Environmentally Friendly Quinolones Design for a Two-Way Choice between Biotoxicity and Genotoxicity through Double-Activity 3D-QSAR Model Coupled with the Variation Weighting Method
Abstract
1. Introduction
2. Materials and Methods
2.1. Data Source of QNs Biotoxicity on Ryegrass: Molecular Docking Method
2.2. QNs Biotoxicity Characterization to Ryegrass-Variation Weighting Method
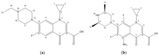
2.3. Molecular Modification of QNs Derivatives: Double-Activity 3D-QSAR Model
2.4. Analysis of the Combined Toxicity Mechanism of QNs and Its Derivatives on Ryegrass
2.4.1. Mixed Toxicity Index Method
2.4.2. Molecular Dynamics
3. Results and Analysis
3.1. Calculation of the Biotoxicity of QNs on Ryegrass Based on the Variation Weighting Method
3.2. Evaluation of the Double-Activity 3D-QSAR Model of the Biotoxicity of QNs on Ryegrass
3.3. Molecular Modification of the Low Biotoxicity of QNs Derivatives on Ryegrass-3D Contour Maps
3.4. Evaluation of the Environmental Friendliness and Functional Properties of ENR and SPA Derivatives
3.4.1. Evaluation of the Environmental Friendliness
3.4.2. Evaluation of the Functional Properties
3.5. Analysis of the Mechanism of the Combined Toxicity of QNs on Ryegrass Based on the Mixture Toxic Index Method and Molecular Dynamics
3.5.1. Analysis Based on the Mixed Toxicity Index Method
3.5.2. Analysis Based on Molecular Dynamics
4. Conclusions
Author Contributions
Funding
Conflicts of Interest
References
- Rodriguez-Mozaz, S.; Vaz-Moreira, I.; Varela, D.G.S.; Llorca, M.; Barceló, D.; Schubert, S.; Berendonk, T.U.; Michael-Kordatou, I.; Fatta-Kassinos, D.; Martinez, J.L.; et al. Antibiotic residues in final effluents of European wastewater treatment plants and their impact on the aquatic environment. Environ. Int. 2020, 140, 1–11. [Google Scholar] [CrossRef]
- Kümmerer, K. Antibiotics in the aquatic environment—A review-Part I. Chemosphere 2009, 75, 417–434. [Google Scholar] [CrossRef] [PubMed]
- Aldred, K.J.; Kerns, R.J.; Osheroff, N. Mechanism of Quinolone Action and Resistance. Biochemistry 2014, 53, 1565–1574. [Google Scholar] [CrossRef] [PubMed]
- Ghaly, H.; Jörns, A.; Rustenbeck, I. Effect of fluoroquinolones on mitochondrial function in pancreatic beta cells. Eur. J. Pharm. Sci. 2014, 52, 206–214. [Google Scholar] [CrossRef] [PubMed]
- Zhang, G.D.; Dong, W.P.; Liu, X.H.; Liu, Y.; Zhang, L.L.; Yan, X.S.; Wang, W.L. Occurrence, fate and risk assessment of antibiotics in water environment of China. Environ. Chem. 2018, 37, 1491–1500. [Google Scholar]
- Picó, Y.; Andreu, V. Fluoroquinolones in soil-risks and challenges. Anal. Bioanal. Chem. 2006, 387, 1287–1299. [Google Scholar] [CrossRef] [PubMed]
- Ji, X.L.; Shen, Q.H.; Liu, F.; Ma, J.; Xu, G.; Wang, Y.L.; Wu, M.H. Antibiotic resistance gene abundances associated with antibiotics and heavy metals in animal manures and agricultural soils adjacent to feedlots in Shanghai; China. J. Hazard. Mater. 2012, 235–236, 178–185. [Google Scholar] [CrossRef]
- Gao, L.H.; Shi, Y.L.; Li, W.H.; Niu, H.Y.; Liu, J.M.; Cai, Y.Q. Occurrence of antibiotics in eight sewage treatment plants in Beijing, China. Chemosphere 2012, 86, 665–671. [Google Scholar] [CrossRef]
- Yan, C.X.; Yang, Y.; Zhou, J.L.; Liu, M.; Nie, M.H.; Shi, H.; Gu, L.J. Antibiotics in the surface water of the Yangtze Estuary: Occurrence, distribution and risk assessment. Environ. Pollut. 2013, 175, 22–29. [Google Scholar] [CrossRef]
- Vasudevan, D.; Bruland, G.L.; Torrance, B.S.; Upchurch, V.G.; MacKay, A.A. pH-dependent ciprofloxacin sorption to soils: Interaction mechanisms and soil factors influencing sorption. Geoderma 2009, 151, 68–76. [Google Scholar] [CrossRef]
- Yang, L.; Wu, L.H.; Liu, W.X.; Huang, Y.J.; Luo, Y.M.; Christie, P. Dissipation of antibiotics in three different agricultural soils after repeated application of biosolids. Environ. Sci. Pollut. Res. 2018, 25, 104–114. [Google Scholar] [CrossRef] [PubMed]
