Emotional Competence Mediates the Relationship between Communication Problems and Reactive Externalizing Problems in Children with and without Developmental Language Disorder: A Longitudinal Study
Abstract
1. Introduction
1.1. Externalizing Problems in Children with Developmental Language Disorder
1.2. Distinguishing Reactive and Proactive Externalizing Problems in Children with DLD
1.3. Emotional Competence as a Mediating Factor in the Development of Externalizing Problems in Children with DLD
1.4. Present Study
2. Materials and Methods
2.1. Design
2.2. Participants
2.3. Materials
2.4. Procedure
2.5. Statistical Analyses
3. Results
3.1. Preliminary Analyses
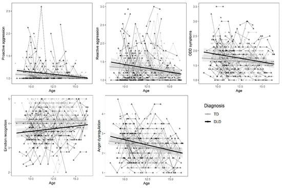
3.2. Group Differences
3.3. Longitudinal Relationships between Emotional Competence and Externalizing Problems
3.4. Mediating Role of Emotional Competence in the Relationship of Communication Problems and Externalizing Problems
3.4.1. The Relationship between Communication Problems and Externalizing Problems
3.4.2. The Relationship between Communication Problems and Emotional Competence
3.4.3. Emotional Competence as a Mediator between Communication Problems and Externalizing Problems
4. Discussion
4.1. Relationships between Emotional Competence and Reactive Externalizing Problems
4.2. Emotional Competence as a Mediator between Communication and Externalizing Problems
4.3. Limitations and Future Directions
5. Conclusions
Supplementary Materials
Author Contributions
Funding
Acknowledgments
Conflicts of Interest
References
- Norbury, C.F.; Gooch, D.; Wray, C.; Baird, G.; Charman, T.; Simonoff, E.; Vamvakas, G.; Pickles, A. The impact of nonverbal ability on prevalence and clinical presentation of language disorder: Evidence from a population study. J. Child Psychol. Psychiatry 2016, 57, 1247–1257. [Google Scholar] [CrossRef] [PubMed]
- Bishop, D.V.M.; Snowling, M.J.; Thompson, P.A.; Greenhalgh, T. Catalise-Consortium. Phase 2 of CATALISE: A multinational and multidisciplinary Delphi consensus study of problems with language development: Terminology. J. Child Psychol. Psychiatry 2017, 58, 1068–1080. [Google Scholar] [CrossRef] [PubMed]
- Lindsay, G.; Dockrell, J.E.; Strand, S. Longitudinal patterns of behaviour problems in children with specific speech and language difficulties: Child and contextual factors. Br. J. Educ. Psychol. 2007, 77, 811–828. [Google Scholar] [CrossRef] [PubMed]
- Maggio, V.; Granana, N.E.; Richaudeau, A.; Torres, S.; Giannotti, A.; Suburo, A.M. Behavior problems in children with specific language impairment. J. Child Neurol. 2014, 29, 194–202. [Google Scholar] [CrossRef]
- St Clair, M.C.; Pickles, A.; Durkin, K.; Conti-Ramsden, G. A longitudinal study of behavioral, emotional and social difficulties in individuals with a history of specific language impairment (SLI). J. Commun. Disord. 2011, 44, 186–199. [Google Scholar] [CrossRef]
- Van Daal, J.; Verhoeven, L.; Van Balkom, H. Behaviour problems in children with language impairment. J. Child. Psychol. Psychiatry 2007, 48, 1139–1147. [Google Scholar] [CrossRef]
