publishing: Paris, France, 2020; Volume 213. [Google Scholar] [CrossRef]
- OECD. TALIS 2018 Results (Volume II): Teachers and School Leaders as Valued Professionals; TALIS; OECD Publishing: Paris, France, 2020. [Google Scholar] [CrossRef]
- Collie, R.J. COVID-19 and Teachers’ Somatic Burden, Stress, and Emotional Exhaustion: Examining the Role of Principal Leadership and Workplace Buoyancy. AERA Open 2021, 7, 2332858420986187. [Google Scholar] [CrossRef]
- Gilligan, R. The Importance of Schools and Teachers in Child Welfare. Child Fam. Soc. Work 1998, 3, 13–25. [Google Scholar] [CrossRef]
- Oliveira, S.; Cardoso, A.; Martins, M.O.; Roberto, M.S.; Veiga-Simão, A.M.; Marques-Pinto, A. Bridging the Gap in Teacher SEL Training: Designing and Piloting an Online SEL Intervention with and for Teachers. Soc. Emot. Learn. Res. Pract. Policy 2025, 5, 100118. [Google Scholar] [CrossRef]
- Kim, L.E.; Dundas, S.; Asbury, K. ‘I Think It’s Been Difficult for the Ones That Haven’t Got as Many Resources in Their Homes’: Teacher Concerns about the Impact of COVID-19 on Pupil Learning and Wellbeing. Teach. Teach. 2024, 30, 884–899. [Google Scholar] [CrossRef]
- Ozamiz-Etxebarria, N.; Legorburu Fernnadez, I.; Lipnicki, D.M.; Idoiaga Mondragon, N.; Santabárbara, J. Prevalence of Burnout among Teachers during the COVID-19 Pandemic: A Meta-Analysis. Int. J. Environ. Res. Public. Health 2023, 20, 4866. [Google Scholar] [CrossRef] [PubMed]
- Smith, A.J.; Johnson, A.L.; Miyazaki, Y.; Weber, M.C.; Wright, H.; Griffin, B.J.; Holmes, G.A.; Jones, R.T. Risk for Mental Health Distress among PreK-12 Teachers during the COVID-19 Pandemic. Psychol. Sch. 2025, 62, 1622–1633. [Google Scholar] [CrossRef]
- García-Arroyo, J.A.; Osca Segovia, A.; Peiró, J.M. Meta-Analytical Review of Teacher Burnout across 36 Societies: The Role of National Learning Assessments and Gender Egalitarianism. Psychol. Health 2019, 34, 733–753. [Google Scholar] [CrossRef] [PubMed]
- García-Arroyo, J.A.; Osca Segovia, A. Effect Sizes and Cut-off Points: A Meta-Analytical Review of Burnout in Latin American Countries. Psychol. Health Med. 2018, 23, 1079–1093. [Google Scholar] [CrossRef]
- Small Business Prices. The European Countries with the Highest Risk of Burnout. 2022. Available online: https://smallbusinessprices.co.uk/european-employee-burnout/ (accessed on 18 December 2025).
- Varela, R.; della Santa, R.; Laher, R.; Silveira, H.; Rolo, D. Do Entusiasmo ao Burnout? A Situação Social e Laboral Dos Professores em Portugal Hoje, 1st ed.; Editora Húmus: Ribeirão, Portugal, 2022. [Google Scholar]
- Gaspar, T.; Telo, E.; Jesus, S.; Xavier, M.; Dias, M.C.; Machado, M.d.C.; Gaspar de Matos, M.; Correia, M.F.; Pais Ribeiro, J.L.; Areosa, J.; et al. Laboratório Português de Ambientes de Trabalho Saudável: Evolução da Saúde Ocupacional 2021 a 2024; LABPATS: Lisbon, Portugal, 2025; Available online: https://53237d59-ec33-49aa-bc7f-86826566ffa8.filesusr.com/ugd/645903_f5066c993e2a459ea9f73858a856d916.pdf (accessed on 18 December 2025).
