Changes in Body Mass Index, Energy Intake, and Fluid Intake over 60 Months Premortem as Prognostic Factors in Frail Elderly: A Post-Death Longitudinal Study
Abstract
1. Introduction
2. Subjects and Methods
2.1. Measurements
2.2. Physical Measurements
2.3. Energy Intake and Water Intake
2.4. Analysis
2.5. Statistical Analysis
3. Results
3.1. Characteristics of the Study Population
3.2. Changes in Each Parameter from 60 Months Prior to Death and the Relationship among the Parameters
3.3. Relationship between the Amount of Change in Each Parameter and Death
4. Discussion
5. Conclusions
Author Contributions
Funding
Acknowledgments
Conflicts of Interest
References
- Lunney, J.R.; Lynn, J.; Foley, D.J.; Lipson, S.; Guralnik, J.M. Patterns of functional decline at the end of life. JAMA 2003, 289, 2387–2392. [Google Scholar] [CrossRef] [PubMed]
- Coventry, P.A.; Grande, G.E.; Richards, D.A.; Todd, C.J. Prediction of appropriate timing of palliative care for older adults with non-malignant life-threatening disease: A systematic review. Age Ageing 2005, 34, 218–227. [Google Scholar] [CrossRef] [PubMed]
- Mitchell, S.L.; Kiely, D.K.; Hamel, M.B.; Park, P.S.; Morris, J.N.; Fries, B.E. Estimating prognosis for nursing home residents with advanced dementia. JAMA 2004, 291, 2734–2740. [Google Scholar] [CrossRef]
- Ravaglia, G.; Forti, P.; Lucicesare, A.; Pisacane, N.; Rietti, E.; Patterson, C. Development of an easy prognostic score for frailty outcomes in the aged. Age Aging 2008, 37, 161–166. [Google Scholar] [CrossRef]
- Mitchell, S.L.; Miller, S.C.; Teno, J.M.; Kiely, D.K.; Davis, R.B.; Shaffer, M.L. Prediction of 6-month survival of nursing home residents with advanced dementia using ADEPT vs hospice eligibility guidelines. JAMA 2010, 304, 1929–1935. [Google Scholar] [CrossRef] [PubMed]
- Sharifi, F.; Ghaderpanahi, M.; Fakhrzadeh, H.; Mirarefin, M.; Badamchizadeh, Z.; Tajalizadekhoob, Y.; Fadayivatan, R.; Philp, I.; Larijani, B. Older people’s mortality index: Development of a practical model for prediction of mortality in nursing homes (Kahrizak Elderly Study). Geriatr. Gerontol. Int. 2012, 12, 36–45. [Google Scholar] [CrossRef] [PubMed]
- Lunney, J.R.; Lynn, J.; Hogan, C. Profiles of older medicare decedents. J. Am. Geriatr. Soc. 2002, 50, 1108–1112. [Google Scholar] [CrossRef]
- Seow, H.; Barbera, L.; Sutradhar, R.; Howell, D.; Dudgeon, D.; Atzema, C.; Liu, Y.; Husain, A.; Sussman, J.; Earle, C. Trajectory of performance status and symptom scores for patients with cancer during the last six months of life. J. Clin. Oncol. 2011, 29, 1151–1158. [Google Scholar] [CrossRef]
- Lynn, J. Serving patients who may die soon and their families; the role of hospice and other services. JAMA 2001, 285, 925–932. [Google Scholar] [CrossRef]
- Gill, T.M.; Gahbauer, E.A.; Han, L.; Allore, H.G. Trajectories of disability in the last year of life. N. Engl. J. Med. 2010, 362, 1173–1180. [Google Scholar] [CrossRef]
