Bayesian Approach to Disease Risk Evaluation Based on Air Pollution and Weather Conditions
Abstract
1. Introduction
2. Materials and Methods
2.1. Data Source and Participants
2.2. Study Design and Statistical Analysis
3. Results
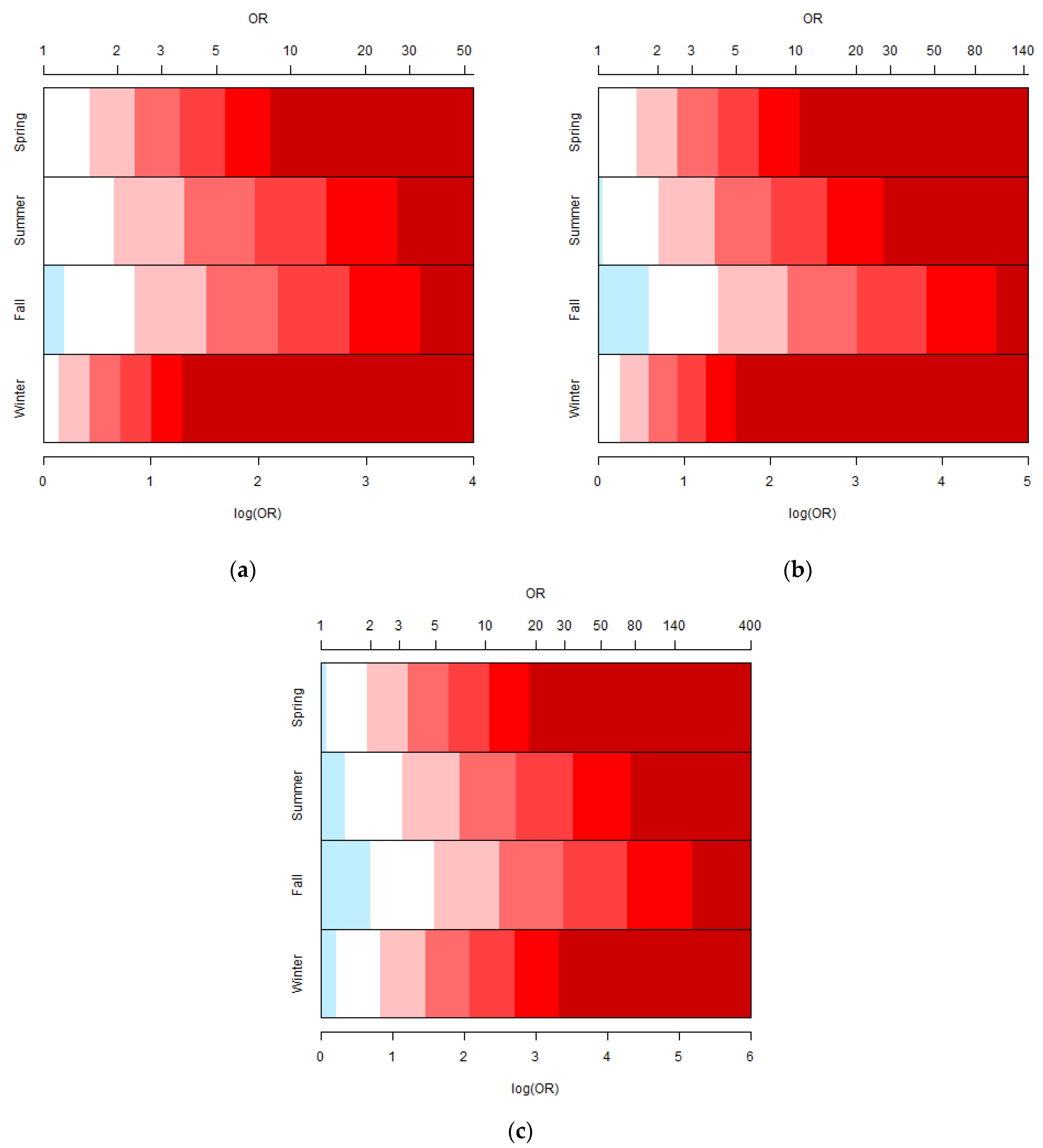
3.1. Bayesian Conditional Logistic Regression
3.2. Risk Prediction and Disease Risk Alert
4. Discussion
5. Conclusions
Author Contributions
Funding
Institutional Review Board Statement
Informed Consent Statement
Data Availability Statement
Conflicts of Interest
References
- World Health Organization. Review of Evidence on Health Aspects of Air Pollution: REVIHAAP Project: Technical Report; World Health Organization Regional Office for Europe: Copenhagen, Denmark, 2021.
