Critical Events throughout the Educational Career: The Effect of Grade Retention and Repetition on School-Aged Children’s Well-Being
Abstract
1. Introduction
1.1. Grade Retention as a Critical Event during the School Career
1.2. Well-Being
1.3. Well-Being during the School Career
1.4. The Effect of Transitions on Students’ Well-Being
2. Research Objectives and Hypotheses
2.1. Objectives
- What is the sample percentage of students who experienced a grade retention decision and grade repetition over the secondary school career according to different socio-demographic and economic background characteristics, i.e., gender and the attended type of school?
- What is the overall pattern of temporal dynamics of students’ well-being around the event of grade retention decision and grade repetition?
- What are the group-specific patterns of temporal dynamics of students’ well-being (i.e., by gender and the attended type of school) around the event of grade retention decision and grade repetition?
2.2. Hypotheses
3. Material and Methods
3.1. Data
3.2. Sample Selection
3.3. Students who Experienced Grade Retention and Repetition and the Comparison Group
3.4. Indicators
3.4.1. Dependent Variables
3.4.2. Group-Specific Variables
- N = 1597 female students with n = 153 grade retentions (9.6%)
- N = 1844 male students with n = 293 grade retentions (15.9%)
- N = 470 students at general schools with n = 46 grade retentions (9.8%)
- N = 518 students at schools with different tracks with n = 47 grade retentions (9.1%)
- N = 864 students at intermediate schools with n = 149 grade retentions (17.2%)
- N = 1589 students at grammar schools with n = 204 grade retentions (12.8%)
3.4.3. Event Time Dummies
3.4.4. Time-Varying Confounders
3.5. Statistical Analysis
4. Results
4.1. Descriptive Results
4.2. Results from Fixed-Effects Regressions
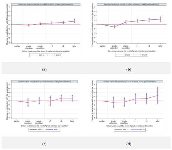
4.2.1. Satisfaction with Life
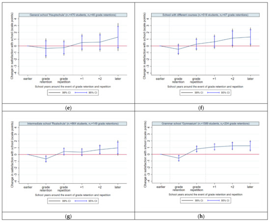
4.2.2. Satisfaction with School
4.2.3. Effects of Time-Varying Confounders
5. Discussion
5.1. Grade retention in Germany: Descriptive Findings
5.2. The effect of grade retention and repetition on students´ well-being: Results from fixed-effects regressions
5.3. Grade Retention: Gender-Specific Results
5.4. Grade Retention: School Type-Specific Results
6. Limitations
7. Conclusions
Author Contributions
Funding
Acknowledgments
Conflicts of Interest
Appendix A

References
- Van Ophuysen, S. Moving to Secondary School: On the Role of Affective Expectations in a Tracking School System. Eur. Educ. Res. J. 2009, 8, 434–446. [Google Scholar] [CrossRef]
- Baumert, J.; Stanat, P.; Watermann, R. (Eds.) Herkunftsbedingte Disparitäten im Bildungswesen: Differenzielle Bildungsprozesse und Probleme der Verteilungsgerechtigkeit. Vertiefende Analysen im Rahmen von PISA 2000; Springer: Wiesbaden, Germany, 2006. [Google Scholar]
- Bärsch, W. Die Familie muss es verarbeiten.: Über die Auswirkungen des Sitzenbleibens auf Eltern und Kinder. Westermanns Pädagogische Beiträge 1987, 4, 26–28. [Google Scholar]
- Roßbach, H.-G.; Tietze, W. Sitzenbleiben. In Handwörterbuch Pädagogische Psychologie; Rost, D.H., Ed.; Beltz: Weinheim, Germany, 2006; pp. 781–788. [Google Scholar]
- Statistisches Bundesamt. Fachserie 11, Reihe 1: Bildung und Kultur—Allgemeinbildende Schulen, Schuljahr 2010/11; Statistisches Bundesamt: Wiesbaden, Germany, 2011. [Google Scholar]
- Bless, G. Irreguläre Schullaufbahnen im Rahmen der obligatorischen Schule und Forschungsergebnisse zur Klassenwiederholung. In Bildungsverläufe von der Einschulung bis in den Ersten Arbeitsmarkt; Neuenschwander, M.P., Nägele, C., Eds.; Springer: Wiesbaden, Germany, 2017; pp. 39–57. [Google Scholar]
- Palowski, M. Der Diskurs des Versagens; Springer: Wiesbaden, Germany, 2016. [Google Scholar]
- OECD. PISA 2015 Ergebnisse (Band 1). Exzellenz und Chancengleichheit in der Bildung, PISA; W. Bertelsmann Verlag: Bielefeld, Germany, 2016. [Google Scholar]
- Statista. Anteil der Klassenwiederholer im Schuljahr 2017/2018 in Deutschland nach Bundesländern. Available online: de.statista.com/statistik/daten/studie/254796/umfrage/anteil-der-klassenwiederholer-in-deutschland-nach-bundeslaendern/ (accessed on 23 April 2020).
