Participation in Household Physical Activity Lowers Mortality Risk in Chinese Women and Men
Abstract
1. Introduction
2. Methods and Statistical Analyses
2.1. Methods
2.1.1. Study Design and Population
2.1.2. HPA and SPE Assessments
2.1.3. Mortality Outcomes
2.1.4. Covariates
2.2. Statistical Analyses
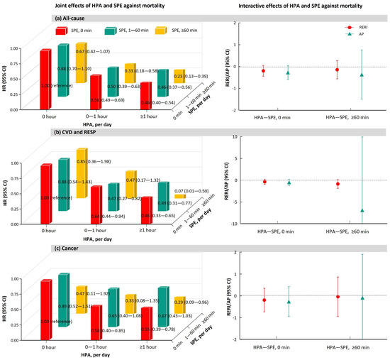
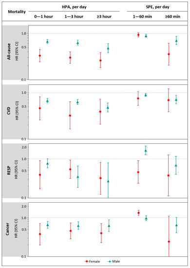
3. Results
4. Discussion
5. Conclusions
Supplementary Materials
Author Contributions
Funding
Institutional Review Board Statement
Informed Consent Statement
Data Availability Statement
Acknowledgments
Conflicts of Interest
References
- Zhou, Y.; Zhang, R.; Liu, Y.; Guo, Y.; Wang, D.; He, M.; Yuan, J.; Liang, Y.; Zhang, X.; Wang, Y.; et al. Association of regular physical activity with total and cause-specific mortality among middle-aged and older Chinese: A prospective cohort study. Sci. Rep. 2017, 7, 39939. [Google Scholar] [CrossRef] [PubMed]
- Warburton, D.; Bredin, S. Health benefits of physical activity: A systematic review of current systematic reviews. Curr. Opin. Cardiol. 2017, 32, 541–556. [Google Scholar] [CrossRef] [PubMed]
- Lear, S.A.; Hu, W.; Rangarajan, S.; Gasevic, D.; Leong, D.; Iqbal, R.; Casanova, A.; Swaminathan, S.; Anjana, R.M.; Kumar, R.; et al. The effect of physical activity on mortality and cardiovascular disease in 130,000 people from 17 high-income, middle-income, and low-income countries: The PURE study. Lancet 2017, 390, 2643–2654. [Google Scholar] [CrossRef] [PubMed]
- Warburton, D.E.; Bredin, S.S. Reflections on Physical Activity and Health: What Should We Recommend? Can. J. Cardiol. 2016, 32, 495–504. [Google Scholar] [CrossRef]
- Borodulin, K.; Buman, M.P.; Cardon, G.; Carty, C.; Chaput, J.P.; Chastin, S.; Chou, R.; Dempsey, P.C.; DiPietro, L.; Ekelund, U.; et al. World Health Organization 2020 guidelines on physical activity and sedentary behaviour. Br. J. Sports Med. 2020, 54, 1451–1462. [Google Scholar]
- O’Donovan, G.; Lee, I.M.; Hamer, M.; Stamatakis, E. Association of “Weekend Warrior” and Other Leisure Time Physical Activity Patterns With Risks for All-Cause, Cardiovascular Disease, and Cancer Mortality. JAMA Intern. Med. 2017, 177, 335–342. [Google Scholar] [CrossRef] [PubMed]
- Lee, D.C.; Pate, R.R.; Lavie, C.J.; Sui, X.; Church, T.S.; Blair, S.N. Leisure-time running reduces all-cause and cardiovascular mortality risk. J. Am. Coll. Cardiol. 2014, 64, 472–481. [Google Scholar] [CrossRef]
- Saint-Maurice, P.F.; Coughlan, D.; Kelly, S.P.; Keadle, S.K.; Cook, M.B.; Carlson, S.A.; Fulton, J.E.; Matthews, C.E. Association of Leisure-Time Physical Activity Across the Adult Life Course with All-Cause and Cause-Specific Mortality. JAMA Netw. Open. 2019, 2, e19035. [Google Scholar] [CrossRef]
- Wen, C.P.; Wai, J.P.; Tsai, M.K.; Yang, Y.C.; Cheng, T.Y.; Lee, M.C.; Chan, H.T.; Tsao, C.K.; Tsai, S.P.; Wu, X. Minimum amount of physical activity for reduced mortality and extended life expectancy: A prospective cohort study. Lancet 2011, 378, 1244–1253. [Google Scholar] [CrossRef]