- Gaspar, T.; Jesus, S.; Xavier, M.; Dias, M.C.; Machado, M.d.C.; Correia, M.F.; Pais Ribeiro, J.L.; Areosa, J.; Canhão, H.; Guedes, F.B.; et al. Ecossistemas de Ambientes de Trabalho Saudáveis: Relatório 2022; Laboratório Português de Ambientes de Trabalho Saudáveis: Lisbon, Portugal, 2023; Available online: https://53237d59-ec33-49aa-bc7f-86826566ffa8.filesusr.com/ugd/645903_753cc0a8fa0c49a983d63195d9e48323.pdf (accessed on 18 December 2025).
- Varela, R.; della Santa, R.; Silveira, H.; Matos, C.d.; Rolo, D.; Areosa, J.; Leher, R. Inquérito Nacional Sobre as Condições de Vida e Trabalho Na Educação Em Portugal (INCVTE); Varela, R., Series Ed. FCSH: Lisbon, Portugal, 2018; Available online: https://www.spn.pt/Media/Default/Info/22000/700/0/0/Relat%C3%B3rio%20-%20Estudo%20sobre%20o%20desgaste%20profissional%20(2018).pdf (accessed on 18 December 2025).
- Mota, A.I.; Lopes, J.; Oliveira, C. Burnout in Portuguese Teachers: A Systematic Review. Eur. J. Educ. Res. 2021, 10, 693–703. [Google Scholar] [CrossRef]
- Oliveira, S.; Roberto, M.S.; Marques-Pinto, A.; Veiga-Simão, A.M. Elementary School Climate through Teachers’ Eyes: Portuguese Adaptation of the Organizational Climate Description Questionnaire Revised for Elementary Schools. Curr. Psychol. 2023, 42, 24312–24325. [Google Scholar] [CrossRef]
- UNESCO; UNICEF; The World Bank; OECD. From Learning Recovery to Education Transformation Insights and Reflections from the 4th Survey of National Education Responses to COVID-19 School Closures; OECD Publishing: Paris, France, 2022. [Google Scholar] [CrossRef]
- Gavin, B.; Lyne, J.; McNicholas, F. The Global Impact on Mental Health Almost 2 Years into the COVID-19 Pandemic. Ir. J. Psychol. Med. 2021, 38, 243–246. [Google Scholar] [CrossRef]
- Baker, C.N.; Peele, H.; Daniels, M.; Saybe, M.; Whalen, K.; Overstreet, S.; Trauma-Informed Schools Learning Collaborative The New Orleans. The Experience of COVID-19 and Its Impact on Teachers’ Mental Health, Coping, and Teaching. Sch. Psychol. Rev. 2021, 50, 491–504. [Google Scholar] [CrossRef]
- Kraft, M.A.; Simon, N.S.; Lyon, M.A. Sustaining a Sense of Success: The Protective Role of Teacher Working Conditions during the COVID-19 Pandemic. J. Res. Educ. Eff. 2021, 14, 727–769. [Google Scholar] [CrossRef]
- Sokal, L.J.; Trudel, L.G.E.; Babb, J.C. Supporting Teachers in Times of Change: The Job Demands- Resources Model and Teacher Burnout during the COVID-19 Pandemic. Int. J. Contemp. Educ. 2020, 3, 67. [Google Scholar] [CrossRef]
- Blaydes, M.; Gearhart, C.A.; McCarthy, C.J.; Weppner, C.H. A Longitudinal Qualitative Exploration of Teachers’ Experiences of Stress and Well-being during COVID-19. Psychol. Sch. 2024, 61, 2291–2314. [Google Scholar] [CrossRef]
- Alves, R.; Lopes, T.; Precioso, J. Teachers’ Well-Being in Times of Covid-19 Pandemic: Factors That Explain Professional Well-Being. IJERI Int. J. Educ. Res. Innov. 2020, 15, 203–217. [Google Scholar] [CrossRef]
- Klusmann, U.; Aldrup, K.; Roloff-Bruchmann, J.; Carstensen, B.; Wartenberg, G.; Hansen, J.; Hanewinkel, R. Teachers’ Emotional Exhaustion during the COVID-19 Pandemic: Levels, Changes, and Relations to Pandemic-Specific Demands. Teach. Teach. Educ. 2023, 121, 103908. [Google Scholar] [CrossRef]