- Chow, J.C.; Wehby, J.H. Associations Between Language and Problem Behavior: A Systematic Review and Correlational Meta-analysis. Educ. Psychol. Rev. 2018, 30, 61–82. [Google Scholar] [CrossRef]
- Fernandez, E.; Johnson, S.L. Anger in psychological disorders: Prevalence, presentation, etiology and prognostic implications. Clin. Psychol. Rev. 2016, 46, 124–135. [Google Scholar] [CrossRef]
- Salmon, K.; O’Kearney, R.; Reese, E.; Fortune, C.A. The Role of Language Skill in Child Psychopathology: Implications for Intervention in the Early Years. Clin. Child Fam. Psych. 2016, 19, 352–367. [Google Scholar] [CrossRef]
- American Psychiatric Association. Diagnostic and Statistical Manual of Mental Disorders, 5th ed.; American Psychiatric Publishing: Arlington, VA, USA, 2013. [Google Scholar]
- Conti-Ramsden, G.; St Clair, M.C.; Pickles, A.; Durkin, K. Developmental Trajectories of Verbal and Nonverbal Skills in Individuals with a History of Specific Language Impairment: From Childhood to Adolescence. J. Speech Lang. Hear. Res. 2012, 55, 1716–1735. [Google Scholar] [CrossRef]
- Poll, G.H.; Miller, C.A. Late talking, typical talking, and weak language skills at middle childhood. Learn. Individ Differ. 2013, 26, 177–184. [Google Scholar] [CrossRef]
- Snowling, M.J.; Duff, F.J.; Nash, H.M.; Hulme, C. Language profiles and literacy outcomes of children with resolving, emerging, or persisting language impairments. J. Child Psychol. Psychiatry 2016, 57, 1360–1369. [Google Scholar] [CrossRef] [PubMed]
- Timler, G.R. Social knowledge in children with language impairments: Examination of strategies, predicted consequences, and goals in peer conflict situations. Clin. Linguist. Phon. 2008, 22, 741–763. [Google Scholar] [CrossRef] [PubMed]
- Beitchman, J.H.; Brownlie, E.B.; Inglis, A.; Wild, J.; Ferguson, B.; Schachter, D. Seven-Year Follow-Up of Speech/Language Impaired and Control Children: Psychiatric Outcome. J. Child Psychol. Psychiatry 1996, 37, 961–970. [Google Scholar] [CrossRef] [PubMed]
- Snowling, M.J.; Bishop, D.V.; Stothard, S.E.; Chipchase, B.; Kaplan, C. Psychosocial outcomes at 15 years of children with a preschool history of speech-language impairment. J. Child Psychol Psychiatry 2006, 47, 759–765. [Google Scholar] [CrossRef] [PubMed]
- Lindsay, G.; Dockrell, J.E. Longitudinal Patterns of Behavioral, Emotional, and Social Difficulties and Self-Concepts in Adolescents with a History of Specific Language Impairment. Lang. Speech Hear. Serv. Sch. 2012, 43. [Google Scholar] [CrossRef]
- Conti-Ramsden, G.; Mok, P.L.; Pickles, A.; Durkin, K. Adolescents with a history of specific language impairment (SLI): Strengths and difficulties in social, emotional and behavioral functioning. Res. Dev. Disabil. 2013, 34, 4161–4169. [Google Scholar] [CrossRef] [PubMed]
- Crick, N.R.; Dodge, K.A. Social Information-Processing Mechanisms in Reactive and Proactive Aggression. Child. Dev. 1996, 67, 993–1002. [Google Scholar] [CrossRef]
- Tremblay, R.E. Developmental origins of disruptive behaviour problems: The ‘original sin’ hypothesis, epigenetics and their consequences for prevention. J. Child Psychol. Psychiatry 2010, 51, 341–367. [Google Scholar] [CrossRef]
