Healthcare Expenditures among the Elderly in China: The Role of Catastrophic Medical Insurance
Abstract
1. Introduction
2. Literature Review and Research Hypothesis
2.1. Literature Review
2.2. Research Hypothesis
2.2.1. Predisposing Characteristics
2.2.2. Enabling Resources
2.2.3. Need
3. Data, Measures, and Identification Strategy
3.1. Data Source
3.2. Measures
3.2.1. Healthcare Expenditures
3.2.2. Catastrophic Medical Insurance (CMI)
3.2.3. Covariates
3.3. Identification Strategies
3.3.1. Difference-in-Differences Regression Model
3.3.2. Fixed-Effects Model
4. Results
4.1. Characteristics of the Respondents
4.2. The Impact of CMI on the Healthcare Expenditures among the Elderly
4.3. The Heterogeneity of Impact of CMI on Healthcare Expenditures
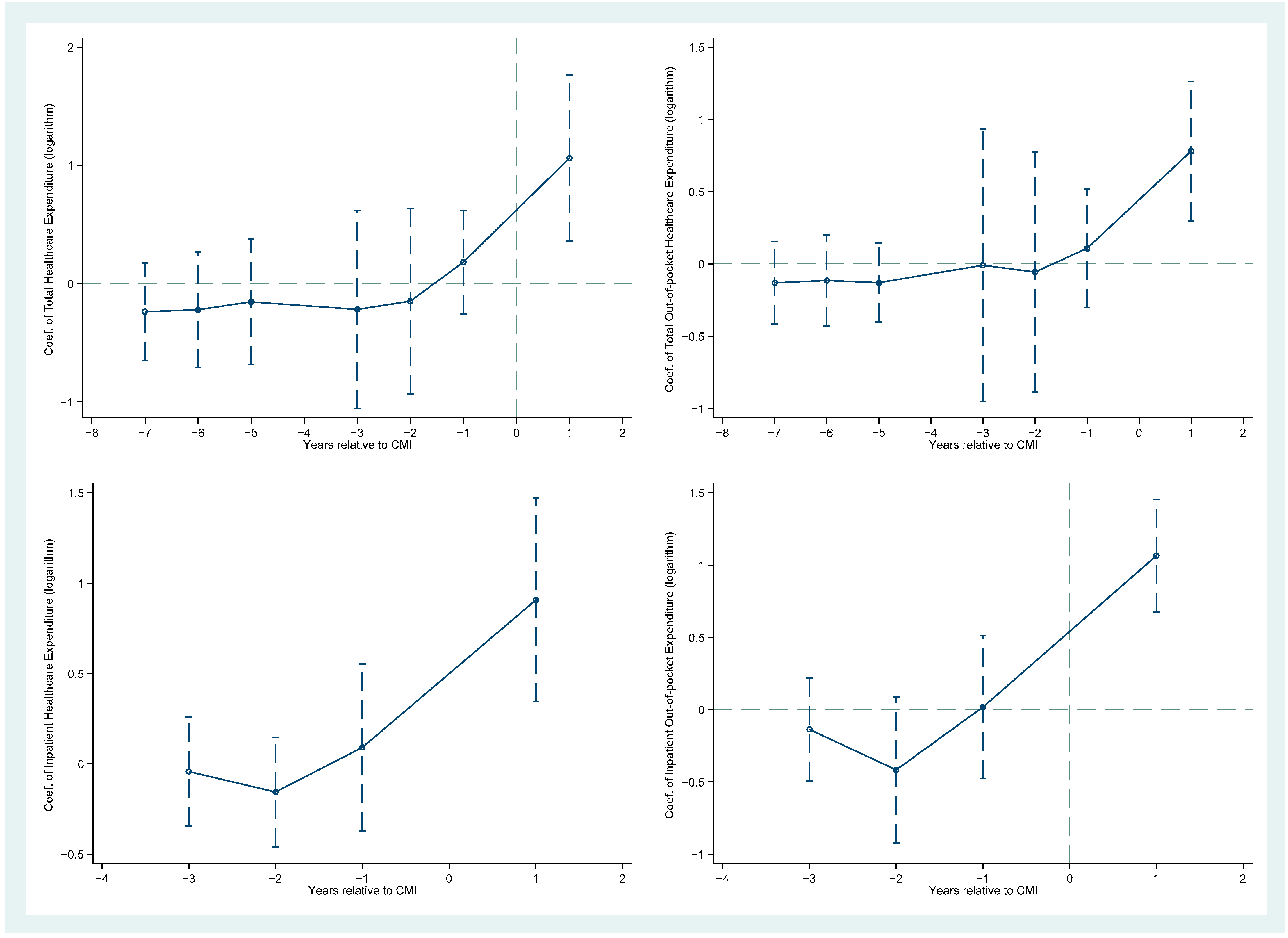
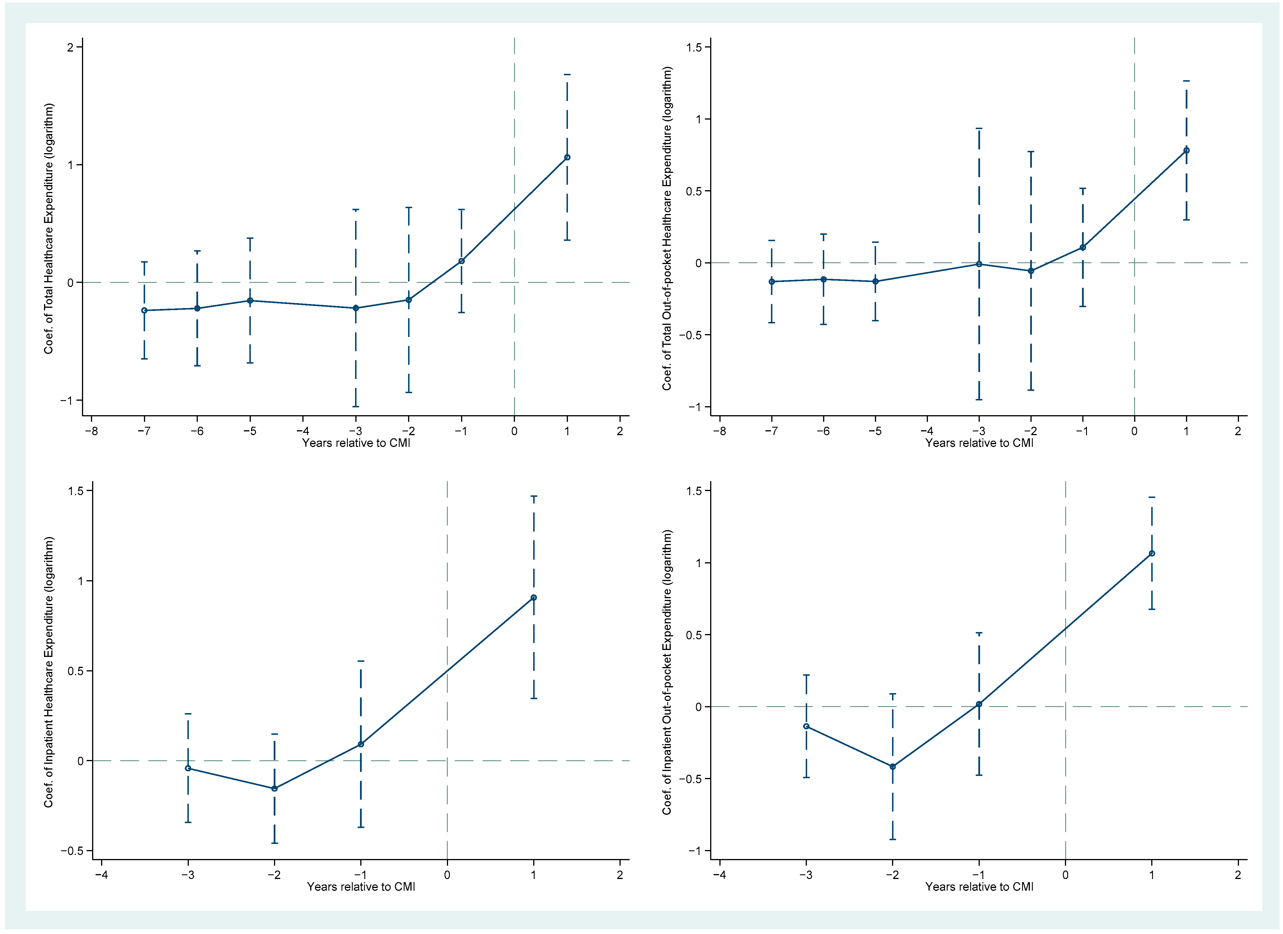
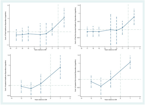
4.4. The Robustness Check of Results
5. Discussion
6. Conclusions
Supplementary Materials
Author Contributions
Funding
Institutional Review Board Statement
Informed Consent Statement
Data Availability Statement
Acknowledgments
Conflicts of Interest
Appendix A


| (1) | (2) | (3) | (4) | |
|---|---|---|---|---|
| Total Healthcare Expenditure | Total Out-of-Pocket Healthcare Expenditure | Inpatient Healthcare Expenditure | Inpatient Out-of-Pocket Expenditure | |
| year = 2008 | 231.79 | 70.89 | - | - |
| (291.50) | (140.69) | - | - | |
| year = 2012 | 92.47 | 47.53 | 72.41 | 341.91 |