- Brown, M.A.; Sampson, E.L.; Jones, L.; Barron, A.M. Prognostic indicators of 6-month mortality in elderly people with advanced dementia: A systematic review. Palliat. Med. 2013, 27, 389–400. [Google Scholar] [CrossRef] [PubMed]
- Sergi, G.; Perissinotto, E.; Pisent, C.; Buja, A.; Maggi, S.; Coin, A.; Grigoletto, F.; Enzi, G. An adequate threshold for body mass index to detect underweight condition in elderly persons: The Italian Longitudinal Study on Aging (ILSA). J. Gerontol. A Biol. Sci. Med. Sci. 2005, 60, 866–871. [Google Scholar] [CrossRef] [PubMed]
- Mazza, A.; Zamboni, S.; Tikhonoff, V.; Schiavon, L.; Pessina, A.C.; Casiglia, E. Body mass index and mortality in elderly men and women from general population. The experience of Cardiovascular Study in the Elderly (CASTEL). Gerontology 2007, 53, 36–45. [Google Scholar] [CrossRef] [PubMed]
- Veronese, N.; De Rui, M.; Toffanello, E.D.; De Ronch, I.; Perissinotto, E.; Bolzetta, F.; D’Avanzo, B.; Cardin, F.; Coin, A.; Manzato, E.; et al. Body mass index as a predictor of all-cause mortality in nursing home residents during a 5-year follow-up. J. Am. Med. Dir. Assoc. 2013, 14, 53–57. [Google Scholar] [CrossRef]
- Yokobayashi, K.; Matsushima, M.; Fujinuma, Y.; Tazuma, S. Retrospective cohort study of the incidence and risk of fever in elderly people living at home: A pragmatic aspect of home medical management in Japan. Geriatr. Gerontol. Int. 2013, 13, 887–893. [Google Scholar] [CrossRef]
- Fried, L.P.; Tangen, C.M.; Walston, J.; Newman, A.B.; Hirsch, C.; Gottdiener, J.; Seeman, T.; Tracy, R.; Kop, W.J.; Burke, G.; et al. Cardiovascular Health Study Collaborative Research Group. Frailty in older adults: Evidence for a phenotype. J. Gerontol. A Biol. Sci. Med. Sci. 2001, 56, M146–M156. [Google Scholar] [CrossRef]
- NHS. Guidance on the Measurement and Estimation of Height and Weight. 2013. Available online: https://www.nhstaysidecdn.scot.nhs.uk/NHSTaysideWeb/idcplg?IdcService=GET_SECURE_FILE&Rendition=web&RevisionSelectionMethod=LatestReleased&noSaveAs=1&dDocName=prod_217927 (accessed on 21 February 2020).
- Ganpule, A.A.; Tanaka, S.; Ishikawa-Takata, K.; Tabata, I. Interindividual variability in sleeping metabolic rate in Japanese subjects. Eur. J. Clin. Nutr. 2007, 61, 1256–1261. [Google Scholar] [CrossRef]
- Miyake, R.; Tanaka, S.; Ohkawara, K.; Ishikawa-Takata, K.; Hikihara, Y.; Taguri, E.; Kayashita, J.; Tabata, I. Validity of predictive equations for basal metabolic rate in Japanese adults. J. Nutr. Sci. Vitam. 2011, 57, 224–232. [Google Scholar] [CrossRef]
- Flegal, K.M.; Graubard, B.I.; Williamson, D.F.; Gail, M.H. Cause-specific excess deaths associated with underweight, overweight, and obesity. JAMA 2007, 298, 2028–2037. [Google Scholar] [CrossRef]
- Jee, S.H.; Sull, J.W.; Park, J.; Lee, S.Y.; Ohrr, H.; Guallar, E.; Samet, J.M. Body-mass index and mortality in Korean men and women. N. Engl. J. Med. 2006, 355, 779–787. [Google Scholar] [CrossRef]
- Luchsinger, J.A.; Patel, B.; Tang, M.X.; Schupf, N.; Mayeux, R. Body mass index, dementia, and mortality in the elderly. J. Nutr. Health Aging 2008, 12, 127–131. [Google Scholar] [CrossRef] [PubMed]
