Physical Activity Outcomes of a Culturally Tailored, Father-Focused, and Family-Centered Health Promotion Program for Mexican-Heritage Families: ¡Haz Espacio Para Papi! (Make Room for Daddy)
Abstract
1. Introduction
2. Materials and Methods
2.1. Setting and Participants
2.2. Study Design
2.3. ¡Haz Espacio Para Papi! (HEPP!) Program
2.4. Measures
2.4.1. Body Mass Index (BMI)
2.4.2. Device-Measured Physical Activity
2.5. Data Analysis
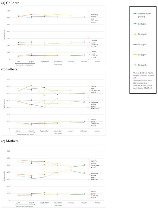
3. Results
4. Discussion
Limitations and Strengths
5. Conclusions
Supplementary Materials
Author Contributions
Funding
Institutional Review Board Statement
Informed Consent Statement
Data Availability Statement
Acknowledgments
Conflicts of Interest
References
- Warburton, D.E.R.; Bredin, S.S.D. Health benefits of physical activity: A systematic review of current systematic reviews. Curr. Opin. Cardiol. 2017, 32, 541–556. [Google Scholar] [CrossRef] [PubMed]
- Powell, K.E.; King, A.C.; Buchner, D.M.; Campbell, W.W.; DiPietro, L.; Erickson, K.I.; Hillman, C.H.; Jakicic, J.M.; Janz, K.F.; Katzmarzyk, P.T.; et al. The scientific foundation for the Physical Activity Guidelines for Americans, 2nd Edition. J. Phys. Act. Health 2018, 16, 1–11. [Google Scholar] [CrossRef] [PubMed]
- Kann, L.; McManus, T.; Harris, W.A.; Shanklin, S.L.; Flint, K.H.; Queen, B.; Lowry, R.; Chyen, D.; Whittle, L.; Thornton, J.; et al. Youth Risk Behavior Surveillance—United States, 2017. MMWR Surveill. Summ 2018, 67, 1–114. [Google Scholar] [CrossRef] [PubMed]
- Du, Y.; Liu, B.; Sun, Y.; Snetselaar, L.G.; Wallace, R.B.; Bao, W. Trends in adherence to the Physical Activity Guidelines for Americans for aerobic activity and time spent on sedentary behavior among US adults, 2007 to 2016. JAMA Netw. Open 2019, 2, e197597. [Google Scholar] [CrossRef]
- Blackwell, D.L.; Clarke, T.C. State variation in meeting the 2008 federal guidelines for both aerobic and muscle-strengthening activities through leisure-time physical activity among adults aged 18–64: United States, 2010–2015. Natl. Health Stat. Rep. 2018, 112, 1–22. [Google Scholar]
- Bull, F.C.; Al-Ansari, S.S.; Biddle, S.; Borodulin, K.; Buman, M.P.; Cardon, G.; Carty, C.; Chaput, J.P.; Chastin, S.; Chou, R.; et al. World Health Organization 2020 guidelines on physical activity and sedentary behaviour. Br. J. Sports Med. 2020, 54, 1451. [Google Scholar] [CrossRef]
- U.S. Department of Health and Human Services. Physical Activity Guidelines for Americans 2nd Edition. 2018. Available online: https://odphp.health.gov/our-work/nutrition-physical-activity/physical-activity-guidelines/current-guidelines (accessed on 1 March 2024).
- Jilcott, S.B.; Evenson, K.R.; Laraia, B.A.; Ammerman, A.S. Association between physical activity and proximity to physical activity resources among low-income, midlife women. Prev. Chronic. Dis. 2007, 4, A04. Available online: https://www.ncbi.nlm.nih.gov/pmc/articles/PMC1832127/ (accessed on 1 March 2024).