| (499.86) | (287.71) | (371.69) | (216.60) |


References
- Meng, Q.; Fang, H.; Liu, X.; Yuan, B.; Xu, J. Consolidating the Social Health Insurance Schemes in China: Towards an Equitable and Efficient Health System. Lancet 2015, 386, 1484–1492. [Google Scholar] [CrossRef]
- Yip, W.C.-M.; Hsiao, W.C.; Chen, W.; Hu, S.; Ma, J.; Maynard, A. Early Appraisal of China’s Huge and Complex Health Care Reforms. In Health Care Policy in East Asia: A World Scientific Reference; World Scientific Series in Global Health Economics and Public Policy; World Scientific: Singapore, 2019; pp. 51–83. ISBN 978-981-323-317-1. [Google Scholar]
- Cheng, T.-M. Early Results of China’s Historic Health Reforms: The View from Minister Chen Zhu. Health Aff. 2012, 31, 2536–2544. [Google Scholar] [CrossRef][Green Version]
- Wang, H.; Yip, W.; Zhang, L.; Hsiao, W.C. The Impact of Rural Mutual Health Care on Health Status: Evaluation of a Social Experiment in Rural China. Health Econ. 2009, 18, S65–S82. [Google Scholar] [CrossRef] [PubMed]
- Li, C.; Yu, X.; Butler, J.R.G.; Yiengprugsawan, V.; Yu, M. Moving towards Universal Health Insurance in China: Performance, Issues and Lessons from Thailand. Soc. Sci. Med. 2011, 73, 359–366. [Google Scholar] [CrossRef]
- Li, Y.; Wu, Q.; Xu, L.; Legge, D.; Hao, Y.; Gao, L.; Ning, N.; Wan, G. Factors Affecting Catastrophic Health Expenditure and Impoverishment from Medical Expenses in China: Policy Implications of Universal Health Insurance. Bull. World Health Organ. 2012, 90, 664–671. [Google Scholar] [CrossRef]