- Andersen, L.B.; Schnohr, P.; Schroll, M.; Hein, H.O. All-cause mortality associated with physical activity during leisure time, work, sports, and cycling to work. Arch. Intern. Med. 2000, 160, 1621–1628. [Google Scholar] [CrossRef]
- Barengo, N.C.; Hu, G.; Lakka, T.A.; Pekkarinen, H.; Nissinen, A.; Tuomilehto, J. Low physical activity as a predictor for total and cardiovascular disease mortality in middle-aged men and women in Finland. Eur. Heart J. 2004, 25, 2204–2211. [Google Scholar] [CrossRef] [PubMed]
- Jurj, A.L.; Wen, W.; Gao, Y.T.; Matthews, C.E.; Yang, G.; Li, H.L.; Zheng, W.; Shu, X.O. Patterns and correlates of physical activity: A cross-sectional study in urban Chinese women. BMC Public Health. 2007, 7, 213. [Google Scholar] [CrossRef] [PubMed]
- Yang, J.; Zhang, Y.L.; Ye, J.; Guo, Q.; Sun, Y.N.; Zeng, Q. Association between household physical activity level and type 2 diabetes among urban males in northern China. Public Health. 2018, 163, 113–120. [Google Scholar] [CrossRef] [PubMed]
- American College of Sports Medicine Position Stand. The recommended quantity and quality of exercise for developing and maintaining cardiorespiratory and muscular fitness, and flexibility in healthy adults. Med. Sci. Sports Exerc. 1998, 30, 975–991. [Google Scholar]
- Loprinzi, P.D. Light-Intensity Physical Activity and All-Cause Mortality. Am. J. Health Promot. 2017, 31, 340–342. [Google Scholar] [CrossRef]
- Amagasa, S.; Machida, M.; Fukushima, N.; Kikuchi, H.; Takamiya, T.; Odagiri, Y.; Inoue, S. Is objectively measured light-intensity physical activity associated with health outcomes after adjustment for moderate-to-vigorous physical activity in adults? A systematic review. Int. J. Behav. Nutr. Phys. Act. 2018, 15, 65. [Google Scholar] [CrossRef]
- Beck, A.M.; Serrano, N.H.; Toler, A.; Brownson, R.C. Multilevel correlates of domain-specific physical activity among rural adults—A cross-sectional study. BMC public health. 2022, 22, 2150. [Google Scholar] [CrossRef] [PubMed]
- Dong, L.; Block, G.; Mandel, S. Activities Contributing to Total Energy Expenditure in the United States: Results from the NHAPS Study. Int. J. Behav. Nutr. Phys. Act. 2004, 1, 4. [Google Scholar] [CrossRef][Green Version]
- Brownson, R.C.; Eyler, A.A.; King, A.C.; Brown, D.R.; Shyu, Y.L.; Sallis, J.F. Patterns and correlates of physical activity among US women 40 years and older. Am. J. Public Health 2000, 90, 264–270. [Google Scholar]
- He, X.Z.; Baker, D.W. Differences in leisure-time, household, and work-related physical activity by race, ethnicity, and education. J. Gen. Intern. Med. 2005, 20, 259–266. [Google Scholar] [CrossRef]
- Amagasa, S.; Fukushima, N.; Kikuchi, H.; Takamiya, T.; Oka, K.; Inoue, S. Light and sporadic physical activity overlooked by current guidelines makes older women more active than older men. Int. J. Behav. Nutr. Phys. Act. 2017, 14, 59. [Google Scholar] [CrossRef] [PubMed]
- Chastin, S.; De Craemer, M.; De Cocker, K.; Powell, L.; Van Cauwenberg, J.; Dall, P.; Hamer, M.; Stamatakis, E. How does light-intensity physical activity associate with adult cardiometabolic health and mortality? Systematic review with meta-analysis of experimental and observational studies. Br. J. Sports Med. 2019, 53, 370–376. [Google Scholar] [CrossRef] [PubMed]