- Bancroft, C.; Joshi, S.; Rundle, A.; Hutson, M.; Chong, C.; Weiss, C.C.; Genkinger, J.; Neckerman, K.; Lovasi, G. Association of proximity and density of parks and objectively measured physical activity in the United States: A systematic review. Soc. Sci. Med. 2015, 138, 22–30. [Google Scholar] [CrossRef]
- Sallis, J.F.; Floyd, M.F.; Rodríguez, D.A.; Saelens, B.E. Role of built environments in physical activity, obesity, and cardiovascular disease. Circulation 2012, 125, 729–737. [Google Scholar] [CrossRef]
- Waisel, D.B. Vulnerable populations in healthcare. Curr. Opin. Anaesthesiol. 2013, 26, 186–192. [Google Scholar] [CrossRef]
- Anders, R.L.; Olson, T.; Robinson, K.; Wiebe, J.; DiGregorio, R.; Guillermina, M.; Albrechtsen, J.; Bean, N.H.; Ortiz, M. A health survey of a colonia located on the west Texas, US/Mexico border. J. Immigr. Minor. Health. 2010, 12, 361–369. [Google Scholar] [CrossRef] [PubMed]
- Barton, J.; Ryder Perlmeter, E.; Sobel-Blum, E.; Marquez, R. Las Colonias in the 21st Century: Progress Along the Texas-Mexico Border; Federal Reserve Bank of Dallas: Dallas, TX, USA, 2015. [Google Scholar]
- Ward, P.M. Colonias and Public Policy in Texas and Mexico: Urbanization by Stealth; University of Texas Press: Austin, TX, USA, 1999. [Google Scholar]
- Parcher, J.W.; Humberson, D.G. Using GIS to assess priorities of infrastructure and health needs of “colonias” along the United States-Mexico border. J. Lat. Am. Geogr. 2009, 8, 129–148. [Google Scholar] [CrossRef]
- U.S. Census Bureau. American Community Survey Data. 2011. Available online: https://www.census.gov/data/developers/data-sets/acs-5year/2011.html (accessed on 1 March 2024).
- Umstattd Meyer, M.R.; Sharkey, J.R.; Patterson, M.S.; Dean, W.R. Understanding contextual barriers, supports, and opportunities for physical activity among Mexican-origin children in Texas border colonias: A descriptive study. BMC Public Health 2013, 13, 14. [Google Scholar] [CrossRef] [PubMed]
- Federal Reserve Bank of Dallas. Las Colonias in the 21st Century: Progress Along the Texas-Mexico Border. 2015. Available online: https://www.dallasfed.org/~/media/documents/cd/pubs/lascolonias.pdf (accessed on 1 March 2024).
- Bautista, L.; Reininger, B.; Gay, J.L.; Barroso, C.S.; McCormick, J.B. Perceived barriers to exercise in Hispanic adults by level of activity. J. Phys. Act. Health 2011, 8, 916–925. [Google Scholar] [CrossRef]
- Ramirez, J.R.; Crano, W.D.; Quist, R.; Burgoon, M.; Alvaro, E.M.; Grandpre, J. Acculturation, familism, parental monitoring, and knowledge as predictors of marijuana and inhalant use in adolescents. Psychol. Addict. Behav. J. Soc. Psychol. Addict. Behav. 2004, 18, 3–11. [Google Scholar] [CrossRef]
- Yamauchi, L.A. Individualism, collectivism, and cultural compatibility: Implications for counselors and teachers. J. Humanist. Educ. Dev. 1998, 36, 189–198. [Google Scholar] [CrossRef]
- Lescano, C.M.; Brown, L.K.; Raffaelli, M.; Lima, L.-A. Cultural factors and family-based HIV prevention intervention for Latino youth. J. Pediatr. Psychol. 2009, 34, 1041–1052. [Google Scholar] [CrossRef]
- Raeff, C.; Greenfield, P.M.; Quiroz, B. Conceptualizing interpersonal relationships in the cultural contexts of individualism and collectivism. New Dir. Child Adolesc. Dev. 2000, 2000, 59–74. [Google Scholar] [CrossRef]