- Forouzanfar, M.H.; Alexander, L.; Anderson, H.R.; Bachman, V.F.; Biryukov, S.; Brauer, M.; Burnett, R.; Casey, D.; Coates, M.M.; Cohen, A.; et al. Global, Regional, and National Comparative Risk Assessment of 79 Behavioural, Environmental and Occupational, and Metabolic Risks or Clusters of Risks in 188 Countries, 1990–2013: A Systematic Analysis for the Global Burden of Disease Study 2013. Lancet 2015, 386, 2287–2323. [Google Scholar] [CrossRef] [PubMed]
- Nuvolone, D.; Petri, D.; Voller, F. The Effects of Ozone on Human Health. Environ. Sci. Pollut. Res. 2018, 25, 8074–8088. [Google Scholar] [CrossRef]
- Requia, W.J.; Adams, M.D.; Arain, A.; Papatheodorou, S.; Koutrakis, P.; Mahmoud, M. Global Association of Air Pollution and Cardiorespiratory Diseases: A Systematic Review, Meta-Analysis, and Investigation of Modifier Variables. Am. J. Public Health 2018, 108, S123–S130. [Google Scholar] [CrossRef] [PubMed]
- Lozano, R.; Naghavi, M.; Foreman, K.; Lim, S.; Shibuya, K.; Aboyans, V.; Abraham, J.; Adair, T.; Aggarwal, R.; Ahn, S.Y.; et al. Global and Regional Mortality from 235 Causes of Death for 20 Age Groups in 1990 and 2010: A Systematic Analysis for the Global Burden of Disease Study 2010. Lancet 2012, 380, 2095–2128. [Google Scholar] [CrossRef] [PubMed]
- Turner, M.C.; Jerrett, M.; Pope, C.A.; Krewski, D.; Gapstur, S.M.; Diver, W.R.; Beckerman, B.S.; Marshall, J.D.; Su, J.; Crouse, D.L.; et al. Long-Term Ozone Exposure and Mortality in a Large Prospective Study. Am. J. Respir. Crit. Care Med. 2016, 193, 1134–1142. [Google Scholar] [CrossRef]
- Burnett, R.; Chen, H.; Szyszkowicz, M.; Fann, N.; Hubbell, B.; Pope, C.A.; Apte, J.S.; Brauer, M.; Cohen, A.; Weichenthal, S.; et al. Global Estimates of Mortality Associated with Long-Term Exposure to Outdoor Fine Particulate Matter. Proc. Natl. Acad. Sci. USA 2018, 115, 9592–9597. [Google Scholar] [CrossRef]
- Lin, Y.-K.; Chang, C.-K.; Li, M.-H.; Wu, Y.-C.; Wang, Y.-C. High-Temperature Indices Associated with Mortality and Outpatient Visits: Characterizing the Association with Elevated Temperature. Sci. Total Environ. 2012, 427–428, 41–49. [Google Scholar] [CrossRef]
- Sung, T.-I.; Wu, P.-C.; Lung, S.-C.; Lin, C.-Y.; Chen, M.-J.; Su, H.-J. Relationship between Heat Index and Mortality of 6 Major Cities in Taiwan. Sci. Total Environ. 2013, 442, 275–281. [Google Scholar] [CrossRef]
- Liu, C.; Yavar, Z.; Sun, Q. Cardiovascular Response to Thermoregulatory Challenges. Am. J. Physiol. 2015, 309, H1793–H1812. [Google Scholar] [CrossRef]
- Moghadamnia, M.T.; Ardalan, A.; Mesdaghinia, A.; Keshtkar, A.; Naddafi, K.; Yekaninejad, M.S. Ambient Temperature and Cardiovascular Mortality: A Systematic Review and Meta-Analysis. PeerJ 2017, 5, e3574. [Google Scholar] [CrossRef]
- Lin, S.; Luo, M.; Walker, R.J.; Liu, X.; Hwang, S.-A.; Chinery, R. Extreme High Temperatures and Hospital Admissions for Respiratory and Cardiovascular Diseases. Epidemiology 2009, 20, 738–746. [Google Scholar] [CrossRef]
