Severe Hypoglycemia as a Predictor of End-Stage Renal Disease in Type 2 Diabetes: A National Cohort Study
Abstract
1. Introduction
2. Subjects and Methods
Statistical Analysis
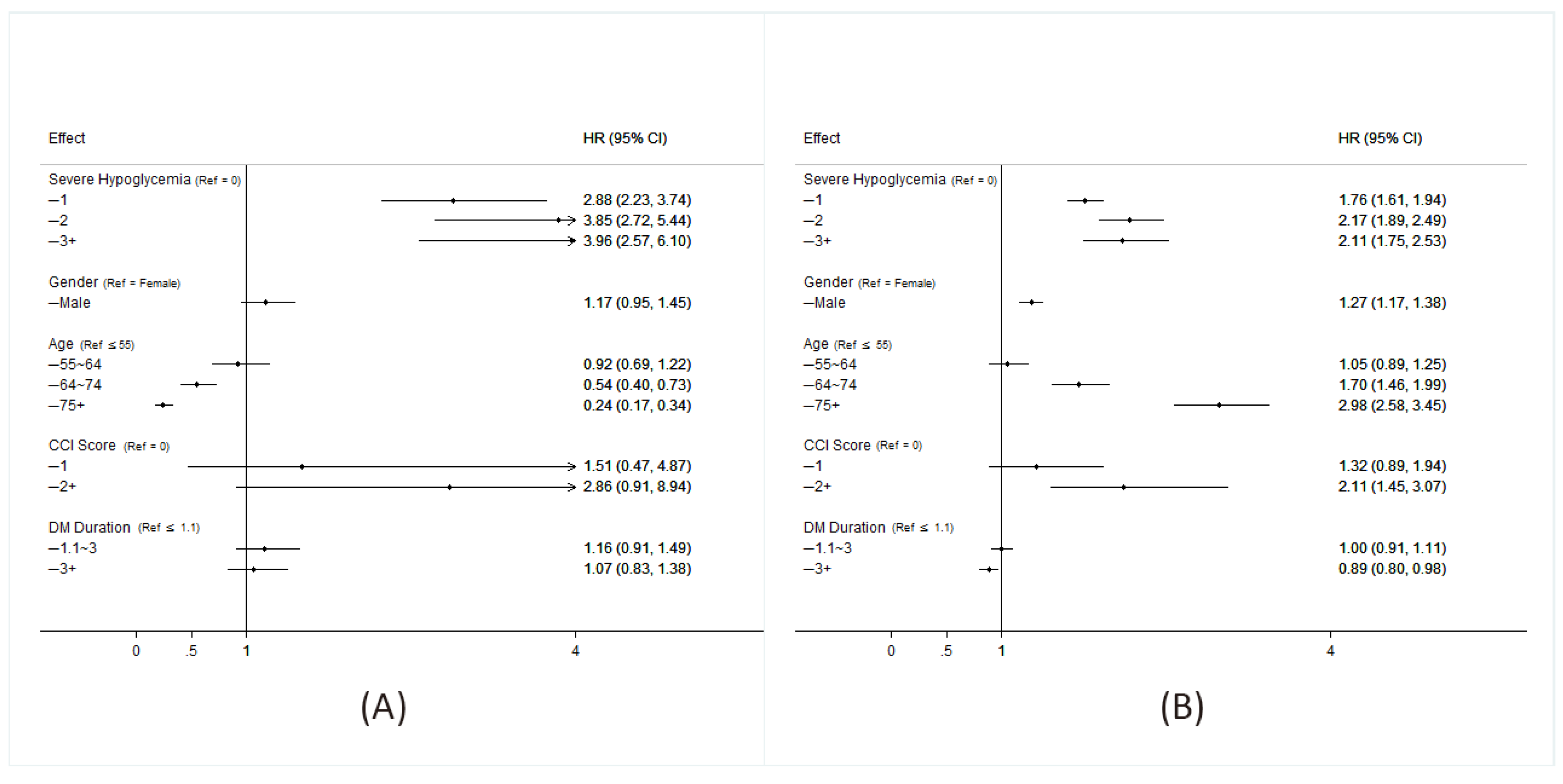
3. Results
4. Discussion
5. Conclusions
Author Contributions
Funding
Acknowledgments
Conflicts of Interest
References
- De Boer, I.H.; Rue, T.C.; Hall, Y.N.; Heagerty, P.J.; Weiss, N.S.; Himmelfarb, J. Temporal trends in the prevalence of diabetic kidney disease in the United States. JAMA 2011, 305, 2532–2539. [Google Scholar] [CrossRef] [PubMed]
- The Diabetes Control and Complications Trial/Epidemiology of Diabetes Interventions and Complications Research Group. Retinopathy and nephropathy in patients with type 1 diabetes four years after a trial of intensive therapy. N. Engl. J. Med. 2000, 342, 381–389. [Google Scholar] [CrossRef] [PubMed]
- UK Prospective Diabetes Study (UKPDS) Group. Intensive blood-glucose control with sulfonylureas or insulin compared with conventional treatment and risk of complications in patients with type 2 diabetes (UKPDS 33). Lancet 1998, 352, 837–853. [Google Scholar] [CrossRef]
- Holman, R.R.; Paul, S.K.; Bethel, M.A.M.; Bethel, A.; Matthews, D.R.; Neil, H.A.W. 10-year follow-up of intensive glucose control in type 2 diabetes. N. Engl. J. Med. 2008, 359, 1577–1589. [Google Scholar] [CrossRef] [PubMed]
- ADVANCE Collaborative Group. Intensive blood glucose control and vascular outcomes in patients with type 2 diabetes. N. Engl. J. Med. 2008, 358, 2560–2572. [Google Scholar] [CrossRef] [PubMed]
- Gaede, P.; Lund-Andersen, H.; Parving, H.H.; Pedersen, O. Effect of a multifactorial intervention on mortality in type 2 diabetes. N. Engl. J. Med. 2008, 358, 580–591. [Google Scholar] [CrossRef] [PubMed]
- Cryer, P.E. Severe hypoglycemia predicts mortality in diabetes. Diabetes Care 2012, 35, 1814–1816. [Google Scholar] [CrossRef] [PubMed]
- Hemmingsen, B.; Lund, S.S.; Gluud, C.; Vaag, A.; Almdal, T.; Hemmingsen, C.; Wetterslev, J. Intensive glycaemic control for patients with type 2 diabetes: Systematic review with meta-analysis and trial sequential analysis of randomised clinical trials. BMJ 2011, 343, d6898. [Google Scholar] [CrossRef] [PubMed]
- U.K. Hypoglycaemia Study Group. Risk of hypoglycaemia in types 1 and 2 diabetes: Effects of treatment modalities and their duration. Diabetologia 2007, 50, 1140–1147. [Google Scholar] [CrossRef] [PubMed]
- Kong, A.P.; Yang, X.; Luk, A.; Ma, R.C.W.; So, W.Y.; Ozaki, R.; Ting, R.; Cheung, K.; Ho, C.S.; Chan, M.H.M.; et al. Severe hypoglycemia identifies vulnerable patients with type 2 diabetes at risk for premature death and all-site cancer: The Hong Kong Diabetes Registry. Diabetes Care 2014, 37, 1024–1031. [Google Scholar] [CrossRef] [PubMed]