- Zeng, Y.; Li, J.; Yuan, Z.; Fang, Y. The Effect of China’s New Cooperative Medical Scheme on Health Expenditures among the Rural Elderly. Int. J. Equity Health 2019, 18, 27. [Google Scholar] [CrossRef]
- Zhang, L.; Cheng, X.; Tolhurst, R.; Tang, S.; Liu, X. How Effectively Can the New Cooperative Medical Scheme Reduce Catastrophic Health Expenditure for the Poor and Non-Poor in Rural China? Trop. Med. Int. Health 2010, 15, 468–475. [Google Scholar] [CrossRef][Green Version]
- Ministry of Finance of the People’s Republic of China Guiding Opinions on Developing Catastrophic Medical Insurance for Urban and Rural Residents. Available online: http://www.mof.gov.cn/zhengwuxinxi/zhengcefabu/201208/t20120831_679663.htm (accessed on 29 April 2022).
- Fang, H.; Eggleston, K.; Hanson, K.; Wu, M. Enhancing Financial Protection under China’s Social Health Insurance to Achieve Universal Health Coverage. BMJ 2019, 365, l2378. [Google Scholar] [CrossRef]
- Li, H.; Jiang, L. Catastrophic Medical Insurance in China. Lancet 2017, 390, 1724–1725. [Google Scholar] [CrossRef]
- The State Council Information Office of the People’s Republic of China. The Average Reimbursement Rate of Insured Patients with Catastrophic Medical Insurance Increased by 14 Percentage Points. Available online: http://www.scio.gov.cn/32344/32345/42294/44481/zy44485/Document/1694718/1694718.htm (accessed on 29 April 2022).