- Li, M.; Shaw, B.A.; Zhang, W.; Vásquez, E.; Lin, S. Impact of Extremely Hot Days on Emergency Department Visits for Cardiovascular Disease among Older Adults in New York State. Int. J. Environ. Res. Public Health 2019, 16, 2119. [Google Scholar] [CrossRef] [PubMed]
- Wang, Y.-C.; Lin, Y.-K.; Chuang, C.-Y.; Li, M.-H.; Chou, C.-H.; Liao, C.-H.; Sung, F.-C. Associating Emergency Room Visits with First and Prolonged Extreme Temperature Event in Taiwan: A Population-Based Cohort Study. Sci. Total Environ. 2012, 416, 97–104. [Google Scholar] [CrossRef] [PubMed]
- Kouis, P.; Kakkoura, M.; Ziogas, K.; Paschalidou, A.Κ.; Papatheodorou, S.I. The Effect of Ambient Air Temperature on Cardiovascular and Respiratory Mortality in Thessaloniki, Greece. Sci. Total Environ. 2019, 647, 1351–1358. [Google Scholar] [CrossRef] [PubMed]
- Romshoo, S.A.; Bhat, M.A.; Beig, G. Particulate Pollution over an Urban Himalayan Site: Temporal Variability, Impact of Meteorology and Potential Source Regions. Sci. Total Environ. 2021, 799, 149364. [Google Scholar] [CrossRef] [PubMed]
- Rocque, R.J.; Beaudoin, C.; Ndjaboue, R.; Cameron, L.; Poirier-Bergeron, L.; Poulin-Rheault, R.-A.; Fallon, C.; Tricco, A.C.; Witteman, H.O. Health Effects of Climate Change: An Overview of Systematic Reviews. BMJ Open 2021, 11, e046333. [Google Scholar] [CrossRef]
- Bozigar, M.; Lawson, A.B.; Pearce, J.L.; Svendsen, E.R.; Vena, J.E. Using Bayesian Time-Stratified Case-Crossover Models to Examine Associations between Air Pollution and “Asthma Seasons” in a Low Air Pollution Environment. PLoS ONE 2021, 16, e0260264. [Google Scholar] [CrossRef]
- Stringer, A.; Brown, P.; Stafford, J. Approximate Bayesian Inference for Case-Crossover Models. Biometrics 2021, 77, 785–795. [Google Scholar] [CrossRef]
- Zhao, B.; Johnston, F.H.; Salimi, F.; Kurabayashi, M.; Negishi, K. Short-Term Exposure to Ambient Fine Particulate Matter and out-of-Hospital Cardiac Arrest: A Nationwide Case-Crossover Study in Japan. Lancet Planet. Health 2020, 4, e15–e23. [Google Scholar] [CrossRef]
- Janes, H.; Sheppard, L.; Lumley, T. Case–Crossover Analyses of Air Pollution Exposure Data: Referent Selection Strategies and Their Implications for Bias. Epidemiology 2005, 16, 717–726. [Google Scholar] [CrossRef]
- Ho, A.F.W.; Zheng, H.; Earnest, A.; Cheong, K.H.; Pek, P.P.; Seok, J.Y.; Liu, N.; Kwan, Y.H.; Tan, J.W.C.; Wong, T.H.; et al. Time-Stratified Case Crossover Study of the Association of Outdoor Ambient Air Pollution With the Risk of Acute Myocardial Infarction in the Context of Seasonal Exposure to the Southeast Asian Haze Problem. J. Am. Heart Assoc. 2019, 8, e011272. [Google Scholar] [CrossRef] [PubMed]
- Lin, M.-H.; Yang, A.-C.; Wen, T.-H. Using Regional Differences and Demographic Characteristics to Evaluate the Principles of Estimation of the Residence of the Population in National Health Insurance Research Databases (NHIRD). Taiwan J. Public Health 2011, 30, 347–361. [Google Scholar]
