A Parsimonious Description and Cross-Country Analysis of COVID-19 Epidemic Curves
Abstract
1. Introduction
2. Materials and Methods
2.1. Data
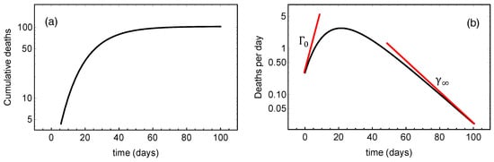
2.2. The Gompertz Model
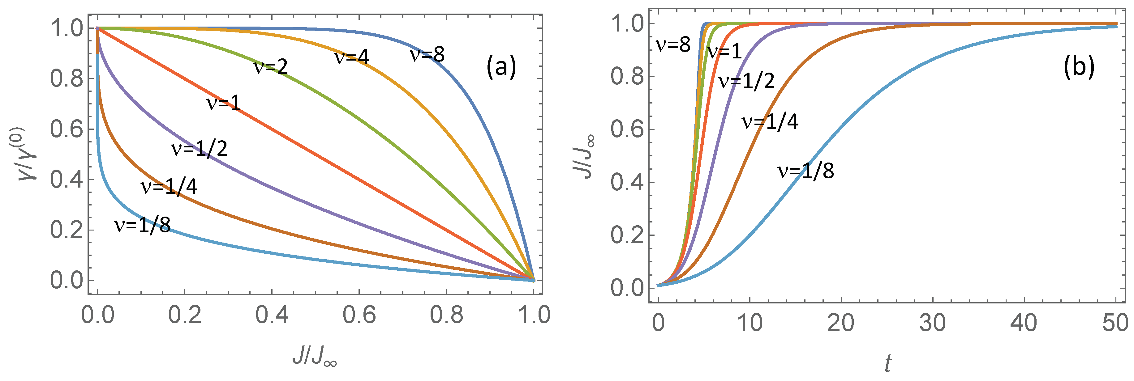
2.3. The Evolution of the Reproduction Number
2.4. Fitting Procedure
3. Results
3.1. Epidemic Curves of Sweden and Norway
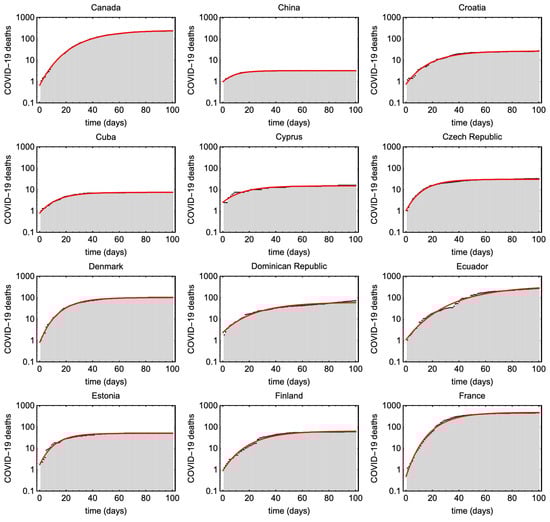
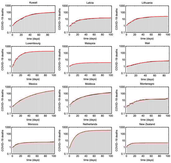
3.2. Analysis of Data from 73 Countries
4. Discussion
4.1. How to Interpret the Gompertz Model
4.2. How to Interpret Figure 6 and Figure 7
5. Conclusions
Author Contributions
Funding
Conflicts of Interest
Appendix A. From the SIR Model to the Gompertz Model
Appendix A.1. Nonlinear Evolution of an “Old” Disease
Appendix A.2. Evolution of an Epidemic Due to a “New” Pathogen
Appendix A.3. The Reproductive Number
Appendix A.4. Reduction to a Generalized Logistic Growth Model
Appendix A.5. Richards’ Growth Model