- Liu, P.; Jiang, L.; Li, C.; Sun, M.; Rieger, A.; Hao, M. How to Deal with Burden of Critical Illness: A Comparison of Strategies in Different Areas of China. Pak. J. Med. Sci. 2014, 30, 659. [Google Scholar] [CrossRef] [PubMed]
- Wang, W. Discussion on Financing Mechanism and Reimbursing Policy of Critical Illness Insurance: Based on the Conparison of Pilot Schemes from 25 Provinces of China. J. Cent. China Norm. Univ. 2014, 53, 16–22. [Google Scholar]
- Zhu, M.; Yu, X.; Wang, M.; Xiong, X. Evaluation of China’s Household Catastrophic Health Expenditure and Reimbursement Modes of Critical Illness Insurance. Econ. Res. J. 2017, 52, 133–149. [Google Scholar]
- Li, Y.; Duan, G.; Xiong, L. Research on the Design of Serious Illness Insurance Scheme in Shanghai Based on Micro-Simulation. BMC Health Serv. Res. 2022, 22, 392. [Google Scholar] [CrossRef] [PubMed]
- Zhang, Y.; Vanneste, J.; Xu, J.; Liu, X. Critical Illness Insurance to Alleviate Catastrophic Health Expenditures: New Evidence from China. Int. J. Health Econ. Manag. 2019, 19, 193–212. [Google Scholar] [CrossRef] [PubMed]
- Zhang, Y.; Guan, Y.; Hu, D.; Vanneste, J.; Zhu, D. The Basic vs. Ability-to-Pay Approach: Evidence from China’s Critical Illness Insurance on Whether Different Measurements of Catastrophic Health Expenditure Matter. Front. Public Health 2021, 9, 646810. [Google Scholar] [CrossRef]
- Zhang, Y.; Hu, D.; Guan, Y.; Vanneste, J. Individual vs Household: How Do Different Calculation Patterns of Catastrophic Health Expenditure Matter? New Evidence from China’s Critical Illness Insurance Programme. Int. J. Health Plan. Manag. 2020, 35, 185–206. [Google Scholar] [CrossRef]
- Li, H.; Gao, J. Analysis on the Effect Difference of Catastrophic Medical Insurance for Urban and Rural Residents to Cure Poverty Caused by Disease. Soc. Sci. J. 2018, 6, 124–141. [Google Scholar]
- Zheng, L.; Peng, L. Effect of Major Illness Insurance on Vulnerability to Poverty: Evidence from China. Front. Public Health 2021, 9, 791817. [Google Scholar] [CrossRef]
- Li, L.; Jiang, J.; Xiang, L.; Wang, X.; Zeng, L.; Zhong, Z. Impact of Critical Illness Insurance on the Burden of High-Cost Rural Residents in Central China: An Interrupted Time Series Study. Int. J. Environ. Res. Public Health 2019, 16, 3528. [Google Scholar] [CrossRef]
- Jiang, J.; Chen, S.; Xin, Y.; Wang, X.; Zeng, L.; Zhong, Z.; Xiang, L. Does the Critical Illness Insurance Reduce Patients’ Financial Burden and Benefit the Poor More: A Comprehensive Evaluation in Rural Area of China. J. Med. Econ. 2019, 22, 455–463. [Google Scholar] [CrossRef]
- Zhao, S.; Zhang, X.; Dai, W.; Ding, Y.; Chen, J.; Fang, P. Effect of the Catastrophic Medical Insurance on Household Catastrophic Health Expenditure: Evidence from China. Gac. Sanit. 2021, 34, 370–376. [Google Scholar] [CrossRef] [PubMed]
- Fang, P.; Pan, Z.; Zhang, X.; Bai, X.; Gong, Y.; Yin, X. The Effect of Critical Illness Insurance in China. Medicine 2018, 97, e11362. [Google Scholar] [CrossRef] [PubMed]
- Li, A.; Shi, Y.; Yang, X.; Wang, Z. Effect of Critical Illness Insurance on Household Catastrophic Health Expenditure: The Latest Evidence from the National Health Service Survey in China. Int. J. Environ. Res. Public Health 2019, 16, 5086. [Google Scholar] [CrossRef] [PubMed]
- Zhong, Z.; Jiang, J.; Chen, S.; Li, L.; Xiang, L. Effect of Critical Illness Insurance on the Medical Expenditures of Rural Patients in China: An Interrupted Time Series Study for Universal Health Insurance Coverage. BMJ Open 2021, 11, e036858. [Google Scholar] [CrossRef] [PubMed]
- Li, Y.; Duan, G.; Xiong, L. Analysis of the Effect of Serious Illness Medical Insurance on Relieving the Economic Burden of Rural Residents in China: A Case Study in Jinzhai County. BMC Health Serv. Res. 2020, 20, 809. [Google Scholar] [CrossRef]
- Yu, M.; Zhong, J.; Hu, R.; Chen, X.; Wang, C.; Xie, K.; Guzman, M.; Gui, X.; Kong, S.T.-J.; Qu, T.; et al. The Impact of Catastrophic Medical Insurance in China: A Five-Year Patient-Level Panel Study. Lancet Reg. Health West. Pac. 2021, 13, 100174. [Google Scholar] [CrossRef]
- Zhao, W. Does Health Insurance Promote People’s Consumption? New Evidence from China. China Econ. Rev. 2019, 53, 65–86. [Google Scholar] [CrossRef]
- Xu, X.; Gu, H. The Impact of Catastrophic Medical Insurance on Healthcare Utilization and Health of Middle-age and the Elderly—An Emperical study Based on CHARLS data. Popul. Dev. 2022, 28, 16–29. [Google Scholar]
- Zhao, W. Does New Rural Cooperative Medical Insurance Improve the Health of Rural Residents? J. Financ. Econ. 2020, 46, 141–154. [Google Scholar] [CrossRef]
- Huang, J.; Fu, H. The Impact of Supplemental Health Insurance on the Mortality Rate of the Elderly: Evidence from Critical Illness Insurance. J. World Econ. 2021, 44, 179–200. [Google Scholar] [CrossRef]
- Seshamani, M.; Gray, A.M. A Longitudinal Study of the Effects of Age and Time to Death on Hospital Costs. J. Health Econ. 2004, 23, 217–235. [Google Scholar] [CrossRef]
- Su, D.; Zhang, X.; He, K.; Chen, Y. Use of Machine Learning Approach to Predict Depression in the Elderly in China: A Longitudinal Study. J. Affect. Disord. 2021, 282, 289–298. [Google Scholar] [CrossRef]
- National Bureau of Statistics Seventh National Census Communique (No. 7). Available online: http://www.stats.gov.cn/tjsj/zxfb/202105/t20210510_1817183.html (accessed on 29 April 2022).