- Hong, C.; Zhang, Q.; Zhang, Y.; Davis, S.J.; Tong, D.; Zheng, Y.; Liu, Z.; Guan, D.; He, K.; Schellnhuber, H.J. Impacts of climate change on future air quality and human health in China. Proc. Natl. Acad. Sci. USA 2019, 116, 17193–17200. [Google Scholar] [CrossRef] [PubMed]
- Civan, M.Y.; Elbir, T.; Seyfioglu, R.; Kuntasal, Ö.O.; Bayram, A.; Doğan, G.; Yurdakul, S.; Andiç, Ö.; Müezzinoğlu, A.; Sofuoglu, S.C.; et al. Spatial and temporal variations in atmospheric VOCs, NO2, SO2, and O3 concentrations at a heavily industrialized region in Western Turkey, and assessment of the carcinogenic risk levels of benzene. Atmos. Environ. 2015, 103, 102–113. [Google Scholar] [CrossRef]


| Northern Taiwan | Central and Southern Taiwan | Eastern Taiwan | |
|---|---|---|---|
| min T 1 (day 0) × Spring | −0.1614 (−0.2177, −0.1052) | −0.1900 (−0.2549, −0.1251) | −0.3565 (−0.5351, −0.1779) |
| min T (day 0) × Summer | −0.2926 (−0.3953, −0.1899) | −0.2565 (−0.3559, −0.1571) | −0.7155 (−1.1067, −0.3243) |
| min T (day 0) × Autumn | 0.4083 (0.3177, 0.4989) | 0.4596 (0.3526, 0.5666) | 0.5833 (0.3013, 0.8653) |
| min T (day 0) × Winter | 0.1400 (0.0759, 0.2041) | 0.0715 (0.0127, 0.1303) | 0.1372 (−0.0506, 0.3250) |
| min T (day −3) × Spring | −0.1398 (−0.1780, −0.1016) | −0.1624 (−0.2171, −0.1077) | −0.2659 (−0.3923, −0.1395) |
| min T (day −3) × Summer | −0.5068 (−0.6105, −0.4031) | −0.4784 (−0.5825, −0.3743) | −0.5966 (−0.8973, −0.2959) |
| min T (day −3) × Autumn | 0.3747 (0.3063, 0.4431) | 0.4635 (0.3698, 0.5572) | 0.6308 (0.3768, 0.8848) |
| min T (day −3) × Winter | 0.1011 (0.0629, 0.1393) | 0.1557 (0.1081, 0.2033) | 0.1883 (0.0607, 0.3159) |
| max T 2 (day 0) × Spring | 0.0109 (−0.0259, 0.0477) | −0.0059 (−0.0596, 0.0478) | 0.1459 (0.0350, 0.2568) |
| max T (day 0) × Summer | −0.2289 (−0.3157, −0.1421) | −0.2559 (−0.3457, −0.1661) | −0.1028 (−0.3210, 0.1153) |
| max T (day 0) × Autumn | 0.0319 (−0.0324, 0.0962) | 0.1733 (0.0920, 0.2546) | 0.0898 (−0.0991, 0.2787) |
| max T (day 0) × Winter | −0.0192 (−0.0584, 0.0200) | 0.0702 (0.0275, 0.1129) | 0.2019 (0.0894, 0.3144) |
| max T (day −1) × Spring | −0.0116 (−0.0398, 0.0166) | 0.0147 (−0.0302, 0.0596) | --- |
| max T (day −1) × Summer | −0.0031 (−0.0678, 0.0616) | −0.0856 (−0.1509, −0.0203) | --- |
| max T (day −1) × Autumn | −0.0759 (−0.1316, −0.0202) | 0.0356 (−0.0332, 0.1044) | --- |
| max T (day −1) × Winter | −0.0042 (−0.0354, 0.0267) | −0.0194 (−0.0578, 0.0190) | --- |
| ave RH 3 (day 0) × Spring | 0.0074 (−0.0030, 0.0178) | 0.0047 (−0.0110, 0.0204) | --- |
| ave RH (day 0) × Summer | −0.0959 (−0.1210, −0.0708) | −0.0875 (−0.1161, −0.0589) | --- |
| ave RH (day 0) × Autumn | −0.0043 (−0.0190, 0.0104) | −0.0208 (−0.0445, 0.0029) | --- |
| ave RH (day 0) × Winter | −0.0242 (−0.0365, −0.0119) | −0.0300 (−0.0449, −0.0151) | --- |
| max RH 4 (day 0) × Spring | --- | --- | 0.0764 (0.0231, 0.1297) |