Appendix A.6. The Gompertz Limit
Appendix B. Gompertz fits to 73 Countries






References
- Why Do Countries’ COVID-19 Death Rates Vary So Much? Multiple Factors at Play: Testing Capacity, Case Definitions, Age Distribution, Preparedness. MEDPAGE TODAY. 15 May 2020. Available online: https://www.medpagetoday.com/infectiousdisease/covid19/86527 (accessed on 4 September 2020).
- Chaudhry, R.; Dranitsaris, G.; Mubashir, T.; Bartoszko, J.; Riazi, S. A country level analysis measuring he impact of governmental actions, country preparedness and socioeconomic factors on COVID-19 mortality and related health outcomes. EclinicalMedicine 2020, 100464. [Google Scholar] [CrossRef] [PubMed]
- Flaxman, S.; Mishra, S.; Gandy, A.; Unwin, H.J.T.; Mellan, T.A.; Coupland, H.; Whittaker, C.; Zhu, H.; Berah, T.; Eaton, J.W.; et al. Estimating the effects of non-pharmaceutical interventions on COVID-19 in Europe. Nature 2020, 584, 257–261. [Google Scholar] [CrossRef] [PubMed]
- Juranek, S.; Zoutman, F.T. The Effect of Social Distancing Measures on Intensive Care Occupancy: Evidence on COVID-19 in Scandinavia. Discussion Papers 2020/2; Norwegian School of Economics, Department of Business and Management Science: Bergen, Norway, 2020. [Google Scholar]
- Paterlini, M. Sweden’s coronavirus strategist. Nature 2020, 580, 574. [Google Scholar] [CrossRef] [PubMed]
- Globalization and Outbreak of COVID-19: An Empirical Analysis. Available online: https://www.cesifo.org/en/publikationen/2020/working-paper/globalization-and-outbreak-covid-19-empirical-analysis (accessed on 4 September 2020).
- Gompertz, B. On the nature of the function expressive of the law of human mortality, and on a new mode of determining the value of life contingencies. Philos. Trans. R. Soc. Lond. 1825, 115, 513–585. [Google Scholar]
- Our World in Data. Available online: https://ourworldindata.org/coronavirus-data (accessed on 4 September 2020).
- Karanikolos, M.; McKee, M. How Comparable is COVID-19 Mortality Across Countries? COVID-19 Health System Monitor. 4 June 2020. Available online: https://analysis.covid19healthsystem.org/index.php/2020/06/04/how-comparable-is-covid-19-mortality-across-countries/ (accessed on 4 September 2020).
- Tsoularis, A. Analysis of logistic growth models. Res. Lett. Inf. Math. Sci. 2001, 2, 23–46. [Google Scholar] [CrossRef]
- Verhulst, P.-F. Notice sur la loi que la population poursuit dans son accroissement. Corresp. Math. Phys. 1838, 10, 113. [Google Scholar]







© 2020 by the authors. Licensee MDPI, Basel, Switzerland. This article is an open access article distributed under the terms and conditions of the Creative Commons Attribution (CC BY) license (http://creativecommons.org/licenses/by/4.0/).
Share and Cite
Rypdal, K.; Rypdal, M. A Parsimonious Description and Cross-Country Analysis of COVID-19 Epidemic Curves. Int. J. Environ. Res. Public Health 2020, 17, 6487. https://doi.org/10.3390/ijerph17186487
Rypdal K, Rypdal M. A Parsimonious Description and Cross-Country Analysis of COVID-19 Epidemic Curves. International Journal of Environmental Research and Public Health. 2020; 17(18):6487. https://doi.org/10.3390/ijerph17186487
Chicago/Turabian StyleRypdal, Kristoffer, and Martin Rypdal. 2020. "A Parsimonious Description and Cross-Country Analysis of COVID-19 Epidemic Curves" International Journal of Environmental Research and Public Health 17, no. 18: 6487. https://doi.org/10.3390/ijerph17186487
APA StyleRypdal, K., & Rypdal, M. (2020). A Parsimonious Description and Cross-Country Analysis of COVID-19 Epidemic Curves. International Journal of Environmental Research and Public Health, 17(18), 6487. https://doi.org/10.3390/ijerph17186487

