Monitoring and Assessment of Indoor Environmental Conditions in Educational Building Using Building Information Modelling Methodology
Abstract
1. Introduction
2. Material and Methods
2.1. Research Approach
2.2. Case Study
2.3. Statistical Analysis
3. Integration of the Proposed Methodology into BIM
- Scripts-1: Inputs.
- Scripts-2: Building data extraction.
- Scripts-3: Data extraction from sensors and schedule database.
- Scripts-4: Virus transmission risk assessment.
- Scripts-5: IEQ assessment.
- Scripts-6: Data visualisation and report.
4. Results: Case Study
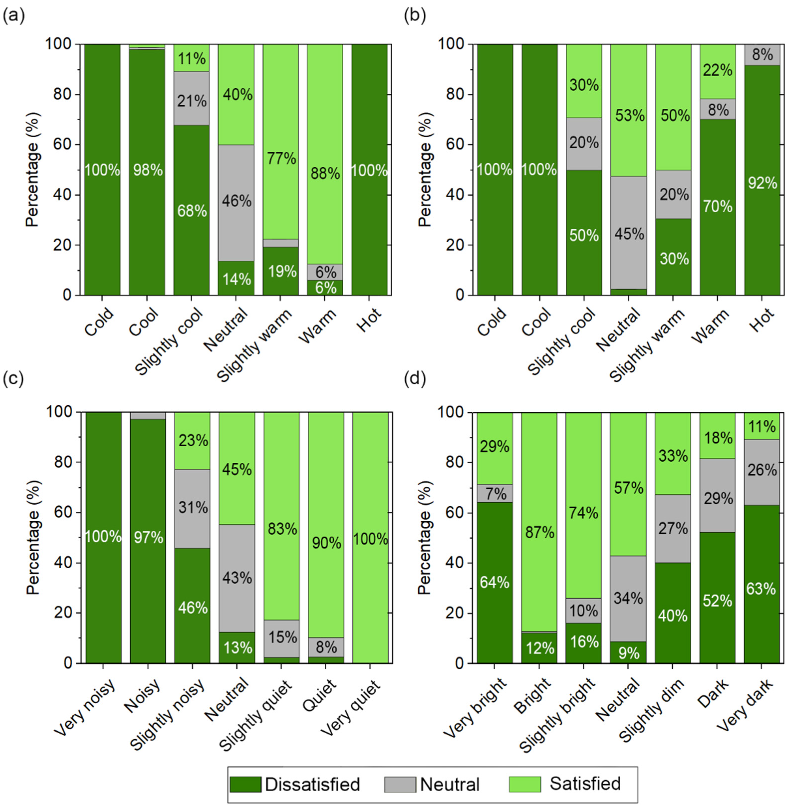
4.1. Occupants’ Feedback Survey
4.2. Implementation in the BIM Model
5. Discussion
5.1. Field Measurement Campaign
5.2. BIM-Based Framework
6. Conclusions
- The framework allows the integration of IEQ parameters and models to evaluate thermal, light and acoustic comfort into the BIM model.
- The system automatically calculates the thermal, acoustic and light sensation values for each of the classes in the selected period. It also avoids the possibility of information losses and errors in the process of assessment. Furthermore, the results are visualised in the same interface of the BIM software, facilitating the identification and detection of possible problems in the classrooms.
- The proposed system is an effective tool for building managers to manage IEQ and control airborne virus transmission. Its implementation supports decision making by providing useful information for the continuous assessment of the building. In addition, it is worth noting that it allows the building to be evaluated continuously over time and can be applied at any time as long as the time series measured by the sensors are available, as well as the evaluation and preventive diagnosis of buildings.
- The results presented in the case study showed that the proposed framework is a useful tool for building managers. The framework allows the identification of indoor environmental conditions out of the comfort range, such as thermal conditions (during “Structural Analysis”) and acoustic conditions (during “Sanitary Engineering Group B” and “Structural Analysis”). It can also identify and visualise the risk of infection as shown in the scenario of an infected professor (with a probability of 2.1%).