- OECD. PISA 2012 Results: What Makes Schools Successful? Resources, Policies and Practices; PISA, OECD Publishing: Paris, France, 2014; Volume IV. [Google Scholar]
- Statistisches Bundesamt. Schulen auf einen Blick; Statistisches Bundesamt: Wiesbaden, Germany, 2018. [Google Scholar]
- Elder, G.H.; Social Science Research Council. Life Course Dynamics: Trajectories and Transitions, 1968–1980; Cornell University Press: Ithaca, NY, USA, 1985. [Google Scholar]
- Elder, G.H.; Rockwell, R.C. The Life-Course and Human Development: An Ecological Perspective. Int. J. Behav. Dev. 1979, 2, 1–21. [Google Scholar] [CrossRef]
- Sackmann, R.; Wingens, M. From Transitions to Trajectories: Sequence Types. In Social Dynamics of the Life Course: Transitions, Institutions, and Interrelations; Heinz, W.R., Marshall, V.W., Eds.; Aldine de Gruyter: Hawthorne, CA, USA, 2003; pp. 93–116. [Google Scholar]
- Sackmann, R. Lebenslaufanalyse und Biografieforschung: Eine Einführung; Springer: Wiesbaden, Germany, 2013. [Google Scholar]
- Griebel, W. Transitionen. In Klinkhardt-Lexikon Erziehungswissenschaft; Horn, K.-P., Kemnitz, H., Marotzki, W., Sandfuchs, U., Arnold, K.-H., Eds.; Klinkhardt: Bad Heilbrunn, Germany, 2012; p. 322. [Google Scholar]
- Holmes, T.H.; Rahe, R.H. The social readjustment rating scale. J. Psychosom. Res. 1967, 11, 213–218. [Google Scholar] [CrossRef]
- Filipp, S.-H.; Aymanns, P. Kritische Lebensereignisse und Lebenskrisen. Vom Umgang mit den Schattenseiten des Lebens; W. Kohlhammer: Stuttgart, Germany, 2018. [Google Scholar]
- Sirsch, U. The impending transition from primary to secondary school: Challenge or threat? Int. J. Behav. Dev. 2016, 27, 385–395. [Google Scholar] [CrossRef]
- Lazarus, R.S.; Folkman, S. Transactional theory and research on emotions and coping. Eur. J. Personal. 1987, 1, 141–169. [Google Scholar] [CrossRef]
- Graalmann, K. Pädagogische Gestaltungsmöglichkeiten zur Unterstützung des Übergangs an Grundschulen und weiterführenden Schulen. In Der Übergang von der Grundschule auf Weiterführende Schulen: Grundlagen für die Lehrerausbildung, Fortbildung und Praxis; Porsch, R., Ed.; Waxmann: Münster, Germany, 2018; pp. 213–230. [Google Scholar]
- Koch, K. Der Übergang von der Grundschule in die weiterführende Schule als biographische und pädagogische Herausforderung. In Jahrbuch Jugendforschung; Ittel, A., Merkens, H., Stecher, L., Eds.; Springer: Wiesbaden, Germany, 2011; pp. 69–89. [Google Scholar]
- Hanewald, R. Transition Between Primary and Secondary School: Why it is Important and How it can be Supported. Aust. J. Teach. Educ. 2013, 38, 62–74. [Google Scholar] [CrossRef]
- Knoppick, H.; Becker, M.; Neumann, M.; Maaz, K.; Baumert, J. Der Einfluss des Übergangs in differenzielle Lernumwelten auf das allgemeine und schulische Wohlbefinden von Kindern. ZfPP 2015, 29, 163–175. [Google Scholar] [CrossRef]
- Vockert, T.; Rathmann, K.; Loter, K. Wohlbefinden von Schulkindern: Übergänge und Klassenwiederholung als kritisches Ereignis? Public Health Forum 2019, 27, 252–255. [Google Scholar] [CrossRef]
- Rathmann, K.; Hurrelmann, K. (Eds.) Leistung und Wohlbefinden in der Schule: Herausforderung Inklusion; Beltz-Juventa: Weinheim, Germany, 2018. [Google Scholar]
- Hascher, T.; Morinaj, J.; Waber, J. Schulisches Wohlbefinden: Eine Einführung in Konzept und Forschungsstand. In Leistung und Wohlbefinden in der Schule: Herausforderung Inklusion; Rathmann, K., Hurrelmann, K., Eds.; Beltz-Juventa: Weinheim, Germany, 2018; pp. 66–82. [Google Scholar]
- Mander, D.; Lester, L.; Cross, D. The social and emotional well-being and mental health implications for adolescents transitioning to secondary boarding school. IJCA 2015, 8, 131–140. [Google Scholar]
- Hascher, T. Wohlbefinden in der Schule; Waxmann: Munster, Germany, 2004. [Google Scholar]
- Huebner, E.S.; Valois, R.F.; Paxton, R.J.; Drane, J.W. Middle school students’ perceptions of quality of life. J. Happiness Stud. 2005, 6, 15–24. [Google Scholar] [CrossRef]
- Lester, L.; Mander, D. The Role of Social, Emotional and Mental Wellbeing on Bullying Victimisation and Perpetration of Secondary School Boarders. J. Psychol. Couns. Sch. 2015, 25, 152–169. [Google Scholar] [CrossRef]
- Bilz, L.; Ottova, V.; Ravens-Sieberer, U. Psychische Auffälligkeiten bei Schülerinnen und Schülern: Prävention und Früherkennung. In Gesundheit und Gesundheitsverhalten im Geschlechtervergleich: Ergebnisse des Jugendsurveys “Health Behaviour in School-Aged Children”; Kolip, P., Klocke, A., Melzer, W., Ravens-Sieberer, U., Eds.; Beltz-Juventa: Weinheim, Germany, 2012; pp. 168–189. [Google Scholar]
