Indicators of Land, Water, Energy and Food (LWEF) Nexus Resource Drivers: A Perspective on Environmental Degradation in the Gidabo Watershed, Southern Ethiopia
Abstract
1. Introductions
2. Material and Methods
2.1. Study Area
2.2. Data Sources and Techniques
2.3. Selection of the LWEF Nexus Resource Drivers
| S/No | Main Driver Indicators | Sub-Driver Indicators | Code | Description | Literature |
|---|---|---|---|---|---|
| 1 | Social | Population growth | SC1 | A growing population will increase the use of natural resources. | [3,19,25,26,27,28,29] |
| Poverty | SC2 | Poverty is increasingly recognized as an important driver of forest which affect WEF system. | |||
| Lack of alternative livelihoods | SC3 | Lack of alternative livelihoods leads to little stake in the health and productivity of natural resources. | |||
| Consumption patterns | SC4 | Consumption patterns fairly convincingly explains the dynamics of poor approach to natural resources and their resource use behavior. | |||
| Community awareness | SC5 | Ignorance of local community knowledge is becoming both limitation of their environmental resource and consequence of their using practices. | |||
| Lack of Public involvement | SC6 | Evolving technical and institutional measure to prevent over-extractive resource use. | |||
| 2 | Economic | Increasing income variability | EC1 | Natural resources provide important services to both local on-site and off-site beneficiary, while most off-site beneficiary are “free rider”, this related with income variation. | [2,30,31,32,33,34] |
| Low capital | EC2 | Lack of allocation of sufficient capital investment for resource rehabilitation and control leads to degradation, Because capital budget provides an important tool for the control and evaluation of resources. | |||
| Increasing WEF prices | EC3 | Implication of raising energy prices linked supply of firewood and charcoal, this induces pressure on land resources. | |||
| Increasing land value | EC4 | In recent decades, alarming land value leads to strong land speculation and grabbing, in which expansion of small, large and unplanned industries affect nexus resources. | |||
| Inadequate financial resources | EC5 | Low funding level to restore degraded LWEF nexus resources both from government and NGO’s results on unwise and open use of nexus resources. | |||
| 3 | Institutional and policy change | Outdated legislation | IP1 | There were overall agreement in policy formulation and documentation, however updating and implementing with the pace of resource degradation have inconsistences. | [10,34,35,36,37,38,39,40,41] |
| Inadequate financial capital | IP2 | Inadequate financial capital is characterized by high quality LWEF nexus institution which leads to higher rate of innovation and interlinked business formulation. | |||
| Poor institutional structure | IP3 | LWEF resources can potentially contribute to development outcomes, but nowadays those resources are plagued with unsustainability, poor governance, corruption and conflict of interest which lead to degradation. | |||
| Poor stakeholder network | IP4 | Stakeholder analysis can be used to avoid inflaming conflicts among land, water, energy and food sectors, and ensure that the marginalization of certain groups is not reinforced, and fairly represent diverse interest. | |||
| 4 | Environmental | Fuel wood dependence | EN1 | As populations is increasing from time to time, there would be a massive wood fuel shortage and that an increasingly desperate population would move into untouched forests, causing massive deforestation. | [9,35,41,42,43,44,45,46] |