Author Contributions
Funding
Institutional Review Board Statement
Informed Consent Statement
Data Availability Statement
Acknowledgments
Conflicts of Interest
Appendix A


| Variable | Sensor | Range | Accuracy |
|---|---|---|---|
| Air temperature | FHAD 46-C41A AHLBORN | −20 to +80 °C | Typical ±0.2 K at 5 to 60 °C Maximum ±0.4 K at 5 to 60 °C Maximum ±0.7 K at −20 to +80 °C |
| Mean radiant temperature | FPA805GTS AHLBORN | –50 to 200 °C | 0.1℃ |
| Air velocity | HD403TS2 Delta OHM® | 0.1 to 5 m/s | ±0.2 m/s + 3% f.s |
| RH | FHAD 46-C41A AHLBORN | 0 to 98% RH | ±2.0% RH in range from 10 to 90% RH |
| CO2 concentration | HOBO® MX1102 | 0 to 5000 ppm | ±50 ppm ±5% of reading |
| Lighting | HOBO® MX1104 | 0 to 167,731 lux | ±10% typical for direct sunlight |
| SPL | Imperum-R TECNITAX® Ingeniería | 35 to 115 dBA | ±1 dBA |
References
- Goubran, S. On the role of construction in achieving the SDGs. J. Sustain. Res. 2019, 1, 20. [Google Scholar] [CrossRef]
- Nawawi, A.H.; Khalil, N. Post-occupancy evaluation correlated with building occupants’ satisfaction: An approach to performance evaluation of government and public buildings. J. Build. Apprais. 2008, 4, 59–69. [Google Scholar] [CrossRef][Green Version]
- Parsons, K. Design of the indoor environment. In Design and management of sustainable built environments; Springer: Berlin/Heidelberg, Germany, 2013; pp. 157–177. [Google Scholar]
- American Society of Heating, Refrigerating and Air-Conditioning Engineers (ASHRAE). ASHRAE 55-2013. Thermal Environmental Conditions for Human Occupancy; ASHRAE: Atlanta, GA, USA, 2013. [Google Scholar]
- Nimlyat, P.S.; Kandar, M.Z. Appraisal of indoor environmental quality (IEQ) in healthcare facilities: A literature review. Sustain. Cities Soc. 2015, 17, 61–68. [Google Scholar] [CrossRef]
- Frontczak, M.; Andersen, R.V.; Wargocki, P. Questionnaire survey on factors influencing comfort with indoor environmental quality in Danish housing. Build. Environ. 2012, 50, 56–64. [Google Scholar] [CrossRef]
- Wong, L.T.; Mui, K.W.; Hui, P. A multivariate-logistic model for acceptance of indoor environmental quality (IEQ) in offices. Build. Environ. 2008, 43, 1–6. [Google Scholar] [CrossRef]
- Finell, E.; Nätti, J. The combined effect of poor perceived indoor environmental quality and psychosocial stressors on long-term sickness absence in the workplace: A follow-up study. Int. J. Environ. Res. Public Health 2019, 16, 4997. [Google Scholar] [CrossRef]
- Zomorodian, Z.S.; Tahsildoost, M.; Hafezi, M. Thermal comfort in educational buildings: A review article. Renew. Sustain. Energy Rev. 2016, 59, 895–906. [Google Scholar] [CrossRef]
- Almeida, R.M.; Ramos, N.M.; De Freitas, V.P. Thermal comfort models and pupils’ perception in free-running school buildings of a mild climate country. Energy Build. 2016, 111, 64–75. [Google Scholar] [CrossRef]
- Mendell, M.J.; Heath, G.A. Do indoor pollutants and thermal conditions in schools influence student performance? A critical review of the literature. Indoor Air 2005, 15, 27–52. [Google Scholar] [CrossRef] [PubMed]
- Turunen, M.; Toyinbo, O.; Putus, T.; Nevalainen, A.; Shaughnessy, R.; Haverinen-Shaughnessy, U. Indoor environmental quality in school buildings, and the health and wellbeing of students. Int. J. Hydrogen Environ. 2014, 217, 733–739. [Google Scholar] [CrossRef]
- Ministry of Health of the Spanish Government. Evaluación del Riesgo de la Transmisión de SARS-CoV-2 Mediante Aerosoles. Medidas de Prevención y Recomendaciones. Ministerio de Sanidad. Gobierno de España. Available online: https://www.sanidad.gob.es/profesionales/saludPublica/ccayes/alertasActual/nCov/documentos/COVID19_Aerosoles.pdf. (accessed on 23 September 2022).