- Geller, A.I.; Shehab, N.; Lovegrove, M.C.; Kegler, S.R.; Weidenbach, K.N.; Ryan, G.J.; Budnitz, D.S. National estimates of insulin-related hypoglycemia and errors leading to emergency department visits and hospitalizations. JAMA Intern. Med. 2014, 174, 678–686. [Google Scholar] [CrossRef] [PubMed]
- Pathak, R.D.; Schroeder, E.B.; Seaquist, E.R.; Zeng, C.; Lafata, J.E.; Thomas, A.; Desai, J.; Waitzfelder, B.; Nichols, G.A.; Lawrence, J.M.; et al. Severe Hypoglycemia Requiring Medical Intervention in a Large Cohort of Adults with Diabetes Receiving Care in U.S. Integrated Health Care Delivery Systems: 2005–2011. Diabetes Care 2016, 39, 363–370. [Google Scholar] [CrossRef] [PubMed]
- Go, A.S.; Chertow, G.M.; Fan, D.; McCulloch, C.E.; Hsu, C.Y. Chronic kidney disease and the risks of death, cardiovascular events, and hospitalization. N. Engl. J. Med. 2004, 351, 1296–1305. [Google Scholar] [CrossRef] [PubMed]
- Zoungas, S.; Patel, A.; Chalmers, J.; de Galan, B.E.; Li, Q.; Billot, L.; Woodward, M.; Ninomiya, T.; Neal, B.; MacMahon, S.; et al. Severe hypoglycemia and risks of vascular events and death. N. Engl. J. Med. 2010, 363, 1410–1418. [Google Scholar] [CrossRef] [PubMed]
- Dluhy, R.G.; McMahon, G.T. Intensive glycemic control in the ACCORD and ADVANCE trials. N. Engl. J. Med. 2008, 358, 2630–2633. [Google Scholar] [CrossRef] [PubMed]
- Bonds, D.E.; Miller, M.E.; Bergenstal, R.M.; Buse, J.B.; Byington, R.P.; Cutler, J.A.; Dudl, R.J.; Ismail-Beigi, F.; Kimel, A.R.; Hoogwerf, B.; et al. The association between symptomatic, severe hypoglycaemia and mortality in type 2 diabetes: Retrospective epidemiological analysis of the ACCORD study. BMJ 2010, 340, b4909. [Google Scholar] [CrossRef] [PubMed]
- Zhao, Y.; Campnell, C.R.; Fonseca, V.; Shi, L. Impact of hypoglycemia associated with antihyperglycemic medications on vascular risks in veterans with Type 2 Diabetes. Diabetes Care 2012, 35, 1126–1132. [Google Scholar] [CrossRef] [PubMed]
- Wright, R.J.; Frier, B.M. Vascular disease and diabetes: Is hypoglycaemia an aggravating factor? Diabetes Metab. Res. Rev. 2008, 24, 353–363. [Google Scholar] [CrossRef] [PubMed]
- Desouza, C.V.; Bolli, G.B.; Fonseca, V. Hypoglycemia, diabetes, and cardiovascular events. Diabetes Care 2010, 33, 1389–1394. [Google Scholar] [CrossRef] [PubMed]
- Russell, N.D.; Cooper, M.E. 50 years forward: Mechanisms of hyperglycaemia-driven diabetic complications. Diabetologia 2015, 58, 1708–1714. [Google Scholar] [CrossRef] [PubMed]
