The Effect of Animate-Inanimate Soundscapes and Framing on Environments’ Evaluation and Predicted Recreation Time
Abstract
1. Introduction
2. Literature Review
2.1. Preferences for Natural Environments and Soundscapes
2.2. Evolutionary Perspective and the Biophilia Hypothesis
2.3. The Significance of the Animate–Inanimate Distinction
2.4. The Function of Framing
2.5. Goals of the Research
3. Materials and Methods
3.1. Design
3.2. Participants
3.3. Procedure
3.4. Materials and Measures
3.4.1. Mental Fatigue Scenario
3.4.2. Social Context Scenario
3.4.3. The Environment
3.4.4. Animateness of the Soundscapes
3.4.5. Effect of the Mental Fatigue Scenario
3.4.6. Perceived Naturalness of the Environments
3.4.7. Environmental Preferences
3.4.8. Recreation Time
3.4.9. Questions about the Equipment and Demographics
4. Results
4.1. Changes in the Perceived Naturalness of the Environments
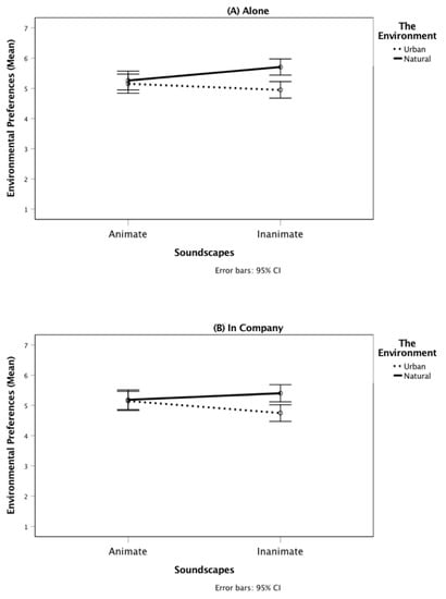
4.2. Changes in Environmental Preferences
4.3. Indirect Effect of the Environment on Recreation Time via Naturalness of the Environments for Environments with Animate Soundscapes
4.4. Indirect Effect of the Environment on Recreation Time via Naturalness of the Environments for Environments with Inanimate Soundscapes
5. Discussion
6. Conclusions
Supplementary Materials
Author Contributions
Funding
Conflicts of Interest
References
- Lilley, H. Judy Dench: My Passion for Trees; Atlantic Productions: London, UK, 2017. [Google Scholar]
- Wilson, E.O. Biophilia: The Human Bond with Other Species; Harvard University Press: Cambridge, MA, USA, 1984; ISBN 978-0-674-07442-2. [Google Scholar]
- Altman, M.N.; Khislavsky, A.L.; Coverdale, M.E.; Gilger, J.W. Adaptive attention: How preference for animacy impacts change detection. Evol. Hum. Behav. 2016, 37, 303–314. [Google Scholar] [CrossRef]
- Bonin, P.; Gelin, M.; Bugaiska, A. Animates are better remembered than inanimates: Further evidence from word and picture stimuli. Mem. Cogn. 2014, 42, 370–382. [Google Scholar] [CrossRef] [PubMed]
- Ulrich, R.S. Aesthetic and Affective Response to Natural Environment. In Behavior and the Natural Environment; Altman, I., Wohlwill, J.F., Eds.; Springer US: Boston, MA, USA, 1983; pp. 85–125. ISBN 978-1-4613-3541-2. [Google Scholar]
- Kaplan, R.; Kaplan, S. The Experience of Nature: A Psychological Perspective; Cambridge University Press: Cambridge, MA, USA, 1989; ISBN 978-0-521-34939-0. [Google Scholar]
- Hartig, T.; Evans, G.W.; Jamner, L.D.; Davis, D.S.; Gärling, T. Tracking restoration in natural and urban field settings. J. Environ. Psychol. 2003, 23, 109–123. [Google Scholar] [CrossRef]
- Staats, H.; Kieviet, A.; Hartig, T. Where to recover from attentional fatigue: An expectancy-value analysis of environmental preference. J. Environ. Psychol. 2003, 23, 147–157. [Google Scholar] [CrossRef]
- Purcell, T.; Peron, E.; Berto, R. Why do Preferences Differ between Scene Types? Environ. Behav. 2001, 33, 93–106. [Google Scholar] [CrossRef]
- Dubois, D.; Guastavino, C.; Raimbault, M. A Cognitive Approach to Urban Soundscapes: Using Verbal Data to Access Everyday Life Auditory Categories. Acta Acust. United Acust. 2006, 92, 10. [Google Scholar]