- Federation of European Heating, Ventilation and Air Conditioning Associations (REHVA), COVID19 Guidance. How to Operate HVAC and Other Building Service Systems to Prevent the Spread of the Coronavirus (SARS-CoV-2) Disease (COVID-19) in Workplaces Version 4.1. Available online: https://www.rehva.eu/fileadmin/user_upload/REHVA_COVID-19_guidance_document_V4.1_15042021.pdf (accessed on 23 September 2022).
- Korsavi, S.S.; Montazami, A.; Mumovic, D. Ventilation rates in naturally ventilated primary schools in the UK; Contextual, Occupant and Building-related (COB) factors. Build. Environ. 2020, 181, 107061. [Google Scholar] [CrossRef]
- Heracleous, C.; Michael, A. Assessment of overheating risk and the impact of natural ventilation in educational buildings of Southern Europe under current and future climatic conditions. Energy 2018, 165, 1228–1239. [Google Scholar] [CrossRef]
- Aguilar, A.J.; María, L.; Costa, N.; Arezes, P.; Martínez-Aires, M.D.; Ruiz, D.P. Assessment of ventilation rates inside educational buildings in Southwestern Europe: Analysis of implemented strategic measures. J. Build. Eng. 2022, 51, 104204. [Google Scholar] [CrossRef]
- de la Hoz-Torres, M.L.; Aguilar, A.J.; Costa, N.; Arezes, P.; Ruiz, D.P.; Martínez-Aires, M.D. Reopening higher education buildings in post-epidemic COVID-19 scenario: Monitoring and assessment of indoor environmental quality after implementing ventilation protocols in Spain and Portugal. Indoor Air 2022, 32, e13040. [Google Scholar] [CrossRef] [PubMed]
- Meiss, A.; Jimeno-Merino, H.; Poza-Casado, I.; Llorente-Álvarez, A.; Padilla-Marcos, M.Á. Indoor Air Quality in Naturally Ventilated Classrooms. Lessons Learned from a Case Study in a COVID-19 Scenario. Sustainability 2021, 13, 8446. [Google Scholar] [CrossRef]
- Monge-Barrio, A.; Bes-Rastrollo, M.; Dorregaray-Oyaregui, S.; González-Martínez, P.; Martin-Calvo, N.; López-Hernández, D.; Arriazu-Ramos, A.; Sánchez-Ostiz, A. Encouraging natural ventilation to improve indoor environmental conditions at schools. Case studies in the north of Spain before and during COVID. Energy Build. 2022, 254, 111567. [Google Scholar] [CrossRef]
- Gil-Baez, M.; Lizana, J.; Villanueva, J.B.; Molina-Huelva, M.; Serrano-Jimenez, A.; Chacartegui, R. Natural ventilation in classrooms for healthy schools in the COVID era in Mediterranean climate. Build. Environ. 2021, 206, 108345. [Google Scholar] [CrossRef]
- de la Hoz-Torres, M.L.; Aguilar, A.J.; Ruiz, D.P.; Martínez-Aires, M.D. Analysis of Impact of Natural Ventilation Strategies in Ventilation Rates and Indoor Environmental Acoustics Using Sensor Measurement Data in Educational Buildings. Sensors 2021, 21, 6122. [Google Scholar] [CrossRef] [PubMed]
- Porwal, A.; Hewage, K.N. Building Information Modeling (BIM) partnering framework for public construction projects. Autom. Constr. 2013, 31, 204–214. [Google Scholar] [CrossRef]
- Aguilar, A.J.; de la Hoz-Torres, M.L.; Martínez-Aires, M.; Ruiz, D.P. Development of a BIM-Based Framework Using Reverberation Time (BFRT) as a Tool for Assessing and Improving Building Acoustic Environment. Buildings 2022, 12, 542. [Google Scholar] [CrossRef]
- Marzouk, M.; Abdelaty, A. BIM-based framework for managing performance of subway stations. Autom. Constr. 2014, 41, 70–77. [Google Scholar] [CrossRef]