- Fuligni, A.J.; Tseng, V.; Lam, M. Attitudes toward family obligations among American adolescents with Asian, Latin American, and European backgrounds. Child Dev. 1999, 70, 1030–1044. [Google Scholar] [CrossRef]
- Sabogal, F.; Marín, G.; Otero-Sabogal, R.; Marín, B.V.; Perez-Stable, E.J. Hispanic familism and acculturation: What changes and what doesn’t? Hisp. J. Behav. Sci. 2016, 9, 397–412. [Google Scholar] [CrossRef]
- Steidel, A.G.L.; Contreras, J.M. A new familism scale for use with Latino populations. Hisp. J. Behav. Sci. 2016, 25, 312–330. [Google Scholar] [CrossRef]
- Prochnow, T.; Umstattd Meyer, M.R.; Patterson, M.S.; McClendon, M.E.; Gómez, L.; Trost, S.G.; Sharkey, J. Papás Activos: Associations between physical activity, sedentary behavior and personal networks among fathers living in Texas colonias. Int. J. Environ. Res. Public Health 2020, 17, 9243. [Google Scholar] [CrossRef]
- Ylitalo, K.R.; Bridges, C.N.; Gutierrez, M.; Sharkey, J.R.; Meyer, M. Sibship, physical activity, and sedentary behavior: A longitudinal, observational study among Mexican-heritage sibling dyads. BMC Public Health 2019, 19, 191. [Google Scholar] [CrossRef] [PubMed]
- Satcher, D. Methods in Community-Based Participatory Research for Health; John Wiley & Sons: Hoboken, NJ, USA, 2005. [Google Scholar]
- Israel, B.A.; Coombe, C.M.; Cheezum, R.R.; Schulz, A.J.; McGranaghan, R.J.; Lichtenstein, R.; Reyes, A.G.; Clement, J.; Burris, A. Community-based participatory research: A capacity-building approach for policy advocacy aimed at eliminating health disparities. Am. J. Public Health 2010, 100, 2094–2102. [Google Scholar] [CrossRef]
- Prochnow, T.; Umstattd Meyer, M.R.; Patterson, M.S.; Meyer, A.; Talbert, T.; Sharkey, J. Active play social network change for Mexican-heritage children participating in a father-focused health program. Am. J. Health Educ. 2022, 53, 115–125. [Google Scholar] [CrossRef]
- Prochnow, T.; Umstattd Meyer, M.R.; Patterson, M.S.; Trost, S.G.; Gómez, L.; Sharkey, J. Active play network influences on physical activity among children living in Texas colonias. Fam. Commun. Health 2021, 44, 154–161. [Google Scholar] [CrossRef] [PubMed]
- Sung-Chan, P.; Sung, Y.; Zhao, X.; Brownson, R. Family-based models for childhood-obesity intervention: A systematic review of randomized controlled trials. Obes. Rev. 2013, 14, 265–278. [Google Scholar] [CrossRef]
- Yavuz, H.M.; van Ijzendoorn, M.H.; Mesman, J.; van der Veek, S. Interventions aimed at reducing obesity in early childhood: A meta-analysis of programs that involve parents. J. Child Psychol. Psychiatry 2015, 56, 677–692. [Google Scholar] [CrossRef]
- Broderick, C.B. Understanding Family Process: Basics of Family Systems Theory; Sage: Thousand Oaks, CA, USA, 1993. [Google Scholar]
- Kitzman-Ulrich, H.; Wilson, D.K.; St George, S.M.; Lawman, H.; Segal, M.; Fairchild, A. The integration of a family systems approach for understanding youth obesity, physical activity, and dietary programs. Clin. Child Fam. Psychol. Rev. 2010, 13, 231–253. [Google Scholar] [CrossRef]
- Morgan, P.J.; Young, M.D.; Barnes, A.T.; Eather, N.; Pollock, E.R.; Lubans, D.R. Engaging fathers to increase physical activity in girls: The “dads and daughters exercising and empowered” (DADEE) randomized controlled trial. Ann. Behav. Med. 2019, 53, 39–52. [Google Scholar] [CrossRef]