- Ringel, J.S.; Hosek, S.D.; Vollaard, B.A.; Mahnovski, S. The Elasticity of Demand for Health Care. A Review of the Literature and Its Application to the Military Health System; RAND Health National Defense Research Institute: Santa Monica, CA, USA, 2002. [Google Scholar]
- Cheng, L.; Zhang, Y. The New Rural Cooperative Medical Scheme: Financial Protection or Health Improvement? Econ. Res. J. 2012, 47, 120–133. [Google Scholar]
- Andersen, R.; Newman, J.F. Societal and Individual Determinants of Medical Care Utilization in the United States. Milbank Meml. Fund Q. Health Soc. 1973, 51, 95–124. [Google Scholar] [CrossRef]
- Manning, W.G.; Newhouse, J.P.; Duan, N.; Keeler, E.B.; Leibowitz, A. Health Insurance and the Demand for Medical Care: Evidence from a Randomized Experiment. Am. Econ. Rev. 1987, 77, 251–277. [Google Scholar]
- Finkelstein, A.; Taubman, S.; Wright, B.; Bernstein, M.; Gruber, J.; Newhouse, J.P.; Allen, H.; Baicker, K.; Group, O.H.S. The Oregon Health Insurance Experiment: Evidence from the First Year. Q. J. Econ. 2012, 127, 1057–1106. [Google Scholar] [CrossRef]
- Mocan, H.N.; Tekin, E.; Zax, J.S. The Demand for Medical Care in Urban China. World Dev. 2004, 32, 289–304. [Google Scholar] [CrossRef]
- Center for Healthy Aging and Development Studies. The Chinese Longitudinal Healthy Longevity Survey (CLHLS)-Longitudinal Data (1998–2018); Peking University Open Research Data Platform: Beijing, China, 2020; Volume 21. [Google Scholar]
- Gong, C.H.; Kendig, H.; He, X. Factors Predicting Health Services Use among Older People in China: An Analysis of the China Health and Retirement Longitudinal Study 2013. BMC Health Serv. Res. 2016, 16, 63. [Google Scholar] [CrossRef]
- Zhang, S.; Chen, Q.; Zhang, B. Understanding Healthcare Utilization in China Through the Andersen Behavioral Model: Review of Evidence from The China Health And Nutrition Survey. Risk Manag. Healthc. Policy 2019, 12, 209–224. [Google Scholar] [CrossRef]
- Andersen, R. A Behavioral Model of Families’ Use of Health Services; Center for Health Administration Studies, University of Chicago: Chicago, IL, USA, 1968. [Google Scholar]
- Iizuka, T.; Shigeoka, H. Is Zero a Special Price? Evidence from Child Health Care. Am. Econ. J. Appl. Econ. 2022, 14, 381–410. [Google Scholar] [CrossRef]
- Price, D.W.; Swaney, R.E.; Xu, S.; Goodspeed, J.R.; Steiner, J.F. Care of Common Medical Conditions in a Managed Care Program for Uninsured Adults. Perm. J. 2003, 7, 27–35. [Google Scholar]
- Wagstaff, A.; Lindelow, M. Can Insurance Increase Financial Risk?: The Curious Case of Health Insurance in China. J. Health Econ. 2008, 27, 990–1005. [Google Scholar] [CrossRef]
- Currie, J.; Lin, W.; Zhang, W. Patient Knowledge and Antibiotic Abuse: Evidence from an Audit Study in China. J. Health Econ. 2011, 30, 933–949. [Google Scholar] [CrossRef]
- Currie, J.; Lin, W.; Meng, J. Addressing Antibiotic Abuse in China: An Experimental Audit Study. J. Dev. Econ. 2014, 110, 39–51. [Google Scholar] [CrossRef]
- Hui, E.C. The Contemporary Healthcare Crisis in China and the Role of Medical Professionalism. J. Med. Philos. 2010, 35, 477–492. [Google Scholar] [CrossRef]