- Cheung, W.-F.; Lin, T.-H.; Lin, Y.-C. A real-time construction safety monitoring system for hazardous gas integrating wireless sensor network and building information modeling technologies. Sensors 2018, 18, 436. [Google Scholar] [CrossRef] [PubMed]
- Nojedehi, P.; O’Brien, W.; Gunay, H.B. A methodology to integrate maintenance management systems and BIM to improve building management. Sci. Technol. Built Environ. 2022, 28, 1–18. [Google Scholar] [CrossRef]
- Alavi, H.; Forcada, N.; Bortolini, R.; Edwards, D.J. Enhancing occupants’ comfort through BIM-based probabilistic approach. Autom. Constr. 2021, 123, 103528. [Google Scholar] [CrossRef]
- Artan, D.; Ergen Pehlevan, E.; Kula, B.; Guven, G. Rateworkspace: BIM integrated post-occupancy evaluation system for office buildings. J. Inf. Technol. Constr. 2022, 27, 461–485. [Google Scholar] [CrossRef]
- UNE-CEN/TR 16798-2:2019; Energy Performance of Buildings—Ventilation for Buildings—Part 2: Interpretation of the Requirements in EN 16798-1—Indoor Environmental Input Parameters for Design and Assessment of Energy Performance of Buildings Addressing Indoor Air Quality, Thermal Environment, Lighting and Acoustics (Module M1-6). European Committee for Standardization: Brussels, Belgium, 2019.
- UNE-EN ISO 28802:2012; Ergonomics of the Physical Environment—Assessment of Environments by Means of an Environmental Survey Involving Physical Measurements of the Environment and Subjective Responses of People. European Committee for Standardization: Brussels, Belgium, 2012.
- Riley, E.; Murphy, G.; Riley, R. Airborne spread of measles in a suburban elementary school. Am. J. Epidemiol. 1978, 107, 421–432. [Google Scholar] [CrossRef] [PubMed]
- Batterman, S. Review and extension of CO2-based methods to determine ventilation rates with application to school classrooms. Int. J. Environ. Res. Public Health 2017, 14, 145. [Google Scholar] [CrossRef]
- Canha, N.; Mandin, C.; Ramalho, O.; Wyart, G.; Ribéron, J.; Dassonville, C.; Hänninen, O.; Almeida, S.M.; Derbez, M. Assessment of ventilation and indoor air pollutants in nursery and elementary schools in France. Indoor Air 2016, 26, 350–365. [Google Scholar] [CrossRef] [PubMed]
- Hänninen, O.; Canha, N.; Dume, I.; Deliu, A.; Mata, E.; Egorov, A. P-217: Evaluation of Ventilation Rates in a Sample of Albanian schools using CO2 Measurements–A Pilot WHO Survey. Epidemiology 2012, 23, 43860.b6. [Google Scholar] [CrossRef]
- UNE-EN ISO 10551:2019; Ergonomics of the Physical Environment—Subjective Judgement Scales for Assessing Physical Environments. European Committee for Standardization: Brussels, Belgium, 2019.
- Federation of European Heating, Ventilation and Air Conditioning Associations (REHVA), REHVA COVID-19 Ventilation Calculator Documentation Version 2.1. 20 January 2022. Available online: https://www.rehva.eu/covid19-ventilation-calculator/covid-19-ventilation-calculator-download (accessed on 10 October 2022).
- ISO 7730:2005; Ergonomics of the Thermal Environment—Analytical Determination and Interpretation of Thermal Comfort Using Calculation of the PMV and PPD Indices and Local Thermal Comfort Criteria. European Committee for Standardization: Brussels, Belgium, 2005.
- University of Granada (UGR). Annex Statistical Data UGR. 2021. Available online: https://secretariageneral.ugr.es/pages/memorias/academica/20202021/estadistica/_doc/01/%21 (accessed on 26 May 2022).
