Mechanism of Myoglobin Molecule Adsorption on Silica: QCM, OWLS and AFM Investigations
Abstract
1. Introduction
2. Materials and Methods
3. Results and Discussion
3.1. Physicochemical Characteristics of Myoglobin Molecules and Silica
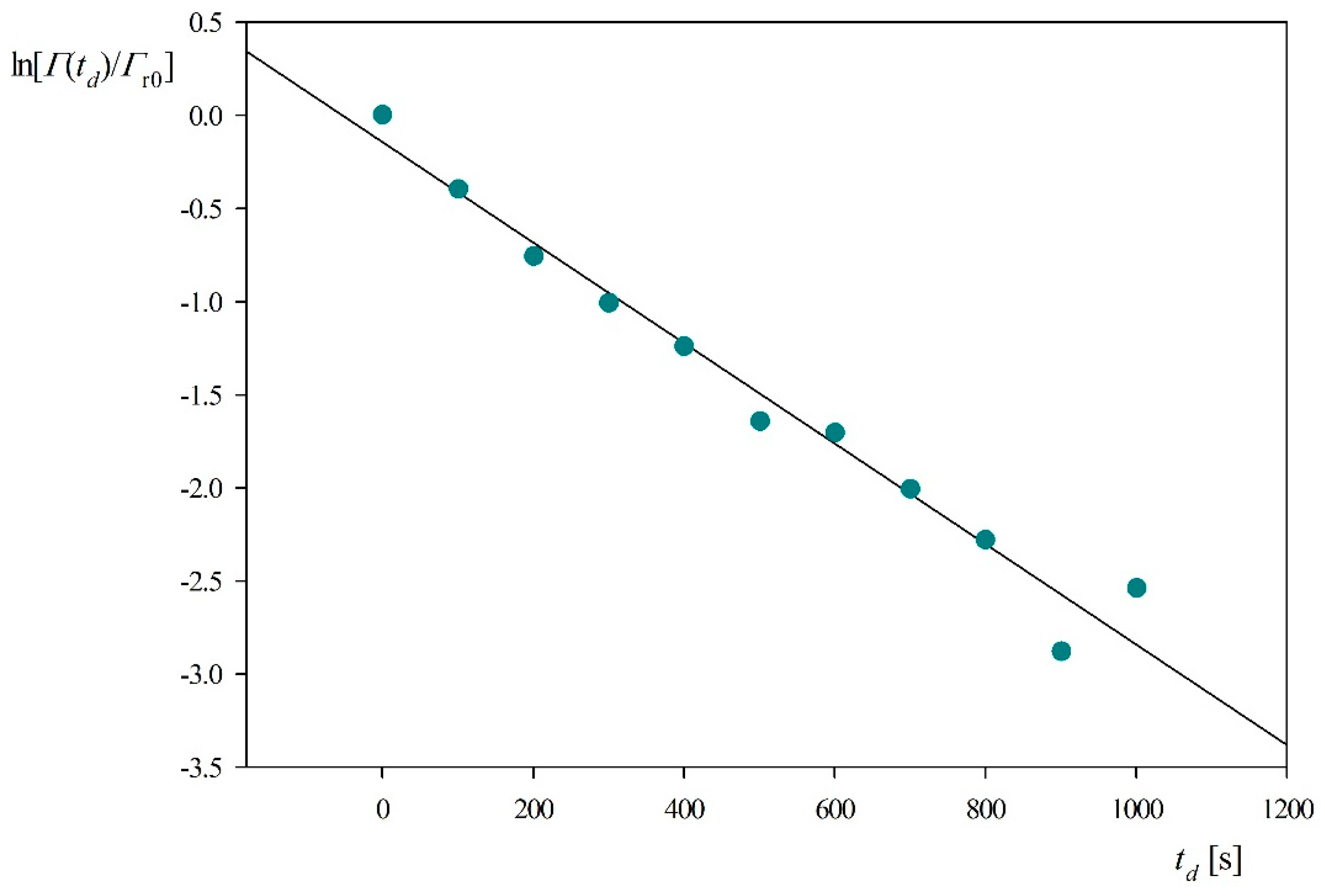
3.2. The Kinetics of Myoglobin Adsorption
4. Conclusions
Author Contributions
Funding
Institutional Review Board Statement
Informed Consent Statement
Data Availability Statement
Acknowledgments
Conflicts of Interest
References
- Nakanishi, K.; Sakiyama, T.; Imamura, K. On the adsorption of proteins on solid surfaces, a common but very complicated phenomenon. J. Biosci. Bioeng. 2001, 91, 244. [Google Scholar] [CrossRef]
- Roach, P.; Farrar, D.; Perry, C.C. Interpretation of protein adsorption: Surface-induced conformational changes. J. Am. Chem. Soc. 2005, 127, 8168. [Google Scholar] [CrossRef] [PubMed]
- Barnthip, N.; Parhi, P.; Golas, A.; Vogler, E.A. Volumetric interpretation of protein adsorption: Kinetics of protein adsorption competition from binary solution. Biomaterials 2009, 30, 6495. [Google Scholar] [CrossRef]
- Visalakshan, R.M.; MacGregor, M.N.; Sasidharan, S.; Ghazaryan, A.; Mierczynska-Vasilev, A.M.; Morsbach, S.; Mailander, V.; Landfester, K.; Hayball, J.D.; Vasilev, K. Biomaterial surface hydrophobicity-mediated serum protein adsorption and immune responses. ACS Appl. Mater. Interfaces 2019, 11, 27615. [Google Scholar] [CrossRef]
- Wang, K.; Zhou, C.; Hong, Y.; Zhang, X. A review of protein adsorption on bioceramics. Interface Focus 2012, 2, 259. [Google Scholar] [CrossRef]
- Rabe, M.; Verdes, D.; Seeger, S. Understanding protein adsorption phenomena at solid surfaces. Adv. Colloid Interface Sci. 2011, 162, 87. [Google Scholar] [CrossRef]
- Goda, T.; Maeda, Y.; Miyahara, Y. Simultaneous monitoring of protein adsorption kinetics using a quartz crystal microbalance and field-effect transistor integrated device. Anal. Chem. 2012, 84, 7308–7314. [Google Scholar] [CrossRef] [PubMed]
- Vogler, E.A. Protein adsorption in three dimension. Biomaterials 2012, 33, 1201. [Google Scholar] [CrossRef] [PubMed]
- Latour, R.A. The Langmuir isotherm: A commonly applied but misleading approach for the analysis of protein adsorption behavior. J. Biomed. Mater. Res. 2015, 103A, 949. [Google Scholar] [CrossRef]
- Bahadir, E.B.; Sezginturk, M.K. Applications of electrochemical immunosensors for early clinical diagnostics. Talanta 2015, 132, 162. [Google Scholar] [CrossRef] [PubMed]
- Bhakta, S.A.; Evans, E.; Benavidez, T.E.; Garcia, C.D. Protein adsorption onto nanomaterials for the development of biosensors and analytical devices: A review. Anal. Chem. Acta 2015, 872, 7. [Google Scholar] [CrossRef]
- Marruecos, D.F.; Schwartz, D.K.; Kaar, J.L. Impact of surface interactions on protein conformation. Curr. Opin. Colloid Interface Sci. 2018, 38, 45. [Google Scholar] [CrossRef]
- Adamczyk, Z. Protein adsorption: A quest for a universal mechanism. Curr. Opin. Colloid Interface Sci. 2019, 41, 50. [Google Scholar] [CrossRef]