| Charcoal production | EN2 | Charcoal production has greater environmental cost. It is made by burning large logs in kilns or in mounds of earth to create low-oxygen environment, this leads land degradation which affect water, energy and food. | |||
| Agricultural expansion | EN3 | Agricultural developments are an important driving force behind developments and the organization of society as a whole, which often results in intensive dynamic land-use changes. | |||
| Land use change | EN4 | Land use change encompasses different types of land use expansion in the expense of LWEF. | |||
| Climate change | EN5 | Climate change creates critical challenges with increasing temperature, agro-ecological change, and changing precipitation for water, energy, and food, as well as ecosystem processes. | |||
| Industrial expansion | EN6 | Industrial expansion poses serious challenges in the use of land, water and other NRs. | |||
| 5 | Technology | Lack of input supply | TC1 | Technological input supply increase productivity in agriculture, efficient water and land use. | [46,47,48,49,50,51,52,53,54,55] |
| Inadequate technology adoption and implementation | TC2 | In developing nations, millions lack access to sanitation services and safe drinking water, modern energy sources and optimized land use. | |||
| Attitude towards technology innovation and development | TC3 | Lack of proactive attitudes towards technology efficiency, adoption and implementation results on unwise resource use. | |||
| Lack of infrastructure | TC4 | There is growing momentum to address traditional and emerging threats to the LWEF resources through innovative technology infrastructure. |
2.4. Analytical Hierarchical Process and Pairwise Comparison Matrix
2.5. Path Coefficient Analysis Models
3. Result and Discussion
3.1. Analysis of the Land, Water, Energy and Food (LWEF) Nexus Driver Factor Indicators
3.1.1. Social Drivers
3.1.2. Economic Drivers
3.1.3. Environmental Drivers
3.1.4. Technology as a Driver
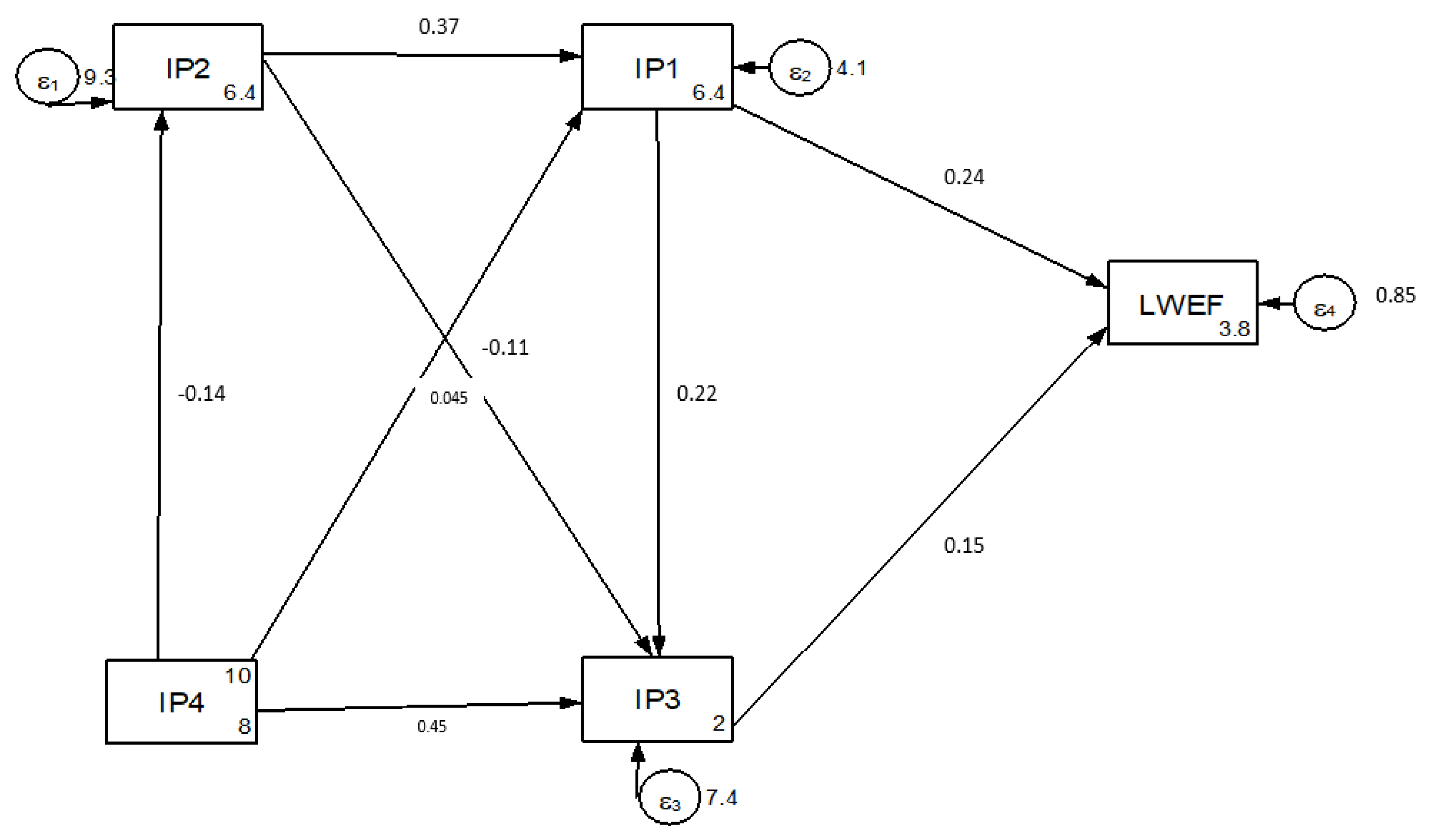
3.1.5. Institutional and Policy Change as a Driver
3.2. Impact of LWEF Nexus Degradation on the Socio-Economy, Livelihoods and Ecology
3.2.1. Socioeconomic Impact
3.2.2. Ecological Impact
3.2.3. Livelihood Impact
4. Conclusions
Author Contributions
Funding
Institutional Review Board Statement
Informed Consent Statement
Acknowledgments
Conflicts of Interest
Appendix A
| Indicators | SC1 | SC2 | SC3 | SC4 | SC5 | SC6 | EC1 | EC2 | EC3 | EC4 | EC5 | IP1 | IP2 | IP3 | IP4 | EN1 | EN2 | EN3 | EN4 | EN5 | EN6 | TC1 | TC2 | TC3 | TC4 | Weight |
|---|---|---|---|---|---|---|---|---|---|---|---|---|---|---|---|---|---|---|---|---|---|---|---|---|---|---|
| SC1 | 1 | 1/5 | 1/3 | 1/7 | 4 | 1/5 | 1/2 | 1 | 1/4 | 1/8 | 7 | 1/9 | 1 | 3 | 1/2 | 2 | 1/3 | 5 | 3 | 2 | 3 | 5 | 1/7 | 1/8 | 1/9 | 0.118 |
| SC2 | 1 | 1/4 | 6 | 8 | 1/4 | 1 | 1 | 4 | 1/2 | 1/2 | 1/2 | 1/3 | 1 | 3 | 1 | 2 | 2 | 1/6 | 4 | 1/3 | 7 | 1 | 2 | 4 | 0.144 | |
| SC3 | 1 | 1/3 | 1/3 | 1/2 | 1/4 | 1/3 | 2 | 1/4 | 1/2 | 1 | 1/2 | 1 | 2 | 1/2 | 3 | 2 | 5 | 1/5 | 1/2 | 1/6 | 1/2 | 2 | 3 | 0.065 | ||
| SC4 | 1 | 1/4 | 1 | 1/5 | 2 | 1/3 | 1/5 | 2 | 2 | 1/5 | 3 | 2 | 1 | 1 | 2 | 3 | 6 | 3 | 1 | 3 | 2 | 1 | 0.063 | |||
| SC5 | 1 | 1/3 | 3 | 5 | 2 | 3 | 1/2 | 1/2 | 2 | 1 | 1 | 2 | 7 | 1/4 | 1 | 3 | 1/7 | 1 | 1 | 2 | 3 | 0.081 | ||||
| SC6 | 1 | 5 | 3 | 5 | 1/2 | 1/2 | 2 | 3 | 2 | 6 | 3 | 4 | 2 | 1/2 | 1 | 1/3 | 5 | 1/7 | 5 | 1/2 | 0.096 | |||||
| EC1 | 1 | 2 | 3 | 1/3 | 3 | 1/5 | 5 | 1 | 2 | 6 | 1 | 3 | 1/5 | 1/4 | 7 | 1/5 | 6 | 5 | 1 | 0.067 | ||||||
