Abstract
Functional literacy is one of the targets of the Sustainable Development Goals (SDGs) of the United Nations. Functional literacy indicators are likely to vary between locations given the geographical variability of its major determinants. This property poses a challenge to decisions around efficient allocation of population services and resources to mitigate the impact of functional literacy in populations most in need. Using functional literacy indicators of 11,313 school-aged children collected in 2008 during the nationwide survey, the current study examined the association between functional literacy and geographical disparities in socioeconomic status (SES), water supply, sanitation and hygiene, household education stimuli, and environmental variables in all three regions of the Philippines (Luzon, the Visayas, and Mindanao). Three nested fixed-effects multinomial regression models were built to determine associations between functional literacy and a wide array of variables. Our results showed the general prevalence rate of functional illiteracy as being 4.7%, with the highest prevalence rate in the Visayas, followed by Mindanao and Luzon (7.5%, 6.9%, and 3.0%, respectively. Our results indicated that in Luzon prevalence of functional illiteracy was explained by variation in household education stimuli scores, sources of drinking water, and type of toilet facility. In Mindanao and the Visayas prevalence of functional illiteracy was primarily explained by geographical variation in SES, and natural environmental conditions. Our study highlights region-specific determinants of functional literacy and the need for geographically targeted, integrated interventions.
1. Introduction
According to the latest United Nations Educational Scientific and Cultural Organization (UNESCO) report on global literacy, there are 114 million illiterate adolescents and youths (15 to 24 year olds) around the world, two-thirds of whom are female [1]. Despite widespread acknowledgement of this problem, between 2000 and 2015, global literacy rates were estimated to have improved by just 4%. Studies have shown that poverty has a considerable impact on psychological functioning and that, for children, this impact increases in severity the longer they live in poverty [2,3,4].
Progress in the Philippines to address national literacy rates has been slow [5]. The literacy rate of individuals aged 15 to 24 years improved from 93.4% in 2003 to 98.1% in 2013 [6,7]. This improvement is likely to be due to increased school opportunities, education expansion, better access to barangay (small administrative divisions in the Philippines) health stations, improvement in general health status, decreased poverty rate, and reduced burden of diseases [8,9]. However, this may also partly be due to measurement errors, and differences in survey designs and tools used by the national statistics office in different years [10]. Despite the overall improvement, there are areas in the Philippines where functional literacy remains low [11].
There are numerous measurement tools available to assess different domains of cognitive function at different stages of childhood [12,13]. One indicator at the population level is functional literacy. Although the meaning of functional literacy varies between countries, regions, and cultures, it is generally understood to be the ability to use a set of cognitive skills to engage in reading, writing, and numeracy for effective functioning and development of individuals and their communities. Conversely, functional illiteracy is therefore defined as the inability to use cognitive skills to engage in reading, writing, and numeracy [14].
Previous studies have demonstrated a clear link between literacy and cognitive abilities [15,16]. Cognitive development of children is influenced by the interplay of several factors. Evidence from longitudinal studies in children indicates that neurocognitive development is impacted by nutritional status, poverty, stress, low maternal education attainment, less nurturing child-rearing environments, younger maternal age, living in a rural environment, and poor psychosocial stimulation at home and at school [17,18,19]. Cognitive processes that result in functional illiteracy can be influenced not only by individual and household factors but also by environmental determinants. Cognitive impairments are multifactorial in nature and both non-communicable (e.g., malnutrition) and communicable diseases (e.g., malaria and neglected tropical diseases) are known contributors [20]. The exposure to many of these conditions is determined by anthropogenic environmental factors (i.e., human impacted habitat conditions) such as sanitation, urbanisation, and overcrowding [21], and natural environmental factors such as elevation, temperature, and water availability [22].
Functional literacy indicators are likely to vary between locations given the geographical variability of its major determinants. This property poses a challenge to decisions around efficient allocation of population services and resources to mitigate the impact of functional literacy in populations most in need. The application of spatial epidemiological approaches has been useful for identifying areas where the risk of diseases is at its highest and for highlighting areas where interventions are most needed. Spatial epidemiological approaches have been utilised to address such challenges globally [22,23,24], and in the Philippines, mainly looking at infectious diseases such as soil-transmitted helminths [25,26,27]. However, at present no study has attempted to investigate the spatial epidemiology of functional illiteracy and quantify the role of different determinants in functional illiteracy. Such a study would provide an evidence base for understanding local burden of functional illiteracy and assist in geographical targeting of interventions.