- Feldstein, M.S. The Welfare Loss of Excess Health Insurance. J. Political Econ. 1973, 81, 251–280. [Google Scholar] [CrossRef]
- Feldman, R.; Dowd, B. A New Estimate of the Welfare Loss of Excess Health Insurance. Am. Econ. Rev. 1991, 81, 297–301. [Google Scholar]
- Rebitzer, J.B.; Rege, M.; Shepard, C. Influence, Information Overload, and Information Technology in Health Care. In Beyond Health Insurance: Public Policy to Improve Health; Helmchen, L., Kaestner, R., Lo Sasso, A., Eds.; Advances in Health Economics and Health Services Research; Emerald Group Publishing Limited: Bingley, UK, 2008; Volume 19, pp. 43–69. ISBN 978-1-84855-181-7. [Google Scholar]
- Shou-Hsia, C.; Tung-Liang, C. The Effect of Universal Health Insurance on Health Care Utilization in Taiwan: Results from a Natural Experiment. JAMA 1997, 278, 89–93. [Google Scholar] [CrossRef]
- Huang, F.; Gan, L. Estimating the Moral Hazard Effects of Health Insurance: Based on Micro Data. J. Financ. Res. 2012, 383, 193–206. [Google Scholar]
- Zang, W.; Liu, G.; Xu, F.; Xiong, X. The Effect of Urban Resident Basic Medical Insurance on Household Consumption. Econ. Res. J. 2012, 47, 75–85. [Google Scholar]
- Sun, X.; Jackson, S.; Carmichael, G.; Sleigh, A.C. Catastrophic Medical Payment and Financial Protection in Rural China: Evidence from the New Cooperative Medical Scheme in Shandong Province. Health Econ. 2009, 18, 103–119. [Google Scholar] [CrossRef]
- Wagstaff, A.; Lindelow, M.; Jun, G.; Ling, X.; Juncheng, Q. Extending Health Insurance to the Rural Population: An Impact Evaluation of China’s New Cooperative Medical Scheme. J. Health Econ. 2009, 28, 1–19. [Google Scholar] [CrossRef]
- National Healthcare Security Administration; Ministry of Finance of the People’s Republic of China. State Taxation Administration Notice on Basic Medical Security for Urban and Rural Residents in 2020. Available online: http://www.chinatax.gov.cn/chinatax/n810341/n810755/c5153547/content.html (accessed on 29 April 2022).
- Wagstaff, A. Poverty and Health Sector Inequalities. Bull. World Health Organ. 2002, 80, 97–105. [Google Scholar] [CrossRef]


| Year = 2008 | Year = 2012 | Year = 2014 | Year = 2018 | |||||
|---|---|---|---|---|---|---|---|---|
| Variable | Control | Treatment | Control | Treatment | Control | Treatment | Control | Treatment |
| Total Medical Expenditure | 1384.51 (5254.24) | 1152.72 (2370.71) | 2890.66 (8163.63) | 2983.13 (8203.16) | 4121.17 (9963.70) | 5920.37 (13,754.66) | 6229.12 (15,575.89) | 6068.67 (13,916.62) |
| Total Out-of-pocket Expenditure | 906.78 (2501.99) | 835.89 (1380.81) | 1826.86 (4920.07) | 1779.33 (3854.65) | 1991.54 (5354.93) | 3157.59 (9891.93) | 3563.01 (10,017.50) | 4008.83 (11,087.67) |
| Inpatient Expenditure | - | - | 1518.92 (5849.45) | 1446.51 (6812.03) | 2508.52 (8154.63) | 2900.57 (8992.01) | 4001.67 (11,854.85) | 3580.30 (10,892.72) |
| Inpatient Out-of-pocket Expenditure | - | - | 902.32 (3873.50) | 560.41 (1984.51) | 1075.40 (4436.27) | 1539.98 (7136.82) | 2340.41 (8812.12) | 2232.13 (8377.17) |
| Age | 74.99 (8.12) | 74.91 (7.97) | 78.03 (8.15) | 77.90 (7.98) | 80.72 (8.13) | 80.70 (7.99) | 84.84 (8.09) | 84.84 (7.90) |
| Gender | ||||||||