- Vitaro, F.; Brendgen, M.; Tremblay, R.E. Reactively and proactively aggressive children: Antecedent and subsequent characteristics. J. Child Psychol. Psychiatry 2002, 43, 495–505. [Google Scholar] [CrossRef]
- Winstanley, M.; Webb, R.T.; Conti-Ramsden, G. More or less likely to offend? Young adults with a history of identified developmental language disorders. Int. J. Lang. Commun. Disord. 2018, 53, 256–270. [Google Scholar] [CrossRef] [PubMed]
- van den Bedem, N.P.; Dockrell, J.E.; van Alphen, P.M.; Kalicharan, S.V.; Rieffe, C. Victimization, Bullying, and Emotional Competence: Longitudinal Associations in (Pre)Adolescents with and Without Developmental Language Disorder. J. Speech Lang. Hear. Res. 2018, 61, 2028–2044. [Google Scholar] [CrossRef] [PubMed]
- Brownlie, E.B.; Beitchman, J.H.; Escobar, M.; Young, A.; Atkinson, L.; Johnson, C.; Wilson, B.; Douglas, L. Early Language Impairment and Young Adult Delinquent and Aggressive Behavior. J. Ofabnormal Child Psychol. 2004, 32, 453–467. [Google Scholar] [CrossRef] [PubMed]
- Beitchman, J.H.; Wilson, B.; Brownlie, E.B.; Walters, H.; Inglis, A.; Lancee, W. Long-term consistency in speech/language profiles.2. Behavioral, emotional, and social outcomes. J. Am. Acad. Child Psy. 1996, 35, 815–825. [Google Scholar] [CrossRef]
- Fields, L.; Prinz, R.J. Coping and adjustment during child-hood and adolescence. Clin. Psychol. Rev. 1997, 17, 937–976. [Google Scholar] [CrossRef]
- Westrupp, E.M.; Reilly, S.; McKean, C.; Law, J.; Mensah, F.; Nicholson, J.M. Vocabulary Development and Trajectories of Behavioral and Emotional Difficulties via Academic Ability and Peer Problems. Child Dev. 2020, 91, e365–e382. [Google Scholar] [CrossRef]
- Menting, B.; van Lier, P.A.C.; Koot, H.M. Language skills, peer rejection, and the development of externalizing behavior from kindergarten to fourth grade. J. Child Psychol. Psychiatry 2011, 52, 72–79. [Google Scholar] [CrossRef]
- Roben, C.K.P.; Cole, P.M.; Armstrong, L.M. Longitudinal Relations among Language Skills, Anger Expression, and Regulatory Strategies in Early Childhood. Child Dev. 2013, 84, 891–905. [Google Scholar] [CrossRef]
- de Castro, B.O.; Merk, W.; Koops, W.; Veerman, J.W.; Bosch, J.D. Emotions in social information processing and their relations with reactive and proactive aggression in referred aggressive boys. J. Clin. Child Adolesc 2005, 34, 105–116. [Google Scholar] [CrossRef]
- Rohlf, H.L.; Holl, A.K.; Kirsch, F.; Krahe, B.; Elsner, B. Longitudinal Links between Executive Function, Anger, and Aggression in Middle Childhood. Front. Behav. Neurosci. 2018, 12, 27. [Google Scholar] [CrossRef]
- van den Bedem, N.P.; Willems, D.; Dockrell, J.E.; van Alphen, P.M.; Rieffe, C. Interrelation between empathy and friendship development during (pre)adolescence and the moderating effect of developmental language disorder: A longitudinal study. Soc. Dev. 2019, 28, 599–619. [Google Scholar] [CrossRef]
- Yuill, N.; Little, S. Thinking or feeling? An exploratory study of maternal scaffolding, child mental state talk, and emotion understanding in language-impaired and typically developing school-aged children. Br. J. Educ. Psychol. 2018, 88, 261–283. [Google Scholar] [CrossRef] [PubMed]