- Morales-Muñoz, S.; Luque-García, J.L.; LuquedeCastro, M.D. Continuous microwave-assisted extraction coupled with derivatization and fluorimetric monitoring for the determination of fluoroquinolone antibacterial agents from soil samples. J. Chromatogr. A 2004, 1059, 25–31. [Google Scholar] [CrossRef] [PubMed]
- Golet, E.M.; Strehler, A.; Alder, A.C.; Giger, W. Determination of Fluoroquinolone Antibacterial Agents in Sewage Sludge and Sludge-Treated Soil Using Accelerated Solvent Extraction Followed by Solid-Phase Extraction. Anal. Chem. (Wash.) 2002, 74, 5455–5462. [Google Scholar] [CrossRef] [PubMed]
- Wang, Y.M. Toxic Effects of Cu and Fluoroquinolone Antibiotics on Ryegrass. Master’s Thesis, Hebei University of Science and Technology, Shijiazhuang, China, 2019. [Google Scholar]
- Lu, J.Y.; Li, X.; Yang, Y.T.; Nie, X.P. Toxic effects of nutylated hydroxyanisole and norfloxacin on aquatic organisms. Ecol. Sci. 2007, 26, 54–59. [Google Scholar]
- Pfeifer, M.; Martis, M.; Asp, T.; Mayer, K.F.X.; Lübberstedt, T.; Byrne, S.; Frei, U.; Studer, B. The Perennial Ryegrass Genome Zipper: Targeted Use of Genome Resources for Comparative Grass Genomics. Plants Physiol. (Bethesda) 2013, 161, 571–582. [Google Scholar] [CrossRef]
- Günther, T.; Dornberger, U.; Fritsche, W. Effects of ryegrass on biodegradation of hydrocarbons in soil. Chemosphere 1996, 33, 203–215. [Google Scholar] [CrossRef]
- Peach, M.E.; Hicks Pries, C.E.; Friedland, A.J. Plants and earthworms control soil carbon and water quality trade-offs in turfgrass mesocosms. Sci. Total Environ. 2021, 753, 1–10. [Google Scholar] [CrossRef]
- Cyriac, D.; Hofmann, R.W.; Stewart, A.; Sathish, P.; Winefield, C.S.; Moot, D.J. Intraspecific differences in long-term drought tolerance in perennial ryegrass. PLoS ONE 2018, 13, e0194977. [Google Scholar] [CrossRef]
- Azanu, D.; Styrishave, B.; Darko, G.; Weisser, J.J.; Abaidoo, R.C. Occurrence and risk assessment of antibiotics in water and lettuce in Ghana. Sci. Total Environ. 2018, 622–623, 293–305. [Google Scholar] [CrossRef]
- Hu, X.Q.; Zhou, Q.X.; Luo, Y. Occurrence and source analysis of typical veterinary antibiotics in manure, soil, vegetables and groundwater from organic vegetable bases, northern China. Environ. Pollut. 2010, 158, 2992–2998. [Google Scholar] [CrossRef]
- Jin, C.X.; Chen, Q.Y.; Sun, R.L.; Zhou, Q.X.; Liu, J.J. Eco-toxic effects of sulfadiazine sodium, sulfamonomethoxine sodium and enrofloxacin on wheat, Chinese cabbage and tomato. Ecotoxicology 2009, 18, 878–885. [Google Scholar] [CrossRef] [PubMed]
- Migliore, L.; Cozzolino, S.; Fiori, M. Phytotoxicity to and uptake of enrofloxacin in crop plants. Chemosphere 2003, 52, 1233–1244. [Google Scholar] [CrossRef]
- Hoang, T.T.T.; Tu, L.T.C.; Le, N.P.; Dao, Q.P.; Trinh, P.H. Fate of fluoroquinolone antibiotics in Vietnamese coastal wetland ecosystem. Wetl. Ecol. Manag. 2012, 20, 399–408. [Google Scholar] [CrossRef]
- Tuo, X.X.; Gu, J.; Wang, X.J.; Sun, Y.X.; Duan, M.L.; Sun, W.; Yin, Y.A.; Guo, A.Y.; Zhang, L. Prevalence of quinolone resistance genes, copper resistance genes, and the bacterial communities in a soil-ryegrass system co-polluted with copper and ciprofloxacin. Chemosphere 2018, 197, 643–650. [Google Scholar] [CrossRef]
- Tyrrell, C.; Burgess, C.M.; Brennan, F.P.; Walsh, F. Antibiotic resistance in grass and soil. Access Microbiol. 2019, 47, 477–486. [Google Scholar] [CrossRef] [PubMed]
- Mary, L.G.; David, E.S. Fortified Foods and Phytoremediation. Two Sides of the Same Coin. Plant Physiol. (Bethesda) 2001, 125, 164–167. [Google Scholar]
- Yan, A.; Wang, Y.M.; Tan, S.N.; Yusof, M.L.M.; Ghosh, S.; Chen, Z. Phytoremediation: A Promising Approach for Revegetation of Heavy Metal-Polluted Land. Front. Plant Sci. 2020, 11, 359. [Google Scholar] [CrossRef]
- Deng, S.J.; Ma, C.Y.; Yan, Y.; Ye, X.F.; Wang, G.X. Ecotoxicological Effects of Three Antibiotics on Seed Germination of Lolium perenne. Asian J. Ecotoxicol. 2019, 14, 279–285. [Google Scholar]
- Wei, X.; Wu, S.C.; Nie, X.P.; Yediler, A.; Wong, M.H. The effects of residual tetracycline on soil enzymatic activities and plant growth. J. Environ. Sci. Health Part B 2009, 44, 461–471. [Google Scholar] [CrossRef]