| Male | 580 (48%) | 145 (42%) | 580 (48%) | 145 (42%) | 580 (48%) | 145 (42%) | 580 (48%) | 145 (42%) |
| Female | 619 (52%) | 199 (58%) | 619 (52%) | 199 (58%) | 619 (52%) | 199 (58%) | 619 (52%) | 199 (58%) |
| Years of education | 2.98 (3.68) | 2.52 (3.59) | 2.98 (3.68) | 2.52 (3.59) | 2.98 (3.68) | 2.52 (3.59) | 2.98 (3.68) | 2.52 (3.59) |
| Residence | ||||||||
| Rural | 1054 (88%) | 290 (84%) | 1019 (85%) | 287 (83%) | 1021 (85%) | 273 (79%) | 995 (83%) | 265 (77%) |
| Urban or town | 145 (12%) | 54 (16%) | 180 (15%) | 57 (17%) | 178 (15%) | 71 (21%) | 204 (17%) | 79 (23%) |
| Married | ||||||||
| No | 443 (37%) | 136 (40%) | 513 (43%) | 151 (44%) | 570 (48%) | 169 (49%) | 672 (56%) | 204 (59%) |
| Yes | 756 (63%) | 208 (60%) | 686 (57%) | 193 (56%) | 629 (52%) | 175 (51%) | 527 (44%) | 140 (41%) |
| Number of Children alive | 3.91 (1.68) | 3.59 (1.67) | 3.31 (2.57) | 3.37 (2.26) | 3.73 (1.71) | 3.60 (1.61) | 3.70 (1.74) | 3.42 (1.66) |
| Live alone | ||||||||
| No | 1029 (86%) | 280 (81%) | 1003 (84%) | 272 (79%) | 979 (82%) | 262 (76%) | 1010 (84%) | 272 (79%) |
| Yes | 170 (14%) | 64 (19%) | 196 (16%) | 72 (21%) | 220 (18%) | 82 (24%) | 189 (16%) | 72 (21%) |
| Health Insurance | ||||||||
| NCMS | 1037 (86%) | 276 (80%) | 1013 (84%) | 275 (80%) | 964 (80%) | 259 (75%) | 925 (77%) | 279 (81%) |
| URBMI | 162 (14%) | 68 (20%) | 186 (16%) | 69 (20%) | 235 (20%) | 85 (25%) | 274 (23%) | 65 (19%) |
| Logarithm of household income per capita | 8.15 (1.23) | 8.23 (0.95) | 8.38 (1.48) | 8.69 (1.36) | 8.66 (1.29) | 8.95 (1.46) | 8.73 (1.66) | 9.30 (1.29) |
| Self-rated health | ||||||||
| Very Good | 180 (15%) | 38 (11%) | 146 (12%) | 28 (8%) | 124 (10%) | 31 (9%) | 126 (11%) | 37 (11%) |
| Good | 467 (39%) | 160 (47%) | 425 (35%) | 118 (34%) | 390 (33%) | 133 (39%) | 376 (31%) | 107 (31%) |
| Fair | 366 (31%) | 108 (31%) | 440 (37%) | 154 (45%) | 480 (40%) | 126 (37%) | 458 (38%) | 128 (37%) |
| Poor | 158 (13%) | 33 (10%) | 168 (14%) | 40 (12%) | 171 (14%) | 50 (15%) | 140 (12%) | 44 (13%) |
| Very Poor | 28 (2%) | 5 (1%) | 20 (2%) | 4 (1%) | 34 (3%) | 4 (1%) | 99 (8%) | 28 (8%) |
| Number of chronic diseases | 1.00 (1.13) | 0.99 (1.32) | 1.23 (1.38) | 1.49 (1.52) | 1.26 (1.35) | 1.68 (1.52) | 1.42 (1.46) | 1.73 (1.67) |
| Serious Illness in the past 2 years | ||||||||
| No | 1010 (84%) | 299 (87%) | 914 (76%) | 273 (79%) | 866 (72%) | 255 (74%) | 783 (65%) | 213 (62%) |
| Yes | 189 (16%) | 45 (13%) | 285 (24%) | 71 (21%) | 333 (28%) | 89 (26%) | 416 (35%) | 131 (38%) |
| (1) | (2) | (3) | (4) | |
|---|---|---|---|---|
| Variables | Logarithm Total Medical Expenditure | Logarithm Total OOP Expenditure | Logarithm Inpatient Expenditure | Logarithm Inpatient OOP Expenditure |
| Panel A: DID analysis | ||||
| 0.779 *** | 0.681 *** | 0.669 *** | 0.751 *** | |
| (0.260) | (0.177) | (0.175) | (0.211) | |
| Covariates | Yes | Yes | Yes | Yes |
| N | 4629 | 4629 | 3086 | 3086 |
| 0.255 | 0.214 | 0.416 | 0.380 | |
| Panel B: FE analysis | ||||
| 0.776 ** | 0.649 *** | 0.577 ** | 0.625 ** | |
| (0.310) | (0.172) | (0.225) | (0.237) | |
| Covariates | Yes | Yes | Yes | Yes |
| N | 4629 | 4629 | 3086 | 3086 |