- Shi, Y.; Li, T.; Wang, Y.; Zhou, L.; Qin, Q.; Yin, J.; Wei, S.; Liu, L.; Nie, S. Household physical activity and cancer risk: A systematic review and dose-response meta-analysis of epidemiological studies. Sci. Rep. 2015, 5, 14901. [Google Scholar] [CrossRef] [PubMed]
- Park, J.; Choi, J.Y.; Shin, A.; Lee, S.A.; Lee, M.; Choi, J.; Lee, J.K.; Kang, D. Patterns of leisure time and household physical activity and the risk of mortality among middle-aged Korean adults. PLoS ONE. 2020, 15, e0234852. [Google Scholar] [CrossRef] [PubMed]
- Autenrieth, C.S.; Baumert, J.; Baumeister, S.E.; Fischer, B.; Peters, A.; Döring, A.; Thorand, B. Association between domains of physical activity and all-cause, cardiovascular and cancer mortality. Eur. J. Epidemiol. 2011, 26, 91–99. [Google Scholar] [CrossRef]
- Chen, L.J.; Fox, K.R.; Ku, P.W.; Sun, W.J.; Chou, P. Prospective associations between household-, work-, and leisure-based physical activity and all-cause mortality among older Taiwanese adults. Asia Pac. J. Public Health 2012, 24, 795–805. [Google Scholar] [CrossRef]
- Xie, Y.; Lu, P. The Sampling Design of the China Family Panel Studies (CFPS). Chin. J. Sociol. 2015, 1, 471–484. [Google Scholar] [CrossRef]
- Huerta, J.M.; Chirlaque, M.D.; Tormo, M.J.; Buckland, G.; Ardanaz, E.; Arriola, L.; Gavrila, D.; Salmerón, D.; Cirera, L.; Carpe, B.; et al. Work, household, and leisure-time physical activity and risk of mortality in the EPIC-Spain cohort. Prev. Med. 2016, 85, 106–112. [Google Scholar] [CrossRef]
- Ottenbacher, A.J.; Snih, S.A.; Karmarkar, A.; Lee, J.; Samper-Ternent, R.; Kumar, A.; Bindawas, S.; Markides, K.S.; Ottenbacher, K.J. Routine physical activity and mortality in Mexican Americans aged 75 and older. J. Am. Geriatr. Soc. 2012, 60, 1085–1091. [Google Scholar] [CrossRef]
- Martínez-Gómez, D.; Guallar-Castillón, P.; León-Muñoz, L.M.; Rodríguez-Artalejo, F. Household physical activity and mortality in older adults: A national cohort study in Spain. Prev. Med. 2014, 61, 14–19. [Google Scholar] [CrossRef]
- Weitzer, J.; Castaño-Vinyals, G.; Aragonés, N.; Gómez-Acebo, I.; Guevara, M.; Amiano, P.; Martín, V.; Molina-Barceló, A.; Alguacil, J.; Moreno, V.; et al. Effect of time of day of recreational and household physical activity on prostate and breast cancer risk (MCC-Spain study). Int. J. Cancer. 2021, 148, 1360–1371. [Google Scholar] [CrossRef] [PubMed]
- Martinez-Gomez, D.; Cabanas-Sanchez, V.; Yu, T.; Rodriguez-Artalejo, F.; Ding, D.; Lee, I.M.; Ekelund, U. Long-term leisure-time physical activity and risk of all-cause and cardiovascular mortality: Dose-response associations in a prospective cohort study of 210 327 Taiwanese adults. Br. J. Sports Med. 2022, 56, 919–926. [Google Scholar] [CrossRef] [PubMed]
- Zhao, M.; Veeranki, S.P.; Magnussen, C.G.; Xi, B. Recommended physical activity and all cause and cause specific mortality in US adults: Prospective cohort study. BMJ. 2020, 370, m2031. [Google Scholar] [CrossRef]