- Zhao, Y. Study on the Migration in Soil-Plant System and Ecological Toxicity to Plant of Two Typical Antibiotics. Master’s Thesis, Hebei University of Science and Technology, Shijiazhuang, China, 2016. [Google Scholar]
- Pei, M.; Liang, Y.T.; Yi, L.Y.; Cao, S.N.; Yang, Z.P.; Wang, D.D.; Zhao, Y. Degradation of residual antibiotics in soils by ryegrass and its effect on microbial activity. Chin. J. Environ. Eng. 2017, 11, 3179–3186. [Google Scholar]
- Liu, Q.H. The Preliminary Study about Antibiotics Residues Analysis in Herbs and Grass and Their Accumulation Pattern. Master’s Thesis, Chinese Academy of Agricultural Sciences, Beijing, China, 2012. [Google Scholar]
- Jin, L. Effects of PAHs on Endophytic Bacteria in Ryegrass and Isolation, Performance of a Phenanthrene-Degrading Endophytic Bacterium. Master’s Thesis, Nanjing Agricultural University, Nanjing, China, 2014. [Google Scholar]
- Ren, Z.X.; Xu, H.H.; Wang, Y.W.; Li, Y.F.; Han, S.; Ren, J.B. Combined toxicity characteristics and regulation of residual quinolone antibiotics in water environment. Chemosphere 2021, 263, 1–8. [Google Scholar] [CrossRef] [PubMed]
- Mao, X.W.; Xue, Q.G.; Xia, Q.F.; Li, D.F.; Lin, Z.H. Studies on genes and protein activities of extracellular superoxide dismutase homologs in Pacific oysters (Crassostrea gigas). J. Biol. 2020, 37, 35–39. [Google Scholar]
- Xu, J. Research progress in superoxide dismutase and its application. Sci. Technol. Food Ind. 2013, 34, 387–391. [Google Scholar]
- Dong, L.; He, Y.Z.; Wang, Y.L.; Dong, Z.Y. Research Progress on Application of Superoxide Dismutase (SOD). J. Agric. Sci. Technol. 2013, 15, 53–58. [Google Scholar]
- Deng, F.F.; Yang, S.L.; Gong, M. Regulation of Cell Signaling Molecules on Proline Metabolism in Plants under Abiotic Stress. Plant Physiol. J. 2015, 51, 1573–1582. [Google Scholar]
- Zeng, Y.; Yan, L.; Liu, Y.L.; Zeng, Z.J.; Jiang, C.C. Effects of Exogenous Proline on the Growth, Physiological Characteristics, and Proline Metabolism of Cotton Seedlings under Boron Deficiency Stress. Cotton Sci. 2020, 32, 258–268. [Google Scholar]
- Knapp, S.; Kardinahl, S.; Hellgren, N.; Tibbelin, G.; Schäfer, G.; Ladenstein, R. Refined crystal structure of a superoxide dismutase from the hyperthermophilic archaeon Sulfolobus acidocaldarius at 2.2 A resolution. J. Mol. Biol. 1999, 285, 689–702. [Google Scholar] [CrossRef]
- Klychnikov, O.I.; Shamorkina, T.M.; Weeks, S.D.; Van-Leeuwen, H.C.; Corver, J.; Drijfhout, J.W.; Van-Veelen, P.A.; Sluchanko, N.N.; Strelkov, S.V.; Hensbergen, P.J. Discovery of a new Pro-Pro endopeptidase, PPEP-2, provides mechanistic insights into the differences in substrate specificity within the PPEP family. J. Biol. Chem. 2018, 293, 11154–11165. [Google Scholar] [CrossRef] [PubMed]
- Ren, Z.X.; Wang, Y.; Xu, H.H.; Li, Y.F.; Han, S. Fuzzy Comprehensive Evaluation Assistant 3D-QSAR of Environmentally Friendly FQs to Reduce ADRs. Int. J. Environ. Res. Public Health 2019, 16, 3161. [Google Scholar] [CrossRef]
- Hou, Y.L.; Zhao, Y.Y.; Li, Y. Environmentally Friendly Fluoroquinolone Derivatives with Lower Plasma Protein Binding Rate Designed Using 3D-QSAR, Molecular Docking and Molecular Dynamics Simulation. Int. J. Environ. Res. Public Health 2020, 17, 6626. [Google Scholar] [CrossRef]
- Gu, W.W.; Li, Q.; Li, Y. Law and mechanism analysis of biodegradability of polychlorinated naphthalenes based on principal component analysis, QSAR models, molecular docking and molecular dynamics simulation. Chemosphere 2020, 243, 1–8. [Google Scholar] [CrossRef]
- Qu, R.J.; Liu, H.X.; Feng, M.B.; Yang, X.; Wang, Z.Y. Investigation on Intramolecular Hydrogen Bond and Some Thermodynamic Properties of Polyhydroxylated Anthraquinones. J. Chem. Eng. Data 2012, 57, 2442–2455. [Google Scholar] [CrossRef]
- Zeng, X.L.; Qu, R.J.; Feng, M.B.; Chen, J.; Wang, L.S.; Wang, Z.Y. Photodegradation of Polyfluorinated Dibenzo-p-Dioxins in Organic Solvents: Experimental and Theoretical Studies. Environ. Sci. Technol. 2016, 50, 8128–8134. [Google Scholar] [CrossRef] [PubMed]