- Yanga, Y.; Bokeb, F.; Qina, Q.; Hubnerc, R.; Knusta, S.; Schwidereka, S.; Grundmeiera, G.; Fischerb, H.; Kellera, A. Effect of nanoscale surface topography on the adsorption of globular proteins. Appl. Surf. Sci. 2021, 535, 147671. [Google Scholar] [CrossRef]
- Brunori, M. Myoglobin strikes back. Protein Sci. 2010, 19, 195. [Google Scholar] [CrossRef] [PubMed]
- Mirceta, S.; Signore, A.V.; Burns, J.M.; Cossins, A.R.; Campbell, K.L.; Berenbrink, M. Evolution of mammalian diving capacity traced by myoglobin net surface charge. Science 2013, 340, 1234192. [Google Scholar] [CrossRef]
- Evans, S.V.; Brayer, G.D. High-resolution study of the three-dimensional structure of horse heart metmyoglobin. J. Mol. Biol. 1990, 213, 885. [Google Scholar] [CrossRef]
- Glandières, J.-M.; Calmettes, P.; Martel, P.; Zentz, C.; Massat, A.; Ramstein, J.; Alpert, B. Solvent-induced Structural Distortions of Horse Metmyoglobin. Eur. J. Biochem. 1995, 227, 241–248. [Google Scholar] [CrossRef] [PubMed]
- Ibel, K.; Stuhrmann, H.B. Comparison of neutron and X-ray scattering of dilute myoglobin solutions. J. Mol. Biol. 1975, 93, 255. [Google Scholar] [CrossRef]
- Wittenberg, J.B.; Wittenberg, B.A. Myoglobin function reassessed. J. Exp. Biol. 2003, 206, 2011. [Google Scholar] [CrossRef] [PubMed]
- Ordway, G.A. Myoglobin: An essential hemoprotein in striated muscle. J. Exp. Biol. 2004, 207, 3441. [Google Scholar] [CrossRef]
- Regis, W.C.B.; Fattori, J.; Santoro, M.M.; Jamin, M.; Ramos, C.H.I. On the difference in stability between horse and sperm whale myoglobins. Arch. Biochem. Biophys. 2005, 436, 168. [Google Scholar] [CrossRef] [PubMed]
- Hendgen-Cotta, U.B.; Kelm, M.; Rassaf, T. Myoglobin functions in the heart. Free Radic. Biol. Med. 2014, 73, 252. [Google Scholar] [CrossRef]
- Dasgupta, A.; Wahed, A. Clinical Chemistry, Immunology and Laboratory Quality Control: A Comprehensive Review for Board Preparation, Certification and Clinical Practice; Elsevier Inc.: Amsterdam, The Netherlands, 2014. [Google Scholar]
- Dyankov, G.; Borisova, E.; Belina, E.; Kisov, H.; Angelov, I.; Gisbrecht, A.; Strijkova, V.; Malinowski, N. A Surface plasmon resonance biosensor based on directly immobilized hemoglobin and myoglobin. Sensors 2020, 20, 5572. [Google Scholar] [CrossRef]
- De Souza Figueiredo, K.C.; van de Ven, W.; Wessling, M.; Moitinho Alves, T.L.; Borges, C.P. Immobilization of myoglobin in sodium alginate composite membranes. Polimeros 2015, 25, 265. [Google Scholar] [CrossRef]
- Yamaguchi, A.; Taki, K.; Kijima, J.; Edanami, Y.; Shibuya, Y. Characterization of myoglobin adsorption into mesoporous silica pores by differential scanning calorimetry. Anal. Sci. 2018, 34, 1393. [Google Scholar] [CrossRef] [PubMed]
- Yamaguchi, A.; Kashimura, C.; Aizawa, M.; Shibuya, Y. Differental scanning calorimetry study on the adsorption of myoglobin at mesoporous silicas: Effects of solution pH and pore size. ACS Omega 2020, 5, 22993. [Google Scholar] [CrossRef] [PubMed]