- Saarni, C. The Development of Emotional Competence; Guilford Press: New York, NY, USA, 1999. [Google Scholar]
- Bakopoulou, I.; Dockrell, J.E. The role of social cognition and prosocial behaviour in relation to the socio-emotional functioning of primary aged children with specific language impairment. Res. Dev. Disabil. 2016, 49–50, 354–370. [Google Scholar] [CrossRef] [PubMed]
- Fujiki, M.; Spackman, M.P.; Brinton, B.; Hall, A. The relationship of language and emotion regulation skills to reticence in children with Specific Language Impairment. J. Speech Lang. Hear. Res. 2004, 47, 637–646. [Google Scholar] [CrossRef]
- Rohlf, H.; Busching, R.; Krahe, B. Longitudinal Links between Maladaptive Anger Regulation, Peer Problems, and Aggression in Middle Childhood. Merrill Palmer Quart 2017, 63, 282–309. [Google Scholar] [CrossRef]
- Paula, E.M.; Befi-Lopes, D.M. Conflict resolution abilities in children with Specific Language Impairment. Codas 2013, 25, 102–109. [Google Scholar] [CrossRef]
- van den Bedem, N.P.; Dockrell, J.E.; van Alphen, P.M.; de Rooij, M.; Samson, A.C.; Harjunen, E.L.; Rieffe, C. Depressive symptoms and emotion regulation strategies in children with and without developmental language disorder: A longitudinal study. Int. J. Lang. Comm. Dis. 2018, 53, 1110–1123. [Google Scholar] [CrossRef]
- Samson, A.C.; Van den Bedem, N.P.; Dukes, D.; Rieffe, C. Positive aspects of emotional competences in preventing internalizing symptoms in children with and without developmental language disorder: A longitudinal approach. J. Aut. Dev. Dis. 2020, 50, 1159–1171. [Google Scholar] [CrossRef]
- Kort, W.; Schittekatte, M.; Compaan, E. CELF-4-NL: Clinical Evaluation of Language Fundamentals-Vierde-Editie; Pearson Assessment and Information B.V: Amsterdam, The Netherlands, 2008. [Google Scholar]
- Kort, W.; Schittekatte, M.; Dekker, P.H.; Verhaeghe, P.; Compaan, E.L.; Bosmans, M.; Vermeir, G. WISC-III NL Wechsler Intelligence Scale for Children. Derde Editie NL; Harcourt Test Publishers/Nederlands Instituut voor Psychologen: Amsterdam, The Netherlands, 2005. [Google Scholar]
- Gadow, K.D.; Sprafkin, J. Child Symptom Inventory 4: Screening and Norms Manual; Checkmate Plus: Stony Brook, NY, USA, 2002. [Google Scholar]
- Rieffe, C.; Broekhof, E.; Kouwenberg, M.; Faber, J.; Tsutsui, M.M.; Guroglu, B. Disentangling proactive and reactive aggression in children using self-report. Eur. J. Dev. Psychol. 2016, 13, 439–451. [Google Scholar] [CrossRef]
- Rieffe, C.; Ketelaar, L.; Wiefferink, C.H. Assessing empathy in young children: Construction and validation of an Empathy Questionnaire (EmQue). Pers. Indiv. Differ. 2010, 49, 362–367. [Google Scholar] [CrossRef]
- Norbury, C.F.; Nash, M.; Baird, G.; Bishop, D. Using a parental checklist to identify diagnostic groups in children with communication impairment: A validation of the Children’s Communication Checklist—2. Int. J. Lang. Commun. Disord. 2004, 39, 345–364. [Google Scholar] [CrossRef] [PubMed]
- Geurts, H.M.; Hartman, C.; Verte, S.; Oosterlaan, J.; Roeyers, H.; Sergeant, J.A. Pragmatics fragmented: The factor structure of the Dutch children’s communication checklist (CCC). Int. J. Lang. Commun. Disord. 2009, 44, 549–574. [Google Scholar] [CrossRef] [PubMed]