- Ashton, L.M.; Rayward, A.T.; Pollock, E.R.; Kennedy, S.-L.; Young, M.D.; Eather, N.; Barnes, A.T.; Lee, D.R.; Morgan, P.J. Twelve-month outcomes of a community-based, father-daughter physical activity program delivered by trained facilitators. Int. J. Behav. Nutr. Phys. Act. 2024, 21, 101. [Google Scholar] [CrossRef] [PubMed]
- Morgan, P.J.; Grounds, J.A.; Ashton, L.M.; Collins, C.E.; Barnes, A.T.; Pollock, E.R.; Kennedy, S.L.; Rayward, A.T.; Saunders, K.L.; Drew, R.J.; et al. Impact of the ‘Healthy Youngsters, Healthy Dads’ program on physical activity and other health behaviours: A randomised controlled trial involving fathers and their preschool-aged children. BMC Public Health 2022, 22, 1166. [Google Scholar] [CrossRef]
- O’Connor, T.M.; Beltran, A.; Musaad, S.; Perez, O.; Flores, A.; Galdamez-Calderon, E.; Isbell, T.; Arredondo, E.M.; Parra Cardona, R.; Cabrera, N.; et al. Feasibility of targeting Hispanic fathers and children in an obesity intervention: Papás Saludables Niños Saludables. Child Obes. 2020, 16, 379–392. [Google Scholar] [CrossRef]
- O’Connor, T.M.; Perez, O.; Beltran, A.; Colón García, I.; Arredondo, E.; Parra Cardona, R.; Cabrera, N.; Thompson, D.; Baranowski, T.; Morgan, P.J. Cultural adaptation of ‘Healthy Dads, Healthy Kids’ for Hispanic families: Applying the ecological validity model. Int. J. Behav. Nutr. Phys. Act. 2020, 17, 52. [Google Scholar] [CrossRef] [PubMed]
- O’Connor, T.M.; Perez, O.; Beltran, A.; Colón García, I.; Arredondo, E.; Parra Cardona, R.; Cabrera, N.; Thompson, D.; Baranowski, T.; Morgan, P.J. Papás Saludables, Niños Saludables: Perspectives from Hispanic parents and children in a culturally adapted father-focused obesity program. J. Nutr. Educ. Behav. 2021, 53, 246–253. [Google Scholar] [CrossRef]
- Morgan, P.J.; Young, M.D.; Lloyd, A.B.; Wang, M.L.; Eather, N.; Miller, A.; Murtagh, E.M.; Barnes, A.T.; Pagoto, S.L. Involvement of fathers in pediatric obesity treatment and prevention trials: A systematic review. Pediatrics 2017, 139, e20162635. [Google Scholar] [CrossRef]
- Patrick, H.; Hennessy, E.; McSpadden, K.; Oh, A. Parenting styles and practices in children’s obesogenic behaviors: Scientific gaps and future research directions. Child Obes. 2013, 9, S73–S86. [Google Scholar] [CrossRef]
- Cabrera, N.J.; Bradley, R.H. Latino fathers and their Ccildren. Child Dev. Perspect. 2012, 6, 232–238. [Google Scholar] [CrossRef]
- Morgan, P.J.; Lubans, D.R.; Plotnikoff, R.C.; Callister, R.; Burrows, T.; Fletcher, R.; Okely, A.D.; Young, M.D.; Miller, A.; Clay, V.; et al. The ‘Healthy Dads, Healthy Kids’ community effectiveness trial: Study protocol of a community-based healthy lifestyle program for fathers and their children. BMC Public Health 2011, 11, 876. [Google Scholar] [CrossRef]
- Morgan, P.J.; Lubans, D.R.; Callister, R.; Okely, A.D.; Burrows, T.L.; Fletcher, R.; Collins, C.E. The ‘Healthy Dads, Healthy Kids’ randomized controlled trial: Efficacy of a healthy lifestyle program for overweight fathers and their children. Int. J. Obes. 2011, 35, 436–447. [Google Scholar] [CrossRef]