- Volpato, S.; Romagnoni, F.; Soattin, L.; Blè, A.; Leoci, V.; Bollini, C.; Fellin, R.; Zuliani, G. Body mass index, body cell mass, and 4-year all-cause mortality risk in older nursing home residents. J. Am. Geriatr. Soc. 2004, 52, 886–891. [Google Scholar] [CrossRef] [PubMed]
- Roh, L.; Braun, J.; Chiolero, A.; Bopp, M.; Rohrmann, S.; Faeh, D. Mortality risk associated with underweight: A census-linked cohort of 31,578 individuals with up to 32 years of follow-up. BMC Public Health 2014, 14, 371. [Google Scholar] [CrossRef] [PubMed]
- Kvamme, J.M.; Holmen, J.; Wilsgaard, T.; Florholmen, J.; Midthjell, K.; Jacobsen, B.K. Body mass index and mortality in elderly men and women: The Tromso and HUNT studies. J. Epidemiol. Community Health 2012, 66, 611–617. [Google Scholar] [CrossRef] [PubMed]
- Takata, Y.; Ansai, T.; Soh, I.; Akifusa, S.; Sonoki, K.; Fujisawa, K.; Awano, S.; Kagiyama, S.; Hamasaki, T.; Nakamichi, I.; et al. Association between body mass index and mortality in an 80-year-old population. J. Am. Geriatr. Soc. 2007, 55, 913–917. [Google Scholar] [CrossRef] [PubMed]
- Liu, L.; Bopp, M.M.; Roberson, P.K.; Sullivan, D.H. Undernutrition and risk of mortality in elderly patients within 1 year of hospital discharge. J. Gerontol. A Biol. Sci. Med. Sci. 2002, 57, M741–M746. [Google Scholar] [CrossRef] [PubMed]
- Finucane, T.E.; Christmas, C.; Travis, K. Tube feeding in patients with advanced dementia: A review of the evidence. JAMA 1999, 282, 1365–1370. [Google Scholar] [CrossRef]
- Borum, M.L.; Lynn, J.; Zhong, Z.; Roth, K.; Connors, A.F., Jr.; Desbiens, N.A.; Phillips, R.S.; Dawson, N.V. The effect of nutritional supplementation on survival in seriously ill hospitalized adults: An evaluation of the SUPPORT data. Study to Understand Prognoses and Preferences for Outcomes and Risks of Treatments. J. Am. Geriatr. Soc. 2000, 48, S33–S38. [Google Scholar] [CrossRef]


| Item | (N = 106) | ||
|---|---|---|---|
| Sex | Male | 17 | 16% |
| Female | 89 | 84% | |
| Mean age ± SD | |||
| 90.1 ± 7.1 | |||
| Male | 88.9 ± 7.2 | ||
| Female | 90.4 ± 7.2 | ||
| No. of subjects according to age | ≤69 | 0 | 0% |
| 70–74 | 4 | 4% | |
| 75–79 | 4 | 4% | |
| 80–84 | 14 | 13% | |
| 85–89 | 21 | 20% | |
| 90–94 | 31 | 29% | |
| 95–99 | 24 | 23% | |
| ≥100 | 8 | 8% | |
| Months Prior to Death | BMI (kg/m2) | Energy Intake (kcal) | ||||
|---|---|---|---|---|---|---|
| Mean | Standard Deviation (SD) | p-Value (Comparative Value 18.5) | Mean | SD | p-Value (Comparative Value 830) | |
| Immediately prior to death | 16.2 | 3.5 | <0.001 * | 500 | 372 | <0.001 * |
| 1 | 16.4 | 3.6 | <0.001 * | 763 | 361 | 0.0577 |
| 2 | 16.6 | 3.5 | <0.001 * | 875 | 320 | 0.1471 |
| 3 | 16.8 | 3.5 | <0.001 * | 923 | 316 | 0.0029 |
| 4 | 17.0 | 3.3 | <0.001 * | 972 | 299 | <0.001 |
| 5 | 17.1 | 3.4 | <0.001 * | 1002 | 290 | <0.001 |
| 6 | 17.3 | 3.4 | <0.001 * | 1038 | 279 | <0.001 |
| 7 | 17.5 | 3.4 | 0.0024 * | 1056 | 294 | <0.001 |
| 8 | 17.7 | 3.4 | 0.0188 * | 1077 | 271 | <0.001 |