In this study, we aimed to quantify geographical disparities in functional literacy in the Philippines and the role of socioeconomic status (SES), water supply, sanitation and hygiene (WASH), household education stimuli, and environmental variables in the observed geographical disparities.
2. Materials and Methods
2.1. Study Area
The Philippines is situated in Southeast Asia in the western Pacific Ocean and consists of 7107 islands in three main geographical regions: Luzon, the Visayas, and Mindanao [7]. The smallest administrative division is the barangay (average diameter of 11 km) of which there are a total of 42,028 [7]. At the last census (2015), the total population was 100.98 million, up from 92.34 million in the previous census (2010), with ~30 million individuals aged 5 to 19 years [6]. Ethical clearance for this analytical study was provided by the University of Queensland School of Medicine Low Risk Ethical Review Committee (clearance number 2014-SOMILRE-0100), and approved on 20 June 2014.
2.2. Data for Analysis
2.2.1. The 2008 Functional Literacy, Education and Mass Media Survey (FLEMMS)
The 2008 FLEMMS is the fourth in a series of functional literacy surveys conducted in the Philippines. The previous three rounds were conducted in 1989, 1994, and 2003. The 2008 FLEMMS survey used the 2003 survey master sample (MS) created for household surveys on the basis of the 2000 Census Population and Housing (CPH) results [11]. In brief, for each region, a three-stage sampling scheme was used: the selection of primary sampling units (PSU) for the first stage, of sample enumeration areas (EA) for the second stage, and of sample housing units for the third stage. The FLEMMS sampling scheme is described in detail in Text S1. The heads of households were administered with the household questionnaire, and all information was gathered by trained interviewers (a copy of the FLEMMS forms available for reference from corresponding author). All members 10 to 64 years old in the sampled households, regardless of educational attainment, were provided with a self-administered individual questionnaire (prepared in English and translated into 26 local languages commonly spoken in the selected sample areas) [11]. The design of FLEMMS was verified and the survey was conducted by trained interviewers, with high response rates. Furthermore, data collected from the survey were cleaned and verified by the national statistics office. Additional information on the design of the survey and how the data were processed are detailed in the FLEMMS report [11].
2.2.2. Functional Literacy Data
Functional literacy rates were estimated based on seven themes or questions included in the FLEMMS individual questionnaire, using a value set of 1 ‘satisfactory’ and 2 ‘not satisfactory’ (which also includes ‘not answered independently’ or ‘no answer’). Themes included (1) name; (2) address; (3) date of birth; (4) highest school grade completed; (5) first simple arithmetic questions e.g., if a kilo of rice costs P25.00, how much will two kilos cost?; (6) second simple arithmetic questions e.g., if a kilo of sugar costs P38.00, how much will half a kilo cost?; and (7) reading comprehension [11]. All items were categorised into dichotomous variables (satisfactory or not satisfactory). A summary of the individual scores was used to determine the functional literacy level. Reading and writing skills were assessed based on the scores of themes 1 to 4, arithmetic skills on themes 5 and 6, and comprehension skills on theme 7.
Our study focuses on school-aged population. For the purpose of our analysis, school-aged children were defined as 10 to 19 years old (school-aged children and adolescents). FLEMMS survey did not collect information on children under 10 years old. In total, we analysed data from 11,313 school-aged children with complete information regarding functional literacy and demographic variables. Household level variables (e.g., socioeconomic status, WASH variables), and information regarding head of households such as adult functional literacy and education attainment were measured for a total of 10,339 heads of households which was extracted from FLEMMS household questionnaire (Text S2).
A total of 1506 barangays were included, 851 located in Luzon, 254 in the Visayas, and 401 in Mindanao (Figure S1).