- Geidl, W.; Schlesinger, S.; Mino, E.; Miranda, L.; Pfeifer, K. Dose-response relationship between physical activity and mortality in adults with noncommunicable diseases: A systematic review and meta-analysis of prospective observational studies. Int. J. Behav. Nutr. Phys. Act. 2020, 17, 109. [Google Scholar] [CrossRef] [PubMed]
- Arem, H.; Moore, S.C.; Patel, A.; Hartge, P.; Berrington de Gonzalez, A.; Visvanathan, K.; Campbell, P.T.; Freedman, M.; Weiderpass, E.; Adami, H.O.; et al. Leisure time physical activity and mortality: A detailed pooled analysis of the dose-response relationship. JAMA Intern. Med. 2015, 175, 959–967. [Google Scholar] [CrossRef] [PubMed]
- Kraus, W.E.; Powell, K.E.; Haskell, W.L.; Janz, K.F.; Campbell, W.W.; Jakicic, J.M.; Troiano, R.P.; Sprow, K.; Torres, A.; Piercy, K.L.; et al. Physical Activity, All-Cause and Cardiovascular Mortality, and Cardiovascular Disease. Med. Sci. Sports Exerc. 2019, 51, 1270–1281. [Google Scholar] [CrossRef] [PubMed]
- Matthews, C.E.; Keadle, S.K.; Troiano, R.P.; Kahle, L.; Koster, A.; Brychta, R.; Van Domelen, D.; Caserotti, P.; Chen, K.Y.; Harris, T.B.; et al. Accelerometer-measured dose-response for physical activity, sedentary time, and mortality in US adults. Am. J. Clin. Nutr. 2016, 104, 1424–1432. [Google Scholar] [CrossRef] [PubMed]
- Ekelund, U.; Tarp, J.; Steene-Johannessen, J.; Hansen, B.H.; Jefferis, B.; Fagerland, M.W.; Whincup, P.; Diaz, K.M.; Hooker, S.P.; Chernofsky, A.; et al. Dose-response associations between accelerometry measured physical activity and sedentary time and all cause mortality: Systematic review and harmonised meta-analysis. BMJ. 2019, 21, l4570. [Google Scholar] [CrossRef]
- Yu, R.; Leung, J.; Woo, J. Housework reduces all-cause and cancer mortality in Chinese men. PLoS ONE 2013, 8, e61529. [Google Scholar]
- Clará, A.; Berenguer, G.; Pérez-Fernández, S.; Schröder, H.; Ramos, R.; Grau, M.; Dégano, I.R.; Fernández-Sanlés, A.; Marrugat, J.; Elosua, R. Analysis of the dose-response relationship of leisure-time physical activity to cardiovascular disease and all-cause mortality: The REGICOR study. Rev. Esp. Cardiol. 2021, 74, 414–420. [Google Scholar] [CrossRef]
- Matthews, C.E.; Freedson, P.S.; Hebert, J.R.; Stanek, E.J.; Merriam, P.A., 3rd; Rosal, M.C.; Ebbeling, C.B.; Ockene, I.S. Seasonal variation in household, occupational, and leisure time physical activity: Longitudinal analyses from the seasonal variation of blood cholesterol study. Am. J. Epidemiol. 2001, 153, 172–183. [Google Scholar] [CrossRef] [PubMed]
- Stamatakis, E.; Hillsdon, M.; Primatesta, P. Domestic physical activity in relationship to multiple CVD risk factors. Am. J. Prev. Med. 2007, 32, 320–327. [Google Scholar] [CrossRef] [PubMed]
- Besson, H.; Ekelund, U.; Brage, S.; Luben, R.; Bingham, S.; Khaw, K.T.; Wareham, N.J. Relationship between subdomains of total physical activity and mortality. Med. Sci. Sports Exerc. 2008, 40, 1909–1915. [Google Scholar] [CrossRef] [PubMed]




| Variables | LPA | MVPA |
|---|---|---|