- Inchley, J.; Currie, D.; Young, T. (Eds.) Growing up Unequal: Gender and Socioeconomic Differences in Young People’s Health and Well-Being. Health Behaviour in School-Aged Children (HBSC) Study: International Report from the 2013/2014 Survey; World Health Organization, Regional Office for Europe: Copenhagen, Denmark, 2016. [Google Scholar]
- Trabe, A. Wie gerne gehst du in die Schule? Einblicke in das schulische Wohlbefinden von SchülerInnen in Integrationsklassen. In Ausschnitte aus der Grazer Inklusionsforschung; Trauntschnig, M., Schwab, S., Eds.; Kovac: Hamburg, Germany, 2018. [Google Scholar]
- Hascher, T.; Hagenauer, G. Schulisches Wohlbefinden im Jugendalter—Verläufe und Einflussfaktoren. In Jahrbuch Jugendforschung; Ittel, A., Merkens, H., Stecher, L., Eds.; Springer: Wiesbaden, Germany, 2011; pp. 15–45. [Google Scholar]
- Heise, E.; Rahm, T. Schulzufriedenheit: Eine empirische Untersuchung an Schülerinnen und Schülern zweier Gymnasien. PEU 2007, 54, 15–29. [Google Scholar]
- Herke, M.; Rathmann, K.; Richter, M. Trajectories of students’ well-being in secondary education in Germany and differences by social background. Eur. J. Public Health 2019, 29, 960–965. [Google Scholar] [CrossRef] [PubMed]
- Rathmann, K.; Kuntz, B. Sozial bedingte Ungleichheiten in der Kinder- und Jugendgesundheit: Empirische Belege und Herausforderungen für Prävention und Gesundheitsförderung. Public Health Forum 2018, 26, 328–330. [Google Scholar] [CrossRef]
- Rathmann, K.; Moor, I.; Herke, M.; Richter, M. Bildungsungleichheit, Schulumwelt und Gesundheit: Gibt es eine doppelte Benachteiligung. In Schule und Gesundheit: Ergebnisse des WHO-Jugendgesundheitssurveys “Health Behaviour in School-Aged Children” 2013/14; Bilz, L., Sudeck, G., Bucksch, J., Klocke, A., Kolip, P., Melzer, W., Ravens-Sieberer, U., Richter, M., Eds.; Beltz Juventa: Weinheim, Germany, 2016; pp. 156–180. [Google Scholar]
- Hascher, T.; Hagenauer, G. Wohlbefinden und Emotionen in der Schule als zentrale Elemente des Schulerfolgs unter der Perspektive geschlechtsspezifischer Ungleichheiten. In Geschlechtsspezifische Bildungsungleichheiten; Hadjar, A., Ed.; Springer: Wiesbaden, Germany, 2011; pp. 285–308. [Google Scholar]
- Gysin, S. Subjektives Wohlbefinden von Schülerinnen und Schülern; Beltz Juventa: Weinheim, Germany, 2017. [Google Scholar]
- Rathmann, K.; Herke, M.; Hurrelmann, K.; Richter, M. Klassenklima, schulisches Wohlbefinden und Gesundheit von Schülerinnen und Schülern in Deutschland: Ergebnisse des Nationalen Bildungspanels (NEPS). Gesundheitswesen 2018, 80, 332–341. [Google Scholar] [CrossRef]
- Rathmann, K.; Herke, M.; Bilz, L.; Rimpelä, A.; Hurrelmann, K.; Richter, M. Class-Level School Performance and Life Satisfaction: Differential Sensitivity for Low- and High-Performing School-Aged Children. Int. J. Environ. Res. Public Health 2018, 15, 2750. [Google Scholar] [CrossRef]
- Hurrelmann, K.; Bauer, U. Einführung in die Sozialisationstheorie. Das Modell der Produktiven Realitätsverarbeitung; Beltz: Weinheim, Germany, 2015. [Google Scholar]
- Watermann, R.; Baumert, J. Entwicklung eines Strukturmodells zum Zusammenhang zwischen sozialer Herkunft und fachlichen und überfachlichen Kompetenzen: Befunde national und international vergleichender Analysen. In Herkunftsbedingte Disparitäten im Bildungswesen: Differenzielle Bildungsprozesse und Probleme der Verteilungsgerechtigkeit: Vertiefende Analysen im Rahmen von PISA 2000; Baumert, J., Stanat, P., Watermann, R., Eds.; Springer: Wiesbaden, Germany, 2006. [Google Scholar]
- Heilmann, K.; Bräsen, J.; Herke, M.; Richter, M.; Rathmann, K. Soziale Determinanten der subjektiven Gesundheit, Lebenszufriedenheit und krankheitsbedingten Schulfehltage von Heranwachsenden in Deutschland: Erste Ergebnisse des Nationalen Bildungspanels (NEPS). Gesundheitswesen 2018, 80, 613–620. [Google Scholar] [CrossRef]
- Rathmann, K.; Herke, M.; Kuntz, B.; Lampert, T.; Loter, K.; Moor, I.; Richter, M. Die Bedeutung intergenerationaler Bildungsmobilität für die Gesundheit und die Lebenszufriedenheit von Schülerinnen und Schülern in Deutschland. ZSE 2018, 38, 80–99. [Google Scholar]