| EC2 | 1 | 2 | 1/3 | 1/2 | 3 | 1/2 | 1/2 | 1 | 3 | 1 | 1/5 | 3 | 1/5 | 1 | 1/3 | 1/2 | 1/2 | 1/3 | 0.031 | |||||||
| EC3 | 1 | 1/5 | 1 | 3 | 1/5 | 1 | 1/5 | 1 | 1/3 | 1/2 | 4 | 2 | 6 | 1 | 3 | 3 | 6 | 0.037 | ||||||||
| EC4 | 1 | 1/2 | 1/3 | 1/6 | 2 | 1/2 | 4 | 1/5 | 3 | 2 | 1 | 2 | 3 | 1/4 | 1/5 | 1 | 0.028 | |||||||||
| EC5 | 1 | 1/2 | 2 | 1 | 1/3 | 1/5 | 3 | 2 | 1 | 3 | 3 | 1/2 | 1/2 | 2 | 3 | 0.024 | ||||||||||
| IP1 | 1 | 3 | 4 | 1/6 | 1/2 | 1/3 | 1/5 | 4 | 5 | 1 | 1/2 | 1/2 | 5 | 7 | 0.033 | |||||||||||
| IP2 | 1 | 2 | 5 | 1 | 2 | 1/6 | 5 | 1 | 5 | 3 | 5 | 6 | 3 | 0.038 | ||||||||||||
| IP3 | 1 | 1/9 | 5 | 3 | 7 | 6 | 5 | 2 | 1/2 | 3 | 1/3 | 4 | 0.033 | |||||||||||||
| IP4 | 1 | 1/2 | 6 | 6 | 4 | 4 | 1/3 | 3 | 1/3 | 7 | 1/2 | 0.027 | ||||||||||||||
| EN1 | 1 | 7 | 1/2 | 1/2 | 6 | 5 | 5 | 3 | 5 | 6 | 0.030 | |||||||||||||||
| EN2 | 1 | 5 | 7 | 5 | 4 | 1/3 | 4 | 4 | 2 | 0.025 | ||||||||||||||||
| EN3 | 1 | 5 | 6 | 1/6 | 1/4 | 1 | 1/3 | 1/2 | 0.010 | |||||||||||||||||
| EN4 | 1 | 7 | 4 | 5 | 4 | 1/2 | 6 | 0.020 | ||||||||||||||||||
| EN5 | 1 | 1 | 6 | 2 | 2 | 1/5 | 0.009 | |||||||||||||||||||
| EN6 | 1 | 2 | 5 | 1 | 4 | 0.010 | ||||||||||||||||||||
| TC1 | 1 | 1/6 | 1 | 6 | 0.005 | |||||||||||||||||||||
| TC2 | 1 | 2 | 1/3 | 0.002 | ||||||||||||||||||||||
| TC3 | 1 | 2 | 0.002 | |||||||||||||||||||||||
| TC4 | 1 | 0.001 |
References
- Al-Saidi, M.; Elagib, N.A. Towards understanding the integrative approach of the water, energy and food nexus. Sci. Total. Environ. 2017, 574, 1131–1139. [Google Scholar] [CrossRef] [PubMed]
- Ringler, C.; Bhaduri, A.; Lawford, R. The nexus across water, energy, land and food (WELF): Potential for improved resource use efficiency? Curr. Opin. Environ. Sustain. 2013, 5, 617–624. [Google Scholar] [CrossRef]
- Imasiku, K.; Ntagwirumugara, E. An impact analysis of population growth on energy-water-food-land nexus for ecological sustainable development in Rwanda. Food Energy Secur. 2020, 9, e185. [Google Scholar] [CrossRef]
- Bakhshianlamouki, E.; Masia, S.; Karimi, P.; van der Zaag, P.; Sušnik, J. A system dynamics model to quantify the impacts of restoration measures on the water-energy-food nexus in the Urmia lake Basin, Iran. Sci. Total. Environ. 2020, 708, 134874. [Google Scholar] [CrossRef] [PubMed]
- Abel, C.; Horion, S.; Tagesson, T.; De Keersmaecker, W.; Seddon, A.W.; Abdi, A.M.; Fensholt, R. The human-environment nexus and vegetation-rainfall sensitivity in tropical drylands. Nat. Sustain. 2020, 4, 25–32. [Google Scholar] [CrossRef]
- Van Gevelt, T. The water-energy-food nexus: Bridging the science-policy divide. Curr. Opin. Environ. Sci. Health 2020, 13, 6–10. [Google Scholar] [CrossRef]
- Li, H.; Zhao, Y.; Lin, J. A review of the energy-carbon-water nexus: Concepts, research focuses, mechanisms, and methodologies. Wiley Interdiscip. Rev. Energy Environ. 2020, 9, 358. [Google Scholar] [CrossRef]
- Ding, T.; Liang, L.; Zhou, K.; Yang, M.; Wei, Y. Water-energy nexus: The origin, development and prospect. Ecol. Model. 2020, 419, 108943. [Google Scholar] [CrossRef]
- Zare, M.; Mohammadi-Ivatloo, B.; Abapour, M.; Asadi, S.; Mohammadi, G. The Necessity of a Food-Energy-Water Nexus Aproach for Lake Urmia Basin Under the Risks of Climate Change and Environment Degradation. In Food-Energy-Water Nexus Resilience and Sustainable Development; Springer: Berlin/Heidelberg, Germany, 2020; pp. 201–227. [Google Scholar]
- Ali, M.H.; Zailani, S.; Iranmanesh, M.; Foroughi, B. Impacts of Environmental Factors on Waste, Energy, and Resource Mangement and Sustainable Performance. Sustainability 2019, 11, 2443. [Google Scholar] [CrossRef]