- Way, I.F.; Applegate, B.; Cai, X.; Franck, L.K.; Black-Pond, C.; Yelsma, P.; Muliett, M. Children’s Alexithymia Measure (CAM): A new instrument for screening difficulties with emotional expression. J. Child Adolesc. Trauma 2010, 3, 303–318. [Google Scholar] [CrossRef]
- Theunissen, S.C.P.M.; Rieffe, C.; Soede, W.; Briaire, J.J.; Ketelaar, L.; Kouwenberg, M.; Frijns, J.H.M. Symptoms of Psychopathology in Hearing-Impaired Children. Ear Hear. 2015, 36, e190–e198. [Google Scholar] [CrossRef] [PubMed]
- R Foundation for Statistical Computing. R: A Language and Environment for Statistical Computing; R Foundation for Statistical Computing: Vienna, Austria, 2016. [Google Scholar]
- Field, A. Discovering Statistics Using IBM SPSS Statistics, 4th ed.; Sage: London, UK, 2013. [Google Scholar]
- Singer, J.D.; Willett, J.B. Applied Longitudinal Data Analysis: Modelling Change and Event Occurrence; Oxford University Press: New York, NY, USA, 2009. [Google Scholar]
- Hayes, A.F. Introduction to Mediation, Moderation, and Conditional Process Analysis; The Guilford Press: New York, NY, USA, 2013. [Google Scholar]
- Havighurst, S.S.; Wilson, K.R.; Harley, A.E.; Prior, M.R.; Kehoe, C. Tuning in to Kids: Improving emotion socialization practices in parents of preschool children—Findings from a community trial. J. Child Psychol. Psychiatry 2010, 51, 1342–1350. [Google Scholar] [CrossRef] [PubMed]
- Bianco, F.; Lecce, S.; Banerjee, R. Conversations about mental states and theory of mind development during middle childhood: A training study. J. Exp. Child Psychol. 2016, 149, 41–61. [Google Scholar] [CrossRef]
- Lecce, S.; Bianco, F.; Devine, R.T.; Hughes, C.; Banerjee, R. Promoting theory of mind during middle childhood: A training program. J. Exp. Child Psychol. 2014, 126, 52–67. [Google Scholar] [CrossRef]
- Ornaghi, V.; Brockmeier, J.; Grazzani, I. Enhancing social cognition by training children in emotion understanding: A primary school study. J. Exp. Child Psychol. 2014, 119, 26–39. [Google Scholar] [CrossRef]
- Eisenberg, N.; Fabes, R.A.; Spinrad, T.L. Prosocial Development. In Handbook of Child Psychology: Social, Emotional, and Personality Development; Eisenberg, N., Damon, W., Lerner, R.M., Eds.; John Wiley: Hoboken, NJ, USA, 2006; pp. 646–718. [Google Scholar]
- Gross, J.J.; Jazaieri, H. Emotion, Emotion Regulation, and Psychopathology: An Affective Science Perspective. Clin. Psychol. Sci. 2014, 2, 387–401. [Google Scholar] [CrossRef]
- Skripkauskaite, S.; Hawk, S.T.; Branje, S.J.; Koot, H.M.; van Lier, P.A.; Meeus, W. Reactive and proactive aggression: Differential links with emotion regulation difficulties, maternal criticism in adolescence. Aggress Behav. 2015, 41, 214–226. [Google Scholar] [CrossRef]
- Wicks-Nelson, R.; Israel, A.C. Abnormal Child and Adolescent Psychology. DSM-V Update, 8th ed.; Pearson: Amsterdam, The Netherlands, 2015. [Google Scholar]
- Banerjee, R.; Watling, D.; Caputi, M. Peer relations and the understanding of faux pas: Longitudinal evidence for bidirectional associations. Child Dev. 2011, 82, 1887–1905. [Google Scholar] [CrossRef] [PubMed]