- Lampert, T.; Hoebel, J.; Kuntz, B.; Müters, S.; Kroll, L.E. Messung des sozioökonomischen Status und des subjektiven sozialen Status in KiGGS Welle 2. J. Health Monit. 2018, 3, 114–133. [Google Scholar]
- Köller, O.; Baumert, J. Entwicklung schulischer Leistungen. In Entwicklungspsychologie; Oerter, R., Montada, L., Eds.; Beltz Juventa: Weinheim, Germany, 2001; pp. 756–786. [Google Scholar]
- Riglin, L.; Frederickson, N.; Shelton, K.H.; Rice, F. A longitudinal study of psychological functioning and academic attainment at the transition to secondary school. J. Adolesc. 2013, 36, 507–517. [Google Scholar] [CrossRef] [PubMed]
- Nielsen, L.; Shaw, T.; Meilstrup, C.; Koushede, V.; Bendtsen, P.; Rasmussen, M.; Lester, L.; Due, P.; Cross, D. School transition and mental health among adolescents: A comparative study of school systems in Denmark and Australia. Int. J. Educ. Res. 2017, 83, 65–74. [Google Scholar] [CrossRef]
- Stradling, R.; McNeil, M. Moving On: The Process of Transition from Primary to Secondary School; Highland Health Board of Scotland: Inverness, UK, 2000. [Google Scholar]
- West, P.; Sweeting, H.; Young, R. Transition matters: Pupils’ experiences of the primary–secondary school transition in the West of Scotland and consequences for well-being and attainment. Res. Pap. Educ. 2009, 25, 21–50. [Google Scholar] [CrossRef]
- Wassell, C.; Preston, P.; Jones, H. Transition: A Universal Issue. Pastor. Care Educ. 2007, 25, 49–53. [Google Scholar] [CrossRef]
- Galton, M.; Morrison, I.; Pell, T. Transfer and transition in English schools: Reviewing the evidence. Int. J. Educ. Res. 2000, 33, 341–363. [Google Scholar] [CrossRef]
- Hirsch, B.J.; Rapkin, B.D. The Transition to Junior High School: A Longitudinal Study of Self-Esteem, Psychological Symptomatology, School Life, and Social Support. Child Dev. 1987, 58, 1235. [Google Scholar] [CrossRef]
- Büchner, P.; Koch, K. Der Übergang aus Kinder- und Elternsicht; Leske + Budrich: Wiesbaden, Germany, 2001. [Google Scholar]
- Kretschmann, J.; Vock, M.; Lüdtke, O.; Jansen, M.; Gronostaj, A. Effects of grade retention on students’ motivation: A longitudinal study over 3 years of secondary school. J. Educ. Psychol. 2019, 111, 1432–1446. [Google Scholar] [CrossRef]
- Marsh, H.W.; Pekrun, R.; Murayama, K.; Arens, A.K.; Parker, P.D.; Guo, J.; Dicke, T. An integrated model of academic self-concept development: Academic self-concept, grades, test scores, and tracking over 6 years. Dev. Psychol. 2018, 54, 263. [Google Scholar] [CrossRef] [PubMed]
- Schwerdt, G.; West, M.R.; Winters, M.A. The effects of test-based retention on student outcomes over time: Regression discontinuity evidence from Florida. J. Public Econ. 2017, 152, 154–169. [Google Scholar] [CrossRef]
- Hattie, J.; Beywl, W.; Zierer, K. Lernen Sichtbar Machen; Schneider Hohengehren: Baltmannsweiler, Germany, 2013. [Google Scholar]
- Jimerson, S.R. Meta-analysis of grade retention research: Implications for practice in the 21st century. Sch. Psychol. Rev. 2001, 3, 420–437. [Google Scholar]
- Klapproth, F.; Schaltz, P.; Brunner, M.; Keller, U.; Fischbach, A.; Ugen, S.; Martin, R. Short-term and medium-term effects of grade retention in secondary school on academic achievement and psychosocial outcome variables. Learn. Individ. Differ. 2016, 50, 182–194. [Google Scholar] [CrossRef]
- Gomolla, M.; Radtke, F.-O. Institutionelle Diskriminierung. Die Herstellung Ethnischer Differenz in der Schule; Springer: Wiesbaden, Germany, 2009. [Google Scholar]
- Wu, W.; West, S.G.; Hughes, J.N. Effect of grade retention in first grade on psychosocial outcomes. J. Educ. Psychol. 2010, 102, 135–152. [Google Scholar] [CrossRef]
- Becker, R. Lehrbuch der Bildungssoziologie; Springer: Wiesbaden, Germany, 2017. [Google Scholar]
- Kramer, R.-T.; Helsper, W.; Thiersch, S.; Ziems, C. Selektion und Schulkarriere. Kindliche Orientierungsrahmen beim Übergang in die Sekundarstufe I; Springer: Wiesbaden, Germany, 2009. [Google Scholar]
- Blossfeld, H.-P.; Roßbach, H.-G.; Maurice, J.V. (Eds.) Education as a Lifelong Process. The German National Educational Panel Study (NEPS); Springer: Wiesbaden, Germany, 2011. [Google Scholar]
- Nauck, B.; Lotter, V. Parenting styles and perceived instrumentality of schooling in native, Turkish, and Vietnamese families in Germany. ZfE 2015, 18, 845–869. [Google Scholar] [CrossRef]
- Nauck, B.; Schnoor, B.; Herold, V. Parental Investments and Socialization Practices in Native, Turkish, and Vietnamese Families in Germany. ZSE 2017, 37, 270–289. [Google Scholar]