- Nie, Y.; Avraamidou, S.; Xiao, X.; Pistikopoulos, E.N.; Li, J.; Zeng, Y.; Song, F.; Yu, J.; Zhu, M. A Food-Energy-Water Nexus approach for land use optimization. Sci. Total. Environ. 2019, 659, 7–19. [Google Scholar] [CrossRef] [PubMed]
- Mabhaudhi, T.; Nhamo, L.; Mpandeli, S.; Nhemachena, C.; Senzanje, A.; Sobratee, N.; Chivenge, P.P.; Slotow, R.; Naidoo, D.; Liphadzi, S.; et al. The Water-Energy-Food Nexus as a Tool to Transform Rural Livelihoods and Well-Being in Southern Africa. Int. J. Environ. Res. Public Health 2019, 16, 2970. [Google Scholar] [CrossRef] [PubMed]
- Laspidou, C.S.; Mellios, N.; Kofinas, D. Towards Ranking the Water–Energy–Food–Land Use–Climate Nexus Interlinkages for Building a Nexus Conceptual Model with a Heuristic Algorithm. Water 2019, 11, 306. [Google Scholar] [CrossRef]
- 1Wiegleb, V.; Bruns, A. What Is Driving the Water-Energy-Food Nexus? Discourses, Knowledge, and Politics of an Emerging Resource Governance Concept. Front. Environ. Sci. 2018, 6, 128. [Google Scholar] [CrossRef]
- Wang, Y.; Zhao, T. Impacts of urbanization-related factors on CO2 emissions: Evidence from China’s three regions with varied urbanization levels. Atmos. Pollut. Res. 2018, 9, 15–26. [Google Scholar] [CrossRef]
- Duan, C.; Chen, B. Driving factors of water-energy nexus in China. Appl. Energy 2020, 257, 113984. [Google Scholar] [CrossRef]
- Fraser, E.D.; Dougill, A.J.; Mabee, W.E.; Reed, M.; McAlpine, P. Bottom up and top down: Analysis of participatory processes for sustainability indicator identification as a pathway to community empowerment and sustainable environmental management. J. Environ. Manag. 2006, 78, 114–127. [Google Scholar] [CrossRef] [PubMed]
- Dale, V.H.; Beyeler, S.C. Challenges in the development and use of ecological indicators. Ecol. Indic. 2001, 1, 3–10. [Google Scholar] [CrossRef]
- Collomb, J.; Mupeta, P.; Barnes, G.; Child, B. Integrating governance and socioeconomic indicators to assess the performance of community-based natural resources management in Caprivi (Namibia). Environ. Conserv. 2010, 37, 303–309. [Google Scholar] [CrossRef]
- Dibaba, W.T.; Demissie, T.A.; Miegel, K. Drivers and Implications of Land Use/Land Cover Dynamics in Finchaa Catchment, Northwestern Ethiopia. Land 2020, 9, 113. [Google Scholar] [CrossRef]
- Wolde, Z.; Wei, W.; Kunpeng, W.; Ketema, H.; Wang, K. Local community perceptions toward livelihood and water–energy–food nexus: A perspective on food security. Food Energy Secur. 2020, 9, 207. [Google Scholar] [CrossRef]
- Taherzadeh, O.; Caro, D. Drivers of water and land use embodied in international soybean trade. J. Clean. Prod. 2019, 223, 83–93. [Google Scholar] [CrossRef]
- Li, H.; Lin, J.; Zhao, Y.; Kang, J.-N. Identifying the driving factors of energy-water nexus in Beijing from both economy- and sector-wide perspectives. J. Clean. Prod. 2019, 235, 1450–1464. [Google Scholar] [CrossRef]
- Spiegelberg, M.; Baltazar, D.E.; Sarigumba, M.P.E.; Orencio, P.M.; Hoshino, S.; Hashimoto, S.; Taniguchi, M.; Endo, A. Unfolding livelihood aspects of the Water–Energy–Food Nexus in the Dampalit Watershed, Philippines. J. Hydrol. Reg. Stud. 2017, 11, 53–68. [Google Scholar] [CrossRef]
- Shieh, G. On the Misconception of Multicollinearity in Detection of Moderating Effects: Multicollinearity Is Not Always Detrimental. Multivar. Behav. Res. 2010, 45, 483–507. [Google Scholar] [CrossRef] [PubMed]
- Graham, M.H. Confronting Multicollinearity in Ecological Multiple Regression. Ecology 2003, 84, 2809–2815. [Google Scholar] [CrossRef]
- Barbier, E.B.; Hochard, J.P. Land degradation and poverty. Nat. Sustain. 2018, 1, 623–631. [Google Scholar] [CrossRef]