| max RH (day 0) × Summer | --- | --- | −0.1703 (−0.2822, −0.0584) |
| max RH (day 0) × Autumn | --- | --- | −0.0520 (−0.1077, 0.0037) |
| max RH (day 0) × Winter | --- | --- | −0.0688 (−0.1235, −0.0141) |
| max RH (day −3) × Spring | −0.0090 (−0.0223, 0.0043) | 0.0167 (−0.0015, 0.0349) | 0.0353 (−0.0143, 0.0849) |
| max RH (day −3) × Summer | −0.0605 (−0.0840, −0.0370) | −0.1057 (−0.1378, −0.0736) | −0.065 (−0.1575, 0.0275) |
| max RH (day −3) × Autumn | 0.0119 (−0.0040, 0.0278) | −0.0523 (−0.0786, −0.0260) | −0.0951 (−0.1594, −0.0308) |
| max RH (day −3) × Winter | −0.0088 (−0.0229, 0.0053) | −0.0374 (−0.0548, −0.0200) | 0.0095 (−0.0399, 0.0589) |
| average O3 (day 0) | --- | −0.0037 (−0.0068, −0.0006) | --- |
| (N = 4439, DIC = 5236) | (N = 5195, DIC = 5795) | (N = 693, DIC = 731.1) |
| Northern Taiwan | Central and Southern Taiwan | Eastern Taiwan | ||||
|---|---|---|---|---|---|---|
| Median | SE | Median | SE | Median | SE | |
| Spring | 1.5329 | 2.3098 | 1.5566 | 2.5703 | 1.8843 | 3.1068 |
| Summer | 1.9162 | 3.7221 | 2.0181 | 3.6877 | 3.0837 | 4.8922 |
| Autumn | 2.3354 | 3.7628 | 4.0192 | 5.0102 | 4.8566 | 5.9859 |
| Winter | 1.1493 | 1.7685 | 1.2818 | 1.9528 | 2.2779 | 3.4737 |
Disclaimer/Publisher’s Note: The statements, opinions and data contained in all publications are solely those of the individual author(s) and contributor(s) and not of MDPI and/or the editor(s). MDPI and/or the editor(s) disclaim responsibility for any injury to people or property resulting from any ideas, methods, instructions or products referred to in the content. |
© 2023 by the authors. Licensee MDPI, Basel, Switzerland. This article is an open access article distributed under the terms and conditions of the Creative Commons Attribution (CC BY) license (https://creativecommons.org/licenses/by/4.0/).
Share and Cite
Wang, C.; Lin, S.-J.; Hsiao, C.K.; Lu, K.-C. Bayesian Approach to Disease Risk Evaluation Based on Air Pollution and Weather Conditions. Int. J. Environ. Res. Public Health 2023, 20, 1039. https://doi.org/10.3390/ijerph20021039
Wang C, Lin S-J, Hsiao CK, Lu K-C. Bayesian Approach to Disease Risk Evaluation Based on Air Pollution and Weather Conditions. International Journal of Environmental Research and Public Health. 2023; 20(2):1039. https://doi.org/10.3390/ijerph20021039
Chicago/Turabian StyleWang, Charlotte, Shu-Ju Lin, Chuhsing Kate Hsiao, and Kuo-Chen Lu. 2023. "Bayesian Approach to Disease Risk Evaluation Based on Air Pollution and Weather Conditions" International Journal of Environmental Research and Public Health 20, no. 2: 1039. https://doi.org/10.3390/ijerph20021039
APA StyleWang, C., Lin, S.-J., Hsiao, C. K., & Lu, K.-C. (2023). Bayesian Approach to Disease Risk Evaluation Based on Air Pollution and Weather Conditions. International Journal of Environmental Research and Public Health, 20(2), 1039. https://doi.org/10.3390/ijerph20021039