- University of Granada (UGR). Plan de Contingencia. Plan de Actuación COVID-19. Available online: https://covid19.ugr.es/informacion/plan-contingencia (accessed on 23 September 2022).
- Ministry of Industry, Energy and Tourism. Reglamento de Instalaciones Termicas En Los Edificios. Versión Consolidada. 2013. Available online: https://energia.gob.es/desarrollo/EficienciaEnergetica/RITE/Reglamento/RDecreto-1027-2007-Consolidado-9092013.pdf (accessed on 10 October 2022).
- Miranda, M.; Romero, P.; Valero-Amaro, V.; Arranz, J.; Montero, I. Ventilation conditions and their influence on thermal comfort in examination classrooms in times of COVID-19. A case study in a Spanish area with Mediterranean climate. Int. J. Hyg. Environ. Health 2022, 240, 113910. [Google Scholar] [CrossRef] [PubMed]
- Villanueva, F.; Notario, A.; Cabañas, B.; Martín, P.; Salgado, S.; Gabriel, M.F. Assessment of CO2 and aerosol (PM2. 5, PM10, UFP) concentrations during the reopening of schools in the COVID-19 pandemic: The case of a metropolitan area in Central-Southern Spain. Environ. Res. 2021, 197, 111092. [Google Scholar] [CrossRef]
- Wen, X.; Lu, G.; Lv, K.; Jin, M.; Shi, X.; Lu, F.; Zhao, D. Impacts of traffic noise on roadside secondary schools in a prototype large Chinese city. Appl. Acoust. 2019, 151, 153–163. [Google Scholar] [CrossRef]
- UNE-EN 16798-1:2020; Energy Performance of Buildings—Ventilation for Buildings—Part 1: Indoor Environmental Input Parameters for Design and Assessment of Energy Performance of Buildings Addressing Indoor Air Quality, Thermal Environment, Lighting and Acoustics—Module M1-6. European Committee for Standardization: Brussels, Belgium, 2020.
- Chang, K.-M.; Dzeng, R.-J.; Wu, Y.-J. An automated IoT visualization BIM platform for decision support in facilities management. Appl. Sci. 2018, 8, 1086. [Google Scholar] [CrossRef]
- Valinejadshoubi, M.; Moselhi, O.; Bagchi, A. Integrating BIM into sensor-based facilities management operations. J. Facil. Manag. 2021, 20, 55. [Google Scholar] [CrossRef]
- Desogus, G.; Quaquero, E.; Rubiu, G.; Gatto, G.; Perra, C. Bim and iot sensors integration: A framework for consumption and indoor conditions data monitoring of existing buildings. Sustainability 2021, 13, 4496. [Google Scholar] [CrossRef]
- Park, S.; Choi, Y.; Song, D.; Kim, E.K. Natural ventilation strategy and related issues to prevent coronavirus disease 2019 (COVID-19) airborne transmission in a school building. Sci. Total Environ. 2021, 789, 147764. [Google Scholar] [CrossRef] [PubMed]









| Finishing Materials | Type of Windows | Mean Area (m2) | Mean Occupancy Ratio (m2/Person) |
|---|---|---|---|
| Wall: Gypsum plaster/Ceramic tile | Aluminium glazed windows (sliding) | 170 ± 40.5 | 1.6 ± 0.9 |
| Floor: Natural stone | |||
| Ceiling: Registrable suspended ceiling |
| Parameter | Definition | Parameter Type | Category |
|---|---|---|---|
| Classroom_Id | Name of the classroom | String | Room |
| Max_occup | Maximum number of occupants | Number | Room |
| ID_Sensors | Identifier number of each sensor located in the classroom | String | Room |
| Element | Definition | Data-Type |
|---|---|---|
| Classroom_Id | Name of the classroom where the teaching activity is carried out | String |
| Subject | Name of the subject | String |
| Start time | Day and time when the class starts | Date |