- Rijal, S.; Rimal, B.; Stork, N.; Sharma, H.P. Quantifying the drivers of urban expansion in Nepal. Environ. Monit. Assess. 2020, 192, 1–17. [Google Scholar] [CrossRef] [PubMed]
- Helmy, I. Livelihood Diversification Strategies: Resisting Vulnerability in Egypt; Global Labor Organization: Essen, Germany, 2020. [Google Scholar]
- Terrapon-Pfaff, J.; Ortiz, W.; Dienst, C.; Gröne, M.-C. Energising the WEF nexus to enhance sustainable development at local level. J. Environ. Manag. 2018, 223, 409–416. [Google Scholar] [CrossRef] [PubMed]
- Pimentel, D.; Whitecraft, M.; Scott, Z.R.; Zhao, L.; Satkiewicz, P.; Scott, T.J.; Phillips, J.; Szimak, D.; Singh, G.; Gonzalez, D.O.; et al. Will Limited Land, Water, and Energy Control Human Population Numbers in the Future? Hum. Ecol. 2010, 38, 599–611. [Google Scholar] [CrossRef]
- Mohtar, R.H.; Lawford, R. Present and future of the water-energy-food nexus and the role of the community of practice. J. Environ. Stud. Sci. 2016, 6, 192–199. [Google Scholar] [CrossRef]
- Dogan, E.; Madaleno, M.; Altinoz, B. Revisiting the nexus of financialization and natural resource abundance in resource-rich countries: New empirical evidence from nine indices of financial development. Resour. Policy 2020, 69, 101839. [Google Scholar] [CrossRef]
- Karlberg, L.; Hoff, H.; Amsalu, T.; Andersson, K.; Binnington, T.; Flores-López, F.; de Bruin, A.; Gebrehiwot, S.G.; Gedif, B.; Johnson, O.; et al. Tackling complexity: Understanding the food-energy-environment nexus in Ethiopia’s Lake tana subbasin. Water Altern. 2015, 8, 710–734. [Google Scholar]
- Tanner, A.M.; Johnston, A.L. The Impact of Rural Electric Access on Deforestation Rates. World Dev. 2017, 94, 174–185. [Google Scholar] [CrossRef]
- Pahl-Wostl, C. Governance of the water-energy-food security nexus: A multi-level coordination challenge. Environ. Sci. Policy 2019, 92, 356–367. [Google Scholar] [CrossRef]
- Mendoza, L.C.; Cruz, G.A.; Ciencia, A.N.; Penalba, M.A. Local Policy and Water Access in Baguio City, Philippines. Int. J. Soc. Ecol. Sustain. Dev. 2020, 11, 1–13. [Google Scholar] [CrossRef]
- Kurian, M. The water-energy-food nexus: Trade-offs, thresholds and transdisciplinary approaches to sustainable development. Environ. Sci. Policy 2017, 68, 97–106. [Google Scholar] [CrossRef]
- Granit, J.; Jagerskog, A.; Lindström, A.; Björklund, G.; Bullock, A.; Löfgren, R.; De Gooijer, G.; Pettigrew, S. Regional Options for Addressing the Water, Energy and Food Nexus in Central Asia and the Aral Sea Basin. Int. J. Water Resour. Dev. 2012, 28, 419–432. [Google Scholar] [CrossRef]
- deLlano-Paz, F.; Fernandez, P.M.; Soares, I. Addressing 2030 EU policy framework for energy and climate: Cost, risk and energy security issues. ENERGY 2016, 115, 1347–1360. [Google Scholar] [CrossRef]
- Sušnik, J.; Chew, C.; Domingo, X.; Mereu, S.; Trabucco, A.; Evans, B.; Vamvakeridou-Lyroudia, L.; Savić, D.A.; Laspidou, C.; Brouwer, F. Multi-Stakeholder Development of a Serious Game to Explore the Water-Energy-Food-Land-Climate Nexus: The SIM4NEXUS Approach. Water 2018, 10, 139. [Google Scholar] [CrossRef]
- Trock, W.L. Institutional Factors Affecting Land and Water Development, Lower Rio Grande Valley, Texas. Water Resour. Res. 1969, 5, 1364–1366. [Google Scholar] [CrossRef]
- Vivoda, V. Energy Security Issues in Asia. In Routledge Handbook of Energy in Asia; Routledge: Abingdon, UK, 2017; pp. 272–283. [Google Scholar]
- Amenu, B.T. Assessments of the Effects of Land Degradation on Freshwater and Local Communities Participation in Essera District, Dawro Zone, South Western Ethiopia. Am. J. Nat. Sci. 2017, 1, 1–20. [Google Scholar]