- Ferenbach, D.A.; Bonventre, J.V. Mechanisms of maladaptive repair after AKI leading to accelerated kidney ageing and CKD. Nat. Rev. Nephrol. 2015, 11, 264–276. [Google Scholar] [CrossRef] [PubMed]
- Pereira, B.J.; Barreto, S.; Gentil, T.; Assis, L.S.; Soeiro, E.M.; Castro, I.; Laranja, S.M. Risk factors for the progression of chronic kidney disease after acute kidney injury. J. Bras. Nefrol. 2017, 39, 239–245. [Google Scholar] [CrossRef] [PubMed]
- Lee, Y.L.; Chen, B.K.; Lin, K.D.; Su, R.W.; Lee, M.Y.; Hsiao, P.J.; Shin, S.J. The impact of severe hypoglycemia on renal impairment in type 2 diabetes. Diabetes Res. Clin. Pract. 2015, 108, 448–455. [Google Scholar] [CrossRef] [PubMed]
- Miller, M.E.; Bonds, D.E.; Gerstein, H.C.; Seaquist, E.R.; Bergenstal, R.M.; Calles-Escandon, J.; Childress, R.D.; Craven, T.E.; Cuddihy, R.M.; Dailey, G.; et al. The effects of baseline characteristics, glycaemia treatment approach, and glycated haemoglobin concentration on the risk of severe hypoglycaemia: post hoc epidemiological analysis of the ACCORD study. BMJ. 2010, 340, b5444. [Google Scholar] [CrossRef] [PubMed]
- Cheng, L.-J.; Chen, J.-H.; Lin, M.-Y.; Chen, L.-C.; Lao, C.-H.; Lu, H.; Hwang, S.-J. A competing risk analysis of sequential complication development in Asian type 2 diabetes mellitus patients. Sci. Rep. 2015, 5, 15687. [Google Scholar] [CrossRef] [PubMed]
- Tuttle, K.R.; Bakris, G.L.; Bilous, R.W.; Chiang, J.L.; de Boer, I.H.; Goldstein-Fuchs, J.; Hirsch, I.B.; Kalantar-Zadeh, K.; Narva, A.S.; Navaneethan, S.D.; et al. Diabetic kidney disease: A report from an ADA Consensus Conference. Diabetes Care 2014, 37, 2864–2883. [Google Scholar] [CrossRef] [PubMed]
- National Institute for Health and Clinical Excellence. Type 2 Diabetes: Newer Agents for Blood Glucose Control in Type 2 Diabetes; National Institute for Health and Clinical Excellence: London, UK, 2009. [Google Scholar]
- Lipska, K.J.; Yao, X.; Herrin, J.; McCoy, R.G.; Ross, J.S.; Steinman, M.A.; Inzucchi, S.E.; Gill, T.M.; Krumholz, H.M.; Shah, N.D. Trends in Drug Utilization, glycemic control, and rates of severe hypoglycemia, 2006–2013. Diabetes Care 2017, 40, 468–475. [Google Scholar] [CrossRef] [PubMed]


| Severe Hypoglycemia | Non-Severe Hypoglycemia | p-Value | |
|---|---|---|---|
| Mean ± SD/(N, %) | Mean ± SD/(N, %) | ||
| N | 4017 | 4017 | |
| Sex a (N, %) | 1846 (45.95%) | 1846 (45.95%) | 1.000 |
| Male | 2171 (54.05%) | 2171 (54.05%) | |
| Female | 67.92 (±12.87) | 67.52 (±12.20) | 0.154 |
| Age (Mean ± SD) | |||
| Age (N, %) a | 660 (16.43%) | 656 (16.33%) | 0.999 |
| <55 years old | 762 (18.97%) | 761 (18.94%) | |