- Cohen, N.J.; Menna, R.; Vallance, D.D.; Barwick, M.A.; Im, N.; Horodezky, N.B. Language, Social Cognitive Processing, and Behavioral Characteristics of Psychiatrically Disturbed Children with Previously Identified and Unsuspected Language Impairments. J. Child Psychol. Psychiatry 1998, 39, 853–864. [Google Scholar] [CrossRef] [PubMed]
- Hollo, A.; Chow, J.C.; Wehby, J.H. Profiles of Language and Behavior in Students with Emotional Disturbance. Behav. Disord. 2019, 44, 195–204. [Google Scholar] [CrossRef]
- Glickman, N.S. Cognitive-Behavioral Therapy for Deaf and Hearing Persons with Language and Learning Challenges; Routledge: New York, NY, USA, 2008. [Google Scholar]
- Podsakoff, P.M.; MacKenzie, S.B.; Lee, J.Y.; Podsakoff, N.P. Common method biases in behavioral research: A critical review of the literature and recommended remedies. J. Appl. Psychol. 2003, 88, 879–903. [Google Scholar] [CrossRef] [PubMed]
- McClelland, M.M.; Cameron, C.E.; Connor, C.M.; Farris, C.L.; Jewkes, A.M.; Morrison, F.J. Links between behavioral regulation and preschoolers’ literacy, vocabulary, and math skills. Dev. Psychol. 2007, 43, 947–959. [Google Scholar] [CrossRef] [PubMed]
- van der Wilt, F.; van der Veen, C.; van Kruistum, C.; van Oers, B. Why Do Children Become Rejected by Their Peers? A Review of Studies into the Relationship between Oral Communicative Competence and Sociometric Status in Childhood. Educ. Psychol. Rev. 2019, 31, 699–724. [Google Scholar] [CrossRef]
- Dunn, J.; Brown, J.; Beardsall, L. Family Talk about Feeling States and Children’s Later Understanding of Others’ Emotions. Dev. Psychol. 1991, 27, 448–455. [Google Scholar] [CrossRef]
- Denham, S.A.; Auerbach, S. Mother-child dialogue about emotions and preschoolers’ emotional competence. Genet. Soc. Gen. Psychol. Monogr. 1995, 121, 313–337. [Google Scholar]
- Zeegers, M.A.J.; de Vente, W.; Nikolic, M.; Majdandzic, M.; Bogels, S.M.; Colonnesi, C. Mothers’ and fathers’ mind-mindedness influences physiological emotion regulation of infants across the first year of life. Dev. Sci. 2018, 21. [Google Scholar] [CrossRef]
- Hart, K.L.; Fujiki, M.; Brinton, B.; Hart, C.H. The relationship between social behaviour and severity of language impairment. J. Speech Lang. Hear. Res. 2004, 47, 647–662. [Google Scholar] [CrossRef]



| With DLD | Without DLD | |
|---|---|---|
| Number of children—n | 98 | 156 |
| Male | 47 (48.0%) | 68 (43.6%) |
| Female | 51 (52.0%) | 88 (56.4%) |
| Mean Age in years (SD) | 11.5 (1.1) | 11.6 (1.4) |
| Age range in years, months | 9.2−16.3 | 9.8–15.4 |
| Neighborhood socio-economic status (SES) (SD) *** | 0.00 (1.10) | 0.66 (1.12) |
| Range neighborhood SES | −4.19–2.50 | −5.24–2.44 |
| Performance IQ (PIQ)—n | 92 | 146 |
| PIQ (SD) *** | 93.8 (13.1) | 109.4 (17.1) |
| Range PIQ | 70−140 | 78−140 |
| Range | N | α Time 1 | Grand Means (SD) | |||
|---|---|---|---|---|---|---|
| Items | With DLD | Without DLD | With DLD n = 98 | Without DLD n = 156 | ||
| Externalizing problems | ||||||
| Oppositional Deviant Disorder symptoms | 1–4 | 8 | 0.89 | 0.79 | 1.76 (0.49) | 1.65 (0.34) |
| Reactive aggression | 1–3 | 15 | 0.96 | 0.89 | 1.33 (0.40) | 1.28 (0.24) |