- Axelsson, Ö.; Nilsson, M.E.; Hellström, B.; Lundén, P. A field experiment on the impact of sounds from a jet-and-basin fountain on soundscape quality in an urban park. Landsc. Urban Plan. 2014, 123, 49–60. [Google Scholar] [CrossRef]
- Krzywicka, P.; Byrka, K. Restorative Qualities of and Preference for Natural and Urban Soundscapes. Front. Psychol. 2017, 8. [Google Scholar] [CrossRef]
- Tveit, M.S.; Ode Sang, Å.; Hägerhäll, C.M. Scenic beauty: Visual landscape assessment and human landscape perception. In Environmental Psychology: An Introduction; Steg, L., van den Berg, A.E., de Groot, J.I.M., Eds.; Wiley-Blackwell: London, UK, 2013; pp. 38–46. [Google Scholar]
- Orians, G.H. Habitat selection: General theory and applications to human behavior. In The Evolution of Human Social Behavior; Lockard, J.S., Ed.; Elsevier: New York, NY, USA, 1980; pp. 49–66. ISBN 978-0-444-99072-3. [Google Scholar]
- Domínguez-Rodrigo, M. Is the “Savanna Hypothesis” a Dead Concept for Explaining the Emergence of the Earliest Hominins? Curr. Anthropol. 2014, 55, 59–81. [Google Scholar] [CrossRef]
- Appleton, J. The Experience of Landscape; Wiley: Hoboken, NJ, USA, 1975; ISBN 978-0-471-03256-4. [Google Scholar]
- Wilson, E.O. Biophilia and the Conservation Ethic. In The Biophilia Hypothesis; Kellert, S.R., Wilson, E.O., Eds.; Island Press: Washington, DC, USA, 1993; pp. 31–41. ISBN 978-1-55963-147-1. [Google Scholar]
- Kellert, S.R. Introduction. In The Biophilia Hypothesis; Kellert, S.R., Wilson, E.O., Eds.; Island Press: Washington, DC, USA, 1993; pp. 20–27. ISBN 978-1-55963-147-1. [Google Scholar]
- Mather, G. The Psychology of Visual Art: Eye, Brain and Art, 1st ed.; Cambridge University Press: Cambridge, MA, USA, 2013; ISBN 978-1-107-00598-3. [Google Scholar]
- Molina, M.; Van de Walle, G.A.; Condry, K.; Spelke, E.S. The Animate-Inanimate Distinction in Infancy: Developing Sensitivity to Constraints on Human Actions. J. Cogn. Dev. 2004, 5, 399–426. [Google Scholar] [CrossRef]
- Rostad, K.; Yott, J.; Poulin-Dubois, D. Development of categorization in infancy: Advancing forward to the animate/inanimate level. Infant Behav. Dev. 2012, 35, 584–595. [Google Scholar] [CrossRef] [PubMed]
- Giordano, B.L.; McDonnell, J.; McAdams, S. Hearing living symbols and nonliving icons: Category specificities in the cognitive processing of environmental sounds. Brain Cogn. 2010, 73, 7–19. [Google Scholar] [CrossRef] [PubMed][Green Version]
- Haga, A.; Halin, N.; Holmgren, M.; Sörqvist, P. Psychological Restoration Can Depend on Stimulus-Source Attribution: A Challenge for the Evolutionary Account? Front. Psychol. 2016, 7. [Google Scholar] [CrossRef] [PubMed]
- Tversky, A.; Kahneman, D. The framing of decisions and the psychology of choice. Science 1981, 211, 453–458. [Google Scholar] [CrossRef]
- Wagner, V.; Menninghaus, W.; Hanich, J.; Jacobsen, T. Art schema effects on affective experience: The case of disgusting images. Psychol. Aesthet. Creat. Arts 2014, 8, 120–129. [Google Scholar] [CrossRef]
- Spauwen, J.; Krabbendam, L.; Lieb, R.; Wittchen, H.-U.; Van Os, J. Evidence that the outcome of developmental expression of psychosis is worse for adolescents growing up in an urban environment. Psychol. Med. 2006, 36, 407–415. [Google Scholar] [CrossRef]