| 0.155 | 0.132 | 0.319 | 0.303 | |
| (1) | (2) | (3) | (4) | |
|---|---|---|---|---|
| Subgroups | Logarithm Total Medical Expenditure | Logarithm Total OOP Expenditure | Logarithm Inpatient Expenditure | Logarithm Inpatient OOP Expenditure |
| Panel A: Residence | ||||
| Rural: | 0.810 *** | 0.641 *** | 0.607 ** | 0.704 *** |
| (0.214) | (0.220) | (0.274) | (0.252) | |
| Urban or Town: | 0.698 | 0.380 | −0.232 | −0.440 |
| (0.518) | (0.536) | (0.593) | (0.514) | |
| Panel B: Income | ||||
| Low-income group: | 0.515 * | 0.301 | 0.575 * | 0.507 |
| (0.275) | (0.289) | (0.316) | (0.334) | |
| High-income group: | 1.046 *** | 0.912 *** | 0.385 * | 0.483 ** |
| (0.269) | (0.272) | (0.230) | (0.210) | |
| Panel C: Serious Illness | ||||
| Without Serious Illness: | 0.726 *** | 0.534 ** | 0.403 * | 0.476 ** |
| (0.246) | (0.255) | (0.208) | (0.210) | |
| With Serious Illness: | 0.989 ** | 1.297 *** | 1.398 * | 1.216 |
| (0.448) | (0.494) | (0.737) | (0.953) | |
| (1) | (2) | (3) | (4) | |
|---|---|---|---|---|
| Variables | Logarithm Total Medical Expenditure | Logarithm Total OOP Expenditure | Logarithm Inpatient Expenditure | Logarithm Inpatient OOP Expenditure |
| Panel A: Excluding the confounding provinces | ||||
| 0.752 ** | 0.588 *** | 0.588 ** | 0.652 ** | |
| (0.328) | (0.197) | (0.257) | (0.251) | |
| Covariates | Yes | Yes | Yes | Yes |
| N | 3711 | 3711 | 2474 | 2474 |
| 0.164 | 0.133 | 0.308 | 0.293 | |
| Panel B: Matching-based fixed-effects model | ||||
| 0.773 ** | 0.645 *** | 0.581 ** | 0.621 ** | |
| (0.317) | (0.180) | (0.229) | (0.241) | |
| Covariates | Yes | Yes | Yes | Yes |
| N | 4605 | 4605 | 3070 | 3070 |
| 0.156 | 0.133 | 0.322 | 0.302 | |
Publisher’s Note: MDPI stays neutral with regard to jurisdictional claims in published maps and institutional affiliations. |
© 2022 by the authors. Licensee MDPI, Basel, Switzerland. This article is an open access article distributed under the terms and conditions of the Creative Commons Attribution (CC BY) license (https://creativecommons.org/licenses/by/4.0/).
Share and Cite
Cao, H.; Xu, X.; You, H.; Gu, J.; Hu, H.; Jiang, S. Healthcare Expenditures among the Elderly in China: The Role of Catastrophic Medical Insurance. Int. J. Environ. Res. Public Health 2022, 19, 14313. https://doi.org/10.3390/ijerph192114313
Cao H, Xu X, You H, Gu J, Hu H, Jiang S. Healthcare Expenditures among the Elderly in China: The Role of Catastrophic Medical Insurance. International Journal of Environmental Research and Public Health. 2022; 19(21):14313. https://doi.org/10.3390/ijerph192114313
Chicago/Turabian StyleCao, Hongmei, Xinpeng Xu, Hua You, Jinghong Gu, Hongyan Hu, and Shan Jiang. 2022. "Healthcare Expenditures among the Elderly in China: The Role of Catastrophic Medical Insurance" International Journal of Environmental Research and Public Health 19, no. 21: 14313. https://doi.org/10.3390/ijerph192114313
APA StyleCao, H., Xu, X., You, H., Gu, J., Hu, H., & Jiang, S. (2022). Healthcare Expenditures among the Elderly in China: The Role of Catastrophic Medical Insurance. International Journal of Environmental Research and Public Health, 19(21), 14313. https://doi.org/10.3390/ijerph192114313