- Kim, L.E.; Asbury, K. ‘Like a Rug Had Been Pulled from under You’: The Impact of COVID-19 on Teachers in England during the First Six Weeks of the UK Lockdown. Br. J. Educ. Psychol. 2020, 90, 1062–1083. [Google Scholar] [CrossRef]
- Voss, T.; Klusmann, U.; Bönke, N.; Richter, D.; Kunter, M. Teachers’ Emotional Exhaustion and Teaching Enthusiasm before versus during the COVID-19 Pandemic: Results from a Long-Term Longitudinal Study. Z. Für Psychol. 2023, 231, 103–114. [Google Scholar] [CrossRef]
- Weißenfels, M.; Klopp, E.; Perels, F. Changes in Teacher Burnout and Self-Efficacy during the COVID-19 Pandemic: Interrelations and e-Learning Variables Related to Change. Front. Educ. 2022, 6, 736992. [Google Scholar] [CrossRef]
- Reinke, W.M.; Herman, K.C.; Stormont, M.; Ghasemi, F. Teacher Stress, Coping, Burnout, and Plans to Leave the Field: A Post-Pandemic Survey. School Ment. Health 2025, 17, 32–44. [Google Scholar] [CrossRef]
- Bandura, A. Social Cognitive Theory: An Agentic Perspective. Annu. Rev. Psychol. 2001, 52, 1–26. [Google Scholar] [CrossRef]
- Llorens, S.; García-Renedo, M.; Salanova, M. Burnout como consecuencia de una crisis de eficacia: Un estudio longitudinal en profesores de secundaria. Rev. Psicol. Trab. Las Organ. 2005, 21, 55–70. [Google Scholar]
- Bresó, E.; Salanova, M.; Schaufeli, W.B. In Search of the “Third Dimension” of Burnout: Efficacy or Inefficacy? Appl. Psychol. 2007, 56, 460–478. [Google Scholar] [CrossRef]
- Edú-Valsania, S.; Laguía, A.; Moriano, J.A. Burnout: A Review of Theory and Measurement. Int. J. Environ. Res. Public. Health 2022, 19, 1780. [Google Scholar] [CrossRef] [PubMed]
- Montero-Marín, J.; Prado-Abril, J.; Piva Demarzo, M.M.; Gascon, S.; García-Campayo, J. Coping with Stress and Types of Burnout: Explanatory Power of Different Coping Strategies. PLoS ONE 2014, 9, e89090. [Google Scholar] [CrossRef]
- MacIntyre, P.D.; Gregersen, T.; Mercer, S. Language Teachers’ Coping Strategies during the COVID-19 Conversion to Online Teaching: Correlations with Stress, Wellbeing and Negative Emotions. System 2020, 94, 102352. [Google Scholar] [CrossRef]
- Pimenta, A.; Ramos, D.; Santos, G.; Rodrigues, M.A.; Doiro, M. Psychosocial Risks in Teachers from Portugal and England on the Way to Society 5.0. Int. J. Environ. Res. Public Health 2023, 20, 6347. [Google Scholar] [CrossRef]
- Schaufeli, W.B.; Bakker, A.B. Job Demands, Job Resources, and Their Relationship with Burnout and Engagement: A Multi-sample Study. J. Organ. Behav. 2004, 25, 293–315. [Google Scholar] [CrossRef]
- Trauernicht, M.; Anders, Y.; Oppermann, E.; Klusmann, U. Emotional Exhaustion in German Preschool Teachers: The Role of Personal, Structural, and Social Conditions at the Workplace. J. Res. Child. Educ. 2025, 39, 78–97. [Google Scholar] [CrossRef]
- Brackett, M.; Cipriano, C. Teachers Are Anxious and Overwhelmed: They Need SEL Now More than Ever. EdSurge. 2020. Available online: https://www.edsurge.com/news/2020-04-07-teachers-are-anxious-and-overwhelmed-they-need-sel-now-more-than-ever (accessed on 15 December 2025).