- Cantril, H. The Pattern of Human Concerns; Rutgers University Press: New Brunswick, NJ, USA, 1965. [Google Scholar]
- Cheung, F.; Lucas, R.E. Assessing the validity of single-item life satisfaction measures: Results from three large samples. Qual. Life Res. 2014, 23, 2809–2818. [Google Scholar] [CrossRef]
- Venetz, M. Trend: Schulische Integration und Wohlbefinden von Kindern und Jugendlichen mit besonderem Förderbedarf. VHN 2014, 84, 57. [Google Scholar] [CrossRef]
- Allison, M.A.; Attisha, E. The Link Between School Attendance and Good Health. Pediatrics 2019, 143, e2018364. [Google Scholar] [CrossRef] [PubMed]
- Dougherty, C. The Marriage Earnings Premium as a Distributed Fixed Effect. J. Hum. Resour. 2006, 14, 433–443. [Google Scholar] [CrossRef]
- Clark, A.E.; Georgellis, Y. Back to baseline in Britain: Adaptation in the British household panel survey. Economica 2013, 80, 496–512. [Google Scholar] [CrossRef]
- Florean, D.; Hofmann, J.; Kleinert, C. Longitudinal Class Identifiers for NEPS Starting Cohort 3: Generation Process and Application Examples (NEPS Survey Paper No. 52). 2019. Available online: www.neps-data.de/Portals/0/Survey%20Papers/SP_LII.pdf (accessed on 23 April 2020).
- Brüderl, L. Kausalanalysen mit Paneldaten. In Handbuch der Sozialwissenschaftlichen Datenanalyse; Christoph, W., Best, H., Eds.; Springer: Wiesbaden, Germany, 2010; pp. 963–994. [Google Scholar]
- Clarke, P. When can group level clustering be ignored? Multilevel models versus single-level models with sparse data. J. Epidemiol. Community Health 2008, 62, 752–758. [Google Scholar] [CrossRef] [PubMed]
- Bell, A.; Jones, K. Explaining Fixed Effects: Random Effects Modeling of Time-Series Cross-Sectional and Panel Data. Polit. Sci. Res. Methods 2015, 3, 133–153. [Google Scholar] [CrossRef]
- Prenzel, M.; Klieme, E.; Köller, O.; Sälzer, C. PISA 2012: Fortschritte und Herausforderungen in Deutschland; Waxmann: Munster, Germany, 2013. [Google Scholar]
- Eurydice, E. Gender Differences in Educational Outcomes. Study on the Measures Taken and the Current Situation in Europe; Education, Audiovisual and Culture Executive: Brussels, Belgium, 2010. [Google Scholar]
- Wiklund, M.; Malmgren-Olsson, E.-B.; Öhman, A.; Bergström, E.; Fjellman-Wiklund, A. Subjective health complaints in older adolescents are related to perceived stress, anxiety and gender—A cross-sectional school study in Northern Sweden. BMC Public Health 2012, 12, 1–13. [Google Scholar] [CrossRef]
- Mathys, C.; Véronneau, M.-H.; Lecocq, A. Grade retention at the transition to secondary school: Using propensity score matching to identify consequences on psychosocial adjustment. J. Early Adolesc. 2017, 39, 97–133. [Google Scholar] [CrossRef]
- Knoppick, H.; Becker, M.; Neumann, M.; Maaz, K.; Baumert, J. Das subjektive Erleben des Übergangs in die weiterführende Schule. ZfPP 2016, 48, 129–143. [Google Scholar] [CrossRef]
- Wilhsson, M.; Svedberg, P.; Högdin, S.; Nygren, J.M. Strategies of Adolescent Girls and Boys for Coping With School-Related Stress. J. Sch. Nurs. 2017, 33, 374–382. [Google Scholar] [CrossRef] [PubMed]
- Seiffge-Krenke, I. Stress, Coping, and Relationships in Adolescence; Psychology Press: New York, NY, USA, 2015. [Google Scholar]
- Plenty, S.; Ostberg, V.; Almquist, Y.B.; Augustine, L.; Modin, B. Psychosocial working conditions: An analysis of emotional symptoms and conduct problems amongst adolescent students. J. Adolesc. 2014, 37, 407–417. [Google Scholar] [CrossRef] [PubMed]
- Moksnes, U.K.; Løhre, A.; Lillefjell, M.; Byrne, D.G.; Haugan, G. The Association Between School Stress, Life Satisfaction and Depressive Symptoms in Adolescents: Life Satisfaction as a Potential Mediator. Soc. Indic. Res. 2016, 125, 339–357. [Google Scholar] [CrossRef]
- Walburg, V. Burnout among high school students: A literature review. Child Youth Serv. Rev. 2014, 42, 28–33. [Google Scholar] [CrossRef]
- Bluth, K.; Campo, R.A.; Futch, W.S.; Gaylord, S.A. Age and Gender Differences in the Associations of Self-Compassion and Emotional Well-being in A Large Adolescent Sample. J. Youth Adolesc. 2017, 46, 840–853. [Google Scholar] [CrossRef]
- Eder, F. Das Befinden von Kindern und Jugendlichen in der Österreichischen Schule. Befragung 2005. Available online: www.studienverlag.at/buecher/4380/das-befinden-von-kindern-und-jugendlichen-in-der-oesterreichischen-schule/ (accessed on 23 April 2020).