| 55–64 years old | 1237 (30.79%) | 1242 (30.92%) | |
| 65–74 years old | 1358 (33.81%) | 1358 (33.81%) | |
| 75+ years old | 2.33 (±1.86) | 2.12 (±1.62) | <0.0001 |
| DM duration (Mean ± SD) | |||
| DM duration a (N, %) | 1321 (32.89%) | 1327 (33.03%) | |
| Less than 1 year | 1369 (34.08%) | 1366 (34.01%) | |
| 1–3 years | 1327 (33.03%) | 1324 (32.96%) | |
| More than 4 years | 2.99 (±1.81) | 2.99 (±1.82) | 0.946 |
| CCI scores a (Mean ± SD) | |||
| CCI scores (N, %) | 85 (2.12%) | 87 (2.17%) | 0.988 |
| 0 | 850 (21.16%) | 850 (21.16%) | |
| 1 | 3082 (76.72%) | 3080 (76.67%) | |
| 2+ | |||
| Metformin use b | 1364 (33.96%) | 970 (24.15%) | <0.0001 |
| No | 2653 (66.04%) | 3047 (75.85%) | |
| Yes | |||
| Sulfonylureas use b | 1316 (32.76%) | 840 (20.91%) | <0.0001 |
| No | 2701 (67.24%) | 3177 (79.09%) | |
| Yes | |||
| Insulin use b | 2887 (71.87%) | 3503 (87.20%) | <0.0001 |
| No | 1130 (28.13%) | 514 (12.80%) | |
| Yes | |||
| ACTOS use b | 3679 (91.59%) | 3614 (89.97%) | 0.012 |
| No | 338 (8.41%) | 403 (10.03%) | |
| Yes | |||
| Glucobay use b | 3221 (80.18%) | 3298 (82.10%) | 0.028 |
| No | 796 (19.82%) | 719 (17.90%) |
© 2019 by the authors. Licensee MDPI, Basel, Switzerland. This article is an open access article distributed under the terms and conditions of the Creative Commons Attribution (CC BY) license (http://creativecommons.org/licenses/by/4.0/).
Share and Cite
Lee, Y.-L.; Yen, S.-J.; Shin, S.-J.; Huang, Y.-C.; He, J.S.; Lin, K.-D. Severe Hypoglycemia as a Predictor of End-Stage Renal Disease in Type 2 Diabetes: A National Cohort Study. Int. J. Environ. Res. Public Health 2019, 16, 681. https://doi.org/10.3390/ijerph16050681
Lee Y-L, Yen S-J, Shin S-J, Huang Y-C, He JS, Lin K-D. Severe Hypoglycemia as a Predictor of End-Stage Renal Disease in Type 2 Diabetes: A National Cohort Study. International Journal of Environmental Research and Public Health. 2019; 16(5):681. https://doi.org/10.3390/ijerph16050681
Chicago/Turabian StyleLee, Yu-Li, Shih-Jung Yen, Shyi-Jang Shin, Yi-Chi Huang, Jiun Shiuan He, and Kun-Der Lin. 2019. "Severe Hypoglycemia as a Predictor of End-Stage Renal Disease in Type 2 Diabetes: A National Cohort Study" International Journal of Environmental Research and Public Health 16, no. 5: 681. https://doi.org/10.3390/ijerph16050681
APA StyleLee, Y.-L., Yen, S.-J., Shin, S.-J., Huang, Y.-C., He, J. S., & Lin, K.-D. (2019). Severe Hypoglycemia as a Predictor of End-Stage Renal Disease in Type 2 Diabetes: A National Cohort Study. International Journal of Environmental Research and Public Health, 16(5), 681. https://doi.org/10.3390/ijerph16050681