- Gu, W.W.; Zhao, Y.Y.; Li, Q.; Li, Y. Environmentally friendly polychlorinated naphthalenes (PCNs) derivatives designed using 3D-QSAR and screened using molecular docking, density functional theory and health-based risk assessment. J. Hazard. Mater. 2019, 363, 316–327. [Google Scholar] [CrossRef]
- Könemann, H. Fish toxicity tests with mixtures of more than two chemicals: A proposal for a quantitative approach and experimental results. Toxicology 1981, 19, 229–238. [Google Scholar] [CrossRef]
- Wang, H.Q.; Dong, Y.Y.; Wang, L.W.; Gao, W.Q.; Zou, X.J. The Toxicity of Four Quinolones to Photobacterium phosphoreum. Asian J. Ecotoxicol. 2017, 12, 453–459. [Google Scholar]
- Yang, L.Z.; Liu, M. 3D-QSAR Model of Polybrominated Biphenyls Tri-effect Modified by Standard Deviation Standardization Method and Its Application in Environmental Friendly Molecular Modification. Chem. J. Chin. Univ. 2019, 40, 2471–2479. [Google Scholar]
- Wang, X.L.; Gu, W.W.; Guo, E.M.; Cui, C.Y.; Li, Y. Assessment of long-range transport potential of polychlorinated Naphthalenes based on three-dimensional QSAR models. Environ. Sci. Pollut. Res. 2017, 24, 14802–14818. [Google Scholar] [CrossRef] [PubMed]
- Gu, W.W.; Chen, Y.; Li, Y. Attenuation of the Atmospheric Migration Ability of Polychlorinated Naphthalenes (PCN-2) Based on Three-dimensional QSAR Models with Full Factor Experimental Design. Bull. Environ. Contam. Toxicol. 2017, 99, 276–280. [Google Scholar] [CrossRef]
- Li, X.L.; Ye, L.; Shi, W.; Liu, H.L.; Liu, C.S.; Qian, X.P.; Zhu, Y.L.; Yu, H.X. In silico study on hydroxylated polychlorinated biphenyls as androgen receptor antagonists. Ecotoxicol. Environ. Saf. 2013, 92, 258–264. [Google Scholar] [CrossRef]
- Balasubramaniyan, S.; Irfan, N.; Umamaheswari, A.; Puratchikody, A. Design and virtual screening of novel fluoroquinolone analogs as effective mutant DNA GyrA inhibitors against urinary tract infection-causing fluoroquinolone resistant Escherichia coli. RSC Adv. 2018, 8, 23629–23647. [Google Scholar] [CrossRef]
- Yang, L.Z.; Liu, M. A Double-Activity (Green Algae Toxicity and Bacterial Genotoxicity) 3D-QSAR Model Based on the Comprehensive Index Method and Its Application in Fluoroquinolones’ Modification. Int. J. Environ. Res. Public Health 2020, 17, 942. [Google Scholar] [CrossRef] [PubMed]
- Wu, Z.G. Study on Ecological Toxicity Effects of Typical Quinolone Antibiotics in Water. Master’s Thesis, Hebei University of Science and Technology, Shijiangzhuang, China, 2014. [Google Scholar]
- Chen, L.F. The Toxicity Effect of Three Quinolone Antibiotics on Scenedesmus Obliquus. Master’s Thesis, Northeast Normal University, Changchun, China, 2010. [Google Scholar]
- Ebert, I.; Bachmann, J.; Kühnen, U.; Küster, A.; Kussatz, C.; Maletzki, D.; Schlüter, C. Toxicity of the fluoroquinolone antibiotics enrofloxacin and ciprofloxacin to photoautotrophic aquatic organisms. Environ. Toxicol. Chem. 2011, 30, 2786–2792. [Google Scholar] [CrossRef]
- Domagala, J.M. Structure-activity and structure-side-effect relationships for the quinolone antibacterials. J. Antimicrob. Chemother. 1994, 33, 685–706. [Google Scholar] [CrossRef]
- Vugia, D.; Cronquist, A.; Hadler, J.; Tobin-D’Angelo, M.; Blythe, D.; Smith, K.; Thornton, K.; Morse, D.; Cieslak, P.; Jones, T.; et al. Preliminary FoodNetData on the Incidence of Infection with Pathogens Transmitted Commonly Through Food-10 Sites, United States, 2004. Mmwr. Morb. Mortal. Wkly. Rep. 2005, 54, 352–356. [Google Scholar]
- Zhao, X.H.; Wang, X.L.; Li, Y. Combined HQSAR method and molecular docking study on genotoxicity mechanism of quinolones with higher genotoxicity. Environ. Sci. Pollut. Res. Int. 2019, 26, 34830–34853. [Google Scholar] [CrossRef]
- Mao, L. Common Antibiotic Genotoxicity of Veterinary Drugs on Crops. Master’s Thesis, Henan Normal University, Henan, China, 2015. [Google Scholar]
- Shi, Y.; Ding, W. Study on the combined toxicity of binary quinolones to Vibrio Qinghaiensissp- Q67. Shaanxi J. Agric. Sci. 2016, 62, 45–49. [Google Scholar]