- Huber, E.G.G.; Gysin, S.; Braun, D. Wie inszenieren sich Schülerinnen und Schüler im Unterricht? Ergebnisse aus den qualitativen Daten einer Berner Studie. In Geschlechtsspezifische Bildungsungleichheiten; Hadjar, A., Ed.; Springer: Wiesbaden, Germany, 2011; pp. 203–234. [Google Scholar]
- Frenzel, G. Schulfrust ohne Ende? Von den Schwierigkeiten und Chancen Pädagogischer Beziehungen an Großstadt-Hauptschulen; Beltz Juventa: Weinheim, Germany, 2013. [Google Scholar]
- Helsper, W.; Dreier, L.; Gibson, A.; Kotzyba, K.; Niemann, M. Exklusive Gymnasien und ihre Schüler. Passungsverhältnisse zwischen Institutionellem und Individuellem Schülerhabitus; Springer: Wiesbaden, Germany, 2018. [Google Scholar]
- Keay, A.; Lang, J.; Frederickson, N. Comprehensive support for peer relationships at secondary transition. Educ. Psychol. Pract. 2015, 31, 279–292. [Google Scholar] [CrossRef]






| Sample composition | Comparison Group (First Observed Wave) (N = 2995) | Retained Students (First Observed Wave) (N = 446) | Retained Students (Last Wave Before Retention) (N = 446) |
|---|---|---|---|
| Well-being (outcomes) | |||
| Life satisfaction (LSat) | 7.93 (2.30) | 7.59 (2.53) | 7.17 (2.25) |
| School satisfaction (SSat) | 7.38 (2.48) | 6.87 (2.72) | 5.91 (2.45) |
| Gender | |||
| - female | 48% (N = 1444) (LSat: 7.82, SSat: 7.44) | 34% (N = 153) (LSat: 7.71, SSat: 7.42) | 34% (N = 153) (LSat: 6.91, SSat: 6.21) |
| - male | 52% (N = 1551) (LSat: 8.03, SSat: 7.32) | 66% (N = 293) (LSat: 7.54, SSat: 6.58) | 66% (N = 293) (LSat: 7.30, SSat: 5.75) |
| School type (time-constant) | |||
| - general (‘Hauptschule’) | 14% (N = 424) (LSat: 7.58, SSat: 7.00) | 10% (N = 46) (LSat: 7.63, SSat: 6.57) | 10% (N = 46) (LSat: 7.37, SSat: 5.59) |
| - with different tracks (‘Schule mit mehreren Bildungsgängen’) | 16% (N = 471) (LSat: 7.52, SSat: 7.00) | 11% (N = 47) (LSat: 7.04, SSat: 6.79) | 11% (N = 47) (LSat: 6.81, SSat: 5.40) |
| - intermediate (‘Realschule’) | 24% (N = 715) (LSat: 7.74, SSat: 7.03) | 33% (N = 149) (LSat: 7.46, SSat: 6.72) | 33% (N = 149) (LSat: 7.10, SSat: 6.19) |
| - grammar (‘Gymnasium’) | 46% (N = 1385) (LSat: 8.27, SSat: 7.81) | 46% (N = 204) (LSat: 7.81, SSat: 7.06) | 46% (N = 204) (LSat: 7.25, SSat: 5.89) |
| Time-varying confounders | |||
| Age | 11.90 (1.11) | 11.62 (1.00) | 13.91 (1.48) |
| Self-rated health | 3.27 (0.74) | 3.16 (0.82) | 3.08 (0.84) |
| Vocational training | 0% (N = 1) | 0% (N = 0) | 0% (N = 0) |
| Irrevocable dropout | 0% (N = 11) | 0% (N = 0) | 0% (N = 0) |
| Additional information: | |||
| Grade retention in | |||
| - Grade 6 | --- | 4% (N = 18) | |
| - Grade 7 | --- | 13% (N = 57) | |
| - Grade 8 | --- | 21% (N = 95) | |
| - Grade 9 | --- | 23% (N = 104) | |
| - Grade 10 | --- | 21% (N = 93) | |
| - Grade 11 | --- | 18% (N = 79) | |
| Fixed-Effects Results for Life Satisfaction | Model 1 (Figure 3a) Overall Sample | Model 2 (Figure 3b) Restricted Sample | Model 3 (Figure 3c) Girls | Model 4 (Figure 3d) Boys |
|---|---|---|---|---|
| D1: Grade retention | −0.13 (0.10) | −0.13 (0.10) | −0.31 (0.18) | −0.07 (0.12) |
| D2: Grade repetition | 0.24 (0.10) * | 0.24 (0.11) * | 0.29 (0.19) | 0.17 (0.13) |
| D3: +1 | 0.38 (0.12) *** | 0.38 (0.13) ** | 0.23 (0.23) | 0.41 (0.15) ** |