- Prochnow, T.; Umstattd Meyer, M.R.; Johnson, C.; Delgado, H.; Gomez, L.; Sharkey, J. The development and pilot testing of the ¡Haz Espacio para Papi! program physical activity curriculum for Mexican-heritage fathers and children. Am. J. Health Educ. 2021, 52, 145–153. [Google Scholar] [CrossRef]
- Johnson, C.M.; Allicock, M.A.; Sharkey, J.R.; Umstattd Meyer, M.R.; Gómez, L.; Prochnow, T.; Laviolette, C.; Beltrán, E.; Garza, L.M. Promotoras de salud in a father-focused nutrition and physical activity program for border communities: Approaches and lessons learned from collaboration. Int. J. Environ. Res. Public Health 2022, 19, 11660. [Google Scholar] [CrossRef] [PubMed]
- Johnson, C.M.; Sharkey, J.R.; Umstattd Meyer, M.R.; Gómez, L.; Allicock, M.A.; Prochnow, T.; Beltrán, E.; Martinez, L. Designing for multilevel behavior change: A father-focused nutrition and physical activity program for Mexican-heritage families in South Texas border communities. Int. J. Environ. Res. Public Health 2021, 18, 10117. [Google Scholar] [CrossRef] [PubMed]
- St John, J.A.; Johnson, C.M.; Sharkey, J.R.; Dean, W.R.; Arandia, G. Empowerment of promotoras as promotora–researchers in the Comidas Daludables & Gente Sana en las Colonias del Sur de Tejas (Healthy Food and Healthy People in South Texas Colonias) program. J. Prim. Prev. 2013, 34, 41–57. [Google Scholar] [CrossRef] [PubMed]
- Johnson, C.M.; Sharkey, J.R.; Dean, W.R.; St John, J.A.; Castillo, M. Promotoras as research partners to engage health disparity communities. J. Acad. Nutr. Diet. 2013, 113, 638–642. [Google Scholar] [CrossRef]
- Hussey, M.A.; Hughes, J.P. Design and analysis of stepped wedge cluster randomized trials. Contemp. Clin. Trials 2007, 28, 182–191. [Google Scholar] [CrossRef]
- McKenzie, T.L.; Sallis, J.F.; Rosengard, P.; Ballard, K. The SPARK programs: A public health model of physical education research and dissemination. J. Teach. Physl. Educ. 2016, 35, 381–389. [Google Scholar] [CrossRef]
- Bandura, A. Human agency in social cognitive theory. Am Psychol. 1989, 44, 1175–1184. [Google Scholar] [CrossRef]
- Centers for Disease Control and Prevention. Defining Adult Overweight and Obesity. 2022. Available online: https://www.cdc.gov/bmi/adult-calculator/bmi-categories.html?CDC_AAref_Val=https://www.cdc.gov/obesity/basics/adult-defining.html (accessed on 1 March 2024).
- Center for Disease Control and Prevention. The SAS Program for CDC Growth Charts That Includes the Extended BMI Calculations. 2023. Available online: https://www.cdc.gov/growth-chart-training/hcp/computer-programs/sas.html?CDC_AAref_Val=https://www.cdc.gov/nccdphp/dnpao/growthcharts/resources/sas.htm (accessed on 1 March 2024).
- World Health Organization. BMI-for-Age (5–19 years) n.d. Available online: https://www.who.int/tools/growth-reference-data-for-5to19-years/indicators/bmi-for-age (accessed on 1 March 2024).
- Ahmadi, M.N.; Nathan, N.; Sutherland, R.; Wolfenden, L.; Trost, S.G. Non-wear or sleep? Evaluation of five non-wear detection algorithms for raw accelerometer data. J. Sports Sci. 2020, 38, 399–404. [Google Scholar] [CrossRef]
- Van Hees, V.T.; Sabia, S.; Anderson, K.N.; Denton, S.J.; Oliver, J.; Catt, M.; Abell, J.G.; Kivimäki, M.; Trenell, M.I.; Singh-Manoux, A. A novel, open access method to assess sleep duration using a wrist-worn accelerometer. PLoS ONE 2015, 10, e0142533. [Google Scholar] [CrossRef]