- Yang, L.H.; Ying, G.G.; Su, H.C.; Stauber, J.L.; Adams, M.S.; Binet, M.T. Growth-inhibiting effects of 12 antibacterial agents and their mixtures on the freshwater microalga Pseudokirchneriella subcapitata. Environ. Toxicol. Chem. 2008, 27, 1201–1208. [Google Scholar] [CrossRef]
- E, X.-D. Study on the Salt Resistance of Several Kinds of Lolium perenne. Heilongjiang Agric. Sci. 2014, 11, 102–104. [Google Scholar]
- Zhao, F.K.; Chen, L.D.; Yang, L.; Fang, L.; Sun, L.; Li, S.J. Composition and Distribution of Antibiotics in Soils with Different Land Use Types in a Typical Peri-urban Area of the Yangtze River Delta. Environ. Sci. 2017, 38, 5237–5246. [Google Scholar]
- Zhang, X.G.; Ning, G.H.; Liu, S.Q.; Zhang, T.Z.; Wang, Y.Q.; Mo, C.H. Study on Eco-environment Risk Assessment of Antibiotics Concentrations in Soil and Environment in the Grapes Region of Zhangjiakou. Acta Agric. Boreali Sin. 2011, 26, 146–151. [Google Scholar] [CrossRef]




| Synergistic Effect | Simple Additive Action | Independent Action | Antagonism | Partial Additive Action |
|---|---|---|---|---|
| MTI > 1 | MTI = 1 | MTI = 0 | MTI < 0 | 0 < MTI < 1 |
| No. | Compounds | Abbreviations | LibDockScore | Comprehensive Value (CI) | |
|---|---|---|---|---|---|
| 1B06 | 6FPC | ||||
| 1 | Difloxacin | DIF | 73.21 | 69.19 | 1.074 |
| 2 | Enrofloxacin | ENR | 68.72 | 72.86 | 1.069 |
| 3 | Norfloxacin | NOR | 64.63 | 62.14 | 0.956 |
| 4 | Lomefloxacin | LOM | 64.07 | 59.99 | 0.936 |
| 5 | Levofloxacin | LEV | 65.51 | 71.06 | 1.032 |
| 6 | Pefloxacin | PEF | 69.37 | 66.10 | 1.022 |
| 7 | Fleroxacin | FLE | 63.24 | 65.18 | 0.969 |
| 8 | Ciprofloxacin | CIP | 68.95 | 64.63 | 1.007 |
| 9 | Balofloxacin | BAL | 49.90 | 48.84 | 0.745 |
| 10 | Marbofloxacin | MAR | 66.70 | 69.40 | 1.028 |
| 11 | Pipemidic acid | PIP | 69.90 | 66.52 | 1.029 |
| 12 | Cinoxacin | CIN | 69.14 | 69.79 | 1.049 |
| 13 | Enoxacin | ENO | 67.21 | 65.650 | 1.002 |
| 14 | Danofloxacin | DAN | 74.21 | 74.57 | 1.123 |
| 15 | Gatifloxacin | GAT | 52.29 | 51.07 | 0.780 |
| 16 | Ofloxacin | OFL | 65.51 | 71.06 | 1.032 |
| 17 | Rufloxacin | RUF | 59.46 | 64.04 | 0.933 |
| 18 | Pazufloxacin | PAZ | 73.50 | 69.93 | 1.082 |
| 19 | Nadifloxacin | NAD | 65.95 | 69.04 | 1.019 |
| 20 | Moxifloxacin | MOX | 56.09 | 57.62 | 0.858 |
| 21 | Sparfloxacin | SPA | 72.78 | 68.90 | 1.069 |
| 22 | Sarafloxacin | SAR | 65.93 | 62.12 | 0.966 |
| 23 | Amifloxacin | AMI | 68.55 | 67.45 | 1.026 |
| 24 | Besifloxacin | BES | 64.10 | 56.74 | 0.911 |
| 25 | Clinafloxacin | CLI | 64.58 | 69.36 | 1.012 |
| 26 | Grepafloxacin | GRE | 68.90 | 66.78 | 1.024 |
| 27 | Orbifloxacin | ORB | 66.90 | 67.14 | 1.012 |
| 28 | Sitafloxacin | SIT | 69.50 | 61.53 | 0.987 |
| 29 | Temafloxacin | TEM | 72.64 | 68.20 | 1.062 |
| Model | q2 | n | R2 | SEE | F | Q2 | cSDEP | dq2/dr2yy | r2pred |
|---|---|---|---|---|---|---|---|---|---|
| CoMFA | 0.767 | 3 | 0.996 | 0.008 | 614.264 | 0.165 | 0.119 | 1.679 | 0.967 |
| No. | Compounds | CoMFA Model | LibDockScore | ||||
|---|---|---|---|---|---|---|---|
| Pred. | Relative Error (%) | 1B06 | Relative Error (%) | 6FPC | Relative Error (%) | ||
| 2 | ENR | 1.069 | 68.72 | 72.86 | |||
| Derivative-1 | 19-Fluorine-ENR | 0.901 | −15.72 | 85.00 | 23.69 | 51.06 | −22.93 |
| Derivative-2 | 19-Chlorine-ENR | 1.035 | −3.18 | 82.61 | 20.22 | 77.36 | 6.17 |
| Derivative-3 | 19-Bromine-ENR | 1.036 | −3.09 | 88.54 | 28.84 | 78.05 | 7.12 |
| Derivative-4 | 9-Methyl-ENR | 1.005 | −5.99 | 91.14 | 32.63 | 56.67 | −22.23 |
| Derivative-5 | 9-Aldehyde-ENR | 0.861 | −19.46 | 91.92 | 33.77 | 67.11 | −7.90 |
| Derivative-6 | 9-Hydroxy-ENR | 1.018 | −4.77 | 89.32 | 29.98 | 64.93 | −10.89 |
| Derivative-7 | 9-Methanol-ENR | 0.858 | −19.74 | 92.96 | 35.28 | 72.65 | −0.30 |
| Derivative-8 | 9-Ethyl-ENR | 0.903 | −15.53 | 85.76 | 24.79 | 64.04 | −12.11 |
| Derivative-9 | 19-Fluorine-9-Methyl-ENR | 1.024 | −4.21 | 88.62 | 28.96 | 60.54 | −16.91 |
| Derivative-10 | 19-Fluorine-9-Aldehyde-ENR | 0.876 | −18.05 | 92.03 | 33.92 | 70.03 | −3.89 |
| Derivative-11 | 19-Fluorine-9-Hydroxy-ENR | 1.024 | −4.21 | 92.69 | 34.88 | 72.17 | −0.95 |