- Hascher, T.; Waber, J. Teacher Well-Being: A Systematic Review of the Research Literature from the Year 2000–2019. Educ. Res. Rev. 2021, 34, 100411. [Google Scholar] [CrossRef]
- Ryan, R.M.; Deci, E.L. Self-Determination Theory: Basic Psychological Needs in Motivation, Development, and Wellness; Guilford Press: New York, NY, USA, 2017. [Google Scholar]
- Collie, R.J.; Shapka, J.D.; Perry, N.E. School Climate and Social–Emotional Learning: Predicting Teacher Stress, Job Satisfaction, and Teaching Efficacy. J. Educ. Psychol. 2012, 104, 1189–1204. [Google Scholar] [CrossRef]
- Trinidad, J.E. Teacher Satisfaction and Burnout during COVID-19: What Organizational Factors Help? Int. J. Leadersh. Educ. 2025, 28, 214–232. [Google Scholar] [CrossRef]
- Oliveira, S.; Roberto, M.S.; Veiga-Simão, A.M.; Marques-Pinto, A. Effects of the A+ Intervention on Elementary-School Teachers’ Social and Emotional Competence and Occupational Health. Front. Psychol. 2022, 13, 957249. [Google Scholar] [CrossRef]
- Pressley, T. Factors Contributing to Teacher Burnout during COVID-19. Educ. Res. 2021, 50, 325–327. [Google Scholar] [CrossRef]
- Marques-Pinto, A.; Lima, M.L.; Lopes da Silva, A. Fuentes de Estrés, Burnout y Estrategias de Coping En Profesores Portugueses. Rev. Psicol. Trab. Las Organ. 2005, 21, 125–143. [Google Scholar]
- Bardin, L. Análise de Conteúdo; Reto, L.A.; Pinheiro, A., Translators; Edições 70: Coimbra, Portugal, 2000. [Google Scholar]
- Rädiker, S.; Gizzi, M.C. The Practice of Qualitative Data Analysis; Gizzi, M.C., Rädiker, S., Eds.; MAXQDA Press: Berlin, Germany, 2021. [Google Scholar]
- Magnani, G.; Gioia, D. Using the Gioia Methodology in International Business and Entrepreneurship Research. Int. Bus. Rev. 2023, 32, 102097. [Google Scholar] [CrossRef]
- R Core Team. R: A Language and Environment for Statistical Computing. 2023. Available online: https://www.R-project.org/ (accessed on 15 December 2025).
- Kline, R.B. Principles and Practice of Structural Equation Modeling, 4th ed.; Methodology in the Social Sciences; The Guilford Press: New York, NY, USA, 2016. [Google Scholar]
- Crutzen, R.; Peters, G.-J.Y. Scale Quality: Alpha Is an Inadequate Estimate and Factor-Analytic Evidence Is Needed First of All. Health Psychol. Rev. 2017, 11, 242–247. [Google Scholar] [CrossRef]
- Mair, P.; Wilcox, R. Robust Statistical Methods in R Using the WRS2 Package. Behav. Res. Methods 2020, 52, 464–488. [Google Scholar] [CrossRef] [PubMed]
- Maechler, M.; Todorov, V.; Ruckstuhl, A.; Salibian-Barrera, M.; Koller, M.; Conceicao, E.L.T. Robustbase: Basic Robust Statistics, 0.99-4–1. Sci. Rep. 2024, 14, 5574. Available online: https://cran.r-project.org/web/packages/robustbase/index.html (accessed on 18 December 2025).
- Koller, M. Robustlmm: An R Package for Robust Estimation of Linear Mixed-Effects Models. J. Stat. Softw. 2016, 75, 1–24. [Google Scholar] [CrossRef]
- Cohen, J. Statistical Power Analysis for the Behavioral Sciences, 2nd ed.; Routledge: Milton Park, UK, 2013. [Google Scholar] [CrossRef]
- De Clercq, M.; Watt, H.M.G.; Richardson, P.W. Profiles of Teachers’ Striving and Wellbeing: Evolution and Relations with Context Factors, Retention, and Professional Engagement. J. Educ. Psychol. 2022, 114, 637–655. [Google Scholar] [CrossRef]
- Skaalvik, E.M.; Skaalvik, S. Teacher Job Satisfaction and Motivation to Leave the Teaching Profession: Relations with School Context, Feeling of Belonging, and Emotional Exhaustion. Teach. Teach. Educ. 2011, 27, 1029–1038. [Google Scholar] [CrossRef]
- Manzano García, G.; Campos, F.R. Enfermería hospitalaria y síndrome de burnout. J. Work Organ. Psychol. 2000, 16, 197–213. [Google Scholar]
- Sokal, L.; Trudel, L.E.; Babb, J. Canadian Teachers’ Attitudes toward Change, Efficacy, and Burnout during the COVID-19 Pandemic. Int. J. Educ. Res. Open 2020, 1, 100016. [Google Scholar] [CrossRef]
- Dinibutun, S.R.; Kuzey, C.; Dinc, M.S. The Effect of Organizational Climate on Faculty Burnout at State and Private Universities: A Comparative Analysis. Sage Open 2020, 10, 2158244020979175. [Google Scholar] [CrossRef]
- Maslach, C.; Jackson, S.E.; Leiter, M.P.; Schaufeli, W.B.; Schwab, R.L. Maslach Burnout InventoryTM (MBI). Available online: https://www.mindgarden.com/117-maslach-burnout-inventory-mbi (accessed on 15 December 2025).