2.2.3. Sociodemographic Indicators
We used data from the FLEMMS household and individual questionnaires on school-aged children and the heads of households, including age, sex, marital status, education level, employment, and occupation status. This indicator is described in detail in Text S2.
2.2.4. Water Supply, Sanitation and Hygiene (WASH) Indicators
We used data from the FLEMMS household questionnaire on the following WASH indicators: (a) main sources of drinking water (piped into dwelling, protected well, unprotected well, lake or pond or rain water or rivers, and other); (b) the types of toilet facility at home (flush toilet, pit toilet, and no toilet or bush or field); (c) main material of floor (natural floor earth or sand, bamboo or palm or wood, cement, and other); (d) main material of roof (palm or bamboo or wood, aluminium, and other); and (e) main material of outer walls of houses (bamboo or cane or palm or wood, cement, and other).
2.2.5. Socioeconomic Status (SES) Indicators
We used data from the FLEMMS household questionnaire which included a poverty indicator (dichotomous variable: poor or non-poor) generated using ownership of household amenities and conveniences (e.g., whether the home had electricity, refrigerator, washing machine, phone, cell phones, TV, CD, Karaoke or video machine, personal computer, tractor, boat, car, tricycle, motorcycle, bicycle) [11]. We used this binary poverty indicator as a proxy of household-level SES in order to classify households as either low or high SES.
2.2.6. Household Education Stimuli and Cognitive Stimulation
A total of 19 close-ended questions were selected from FLEMMS household questionnaire as the home inventory-proxy items. These included questions such as ‘Does your family read newspapers?’, ‘Does your family listen to radio?’, and ‘Is there a personal computer at home?’ The items were used to construct cognitive stimulation sub-indices. All of the individual items were translated into dichotomous (yes or no) variables. The total score is the summation of the individual item scores and was used as a covariate in our models. The components of the sub-indices are specified in Text S2 and Table S1.
2.2.7. Environmental Data
Data for average annual land surface temperature (LST), average annual rainfall, and distance to perennial water bodies (DPWB) were obtained from WorldClim (www.worldclim.org). The normalised difference vegetation index (NDVI), which serves as a proxy measure of rainfall for a 1 km × 1 km grid cell resolution, was obtained from the National Oceanographic and Atmospheric Administrations’ (NOAA) Advanced Very High Resolution Radiometer [28]. These variables were included because many known contributors to cognitive dysfunction such as communicable and non-communicable diseases are influenced by environmental factors [22,25]. Other important environmental factors, such as land cover, land use, and soil were excluded due to unavailability of spatially referenced data. The environmental data used in this paper were extracted for the same year as the FLEMMS. Values of environmental variables at each survey location were extracted using geographic information system (GIS) software (ArcGIS version 10.4.0.5524) [29]. Electronic maps of the barangays were obtained from the geographic data warehouse DIVA GIS (www.diva-gis.org/Data) and PhilGIS (www.philgis.org).
2.3. Spatial Analysis
2.3.1. Visualization of Spatial Heterogeneity of Prevalence of Functional Literacy Indicators
Functional illiteracy survey data were georeferenced to barangay centroids (longitude and latitude), which were estimated using the GIS software—Quantum GIS version 1.7.3 [30]. Spatial heterogeneity was assessed by using maps to visualise geographical variation of functional literacy indicators.
2.3.2. Models of Prevalence of Functional Literacy Indicators
The prevalence of functional illiteracy levels in school-aged children aged between 10 and 19 years was modelled by transforming the original 2008 FLEMMS functional literacy levels into an ordinal variable with the following categories: functional illiteracy (cannot read, write, compute, or comprehend), low functional literacy (can only read and write), moderate functional literacy (can only read, write, and compute), and functional literacy (can read, write, compute, and comprehend). We used “functional literacy” as a reference group in our models. We developed a single frequentist fixed-effects multinomial regression model using the statistical software package, Stata version 13.1 [31] to assess associations between the levels of functional literacy and covariates for each region of the Philippines (i.e., Luzon, the Visayas, and Mindanao).
We built three nested models (Table A1). Model 1 included sociodemographic factors such as age, sex, level of education, socioeconomic status (SES) factors and water, sanitation, and hygiene (WASH) factors. Model 2 included the variables in Model 1 plus household education stimuli factors, and Model 3 included the variables in Model 2 plus environmental variables.