| HPA | Preparing food, cleaning afterwards, washing clothes and putting them in order, shopping, feeding pets, arranging and managing family affairs (planning a party, decorating the room, planning a trip, making a shopping list, and searching investment information) | Cleaning up the house and the surroundings, house decorating, maintenance, and do-it-yourself repairs |
| SPE | Walking, jogging, practicing Tai Chi | Mountain climbing, long-distance running, practicing kinds of Kung Fu, dancing, aerobics, yoga, playing ball games, swimming, diving, rowing, sailing and other kinds of watersports, winter sports, wrestling, judo, boxing, and other kinds of sports with physical contact |
| Variables | HPA per Day | ||||
|---|---|---|---|---|---|
| Total | 0 h | 0–1 h | 1–3 h | ≥3 h | |
| Population | |||||
| Persons, n | 30,791 | 7328 | 9060 | 10,628 | 3775 |
| All-cause death, n | 1649 | 564 | 383 | 512 | 190 |
| CVD | 209 | 72 | 44 | 60 | 33 |
| RESP | 123 | 43 | 33 | 34 | 13 |
| Cancer | 323 | 97 | 75 | 112 | 39 |
| Demographic characteristics | |||||
| Age, years | 45.6 ± 16.3 | 41.2 ± 18.3 | 42.9 ± 15.9 | 48.6 ± 14.5 | 52.5 ± 13.6 |
| Male sex, % | 48.6 | 77.7 | 58.0 | 30.8 | 19.4 |
| Han ethnicity, % | 91.7 | 93.4 | 92.3 | 90.3 | 90.6 |
| Married, % | 80.7 | 68.0 | 79.7 | 87.4 | 88.8 |
| Urban, % | 43.7 | 45.4 | 48.0 | 40.9 | 38.2 |
| North, % | 55.7 | 58.0 | 55.4 | 53.7 | 57.4 |
| Education attainment, % | |||||
| Illiteracy | 24.1 | 15.4 | 17.6 | 30.7 | 38.0 |
| 1–9 years | 53.4 | 51.9 | 53.7 | 54.8 | 51.4 |
| >9 years | 22.5 | 32.6 | 28.7 | 14.5 | 10.6 |
| Annual household income, % | |||||
| Low | 28.7 | 23.9 | 27.1 | 31.4 | 33.8 |
| Medium | 43.0 | 44.2 | 42.5 | 43.4 | 40.4 |
| High | 28.4 | 31.9 | 30.4 | 25.2 | 25.8 |
| Employment status, % | |||||
| Current | 50.6 | 54.1 | 59.5 | 49.4 | 25.3 |
| Former | 29.1 | 22.6 | 23.9 | 32.4 | 45.4 |
| Never | 20.3 | 23.3 | 16.6 | 18.3 | 29.3 |
| Behavioral factors | |||||
| Smoking status, % | |||||
| Current | 30.4 | 45.3 | 35.5 | 21.2 | 15.2 |
| Former | 6.3 | 8.6 | 7.4 | 4.7 | 3.5 |
| Never | 63.3 | 46.1 | 57.1 | 74.1 | 81.3 |
| Alcohol consumption, % | |||||
| Current | 16.1 | 22.3 | 19.4 | 11.8 | 8.1 |
| Former | 4.6 | 6.3 | 4.8 | 3.8 | 3.4 |
| Never | 79.3 | 71.4 | 75.9 | 84.4 | 88.5 |
| Nighttime sleep, % | |||||
| <6 h/night | 7.8 | 8.2 | 7.1 | 7.6 | 9.7 |
| 6–8 h/night | 63.3 | 61.3 | 64.4 | 63.7 | 63.2 |
| ≥8 h/night | 28.9 | 30.5 | 28.5 | 28.7 | 27.1 |
| SPE, % | |||||
| 0 min/day | 73.2 | 72.1 | 68.9 | 76.1 | 77.9 |
| 1–60 min/day | 23.2 | 24.2 | 27.3 | 20.5 | 19.0 |
| ≥60 min/day | 3.5 | 3.7 | 3.8 | 3.4 | 3.1 |
| Health status | |||||
| Chronic disease, % | |||||
| Yes | 14.7 | 12.0 | 12.9 | 16.3 | 20.2 |
| No | 85.3 | 88.0 | 87.1 | 83.7 | 79.8 |
| BMI, kg/m2 | |||||
| Underweight | 10.9 | 12.4 | 10.7 | 9.7 | 11.7 |
| Normal | 62.0 | 60.6 | 62.5 | 63.2 | 60.3 |
| Overweight | 27.1 | 27.0 | 26.8 | 27.1 | 28.0 |
| Mortality Outcome | HPA per Day | SPE per Day | |||||
|---|---|---|---|---|---|---|---|
| 0 h | 0–1 h | 1–3 h | ≥3 h | 0 min | 1–60 min | ≥60 min | |
| All-cause | |||||||