- Staats, H.; Hartig, T. Alone or with a friend: A social context for psychological restoration and environmental preferences. J. Environ. Psychol. 2004, 24, 199–211. [Google Scholar] [CrossRef]
- Bonnett, M.; Williams, J. Environmental Education and Primary Children’s Attitudes towards Nature and the Environment. Camb. J. Educ. 1998, 28, 159–174. [Google Scholar] [CrossRef]
- Hartig, T.; van den Berg, A.E.; Hagerhall, C.M.; Tomalak, M.; Bauer, N.; Hansmann, R.; Ojala, A.; Syngollitou, E.; Carrus, G.; van Herzele, A.; et al. Health Benefits of Nature Experience: Psychological, Social and Cultural Processes. In Forests, Trees and Human Health; Nilsson, K., Sangster, M., Gallis, C., Hartig, T., de Vries, S., Seeland, K., Schipperijn, J., Eds.; Springer Netherlands: Dordrecht, The Netherlands, 2011; pp. 127–168. ISBN 978-90-481-9805-4. [Google Scholar]
- Staats, H.; Van Gemerden, E.; Hartig, T. Preference for Restorative Situations: Interactive Effects of Attentional State, Activity-in-Environment, and Social Context. Leis. Sci. 2010, 32, 401–417. [Google Scholar] [CrossRef]
- Aarts, H.; Dijksterhuis, A. The silence of the library: Environment, situational norm, and social behavior. J. Personal. Soc. Psychol. 2003, 84, 18–28. [Google Scholar] [CrossRef]
- Peer, E.; Vosgerau, J.; Acquisti, A. Reputation as a sufficient condition for data quality on Amazon Mechanical Turk. Behav. Res. Methods 2014, 46, 1023–1031. [Google Scholar] [CrossRef] [PubMed]
- Inquisit 5 Web. Millisecond Software. Available online: https://www.millisecond.com (accessed on 24 November 2018).
- Junghaenel, D.U.; Christodoulou, C.; Lai, J.-S.; Stone, A.A. Demographic correlates of fatigue in the US general population: Results from the patient-reported outcomes measurement information system (PROMIS) initiative. J. Psychosom. Res. 2011, 71, 117–123. [Google Scholar] [CrossRef] [PubMed]
- Arechar, A.A.; Gächter, S.; Molleman, L. Conducting interactive experiments online. Exp Econ 2018, 21, 99–131. [Google Scholar] [CrossRef] [PubMed]
- Ratcliffe, E.; Korpela, K.M. Memory and place attachment as predictors of imagined restorative perceptions of favourite places. J. Environ. Psychol. 2016, 48, 120–130. [Google Scholar] [CrossRef]
- BBC. BBC Sound Effects Library. Available online: http://bbcsfx.acropolis.org.uk/ (accessed on 3 February 2019).
- Gygi, B.; Kidd, G.R.; Watson, C.S. Spectral-temporal factors in the identification of environmental sounds. J. Acoust. Soc. Am. 2004, 115, 1252–1265. [Google Scholar] [CrossRef]
- Berman, M.G.; Hout, M.C.; Kardan, O.; Hunter, M.R.; Yourganov, G.; Henderson, J.M.; Hanayik, T.; Karimi, H.; Jonides, J. The Perception of Naturalness Correlates with Low-Level Visual Features of Environmental Scenes. PLoS ONE 2014, 9, e114572. [Google Scholar] [CrossRef]
- Recreation. Longman Dictionary of Contemporary English Online. Available online: https://www.ldoceonline.com/dictionary/recreation (accessed on 13 February 2019).
- Recreation. Cambridge Dictionary. Available online: https://dictionary.cambridge.org/pl/dictionary/english/recreation (accessed on 13 February 2019).