| End time | Day and time when the class ends | Date |
| Type | Type of teaching learning activity (e.g., lecture, laboratory class, etc.) | String |
| Occupation | Number of students attending the class | Integer |
| Type | Operative Temperature (Top) (°C) | RH (%) | Air Velocity (m/s) | CO2 Concentration (ppm) | Lighting (lux) | SPL (dBA) | |||
|---|---|---|---|---|---|---|---|---|---|
| HS | NHS | HS | NHS | HS | NHS | ||||
| Max | 26.3 | 28.3 | 49.4 | 50.1 | 0.15 | 0.22 | 1676 | 594 | 52.2 |
| Min | 14.5 | 19.1 | 26.9 | 21.3 | 0.01 | 0.01 | 400 | 110 | 30.0 |
| Mean | 18.4 | 23.6 | 38.3 | 37.7 | 0.04 | 0.04 | 592 | 409 | 44.6 |
| Median | 16.9 | 22.9 | 39.4 | 38.2 | 0.02 | 0.02 | 511 | 420 | 44.1 |
| SD | 3.3 | 3.0 | 6.5 | 7.8 | 0.05 | 0.05 | 233 | 101 | 4.3 |
| Parameter | Sensation Votes | ||||
|---|---|---|---|---|---|
| Values | −1 | −0.5 | 0 | +0.5 | +1 |
| Thermal (winter) | 18.2 °C | 20.2 °C | 22.2 °C | 24.2 °C | 26.2 °C |
| Thermal (summer) | 19.7 °C | 21.6 °C | 23.5 °C | 25.4 °C | 27.3 °C |
| Lighting | 611 lux | 486 lux | 361 lux | 236 lux | 111 lux |
| Acoustic | - | - | 48.9 | 43.0 dBA | 37.2 dBA |
| Date | Time | Subject | Type of Activity | Occupation |
|---|---|---|---|---|
| 30 May 2022 | 09:30–11:30 | Sanitary Engineering (Group A) | Lecture | 28 |
| 30 May 2022 | 11:30–12:30 | Sanitary Engineering (Group B) | Lecture | 30 |
| 30 May 2022 | 13:30–14:30 | Structural analysis | Lecture | 40 |
| Time | 8:30–9:30 | 09:30–11:30 | 11:30–12:30 | 12:30–13:30 | 13:30–14:30 |
| Temperature (°C) | 24.1 | 24.9 | 25.2 | 25.6 | 27.8 |
| Lighting (lux) | 249 | 368 | 447 | 434 | 408 |
| SPL (dBA) | 40.3 | 44.5 | 50.1 | 44.3 | 49.5 |
Publisher’s Note: MDPI stays neutral with regard to jurisdictional claims in published maps and institutional affiliations. |
© 2022 by the authors. Licensee MDPI, Basel, Switzerland. This article is an open access article distributed under the terms and conditions of the Creative Commons Attribution (CC BY) license (https://creativecommons.org/licenses/by/4.0/).
Share and Cite
Aguilar, A.J.; de la Hoz-Torres, M.L.; Ruiz, D.P.; Martínez-Aires, M.D. Monitoring and Assessment of Indoor Environmental Conditions in Educational Building Using Building Information Modelling Methodology. Int. J. Environ. Res. Public Health 2022, 19, 13756. https://doi.org/10.3390/ijerph192113756
Aguilar AJ, de la Hoz-Torres ML, Ruiz DP, Martínez-Aires MD. Monitoring and Assessment of Indoor Environmental Conditions in Educational Building Using Building Information Modelling Methodology. International Journal of Environmental Research and Public Health. 2022; 19(21):13756. https://doi.org/10.3390/ijerph192113756
Chicago/Turabian StyleAguilar, Antonio J., María L. de la Hoz-Torres, Diego P. Ruiz, and Mª Dolores Martínez-Aires. 2022. "Monitoring and Assessment of Indoor Environmental Conditions in Educational Building Using Building Information Modelling Methodology" International Journal of Environmental Research and Public Health 19, no. 21: 13756. https://doi.org/10.3390/ijerph192113756
APA StyleAguilar, A. J., de la Hoz-Torres, M. L., Ruiz, D. P., & Martínez-Aires, M. D. (2022). Monitoring and Assessment of Indoor Environmental Conditions in Educational Building Using Building Information Modelling Methodology. International Journal of Environmental Research and Public Health, 19(21), 13756. https://doi.org/10.3390/ijerph192113756