- Chowdhury, A.K.; Tjondronegoro, D.; Chandran, V.; Trost, S.G. Ensemble methods for classification of physical activities from wrist accelerometry. Med. Sci. Sports Exerc. 2017, 49, 1965–1973. [Google Scholar] [CrossRef] [PubMed]
- Trost, S.G.; Ahmadi, M.N.; Pfeiffer, K. A novel two-step algorithm for estimating energy expenditure from wrist accelerometer data in youth. In Proceedings of the 5th International Conference on Ambulatory Monitoring of Physical Activity and Movement, Bethesda, MD, USA, 21 June 2017. [Google Scholar]
- Pavey, T.G.; Gilson, N.D.; Gomersall, S.R.; Clark, B.; Trost, S.G. Field evaluation of a random forest activity classifier for wrist-worn accelerometer data. J. Sci. Med. Sport 2017, 20, 75–80. [Google Scholar] [CrossRef] [PubMed]
- Narayanan, A.; Desai, F.; Stewart, T.; Duncan, S.; Mackay, L. Application of raw accelerometer data and machine-learning techniques to characterize human movement behavior: A systematic scoping review. J. Phys. Act. Health 2020, 17, 360–383. [Google Scholar] [CrossRef] [PubMed]
- Hemming, K.; Haines, T.P.; Chilton, P.J.; Girling, A.J.; Lilford, R.J. The stepped wedge cluster randomised trial: Rationale, design, analysis, and reporting. BMJ Br. Med. J. 2015, 350, h391. [Google Scholar] [CrossRef] [PubMed]
- McCoy, C.E. Understanding the intention-to-treat principle in randomized controlled trials. West J. Emerg. Med. 2017, 18, 1075–1078. [Google Scholar] [CrossRef]
- Verbeke, G.; Molenberghs, G. Linear Mixed Models for Longitudinal Data; Springer: New York, NY, USA, 2009. [Google Scholar]
- Ickes, M.J.; Sharma, M. A Systematic review of physical activity interventions in Hispanic adults. J. Environ. Public Health 2012, 2012, 156435. [Google Scholar] [CrossRef]
- Mier, N.; Tanguma, J.; Millard, A.V.; Villarreal, E.K.; Alen, M.; Ory, M.G. A pilot walking program for Mexican-American women living in colonias at the border. Am. J. Health Promot. 2011, 25, 172–175. [Google Scholar] [CrossRef]
- Nyberg, G.; Andermo, S.; Nordenfelt, A.; Lidin, M.; Hellénius, M.L. Effectiveness of a family intervention to increase physical activity in disadvantaged areas-A Healthy Generation, A controlled pilot study. Int. J. Environ. Res. Public Health 2020, 17, 3794. [Google Scholar] [CrossRef]
- Huang, T.; Zhao, G.; Tan, H.; Wu, H.; Fu, J.; Sun, S.; Lv, W.; He, Z.; Hu, Q.; Quan, M. Effects of family intervention on physical activity and sedentary behavior in children aged 2.5–12 years: A meta-analysis. Front. Pediatr. 2021, 9, 720830. [Google Scholar] [CrossRef]
- Lloyd, A.B.; Lubans, D.R.; Plotnikoff, R.C.; Collins, C.E.; Morgan, P.J. Maternal and paternal parenting practices and their influence on children’s adiposity, screen-time, diet and physical activity. Appetite 2014, 79, 149–157. [Google Scholar] [CrossRef]
- Brown, H.E.; Atkin, A.J.; Panter, J.; Wong, G.; Chinapaw, M.J.; van Sluijs, E.M. Family-based interventions to increase physical activity in children: A systematic review, meta-analysis and realist synthesis. Obes. Rev. 2016, 17, 345–360. [Google Scholar] [CrossRef] [PubMed]
- Crouter, A.C.; Davis, K.D.; Updegraff, K.; Delgado, M.; Fortner, M. Mexican American fathers’ occupational conditions: Links to family members’ psychological adjustment. J. Marriage Fam. 2006, 68, 843–858. [Google Scholar] [CrossRef] [PubMed]