- Stevens, J. Intermediate Statistics: A Modern Approach, 2nd ed.; Lawrence Erlbaum Associates: Mahwah, NJ, 1999; ISBN 978-0-8058-2960-0. [Google Scholar]
- Hayes, A.F. Introduction to Mediation, Moderation, and Conditional Process Analysis: A Regression-Based Approach, 2nd ed.; The Guilford Press: New York, NY, USA, 2018; ISBN 9781462534654. [Google Scholar]
- Hayes, A.F.; Cai, L. Using heteroskedasticity-consistent standard error estimators in OLS regression: An introduction and software implementation. Behav. Res. Methods 2007, 39, 709–722. [Google Scholar] [CrossRef]
- McMahan, E.A.; Cloud, J.M.; Josh, P.; Scott, M. Nature With a Human Touch: Human-Induced Alteration Negatively Impacts Perceived Naturalness and Preferences for Natural Environments. Ecopsychology 2016, 8, 54–63. [Google Scholar] [CrossRef]
- Cortina, J.M. What is coefficient alpha? An examination of theory and applications. J. Appl. Psychol. 1993, 78, 98–104. [Google Scholar] [CrossRef]
- Bixler, R.D.; Floyd, M.F.; Hammitt, W.E. Environmental Socialization: Quantitative Tests of the Childhood Play Hypothesis. Environ. Behav. 2002, 34, 795–818. [Google Scholar] [CrossRef]
- Seto, K.C.; Güneralp, B.; Hutyra, L.R. Global forecasts of urban expansion to 2030 and direct impacts on biodiversity and carbon pools. Proc. Natl. Acad. Sci. USA 2012, 109, 16083–16088. [Google Scholar] [CrossRef] [PubMed]



| Soundscapes | The Environment | |
|---|---|---|
| Animate | Natural Labels | Urban Labels |
| A trotting and snorting horse | The American Discovery Trail–a bridle path (horses) | An indoor riding arena (horses) |
| Singing birds | The Mudumalai National Park and Wildlife Sanctuary in India (birds: mynahs, barbets, parakeets, bulbuls) | An exotic bird exhibition at Bhavan’s College in India (birds: mynahs, barbets, parakeets, bulbuls) |
| Running and bleating goats | A meadow (goats) | A zoo (goats) |
| Inanimate | ||
| Falling water | Mountains–a waterfall | An old town square–a fountain |
| Ice skating | An outdoor ice rink in a park | An indoor ice rink in a mall |
| Swimming | A lake | A swimming pool |
| Antecedent | Consequent | |||||||
|---|---|---|---|---|---|---|---|---|
| Naturalness (M) | Recreation Time (Y) | |||||||
| Coeff. | SEa | p | Coeff. | SEa | p | |||
| The Environment (X) b | a | 16.72 | 2.48 | <0.001 | c’ | −4.77 | 3.68 | 0.197 |
| Naturalness of Environments (M) | b | 0.42 | 0.10 | <0.001 | ||||
| Constant | iM | 66.32 | 1.78 | <0.001 | iY | 25.43 | 7.17 | 0.001 |
| R² = 0.21 | R² = 0.09 | |||||||
| F(1, 173) = 45.52 a, p < 0.001 | F(2, 172) = 8.48 a, p < 0.001 | |||||||
| Antecedent | Consequent | |||||||
|---|---|---|---|---|---|---|---|---|
| Naturalness (M) | Recreation Time (Y) | |||||||
| Coeff. | SEa | p | Coeff. | SEa | p | |||
| The Environment (X) b | a | 40.20 | 2.79 | <0.001 | c’ | −0.51 | 4.01 | 0.898 |
| Naturalness of Environments (M) | b | 0.42 | 0.07 | <0.001 | ||||
| Constant | iM | 32.03 | 2.33 | <0.001 | iY | 31.79 | 3.09 | <0.001 |
| R² = 0.55 | R² = 0.30 | |||||||
| F(1, 172) = 207.50 a, p < 0.001 | F(2, 171) = 35.68 a, p < 0.001 | |||||||
Publisher’s Note: MDPI stays neutral with regard to jurisdictional claims in published maps and institutional affiliations. |
© 2020 by the authors. Licensee MDPI, Basel, Switzerland. This article is an open access article distributed under the terms and conditions of the Creative Commons Attribution (CC BY) license (http://creativecommons.org/licenses/by/4.0/).
Share and Cite
Krzywicka, P.; Byrka, K. The Effect of Animate-Inanimate Soundscapes and Framing on Environments’ Evaluation and Predicted Recreation Time. Int. J. Environ. Res. Public Health 2020, 17, 9086. https://doi.org/10.3390/ijerph17239086
Krzywicka P, Byrka K. The Effect of Animate-Inanimate Soundscapes and Framing on Environments’ Evaluation and Predicted Recreation Time. International Journal of Environmental Research and Public Health. 2020; 17(23):9086. https://doi.org/10.3390/ijerph17239086
Chicago/Turabian StyleKrzywicka, Paulina, and Katarzyna Byrka. 2020. "The Effect of Animate-Inanimate Soundscapes and Framing on Environments’ Evaluation and Predicted Recreation Time" International Journal of Environmental Research and Public Health 17, no. 23: 9086. https://doi.org/10.3390/ijerph17239086
APA StyleKrzywicka, P., & Byrka, K. (2020). The Effect of Animate-Inanimate Soundscapes and Framing on Environments’ Evaluation and Predicted Recreation Time. International Journal of Environmental Research and Public Health, 17(23), 9086. https://doi.org/10.3390/ijerph17239086