- Costa, R.C.A.; Pereira, G.T.; Pissarra, T.C.T.; Siqueira, D.S.; Fernandes, L.F.S.; Vasconcelos, V.; Fernandes, L.A.; Pacheco, F.A.L. Land capability of multiple-landform watersheds with environmental land use conflicts. Land Use Policy 2019, 81, 689–704. [Google Scholar] [CrossRef]
- Estoque, R.C.; Togawa, T.; Ooba, M.; Gomi, K.; Nakamura, S.; Hijioka, Y.; Kameyama, Y. A review of quality of life (QOL) assessments and indicators: Towards a “QOL-Climate” assessment framework. Ambio 2019, 48, 619–638. [Google Scholar] [CrossRef] [PubMed]
- Hathaway, T. What cost Ethiopia’s Dam Boom? A Look Inside the Expansion of Ethiopia’s Energy Sector; International Rivers, People, Water, Life: Oakland, CA, USA, 2008. [Google Scholar]
- Liu, Q. Interlinking climate change with water-energy-food nexus and related ecosystem processes in California case studies. Ecol. Process. 2016, 5, 389. [Google Scholar] [CrossRef]
- Lee, S.-H.; Mohtar, R.H.; Yoo, S.-H. Assessment of food trade impacts on water, food, and land security in the MENA region. Hydrol. Earth Syst. Sci. 2019, 23, 557–572. [Google Scholar] [CrossRef]
- Gulati, M.; Jacobs, I.; Jooste, A.; Naidoo, D.; Fakir, S. The Water–energy–food Security Nexus: Challenges and Opportunities for Food Security in South Africa. Aquat. Procedia 2013, 1, 150–164. [Google Scholar] [CrossRef]
- Chen, B.; Han, M.; Peng, K.; Zhou, S.; Shao, L.; Wu, X.; Wei, W.; Liu, S.; Li, Z.; Li, J.; et al. Global land-water nexus: Agricultural land and freshwater use embodied in worldwide supply chains. Sci. Total. Environ. 2018, 613–614, 931–943. [Google Scholar] [CrossRef]
- Rasul, G. Managing the food, water, and energy nexus for achieving the Sustainable Development Goals in South Asia. Environ. Dev. 2016, 18, 14–25. [Google Scholar] [CrossRef]
- Lawford, R.G. A Design for a Data and Information Service to Address the Knowledge Needs of the Water-Energy-Food (W-E-F) Nexus and Strategies to Facilitate Its Implementation. Front. Environ. Sci. 2019, 7, 56. [Google Scholar] [CrossRef]
- Chang, Y.; Li, G.; Yao, Y.; Zhang, L.; Yu, C. Quantifying the Water-Energy-Food Nexus: Current Status and Trends. Energies 2016, 9, 65. [Google Scholar] [CrossRef]
- Li, P.-C.; Ma, H.-W. Evaluating the environmental impacts of the water-energy-food nexus with a life-cycle approach. Resour. Conserv. Recycl. 2020, 157, 104789. [Google Scholar] [CrossRef]
- Orr, S.; Pittock, J.; Chapagain, A.; Dumaresq, D. Dams on the Mekong River: Lost fish protein and the implications for land and water resources. Glob. Environ. Chang. 2012, 22, 925–932. [Google Scholar] [CrossRef]
- Delucchi, M.A. Impacts of biofuels on climate change, water use, and land use. Ann. N. Y. Acad. Sci. 2010, 1195, 28–45. [Google Scholar] [CrossRef]
- Thanh, L.N.; De Smedt, F. Application of an analytical hierarchical process approach for landslide susceptibility mapping in A Luoi district, Thua Thien Hue Province, Vietnam. Environ. Earth Sci. 2012, 66, 1739–1752. [Google Scholar] [CrossRef]
- Saaty, T.L. The Analytic Hierarchy and Analytic Network Processes for the Measurement of Intangible Criteria and for Decision-Making. In Multiple Criteria Decision Analysis; Springer: New York, NY, USA, 2016; pp. 363–419. [Google Scholar]
- Heuss, L.; Grevé, M.E.; Schäfer, D.; Busch, V.; Feldhaar, H. Direct and indirect effects of land-use intensification on ant communities in temperate grasslands. Ecol. Evol. 2019, 9, 4013–4024. [Google Scholar] [CrossRef]
- Chouksey, N.; Mishra, G.C.; Chouksey, R. Path Analysis in Rice Yield and Yield Attributing Characters by Structural Equation Model. Int. J. Curr. Microbiol. Appl. Sci. 2020, 9, 3098–3103. [Google Scholar] [CrossRef]