- Ding, D.; Sallis, J.F.; Kerr, J.; Lee, S.; Rosenberg, D.E. Neighborhood environment and physical activity among youth a review. Am. J. Prev. Med. 2011, 41, 442–455. [Google Scholar] [CrossRef] [PubMed]
- Ferdinand, O.A.; Sen, B.; Rahurkar, S.; Engler, S.; Menachemi, N. The relationship between built environments and physical activity: A systematic review. Am. J. Public Health 2012, 102, e7–e13. [Google Scholar] [CrossRef] [PubMed]
- Taber, D.R.; Stevens, J.; Murray, D.M.; Elder, J.P.; Webber, L.S.; Jobe, J.B.; Lytle, L.A. The effect of a physical activity intervention on bias in self-reported activity. Ann. Epidemiol. 2009, 19, 316–322. [Google Scholar] [CrossRef]
- Schunk, D.H. Social Cognitive Theory. APA Educational Psychology Handbook, Vol 1: Theories, Constructs, and Critical Issues; American Psychological Association: Washington, DC, USA, 2012; pp. 101–123. [Google Scholar]


| Total | Group 1 1 | Group 2 | Group 3 | Group 4 | Group 5 | p 2 | |
|---|---|---|---|---|---|---|---|
| Number of families: n | 59 | 12 | 10 | 13 | 12 | 12 | |
| Age: mean years (SD) | |||||||
| Child | 10.1 (0.9) | 10.2 (0.9) | 10.3 (0.9) | 10.1 (1.0) | 10.5 (0.9) | 9.7 (0.9) | 0.31 |
| Father | 39.9 (8.2) | 39.8 (11.8) | 40.9 (7.1) | 39.4 (7.5) | 38.0 (6.5) | 42.1 (7.8) | 0.82 |
| Mother | 36.2 (6.2) | 35.2 (7.3) | 37.2 (6.2) | 37.0 (5.2) | 35.1 (5.7) | 36.5 (7.1) | 0.90 |
| Child sex: n (%) | |||||||
| Female | 52.5 | 58.3 | 70.0 | 23.1 | 66.7 | 50.0 | 0.14 |
| Male | 47.5 | 41.7 | 30.0 | 76.9 | 33.3 | 50.0 | |
| Moderate-to-vigorous physical activity: mean daily minutes (SD) | |||||||
| Child | 50.6 (17.8) | 48.8 (14.8) | 43.9 (19.3) | 53.0 (18.0) | 55.2 (22.8) | 52.2 (12.6) | 0.34 |
| Father | 75.1 (35.7) | 65.6 (23.8) | 82.2 (53.7) | 69.8 (26.3) | 70.2 (25.6) | 92.5 (43.7) | 0.01 3 |
| Mother | 86.4 (36.9) | 82.7 (36.1) | 78.4 (19.8) | 98.7 (51.0) | 81.0 (41.8) | 86.9 (24.2) | 0.09 |
| Light physical activity: mean daily minutes (SD) | |||||||
| Child | 230.2 (55.7) | 239.4 (48.0) | 213.3 (67.1) | 237.2 (52.4) | 216.6 (67.0) | 246.4 (39.4) | 0.25 |
| Father | 547.7 (98.4) | 567.6 (92.1) | 535.3 (103.6) | 566.8 (94.5) | 551.4 (114.6) | 505.8 (88.4) | 0.34 |
| Mother | 535.3 (86.1) | 546.7 (91.0) | 575.7 (82.6) | 556.8 (90.5) | 514.7 (76.6) | 475.7 (62.6) | 0.05 |
| Sedentary behavior: mean daily minutes (SD) | |||||||
| Child | 619.5 (62.5) | 624.9 (51.1) | 617.9 (77.7) | 619.8 (41.4) | 633.9 (91.2) | 597.1 (32.0) | 0.20 |
| Father | 373.2 (91.5) | 387.6 (58.2) | 390.1 (86.8) | 345.6 (93.8) | 354.1 (107.6) | 395.4 (112.0) | 0.46 |
| Mother | 369.5 (85.8) | 350.5 (89.8) | 372.7 (57.7) | 306.2 (67.9) | 404.7 (83.7) | 422.5 (86.0) | <0.01 4 |
| Estimate (Standard Error) * | p-Value * | |
|---|---|---|
| Unadjusted models | ||
| Child outcomes | ||
| MVPA | 4.41 (3.25) | 0.18 |
| LPA | −3.38 (5.27) | 0.52 |
| Sedentary behavior | −3.16 (8.80) | 0.74 |
| Father outcomes | ||
| MVPA | −0.57 (6.80) | 0.94 |
| LPA | −35.39 (19.49) | 0.17 |
| Sedentary behavior | 42.41 (22.02) | 0.15 |
| Mother outcomes | ||
| MVPA | 3.20 (6.58) | 0.66 |
| LPA | −23.20 (5.44) | <0.01 |
| Sedentary behavior | 2.34 (7.88) | 0.77 |
| Models adjusted for number of sessions attended | ||
| Child outcomes | ||
| MVPA | 4.38 (4.89) | 0.44 |
| LPA | −1.13 (5.74) | 0.86 |