| Sex- and age-adjusted | Ref. | 0.52 | 0.46 | 0.39 | Ref. | 0.78 | 0.58 |
| model | (0.45–0.59) | (0.41–0.53) | (0.32–0.46) | (0.69–0.88) | (0.44–0.76) | ||
| Multivariable-adjusted | Ref. | 0.57 | 0.50 | 0.40 | Ref. | 0.91 | 0.57 |
| model a | (0.50–0.66) | (0.44–0.58) | (0.33–0.48) | (0.79–1.04) | (0.42–0.78) | ||
| CVD | |||||||
| Sex- and age-adjusted | Ref. | 0.47 | 0.44 | 0.55 | Ref. | 0.85 | 0.64 |
| model | (0.33–0.69) | (0.31–0.64) | (0.36–0.86) | (0.62–1.78) | (0.32–1.31) | ||
| Multivariable-adjusted | Ref. | 0.58 | 0.50 | 0.51 | Ref. | 0.79 | 0.58 |
| model a | (0.38–0.87) | (0.34–0.74) | (0.31–0.84) | (0.54–1.15) | (0.27–1.22) | ||
| RESP | |||||||
| Sex- and age-adjusted | Ref. | 0.58 | 0.39 | 0.32 | Ref. | 0.91 | 0.40 |
| model | (0.37–0.92) | (0.24–0.63) | (0.17–0.62) | (0.61–1.37) | (0.13–1.25) | ||
| Multivariable-adjusted | Ref. | 0.64 | 0.44 | 0.29 | Ref. | 1.16 | 0.54 |
| model a | (0.39–1.07) | (0.26–0.74) | (0.14–0.63) | (0.72–1.89) | (0.16–1.77) | ||
| Cancer | |||||||
| Sex- and age-adjusted | Ref. | 0.61 | 0.69 | 0.60 | Ref. | 1.00 | 0.44 |
| model | (0.33–0.69) | (0.31–0.64) | (0.36–0.86) | (0.77–1.28) | (0.21–0.94) | ||
| Multivariable-adjusted | Ref. | 0.62 | 0.62 | 0.54 | Ref. | 1.08 | 0.51 |
| model a | (0.45–0.85) | (0.45–0.84) | (0.35–0.83) | (0.81–1.45) | (0.24–1.11) | ||
Disclaimer/Publisher’s Note: The statements, opinions and data contained in all publications are solely those of the individual author(s) and contributor(s) and not of MDPI and/or the editor(s). MDPI and/or the editor(s) disclaim responsibility for any injury to people or property resulting from any ideas, methods, instructions or products referred to in the content. |
© 2023 by the authors. Licensee MDPI, Basel, Switzerland. This article is an open access article distributed under the terms and conditions of the Creative Commons Attribution (CC BY) license (https://creativecommons.org/licenses/by/4.0/).
Share and Cite
Hu, L.; Wang, L.; Zhang, Y.; Wang, K.; Wang, Y.; Tan, H.; Zhang, Y. Participation in Household Physical Activity Lowers Mortality Risk in Chinese Women and Men. Int. J. Environ. Res. Public Health 2023, 20, 987. https://doi.org/10.3390/ijerph20020987
Hu L, Wang L, Zhang Y, Wang K, Wang Y, Tan H, Zhang Y. Participation in Household Physical Activity Lowers Mortality Risk in Chinese Women and Men. International Journal of Environmental Research and Public Health. 2023; 20(2):987. https://doi.org/10.3390/ijerph20020987
Chicago/Turabian StyleHu, Lan, Lu Wang, Yunquan Zhang, Ke Wang, Yaqi Wang, Huiyue Tan, and Yin Zhang. 2023. "Participation in Household Physical Activity Lowers Mortality Risk in Chinese Women and Men" International Journal of Environmental Research and Public Health 20, no. 2: 987. https://doi.org/10.3390/ijerph20020987
APA StyleHu, L., Wang, L., Zhang, Y., Wang, K., Wang, Y., Tan, H., & Zhang, Y. (2023). Participation in Household Physical Activity Lowers Mortality Risk in Chinese Women and Men. International Journal of Environmental Research and Public Health, 20(2), 987. https://doi.org/10.3390/ijerph20020987