- Maydeu-Olivares, A.; Shi, D.; Rosseel, Y. Instrumental Variables Two-Stage Least Squares (2SLS) vs. Maximum Likelihood Structural Equation Modeling of Causal Effects in Linear Regression Models. Struct. Equ. Model. A Multidiscip. J. 2019, 26, 876–892. [Google Scholar] [CrossRef]
- Ivanova, M. UNEP in Global Environmental Governance: Design, Leadership, Location. Glob. Environ. Politics 2010, 10, 30–59. [Google Scholar] [CrossRef]
- Agboraw, E.; Jones, A. Economics and Natural Resource Constraints. In Resource Constraints and Global Growth; Springer: Berlin/Heidelberg, Germany, 2017; pp. 5–40. [Google Scholar]
- Cosgrove, W.J.; Loucks, D.P. Water management: Current and future challenges and research directions. Water Resour. Res. 2015, 51, 4823–4839. [Google Scholar] [CrossRef]
- Kanianska, R. Agriculture and its Impact on Land-Use, Environment, and Ecosystem Services. In Landscape Ecology—The Influences of Land Use and Anthropogenic Impacts of Landscape Creation; IntechOpen: London, UK, 2016; pp. 1–26. [Google Scholar]
- Bezuneh, T.; Hailemariam, S.; Zeleke, G.; Ababa, A. Proceedings of the Workshop on The State of Agricultural Science and Technology in Ethiopia; Ethiopian Academy of Sciences: Addis Ababa, Ethiopia, 2013. [Google Scholar]
- Ferreira, J.J.; Fernandes, C.I.; Ferreira, F.A. Technology transfer, climate change mitigation, and environmental patent impact on sustainability and economic growth: A comparison of European countries. Technol. Forecast. Soc. Chang. 2020, 150, 119770. [Google Scholar] [CrossRef]
- Flintan, F.; Tedla, S. Natural Resource Management: The Impact of Gender and Social Issues; IDRC: Ottawa, ON, Canada, 2010. [Google Scholar]
- Aggrey, N.; Wambugu, S.; Karugia, J.; Wanga, E. An investigation of the poverty-environmental degradation nexus: A case study of Katonga Basin in Uganda. Res. J. Environ. Earth Sci. 2010, 2, 82–88. [Google Scholar]
- Chung, E.-S.; Park, K.; Lee, K.S. The relative impacts of climate change and urbanization on the hydrological response of a Korean urban watershed. Hydrol. Process. 2010, 25, 544–560. [Google Scholar] [CrossRef]
- Gebrehiwot, S.G.; Bewket, W.; Gärdenäs, A.I.; Bishop, K. Forest cover change over four decades in the Blue Nile Basin, Ethiopia: Comparison of three watersheds. Reg. Environ. Chang. 2014, 14, 253–266. [Google Scholar] [CrossRef]
- Nyberg-Sorensen, N.; Van Hear, N.; Engberg-Pedersen, P. The Migration-Development Nexus: Evidence and Policy Options. Int. Migr. 2002, 40, 49–73. [Google Scholar] [CrossRef]
- Liu, J.; Yang, H.; Cudennec, C.; Gain, A.K.; Hoff, H.; Lawford, R.; Qi, J.; Strasser, L.D.; Yillia, P.T.; Zheng, C. Challenges in operationalizing the water–energy–food nexus. Hydrol. Sci. J. 2017, 62, 1714–1720. [Google Scholar] [CrossRef]
- Mohamed, A.A. Food security situation in Ethiopia: A review study. Int. J. Health Econ. Policy 2017, 2, 86–96. [Google Scholar]
- Coates, D.; Pert, P.L.; Barron, J.; Muthuri, C.; Nguyen-Khoa, S.; Boelee, E.; Jarvis, D.I. Water-Related Ecosystem Services and Food Security. In Managing Water and Agroecosystems for Food Security; CABI: Wallingford, UK, 2013; pp. 29–41. [Google Scholar] [CrossRef]
- Mohammed, A. Problems and Prospects of Rural Saving and Credit Cooperatives (RuSACCOs) in the Context of Chronically Food Insecure Areas: The Case of Meskan District, Gurage Zone, Southern Nations, Nationalities and People Region (SNNPR). Master’s Thesis, St. Mary’s University, San Antonio, TX, USA, April 2016. [Google Scholar]










| Indicators | EN1 | EN2 | EN3 | EN4 | EN5 | EN6 | r | R2 |