- Yang, Y.; Knust, S.; Schwiderek, S.; Qin, Q.; Yun, Q.; Grundmeier, G.; Keller, A. Protein adsorption at nanorough titanium oxide surfaces: The importance of surface statistical parameters beyond surface roughness. Nanomaterials 2021, 11, 357. [Google Scholar] [CrossRef] [PubMed]
- Brouette, N.; Fragneto, G.; Cousin, F.; Moulin, M.; Haertlein, M.; Sferrazza, M. A neutron reflection study of adsorbed denaturated myoglobin layers on hydrophobic surfaces. J. Colloid Interface Sci. 2013, 390, 114. [Google Scholar] [CrossRef]
- Kondo, A.; Murakami, K.; Higashitani, K. Circular dichroism studies on conformational changes in protein molecules upon adsorption on ultrafine polystyrene particles. Biotechnol. Bioeng. 1992, 40, 889. [Google Scholar] [CrossRef] [PubMed]
- Lee, J.G.; Lannigan, K.; Shelton, W.A.; Meissner, J.; Bharti, B. Adsorption of myoglobin and corona formation on silica nanoparticles. Langmuir 2020, 36, 14157. [Google Scholar] [CrossRef]
- Morga, M.; Adamczyk, Z.; Basińska, T.; Komar, P.; Gosecka, M.; Żeliszewska, P.; Wasilewska, M. Spheroidal Microparticle Monolayers Characterized by Streaming Potential Measurements. Langmuir 2017, 33, 9916. [Google Scholar] [CrossRef] [PubMed]
- Kubiak, K.; Adamczyk, Z.; Cieśla, M. Fibrinogen adsorption mechanism at the gold substrate revealed by QCM-D measurements and RSA modeling. Colloids Surf. B 2016, 139, 123. [Google Scholar] [CrossRef] [PubMed]
- Dolatshahi-Pirouz, A.; Skeldal, S.; Hovgaard, M.B.; Jensen, T.; Foss, M.; Chevallier, J.; Besenbacher, F. Influence of nanoroughness and detailed surface morphology on structural properties and water-coupling capabilities on surface-bound fibrinogen films. J. Phys. Chem. 2009, 113, 4406. [Google Scholar] [CrossRef]
- Wasilewska, M.; Adamczyk, Z.; Sadowska, M.; Boulmedais, F.; Cieśla, M. Mechanism of fibrinogen adsorption on silica sensors at various pHs: Experiments and theoretical modeling. Langmuir 2019, 35, 11275. [Google Scholar] [CrossRef]
- Vörös, J. The density and refractive index of adsorbing protein layers. Biophys. J. 2004, 87, 553. [Google Scholar] [CrossRef]
- Kubiak, K.; Adamczyk, Z.; Wasilewska, M. Mechanisms of fibrinogen adsorption at the silica substrate determined by QCM-D measurements. J. Colloid Interface Sci. 2015, 457, 378. [Google Scholar] [CrossRef]
- Bingen, P.; Wang, G.; Steinmetz, N.F.; Rodahl, M.; Richter, R.P. Solvation effects in the quartz crystal microbalance with dissipation monitoring response to biomolecular adsorption. A phenomenological approach. Anal. Chem. 2008, 80, 8880. [Google Scholar] [CrossRef]
- Adamczyk, Z.; Sadlej, K.; Wajnryb, E.; Nattich, M.; Ekiel-Jeżewska, M.L.; Bławzdziewicz, J. Streaming potential studies of colloid, polyelectrolyte and protein deposition. Adv. Colloid Interface Sci. 2010, 153, 1. [Google Scholar] [CrossRef] [PubMed]