| Sedentary behavior | −4.02 (9.35) | 0.70 |
| Father outcomes | ||
| MVPA | 0.31 (6.91) | 0.97 |
| LPA | −35.12 (21.80) | 0.21 |
| Sedentary behavior | 41.17 (24.73) | 0.19 |
| Mother outcomes | ||
| MVPA | 3.04 (7.26) | 0.70 |
| LPA | −23.09 (4.40) | 0.01 |
| Sedentary behavior | 16.47 (20.33) | 0.50 |
| Models adjusted for total number of physical activity minutes across sessions | ||
| Child outcomes | ||
| MVPA | 4.24 (4.73) | 0.44 |
| LPA | −1.40 (6.18) | 0.84 |
| Sedentary behavior | −5.06 (8.55) | 0.60 |
| Father outcomes | ||
| MVPA | −0.03 (7.34) | 0.99 |
| LPA | −37.32 (19.10) | 0.15 |
| Sedentary behavior | 40.41 (22.83) | 0.17 |
| Mother outcomes | ||
| MVPA | 3.08 (7.36) | 0.70 |
| LPA | −26.24 (5.22) | 0.02 |
| Sedentary behavior | 2.24 (7.81) | 0.79 |
Disclaimer/Publisher’s Note: The statements, opinions and data contained in all publications are solely those of the individual author(s) and contributor(s) and not of MDPI and/or the editor(s). MDPI and/or the editor(s) disclaim responsibility for any injury to people or property resulting from any ideas, methods, instructions or products referred to in the content. |
© 2024 by the authors. Licensee MDPI, Basel, Switzerland. This article is an open access article distributed under the terms and conditions of the Creative Commons Attribution (CC BY) license (https://creativecommons.org/licenses/by/4.0/).
Share and Cite
Umstattd Meyer, M.R.; Prochnow, T.; Wende, M.E.; Ylitalo, K.R.; Sturdivant, R.X.; Johnson, C.M.; Delgado, H.; Trost, S.G.; Gómez, L.; Sharkey, J.R. Physical Activity Outcomes of a Culturally Tailored, Father-Focused, and Family-Centered Health Promotion Program for Mexican-Heritage Families: ¡Haz Espacio Para Papi! (Make Room for Daddy). Int. J. Environ. Res. Public Health 2024, 21, 1475. https://doi.org/10.3390/ijerph21111475
Umstattd Meyer MR, Prochnow T, Wende ME, Ylitalo KR, Sturdivant RX, Johnson CM, Delgado H, Trost SG, Gómez L, Sharkey JR. Physical Activity Outcomes of a Culturally Tailored, Father-Focused, and Family-Centered Health Promotion Program for Mexican-Heritage Families: ¡Haz Espacio Para Papi! (Make Room for Daddy). International Journal of Environmental Research and Public Health. 2024; 21(11):1475. https://doi.org/10.3390/ijerph21111475
Chicago/Turabian StyleUmstattd Meyer, M. Renée, Tyler Prochnow, Marilyn E. Wende, Kelly R. Ylitalo, Rodney X. Sturdivant, Cassandra M. Johnson, Haley Delgado, Stewart G. Trost, Luis Gómez, and Joseph R. Sharkey. 2024. "Physical Activity Outcomes of a Culturally Tailored, Father-Focused, and Family-Centered Health Promotion Program for Mexican-Heritage Families: ¡Haz Espacio Para Papi! (Make Room for Daddy)" International Journal of Environmental Research and Public Health 21, no. 11: 1475. https://doi.org/10.3390/ijerph21111475
APA StyleUmstattd Meyer, M. R., Prochnow, T., Wende, M. E., Ylitalo, K. R., Sturdivant, R. X., Johnson, C. M., Delgado, H., Trost, S. G., Gómez, L., & Sharkey, J. R. (2024). Physical Activity Outcomes of a Culturally Tailored, Father-Focused, and Family-Centered Health Promotion Program for Mexican-Heritage Families: ¡Haz Espacio Para Papi! (Make Room for Daddy). International Journal of Environmental Research and Public Health, 21(11), 1475. https://doi.org/10.3390/ijerph21111475