| Derivative-12 | 19-Fluorine-9-Methanol-ENR | 0.878 | −17.87 | 93.43 | 35.96 | 68.80 | −5.57 |
| Derivative-13 | 19-Fluorine-9-Ethyl-ENR | 0.923 | −13.66 | 95.77 | 39.36 | 61.19 | −16.02 |
| Derivative-14 | 19-Chlorine-9-Methyl-ENR | 0.854 | −20.11 | 88.21 | 28.37 | 60.22 | −17.35 |
| Derivative-15 | 19-Chlorine-9-Aldehyde-ENR | 0.955 | −10.66 | 92.81 | 35.06 | 63.79 | −12.46 |
| Derivative-16 | 19-Chlorine-9-Hydroxy-ENR | 1.027 | −3.93 | 86.93 | 26.50 | 63.16 | −13.31 |
| Derivative-17 | 19-Chlorine-9-Methanol-ENR | 0.873 | −18.33 | 96.94 | 41.07 | 70.00 | −3.93 |
| Derivative-18 | 19-Chlorine-9-Ethyl-ENR | 0.899 | −15.90 | 93.06 | 35.42 | 55.60 | −23.70 |
| Derivative-19 | 19-Bromine-9-Methyl-ENR | 1.028 | −3.84 | 92.17 | 34.13 | 64.85 | −11.00 |
| Derivative-20 | 19-Bromine-9-Aldehyde-ENR | 0.876 | −18.05 | 91.44 | 33.05 | 64.85 | −11.00 |
| Derivative-21 | 19-Bromine-9-Hydroxy-ENR | 1.027 | −3.93 | 88.81 | 29.24 | 65.76 | −9.76 |
| Derivative-22 | 19-Bromine-9-Methanol-ENR | 0.872 | −18.43 | 92.26 | 34.26 | 66.85 | −8.26 |
| Derivative-23 | 19-Bromine-9-Ethyl-ENR | 0.894 | −16.37 | 87.82 | 27.80 | 64.09 | −12.04 |
| 21 | SPA | 1.069 | 72.78 | 68.90 | |||
| Derivative-1 | 17-Fluorine-SPA | 1.000 | −6.45 | 96.18 | 32.15 | 75.74 | 9.93 |
| Derivative-2 | 17-Chlorine-SPA | 1.038 | −2.90 | 99.68 | 36.95 | 85.22 | 23.69 |
| Derivative-3 | 17-Bromine-SPA | 1.036 | −3.09 | 91.50 | 25.73 | 82.42 | 19.63 |
| Derivative-4 | 8-Nitroso-SPA | 0.970 | −9.26 | 76.31 | 4.84 | 74.43 | 8.03 |
| Derivative-5 | 8-Nitro-SPA | 1.014 | −5.14 | 83.25 | 14.38 | 72.34 | 5.00 |
| Derivative-6 | 8-NF2-SPA | 1.025 | −4.12 | 74.68 | 2.61 | 57.64 | −16.34 |
| Derivative-7 | 8-Aldehyde-SPA | 1.032 | −3.46 | 98.72 | 35.64 | 78.03 | 13.26 |
| Derivative-8 | 8-Carboxyl-SPA | 0.906 | −15.25 | 91.22 | 25.33 | 76.17 | 10.56 |
| Derivative-9 | 17-Fluorine-8-Nitroso-SPA | 1.013 | −5.24 | 99.80 | 37.12 | 68.22 | −0.98 |
| Derivative-10 | 17-Fluorine-8-Nitro-SPA | 0.966 | −9.64 | 83.04 | 14.09 | 61.17 | −11.21 |
| Derivative-11 | 17-Fluorine-8-NF2-SPA | 0.965 | −9.73 | 75.12 | 3.21 | 62.79 | −8.86 |
| Derivative-12 | 17-Fluorine-8-Aldehyde-SPA | 0.958 | −10.38 | 95.98 | 31.87 | / | / |
| Derivative-13 | 17-Fluorine-8-Carboxyl-SPA | 1.024 | −4.21 | / | / | 76.72 | 11.36 |
| Derivative-14 | 17-Chlorine-8-Nitroso-SPA | 1.018 | −4.77 | 87.27 | 19.91 | 85.60 | 24.24 |
| Derivative-15 | 17-Chlorine-8-Nitro-SPA | 1.043 | −2.43 | 69.73 | −4.19 | 55.77 | −19.05 |
| Derivative-16 | 17-Chlorine-8-NF2-SPA | 1.024 | −4.21 | 73.36 | 0.80 | 58.68 | −14.82 |
| Derivative-17 | 17-Chlorine-8-Aldehyde-SPA | 1.009 | −5.61 | 77.98 | 7.14 | 70.75 | 2.69 |
| Derivative-18 | 17-Chlorine-8-Carboxyl-SPA | 0.917 | −14.22 | / | / | / | / |
| Derivative-19 | 17-Bromine-8-Nitroso-SPA | 1.031 | −3.55 | 96.83 | 33.04 | 59.26 | −13.99 |
| Derivative-20 | 17-Bromine-8-Nitro-SPA | 1.043 | −2.43 | 72.83 | 0.07 | 63.20 | −8.26 |
| Derivative-21 | 17-Bromine-8-NF2-SPA | 1.013 | −5.24 | 73.18 | 0.55 | 55.72 | −19.13 |
| Derivative-22 | 17-Bromine-8-Aldehyde-SPA | 1.047 | −2.06 | 95.45 | 31.14 | 69.82 | 1.33 |
| Derivative-23 | 17-Bromine-8-Carboxyl-SPA | 1.009 | −5.61 | 98.26 | 35.00 | 82.88 | 20.30 |
| No. | Compounds | Bioaccumulation | Soil Adsorbability | Biodegradability | Green Algae Toxicity | Cyanobacteria Toxicity | |||||
|---|---|---|---|---|---|---|---|---|---|---|---|
| logKow | Relative Error (%) | logKoc | Relative Error (%) | Pred. | Relative Error (%) | EC50 | Relative Error (%) | LDS | Relative Error (%) | ||
| 2 | ENR | 0.700 | 0.207 | 3.194 | 989.25 | 102.61 | |||||
| Derivative-2 | 19-Chlorine-ENR | 0.460 | −34.29 | 0.074 | −64.25 | 3.090 | −3.26 | 1525.53 | 54.21 | 93.48 | −8.90 |
| Derivative-3 | 19-Bromine-ENR | 0.550 | −21.43 | 0.124 | −40.10 | 3.095 | −3.10 | 1477.53 | 49.36 | 83.06 | −19.05 |
| Derivative-7 | 9-Methanol-ENR | −0.420 | −160.00 | −0.824 | −498.07 | 3.066 | −4.01 | 6073.24 | 513.93 | 106.87 | 4.15 |
| Derivative-10 | 19-Fluorine-9-Aldehyde-ENR | −0.330 | −147.14 | −0.592 | −385.99 | 3.008 | −5.82 | 5337.51 | 439.55 | 87.82 | −14.42 |