| Proactive aggression | 1–3 | 15 | 0.91 | 0.91 | 1.09 (0.17) | 1.04 (0.07) |
| Emotional competence | ||||||
| Emotion recognition | 1–5 | 6 | 0.75 | 0.75 | 3.77 (0.56) | 4.08 (0.53) |
| Anger dysregulation | 1–5 | 4 | 0.81 | 0.75 | 2.45 (0.74) | 2.30 (0.56) |
| Communication problems | ||||||
| Emotion | 1–4 | 14 | 0.91 | 0.91 | 2.03 (0.58) | 1.43 (0.42) |
| General | 53–157 | 56 | 0.83 | 0.87 | 115.52 (13.65) | 73.33 (15.01) |
| Pragmatic | 24–78 | 28 | 0.83 | 0.79 | 54.92 (7.46) | 35.97 (7.94) |
| Speech | 8–24 | 7 | 0.75 | 16.10 (3.54) | ||
| Syntax | 7–20 | 7 | 0.59 | 15.29 (2.48) | ||
| Semantics | 5–18 | 7 | 0.69 | 14.21 (1.74) | ||
| Coherence | 6–20 | 7 | 0.80 | 15.00 (2.38) | ||
| Reactive Aggression | ODD Symptoms | ||
|---|---|---|---|
| Age | −0.021 [−0.031, 0.008] | −0.007 [−0.024, 0.010] | |
| Gender | −0.073 [−0.149, −0.005] | - | |
| Diagnosis | −0.404 [−0.707, −0.057] | −0.207 [−0.436, 0.021] | |
| Emotion recognition | Mean | - | −0.049 [−0.112, 0.013] |
| Change | - | −0.108 [−0.177, −0.038] | |
| Anger dysregulation | Mean | 0.041 [−0.014, 0.118] | 0.384 [0.312, 0.455] |
| Change | 0.018 [−0.052, 0.094] | 0.133 [0.060, 0.207] | |
| Diagnosis x Anger dysregulation | Mean | 0.182 [0.025, 0.312] | 0.105 [0.003, 0.208] |
| Change | 0.090 [−0.037, 0.230] | 0.092 [−0.044, 0.229] | |
© 2020 by the authors. Licensee MDPI, Basel, Switzerland. This article is an open access article distributed under the terms and conditions of the Creative Commons Attribution (CC BY) license (http://creativecommons.org/licenses/by/4.0/).
Share and Cite
van den Bedem, N.P.; Dockrell, J.E.; van Alphen, P.M.; Rieffe, C. Emotional Competence Mediates the Relationship between Communication Problems and Reactive Externalizing Problems in Children with and without Developmental Language Disorder: A Longitudinal Study. Int. J. Environ. Res. Public Health 2020, 17, 6008. https://doi.org/10.3390/ijerph17166008
van den Bedem NP, Dockrell JE, van Alphen PM, Rieffe C. Emotional Competence Mediates the Relationship between Communication Problems and Reactive Externalizing Problems in Children with and without Developmental Language Disorder: A Longitudinal Study. International Journal of Environmental Research and Public Health. 2020; 17(16):6008. https://doi.org/10.3390/ijerph17166008
Chicago/Turabian Stylevan den Bedem, Neeltje P., Julie E. Dockrell, Petra M. van Alphen, and Carolien Rieffe. 2020. "Emotional Competence Mediates the Relationship between Communication Problems and Reactive Externalizing Problems in Children with and without Developmental Language Disorder: A Longitudinal Study" International Journal of Environmental Research and Public Health 17, no. 16: 6008. https://doi.org/10.3390/ijerph17166008
APA Stylevan den Bedem, N. P., Dockrell, J. E., van Alphen, P. M., & Rieffe, C. (2020). Emotional Competence Mediates the Relationship between Communication Problems and Reactive Externalizing Problems in Children with and without Developmental Language Disorder: A Longitudinal Study. International Journal of Environmental Research and Public Health, 17(16), 6008. https://doi.org/10.3390/ijerph17166008