|---|---|---|---|---|---|---|---|---|
| EN1 | −0.038 | 0.291 | 0.059 | 0.12 | 0.066 | 0.065 | 0.712 * | 0.809 * |
| EN2 | 0.06 | −0.075 | 0.001 | 0.018 | 0.075 | 0.018 | 0.669 | |
| EN3 | 0.012 | −0.304 | 0.172 | −0.021 | −0.009 | 0.089 | 0.876* | |
| EN4 | 0.052 | 0.054 | −0.060 | 0.147 * | 0.004 | 0.120 | 0.342** | |
| EN5 | 0.290 | 0.038 | 0.021 | 0.089 | 0.194 ** | −0.04 | 0.571 | |
| EN6 | 0.216 | −0.053 | 0.048 | 0.073 | 0.006 | 0.326 ** | 0.432 |
| Indicators | TC1 | TC2 | TC3 | TC4 | r | R2 |
|---|---|---|---|---|---|---|
| TC1 | −0.299 ** | 0.001 | 0.015 ** | −0.031 | 0.907 ** | 0.907 * |
| TC2 | 0.014 | 0.198 ** | 0.002 | −0.002 | 0.147 ** | |
| TC3 | 0.001 * | 0.818 * | 0.079 * | 0.012 | 0.316 ** | |
| TC4 | 0.04 | −0.012 | 0.001 | 0.023 | 0.215 |
| S/No | Socio-Economic Characteristics | Mean | Standard Dev. | % of Impact |
|---|---|---|---|---|
| 1 | Age | 9.2 | 2.67 | 8.11 |
| 2 | Gender | 7.4 | 2.76 | 0.14 |
| 3 | Population density | 6.53 | 2.1 | 0.04 |
| 4 | Economic capacity of household | 7.39 | 3.31 | 0.04 |
| 5 | Level of education | 5.6 | 2.61 | 8.85 |
| 6 | Poor health condition | 10.28 | 2.83 | 10.57 |
| 7 | Access to productive land | 8 | 3.07 | 0.04 |
| 8 | Overall electric supply | 4.97 | 3.07 | 26.0 |
| 9 | Access to clean water | 8.65 | 2.31 | 4.5 |
| 10 | Institutional development | 8.42 | 3.06 | 0.004 |
| 11 | Access/availability of food | 8.78 | 2.53 | 34.6 |
| 12 | Access to irrigation water | 10.6 | 3.94 | 7.1 |
| Livelihoods Activities | Mean | Standard Deviation | Frequency (%) |
|---|---|---|---|
| Crop production | 23.75 | 2.97 | 38.10 |
| Agroforestry | 10.8 | 2.4 | 10.40 |
| Livestock | 18.95 | 4.98 | 16.30 |
| Beekeeping | 11.29 | 6.98 | 5.29 |
| Fishing | 13.21 | 6.18 | 9.90 |
| Fruit production | 9.05 | 4.78 | 7.50 |
| Small-enterprise | 12.24 | 4.03 | 12.50 |
Publisher’s Note: MDPI stays neutral with regard to jurisdictional claims in published maps and institutional affiliations. |
© 2021 by the authors. Licensee MDPI, Basel, Switzerland. This article is an open access article distributed under the terms and conditions of the Creative Commons Attribution (CC BY) license (https://creativecommons.org/licenses/by/4.0/).
Share and Cite
Wolde, Z.; Wei, W.; Ketema, H.; Yirsaw, E.; Temesegn, H. Indicators of Land, Water, Energy and Food (LWEF) Nexus Resource Drivers: A Perspective on Environmental Degradation in the Gidabo Watershed, Southern Ethiopia. Int. J. Environ. Res. Public Health 2021, 18, 5181. https://doi.org/10.3390/ijerph18105181
Wolde Z, Wei W, Ketema H, Yirsaw E, Temesegn H. Indicators of Land, Water, Energy and Food (LWEF) Nexus Resource Drivers: A Perspective on Environmental Degradation in the Gidabo Watershed, Southern Ethiopia. International Journal of Environmental Research and Public Health. 2021; 18(10):5181. https://doi.org/10.3390/ijerph18105181
Chicago/Turabian StyleWolde, Zinabu, Wu Wei, Haile Ketema, Eshetu Yirsaw, and Habtamu Temesegn. 2021. "Indicators of Land, Water, Energy and Food (LWEF) Nexus Resource Drivers: A Perspective on Environmental Degradation in the Gidabo Watershed, Southern Ethiopia" International Journal of Environmental Research and Public Health 18, no. 10: 5181. https://doi.org/10.3390/ijerph18105181
APA StyleWolde, Z., Wei, W., Ketema, H., Yirsaw, E., & Temesegn, H. (2021). Indicators of Land, Water, Energy and Food (LWEF) Nexus Resource Drivers: A Perspective on Environmental Degradation in the Gidabo Watershed, Southern Ethiopia. International Journal of Environmental Research and Public Health, 18(10), 5181. https://doi.org/10.3390/ijerph18105181