| D4: +2 | 0.56 (0.14) *** | 0.53 (0.14) *** | 0.28 (0.24) | 0.63 (0.17) *** |
| D5: Later | 0.79 (0.17) *** | 0.83 (0.17) *** | 0.56 (0.31) | 0.98 (0.20) *** |
| Age (linear) | −0.79 (0.06) *** | −0.86 (0.08) *** | −0.85 (0.11) *** | −0.85 (0.11) *** |
| Age (quadratic) | 0.16 (0.02) *** | 0.18 (0.02) *** | 0.15 (0.03) *** | 0.20 (0.03) *** |
| Age (cubic) | −0.01 (0.00) *** | −0.01 (0.00) *** | −0.01 (0.00) *** | −0.01 (0.00) *** |
| Self-rated health | 0.55 (0.02) *** | 0.59 (0.03) *** | 0.61 (0.04) *** | 0.55 (0.04) *** |
| Vocational training | 0.75 (0.05) *** | 0.73 (0.06) *** | 0.83 (0.09) *** | 0.69 (0.08) *** |
| Irrevocable dropout | 0.27 (0.09) ** | 0.28 (0.10) ** | 0.16 (0.13) | 0.40 (0.15) ** |
| Number of cases | ||||
| Number of person-years | N = 29,872 | N = 22,002 | N = 10,337 | N = 11,665 |
| Number of individuals | N = 4581 | N = 3441 | N = 1597 | N = 1844 |
| R-square within | 0.069 | 0.073 | 0.092 | 0.064 |
| Model 5 (Figure 3e) General School | Model 6 (Figure 3f) School with Tracks | Model 7 (Figure 3g) Intermediate School | Model 8 (Figure 3h) Grammar School | |
| D1: Grade retention | −0.36 (0.41) | −0.34 (0.27) | −0.12 (0.19) | −0.11 (0.14) |
| D2: Grade repetition | 0.03 (0.30) | −0.02 (0.36) | 0.25 (0.17) | 0.22 (0.16) |
| D3: +1 | −0.08 (0.45) | −0.17 (0.42) | 0.28 (0.21) | 0.53 (0.18) ** |
| D4: +2 | 0.63 (0.37) | −0.28 (0.40) | 0.45 (0.24) | 0.61 (0.21) ** |
| D5: Later | 0.61 (0.32) | 0.90 (0.53) | 1.22 (0.26) *** | 0.55 (0.25) * |
| Age (linear) | −0.59 (0.28) * | −1.20 (0.24) *** | −0.81 (0.18) *** | −0.84 (0.10) *** |
| Age (quadratic) | 0.13 (0.06) * | 0.27 (0.06) *** | 0.17 (0.04) *** | 0.16 (0.02) *** |
| Age (cubic) | −0.01 (0.00) | −0.02 (0.00) *** | −0.01 (0.00) *** | −0.01 (0.00) *** |
| Self-rated health | 0.50 (0.07) *** | 0.66 (0.07) *** | 0.58 (0.05) *** | 0.58 (0.04) *** |
| Vocational training | 0.14 (0.16) | 0.79 (0.16) *** | 0.32 (0.10) *** | 0.73 (0.16) *** |
| Irrevocable dropout | 0.10 (0.27) | 0.36 (0.22) | 0.14 (0.16) | 0.28 (0.21) |
| Number of cases | ||||
| Number of person-years | N = 2393 | N = 2916 | N = 5514 | N = 11,179 |
| Number of individuals | N = 470 | N = 518 | N = 864 | N = 1589 |
| R-square within | 0.056 | 0.095 | 0.083 | 0.080 |
| Fixed-Effects Results for School Satisfaction | Model 1 (Figure 4a) Overall Sample | Model 2 (Figure 4b) Restricted Sample | Model 3 (Figure 4c) Girls | Model 4 (Figure 4d) Boys |
|---|---|---|---|---|
| D1: Grade retention | −0.52 (0.12) *** | −0.52 (0.13) *** | −0.60 (0.22) ** | −0.50 (0.16) ** |
| D2: Grade repetition | 0.58 (0.12) *** | 0.61 (0.13) *** | 0.63 (0.20) ** | 0.57 (0.17) *** |
| D3: +1 | 0.82 (0.13) *** | 0.82 (0.14) *** | 0.63 (0.25) ** | 0.88 (0.17) *** |
| D4: +2 | 1.15 (0.16) *** | 1.10 (0.17) *** | 0.80 (0.30) ** | 1.19 (0.20) *** |
| D5: Later | 1.32 (0.23) *** | 1.26 (0.24) *** | 0.98 (0.44) * | 1.33 (0.28) *** |
| Age (linear) | −0.92 (0.07) *** | −1.20 (0.09) *** | −1.16 (0.12) *** | −1.23 (0.12) *** |
| Age (quadratic) | 0.18 (0.02) *** | 0.24 (0.02) *** | 0.22 (0.03) *** | 0.26 (0.03) *** |
| Age (cubic) | −0.01 (0.00) *** | −0.01 (0.00) *** | −0.01 (0.00) *** | −0.02 (0.00) *** |
| Self−rated health | 0.46 (0.02) *** | 0.49 (0.03) *** | 0.49 (0.04) *** | 0.48 (0.04) *** |