We built our models this way in order to disentangle the effects of individual, household, and environmental variables on the prevalence of functional literacy. Collinearity between covariates was measured using pairwise correlation coefficients, estimated in Stata version 13.1 [31]. Non-linearity in the univariate relationships between environmental variables and prevalence of functional illiteracy levels were assessed and adjusted for by adding quadratic terms where appropriate. Model fit was assessed using Akaike’s Information Criterion (AIC) [32]. Selection of candidate variables for the final multivariable model was conducted using univariable logistic regression models, with non-significant variables with Wald’s p > 0.2 excluded from further analysis. Backwards stepwise regression was conducted on the variables of the final multivariable model (Wald’s p < 0.05 as the entry criterion).
Marital status, employment, and occupation status were not found to be significantly associated with the prevalence of functional literacy in the preliminary multivariable models and thus were excluded from further analysis (Wald’s p > 0.2). We found collinearity between adult functional literacy rate and adult education attainment indicators, which provided support for the inclusion of adult functional literacy indicators only in our model.
We reported exponentiated coefficients in ratios of relative risks (RRR) which are equivalent to odds ratio in multinomial models. We transformed the estimated coefficients into RRR (eb) using a Stata command “rrr” in STATA [31].
2.3.3. Analysis of Spatial Clustering in Functional Literacy Indicators
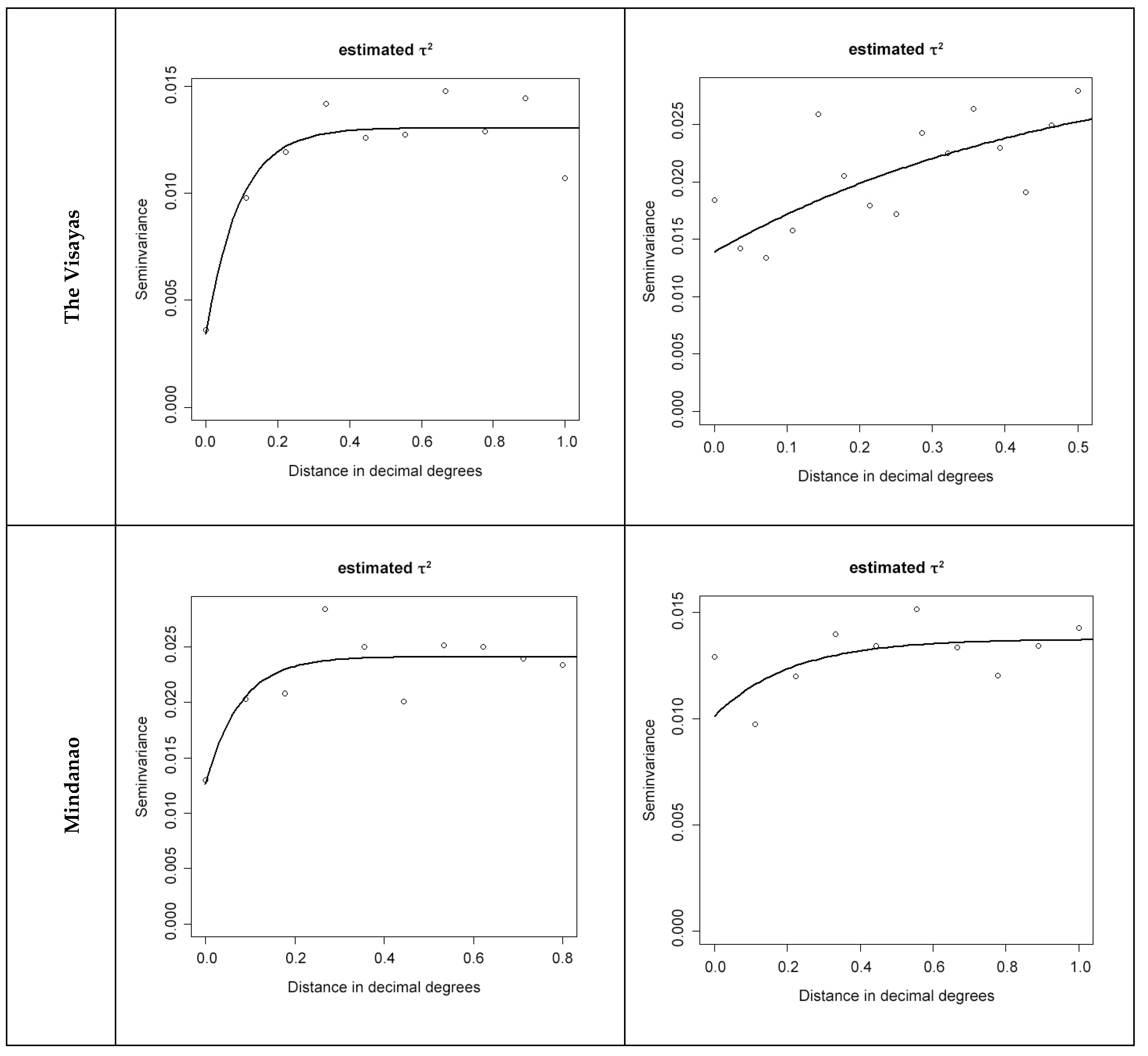
We used semivariograms to examine the presence of spatial autocorrelation in the observed prevalence of each level of functional literacy and in the residuals of the final multinomial models (residual semivariograms) at each barangay using the statistical package geoR of R software version 3.1.1 (The R foundation for statistical computing, Vienna, Austria, www.R-project.org). Semivariograms were generated for each functional literacy indicator for each region. A semivariogram is a graphical representation of the spatial variation in a dataset.