| 9 | 17.8 | 3.4 | 0.0420 * | 1091 | 264 | <0.001 |
| 10 | 18.0 | 3.4 | 0.1175 | 1096 | 257 | <0.001 |
| 11 | 18.0 | 3.5 | 0.1878 | 1122 | 249 | <0.001 |
| 12 | 18.1 | 3.5 | 0.2175 | 1138 | 241 | <0.001 |
| 13 | 18.2 | 3.5 | 0.3971 | 1125 | 259 | <0.001 |
| 14 | 18.2 | 3.5 | 0.4632 | 1139 | 247 | <0.001 |
| 15 | 18.3 | 3.5 | 0.5060 | 1143 | 252 | <0.001 |
| 16 | 18.4 | 3.5 | 0.6659 | 1130 | 257 | <0.001 |
| 17 | 18.5 | 3.4 | 0.9945 | 1142 | 254 | <0.001 |
| 18 | 18.6 | 3.5 | 0.7640 | 1159 | 246 | <0.001 |
| 19 | 18.6 | 3.4 | 0.7465 | 1184 | 235 | <0.001 |
| 20 | 18.7 | 3.3 | 0.5554 | 1172 | 248 | <0.001 |
| 21 | 18.9 | 3.4 | 0.2739 | 1151 | 295 | <0.001 |
| 22 | 18.9 | 3.5 | 0.2904 | 1169 | 267 | <0.001 |
| 23 | 18.9 | 3.3 | 0.2386 | 1195 | 233 | <0.001 |
| 24 | 18.9 | 3.3 | 0.1721 | 1187 | 232 | <0.001 |
| Variable | △1 | △2 | |||
|---|---|---|---|---|---|
| Mean | SD | Mean | SD | p-Value | |
| BMI (kg/m2) | 1.9 | 2.0 | 0.9 | 1.8 | <0.001 |
| Energy intake (kcal) | 638 | 382 | 49 | 204 | <0.001 |
| Fluid intake(mL) | 199 | 243 | −12 | 191 | <0.001 |
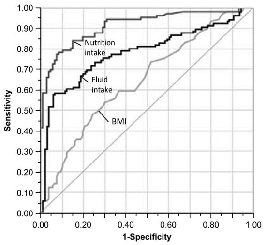
| Variable | AUC | 95% Confidence Interval | p-Value | Sensitivity | Specificity | Cutoff Value | Odds Ratio with 1SD | |
|---|---|---|---|---|---|---|---|---|
| Lower Limit | Upper Limit | |||||||
| BMI (kg/m2) | 0.645 | 0.574 | 0.721 | <0.001 | 49% | 75% | 1.7 | 1.80 |
| Nutritional intake (kcal) | 0.912 | 0.875 | 0.953 | <0.001 | 77% | 92% | 300 | 17.32 |
| Fluid intake (mL) | 0.775 | 0.720 | 0.848 | <0.001 | 58% | 94% | 126 | 3.47 |
© 2020 by the authors. Licensee MDPI, Basel, Switzerland. This article is an open access article distributed under the terms and conditions of the Creative Commons Attribution (CC BY) license (http://creativecommons.org/licenses/by/4.0/).
Share and Cite
Kawakami, Y.; Hamano, J. Changes in Body Mass Index, Energy Intake, and Fluid Intake over 60 Months Premortem as Prognostic Factors in Frail Elderly: A Post-Death Longitudinal Study. Int. J. Environ. Res. Public Health 2020, 17, 1823. https://doi.org/10.3390/ijerph17061823
Kawakami Y, Hamano J. Changes in Body Mass Index, Energy Intake, and Fluid Intake over 60 Months Premortem as Prognostic Factors in Frail Elderly: A Post-Death Longitudinal Study. International Journal of Environmental Research and Public Health. 2020; 17(6):1823. https://doi.org/10.3390/ijerph17061823
Chicago/Turabian StyleKawakami, Yoshiaki, and Jun Hamano. 2020. "Changes in Body Mass Index, Energy Intake, and Fluid Intake over 60 Months Premortem as Prognostic Factors in Frail Elderly: A Post-Death Longitudinal Study" International Journal of Environmental Research and Public Health 17, no. 6: 1823. https://doi.org/10.3390/ijerph17061823
APA StyleKawakami, Y., & Hamano, J. (2020). Changes in Body Mass Index, Energy Intake, and Fluid Intake over 60 Months Premortem as Prognostic Factors in Frail Elderly: A Post-Death Longitudinal Study. International Journal of Environmental Research and Public Health, 17(6), 1823. https://doi.org/10.3390/ijerph17061823