| Vocational training | 1.17 (0.07) *** | 1.25 (0.08) *** | 1.28 (0.12) *** | 1.21 (0.11) *** |
| Irrevocable dropout | 0.01 (0.10) | −0.00 (0.13) | 0.04 (0.19) | −0.03 (0.17) |
| Number of cases | ||||
| Number of person-years | N = 29,872 | N = 22,002 | N = 10,337 | N = 11,665 |
| Number of individuals | N = 4581 | N = 3441 | N = 1597 | N = 1844 |
| R-square within | 0.065 | 0.076 | 0.083 | 0.072 |
| | Model 5 (Figure 4e) General School | Model 6 (Figure 4f) School with Tracks | Model 7 (Figure 4g) Intermediate School | Model 8 (Figure 4h) Grammar School |
| D1: Grade retention | −0.35 (0.56) | −0.49 (0.32) | −0.65 (0.21) ** | −0.58 (0.20) ** |
| D2: Grade repetition | −0.26 (0.45) | 0.27 (0.36) | 0.44 (0.23) | 0.79 (0.20) *** |
| D3: +1 | 0.50 (0.50) | 0.62 (0.41) | 0.36 (0.23) | 1.10 (0.21) *** |
| D4: +2 | 0.56 (0.54) | 1.16 (0.54) * | 0.72 (0.29) * | 1.25 (0.24) *** |
| D5: Later | 1.31 (0.79) | 1.32 (0.54) * | 0.98 (0.44) * | 1.26 (0.32) *** |
| Age (linear) | −0.67 (0.32) * | −1.42 (0.26) *** | −1.21 (0.19) *** | −1.16 (0.11) *** |
| Age (quadratic) | 0.14 (0.07) | 0.33 (0.06) *** | 0.27 (0.04) *** | 0.21 (0.03) *** |
| Age (cubic) | −0.01 (0.00) | −0.02 (0.00) *** | −0.02 (0.00) *** | −0.01 (0.00) *** |
| Self-rated health | 0.41 (0.08) *** | 0.48 (0.07) *** | 0.54 (0.05) *** | 0.48 (0.04) *** |
| Vocational training | 0.53 (0.21) ** | 1.40 (0.18) *** | 0.75 (0.13) *** | 1.78 (0.24) *** |
| Irrevocable dropout | −0.43 (0.30) | −0.05 (0.25) | −0.31 (0.23) | 0.48 (0.24) * |
| Number of cases | ||||
| Number of person-years | N = 2393 | N = 2916 | N = 5514 | N = 11,179 |
| Number of individuals | N = 470 | N = 518 | N = 864 | N = 1589 |
| R-square within | 0.047 | 0.087 | 0.086 | 0.095 |
© 2020 by the authors. Licensee MDPI, Basel, Switzerland. This article is an open access article distributed under the terms and conditions of the Creative Commons Attribution (CC BY) license (http://creativecommons.org/licenses/by/4.0/).
Share and Cite
Rathmann, K.; Loter, K.; Vockert, T. Critical Events throughout the Educational Career: The Effect of Grade Retention and Repetition on School-Aged Children’s Well-Being. Int. J. Environ. Res. Public Health 2020, 17, 4012. https://doi.org/10.3390/ijerph17114012
Rathmann K, Loter K, Vockert T. Critical Events throughout the Educational Career: The Effect of Grade Retention and Repetition on School-Aged Children’s Well-Being. International Journal of Environmental Research and Public Health. 2020; 17(11):4012. https://doi.org/10.3390/ijerph17114012
Chicago/Turabian StyleRathmann, Katharina, Katharina Loter, and Theres Vockert. 2020. "Critical Events throughout the Educational Career: The Effect of Grade Retention and Repetition on School-Aged Children’s Well-Being" International Journal of Environmental Research and Public Health 17, no. 11: 4012. https://doi.org/10.3390/ijerph17114012
APA StyleRathmann, K., Loter, K., & Vockert, T. (2020). Critical Events throughout the Educational Career: The Effect of Grade Retention and Repetition on School-Aged Children’s Well-Being. International Journal of Environmental Research and Public Health, 17(11), 4012. https://doi.org/10.3390/ijerph17114012