- Kubiak, K.; Adamczyk, Z.; Maciejewska, J.; Oćwieja, M. Gold nanoparticle monolayers of controlled coverage and structure. J. Phys. Chem. 2016, 120, 11807. [Google Scholar] [CrossRef]
- Wasilewska, M.; Adamczyk, Z.; Pomorska, A.; Nattich-Rak, M.; Sadowska, M. Human serum albumin adsorption kinetics on silica: Influence of protein solution stability. Langmuir 2019, 35, 2639. [Google Scholar] [CrossRef] [PubMed]
- Adamczyk, Z.; Pomorska, A.; Nattich-Rak, M.; Wytrwal-Sarna, M.; Bernasik, A. Protein adsorption mechanism at rough surfaces: Serum albumin at a gold substrate. J. Colloid Interface Sci. 2018, 530, 631. [Google Scholar] [CrossRef]
- Pomorska, A.; Adamczyk, Z.; Nattich-Rak, M.; Sadowska, M. Kinetics of human serum albumin adsorption at silica sensor: Unveiling dynamic hydration function. Colloids Surf. B 2018, 167, 377. [Google Scholar] [CrossRef]
- Dąbkowska, M.; Adamczyk, Z.; Kujda, M. Mechanism of HSA adsorption on mica determined by streaming potential, AFM and XPS measurements. Colloids Surf. B 2013, 101, 442. [Google Scholar] [CrossRef] [PubMed]
- Nattich-Rak, M.; Pomorska, A.; Batys, P.; Adamczyk, Z. Adsorption kinetic of myoglobin on mica and silica–Role of electrostatic interactions. Colloids Surf. B 2021, 198, 111436. [Google Scholar] [CrossRef] [PubMed]
- Noskov, B.; Bykov, A.; Gochev, G.; Lin, S.-Y.; Loglio, G.; Miller, R.; Milyaeva, O. Adsorption layer formation in dispersion of protein aggregates. Adv. Colloid Interface Sci. 2020, 276, 102086. [Google Scholar] [CrossRef]









Publisher’s Note: MDPI stays neutral with regard to jurisdictional claims in published maps and institutional affiliations. |
© 2021 by the authors. Licensee MDPI, Basel, Switzerland. This article is an open access article distributed under the terms and conditions of the Creative Commons Attribution (CC BY) license (https://creativecommons.org/licenses/by/4.0/).
Share and Cite
Wasilewska, M.; Nattich-Rak, M.; Pomorska, A.; Adamczyk, Z. Mechanism of Myoglobin Molecule Adsorption on Silica: QCM, OWLS and AFM Investigations. Int. J. Environ. Res. Public Health 2021, 18, 4944. https://doi.org/10.3390/ijerph18094944
Wasilewska M, Nattich-Rak M, Pomorska A, Adamczyk Z. Mechanism of Myoglobin Molecule Adsorption on Silica: QCM, OWLS and AFM Investigations. International Journal of Environmental Research and Public Health. 2021; 18(9):4944. https://doi.org/10.3390/ijerph18094944
Chicago/Turabian StyleWasilewska, Monika, Małgorzata Nattich-Rak, Agata Pomorska, and Zbigniew Adamczyk. 2021. "Mechanism of Myoglobin Molecule Adsorption on Silica: QCM, OWLS and AFM Investigations" International Journal of Environmental Research and Public Health 18, no. 9: 4944. https://doi.org/10.3390/ijerph18094944
APA StyleWasilewska, M., Nattich-Rak, M., Pomorska, A., & Adamczyk, Z. (2021). Mechanism of Myoglobin Molecule Adsorption on Silica: QCM, OWLS and AFM Investigations. International Journal of Environmental Research and Public Health, 18(9), 4944. https://doi.org/10.3390/ijerph18094944