| Derivative-11 | 19-Fluorine-9-Hydroxy-ENR | −0.530 | −175.71 | −0.306 | −247.83 | 3.031 | −5.10 | 7075.86 | 615.28 | 87.96 | −14.28 |
| Derivative-12 | 19-Fluorine-9-Methanol-ENR | −0.970 | −238.57 | −1.128 | −644.93 | 2.976 | −6.83 | 14,757.63 | 1391.81 | 103.42 | 0.78 |
| Derivative-17 | 19-Chlorine-9-Methanol-ENR | −0.650 | −192.86 | −0.951 | −559.42 | 3.033 | −5.04 | 9349.34 | 845.10 | 109.27 | 6.48 |
| 21 | SPA | 1.400 | 0.995 | 3.089 | 356.04 | 81.62 | |||||
| Derivative-1 | 17-Fluorine-SPA | 0.850 | −39.29 | 0.691 | −30.55 | 3.113 | 0.78 | 864.68 | 142.86 | 80.84 | −0.94 |
| Derivative-2 | 17-Chlorine-SPA | 1.160 | −17.14 | 0.863 | −13.27 | 3.084 | −0.16 | 546.64 | 53.53 | 76.85 | −5.84 |
| Derivative-3 | 17-Bromine-SPA | 1.250 | −10.71 | 0.912 | −8.34 | 3.052 | −1.20 | 525.12 | 47.49 | 84.28 | 3.26 |
| Derivative-4 | 8-Nitroso-SPA | 2.180 | 55.71 | 1.427 | 43.42 | 3.240 | 4.89 | 105.17 | −70.46 | 66.40 | −18.65 |
| Derivative-5 | 8-Nitro-SPA | 2.130 | 52.14 | 1.640 | 64.82 | 2.951 | −4.47 | 118.85 | −66.62 | 65.15 | −20.17 |
| Derivative-7 | 8-Aldehyde-SPA | 2.030 | 45.00 | 1.136 | 14.17 | 3.081 | −0.26 | 133.87 | −62.40 | 77.32 | −5.27 |
| Derivative-8 | 8-Carboxyl-SPA | 1.090 | −22.14 | 0.845 | −15.08 | 3.031 | −1.88 | 618.44 | 73.70 | 77.64 | −4.87 |
| Derivative-14 | 17-Chlorine-8-Nitroso-SPA | 1.950 | 39.29 | 1.300 | 30.65 | 3.078 | −0.36 | 161.20 | −54.72 | 68.43 | −16.15 |
| Derivative-17 | 17-Chlorine-8-Aldehyde-SPA | 1.790 | 27.86 | 1.003 | 0.80 | 3.047 | −1.36 | 205.21 | −42.36 | 77.49 | −5.05 |
| Derivative-22 | 17-Bromine-8-Aldehyde-SPA | 1.880 | 34.29 | 1.053 | 5.83 | 3.045 | −1.42 | 196.55 | −44.80 | 83.50 | 2.31 |
| Derivative-23 | 17-Bromine-8-Carboxyl-SPA | 0.950 | −32.14 | 0.768 | −22.81 | 3.046 | −1.39 | 903.20 | 153.68 | 84.11 | 3.06 |
| No. | Compounds | Genotoxicity | |
|---|---|---|---|
| pLOEC | Relative Error (%) | ||
| 2 | ENR | 8.839 | |
| Derivative-7 | 9-Methanol-ENR | 8.854 | 0.17 |
| Derivative-12 | 19-Fluorine-9-Methanol-ENR | 8.397 | −5.00 |
| Derivative-17 | 19-Chlorine-9-Methanol-ENR | 8.405 | −4.91 |
| 21 | SPA | 7.486 | |
| Derivative-1 | 17-Fluorine-SPA | 8.073 | 7.84 |
| Derivative-2 | 17-Chlorine-SPA | 7.939 | 6.05 |
| Derivative-3 | 17-Bromine-SPA | 8.035 | 7.33 |
| Derivative-8 | 8-Carboxyl-SPA | 7.653 | 2.23 |
| Derivative-23 | 17-Bromine-8-Carboxyl-SPA | 7.870 | 5.13 |
| Types | QNs and Derivatives | Levels (μg/kg) | Biotoxicity Values |
|---|---|---|---|
| Farmland | ENR | 0.773 [68] | 1.069 |
| 9-Methanol-ENR | 0.858 | ||
| 19-Fluorine-9-Methanol-ENR | 0.878 | ||
| 19-Chlorine-9-Methanol-ENR | 0.873 | ||
| Garden | ENR | 0.110 [68] | 1.069 |
| 9-Methanol-ENR | 0.858 | ||
| 19-Fluorine-9-Methanol-ENR | 0.878 | ||
| 19-Chlorine-9-Methanol-ENR | 0.873 | ||
| Woodland | ENR | 0.060 [68] | 1.069 |
| 9-Methanol-ENR | 0.858 | ||
| 19-Fluorine-9-Methanol-ENR | 0.878 | ||
| 19-Chlorine-9-Methanol-ENR | 0.873 |
| Types | Groups | Combination a | Parameters | |||||||
|---|---|---|---|---|---|---|---|---|---|---|
| TU | M | M0 | MTI | |||||||
| A | B | C | D | max | 1-logM/logM0 | |||||
| Farmland | 1 | A * B | 0.723 | 0.901 | 0.901 | 1.624 | 1.803 | 0.177 | ||
| 2 | A * C | 0.723 | 0.880 | 0.880 | 1.604 | 1.821 | 0.212 | |||
| 3 | A * D | 0.723 | 0.885 | 0.885 | 1.609 | 1.817 | 0.204 | |||
| 4 | B * C | 0.901 | 0.880 | 0.901 | 1.781 | 1.977 | 0.153 | |||
| 5 | B * D | 0.901 | 0.885 | 0.901 | 1.786 | 1.983 | 0.152 | |||
| 6 | C * D | 0.880 | 0.885 | 0.885 | 1.766 | 1.994 | 0.176 | |||
| 7 | A * B * C | 0.723 | 0.901 | 0.880 | 0.901 | 2.504 | 2.780 | 0.102 | ||
| 8 | A * B * D | 0.723 | 0.901 | 0.885 | 0.901 | 2.509 | 2.785 | 0.102 | ||
| 9 | A * C * D | 0.723 | 0.880 | 0.885 | 0.885 | 2.489 | 2.811 | 0.118 | ||
| 10 | B * C * D | 0.901 | 0.880 | 0.885 | 0.901 | 2.667 | 2.960 | 0.096 | ||
| 11 | A * B * C * D | 0.723 | 0.901 | 0.880 | 0.885 | 0.901 | 3.390 | 3.763 | 0.079 | |
| Garden | 1 | A * B | 0.103 | 0.128 | 0.128 | 0.231 | 1.803 | 3.486 | ||
| 2 | A * C | 0.103 | 0.125 | 0.125 | 0.228 | 1.821 | 3.464 | |||