| Outcome Variable | M (SD) | ||||
|---|---|---|---|---|---|
| T1 | T2 | T3 | T4 | T5 | |
| Occupational stress | 4.00 (0.86) | 3.83 (1.02) | 3.90 (0.99) | 3.74 (0.96) | 3.88 (1.01) |
| Burnout | |||||
| Emotional exhaustion | 2.83 (1.06) | 3.03 (1.30) | 2.93 (1.26) | 2.68 (1.23) | 2.92 (1.21) |
| Depersonalization | 0.71 (0.86) | 0.60 (0.88) | 0.62 (0.95) | 0.56 (0.97) | 0.66 (0.99) |
| Personal accomplishment | 4.72 (0.67) | 4.20 (0.90) | 4.72 (0.69) | 4.63 (0.80) | 4.60 (0.79) |
| Organizational Climate | - | 2.74 (0.37) | 2.58 (0.30) | 2.61 (0.30) | 2.81 (0.32) |
| 1. | 2. | 3. | 4. | 5. | |
|---|---|---|---|---|---|
| Occupational stress | - | ||||
| Burnout | |||||
| Emotional exhaustion | 0.54 ** | - | |||
| Depersonalization | 0.02 | 0.28 * | - | ||
| Personal accomplishment | 0.02 | −0.10 | −0.26 * | - | |
| Organizational Climate | −0.04 | −0.12 | −0.09 | 0.38 ** | - |
Disclaimer/Publisher’s Note: The statements, opinions and data contained in all publications are solely those of the individual author(s) and contributor(s) and not of MDPI and/or the editor(s). MDPI and/or the editor(s) disclaim responsibility for any injury to people or property resulting from any ideas, methods, instructions or products referred to in the content. |
© 2025 by the authors. Licensee MDPI, Basel, Switzerland. This article is an open access article distributed under the terms and conditions of the Creative Commons Attribution (CC BY) license.
Share and Cite
Oliveira, S.; Roberto, M.S.; Veiga-Simão, A.M.; Marques-Pinto, A. Addressing Teacher Occupational Health in Challenging Times: The Role of a Positive Organizational Climate in Buffering Teachers’ Burnout. Int. J. Environ. Res. Public Health 2026, 23, 42. https://doi.org/10.3390/ijerph23010042
Oliveira S, Roberto MS, Veiga-Simão AM, Marques-Pinto A. Addressing Teacher Occupational Health in Challenging Times: The Role of a Positive Organizational Climate in Buffering Teachers’ Burnout. International Journal of Environmental Research and Public Health. 2026; 23(1):42. https://doi.org/10.3390/ijerph23010042
Chicago/Turabian StyleOliveira, Sofia, Magda Sofia Roberto, Ana Margarida Veiga-Simão, and Alexandra Marques-Pinto. 2026. "Addressing Teacher Occupational Health in Challenging Times: The Role of a Positive Organizational Climate in Buffering Teachers’ Burnout" International Journal of Environmental Research and Public Health 23, no. 1: 42. https://doi.org/10.3390/ijerph23010042
APA StyleOliveira, S., Roberto, M. S., Veiga-Simão, A. M., & Marques-Pinto, A. (2026). Addressing Teacher Occupational Health in Challenging Times: The Role of a Positive Organizational Climate in Buffering Teachers’ Burnout. International Journal of Environmental Research and Public Health, 23(1), 42. https://doi.org/10.3390/ijerph23010042