| 3 | A * D | 0.103 | 0.126 | 0.126 | 0.229 | 1.817 | 3.470 | |||
| 4 | B * C | 0.128 | 0.125 | 0.128 | 0.253 | 1.977 | 3.013 | |||
| 5 | B * D | 0.128 | 0.126 | 0.128 | 0.254 | 1.983 | 3.001 | |||
| 6 | C * D | 0.125 | 0.126 | 0.126 | 0.251 | 1.994 | 3.001 | |||
| 7 | A * B * C | 0.103 | 0.128 | 0.125 | 0.128 | 0.356 | 2.780 | 2.009 | ||
| 8 | A * B * D | 0.103 | 0.128 | 0.126 | 0.128 | 0.357 | 2.785 | 2.005 | ||
| 9 | A * C * D | 0.103 | 0.125 | 0.126 | 0.126 | 0.354 | 2.811 | 2.004 | ||
| 10 | B * C * D | 0.128 | 0.125 | 0.126 | 0.128 | 0.379 | 2.960 | 1.893 | ||
| 11 | A * B * C * D | 0.103 | 0.128 | 0.125 | 0.126 | 0.128 | 0.482 | 3.763 | 1.550 | |
| Woodland | 1 | A * B | 0.056 | 0.070 | 0.070 | 0.126 | 1.803 | 4.515 | ||
| 2 | A * C | 0.056 | 0.068 | 0.068 | 0.124 | 1.821 | 4.475 | |||
| 3 | A * D | 0.056 | 0.069 | 0.069 | 0.125 | 1.817 | 4.485 | |||
| 4 | B * C | 0.070 | 0.068 | 0.070 | 0.138 | 1.977 | 3.902 | |||
| 5 | B * D | 0.070 | 0.069 | 0.070 | 0.139 | 1.983 | 3.886 | |||
| 6 | C * D | 0.068 | 0.069 | 0.069 | 0.137 | 1.994 | 3.879 | |||
| 7 | A * B * C | 0.056 | 0.070 | 0.068 | 0.070 | 0.194 | 2.780 | 2.602 | ||
| 8 | A * B * D | 0.056 | 0.070 | 0.069 | 0.070 | 0.195 | 2.785 | 2.597 | ||
| 9 | A * C * D | 0.056 | 0.068 | 0.069 | 0.069 | 0.193 | 2.811 | 2.591 | ||
| 10 | B * C * D | 0.070 | 0.068 | 0.069 | 0.070 | 0.207 | 2.960 | 2.451 | ||
| 11 | A * B * C * D | 0.056 | 0.070 | 0.068 | 0.069 | 0.070 | 0.263 | 3.763 | 2.008 | |
| Types | Combinations | Evaluation System | Evaluation Results | Type of Combined Action |
|---|---|---|---|---|
| Farmland | 11 | MTI | 0.079~0.212 | Partial additive action |
| Garden | 11 | 1.550~3.486 | Synergistic | |
| Woodland | 11 | 2.008~4.515 | Synergistic |
| Situation | Groups | Combination | Binding Energy (kcal/mol) | MTI |
|---|---|---|---|---|
| Farmland | 1 | A * B | −239.51 | 0.177 |
| 2 | A * C | −79.48 | 0.212 | |
| 3 | A * D | −143.99 | 0.204 | |
| 4 | B * C | −187.77 | 0.153 | |
| 5 | B * D | −214.18 | 0.152 | |
| 6 | C * D | −68.97 | 0.176 | |
| 7 | A * B * C | −230.38 | 0.102 | |
| 8 | A * B * D | −317.98 | 0.102 | |
| 9 | A * C * D | −154.06 | 0.118 | |
| 10 | B * C * D | −171.80 | 0.096 | |
| 11 | A * B * C * D | −331.98 | 0.079 |
Publisher’s Note: MDPI stays neutral with regard to jurisdictional claims in published maps and institutional affiliations. |
© 2020 by the authors. Licensee MDPI, Basel, Switzerland. This article is an open access article distributed under the terms and conditions of the Creative Commons Attribution (CC BY) license (http://creativecommons.org/licenses/by/4.0/).
Share and Cite
Sun, P.; Zhao, Y.; Yang, L.; Ren, Z.; Zhao, W. Environmentally Friendly Quinolones Design for a Two-Way Choice between Biotoxicity and Genotoxicity through Double-Activity 3D-QSAR Model Coupled with the Variation Weighting Method. Int. J. Environ. Res. Public Health 2020, 17, 9398. https://doi.org/10.3390/ijerph17249398
Sun P, Zhao Y, Yang L, Ren Z, Zhao W. Environmentally Friendly Quinolones Design for a Two-Way Choice between Biotoxicity and Genotoxicity through Double-Activity 3D-QSAR Model Coupled with the Variation Weighting Method. International Journal of Environmental Research and Public Health. 2020; 17(24):9398. https://doi.org/10.3390/ijerph17249398
Chicago/Turabian StyleSun, Peixuan, Yuanyuan Zhao, Luze Yang, Zhixing Ren, and Wenjin Zhao. 2020. "Environmentally Friendly Quinolones Design for a Two-Way Choice between Biotoxicity and Genotoxicity through Double-Activity 3D-QSAR Model Coupled with the Variation Weighting Method" International Journal of Environmental Research and Public Health 17, no. 24: 9398. https://doi.org/10.3390/ijerph17249398
APA StyleSun, P., Zhao, Y., Yang, L., Ren, Z., & Zhao, W. (2020). Environmentally Friendly Quinolones Design for a Two-Way Choice between Biotoxicity and Genotoxicity through Double-Activity 3D-QSAR Model Coupled with the Variation Weighting Method. International Journal of Environmental Research and Public Health, 17(24), 9398. https://doi.org/10.3390/ijerph17249398