In the case of residual semivariograms, these represent the spatial variation left unexplained by the covariates included in a model. The semivariogram is characterised by three parameters: the partial sill, which is the spatially structured component of the semivariance (indicative of the tendency for geographical clustering), the nugget, which is the spatially unstructured component of the semivariance (representing random variation, very small-scale spatial variability, or measurement error) and the range, which is the distance at which locations can be considered independent (indicative of the average size of geographical clusters) [33]. Semivariograms of model residuals were compared between the three nested models.
3. Results
3.1. Dataset for Analysis
We analysed data from 11,313 school-aged children aged 10 to 19 years, including information on functional literacy, household, and demographic variables, and barangay geolocation. The average age of school-aged children was 13.6 years (Table 1).
Table 1.
Demographic characteristics of school-aged children, stratified by regions of the Philippines.
The observed prevalence of functional illiteracy in school-aged children was most prevalent in the Visayas followed by Mindanao and Luzon (7.5%, 6.9%, and 3.0%, respectively; Table 1). The observed prevalence of functional illiteracy of heads of households was higher in the Visayas and Mindanao compared to Luzon (15.0%, 15.0%, and 6.1%, respectively) (Table 2). At the regional level, a higher proportion of households was classified as poor in Mindanao (42.6%) compared to the Visayas (38.6%) and Luzon (28.5%), p < 0.05) (Table 2). Luzon had higher average total education stimuli scores compared to Mindanao and the Visayas (p < 0.05) (Table 2 and Figure S2). Demographic characteristics of the heads of households are summarised in Table 2, and WASH characteristics are illustrated in Figure S3.
Table 2.
Demographic characteristics of the heads of households and household socioeconomic status and education stimuli score, stratified by regions of the Philippines.
3.2. Spatial Distribution of Functional Literacy
A map of prevalence of functional illiteracy of school-aged children aged 10 to 19 years shows spatial heterogeneity between and within the three regions (Figure 1). Functional illiteracy of greater than 20% prevalence was observed across a wider geographic area in the Visayas and Mindanao compared to Luzon (Figure 1). The map suggests that in Luzon, a prevalence of functional illiteracy greater than 20% was observed in the northern part of the region, and prevalence greater than 15% was observed around the south-western part of Luzon (Figure 1). The map indicates that in the Visayas, a prevalence of functional illiteracy of greater than 30% was observed in the eastern part of the region. Within Mindanao, functional illiteracy was distributed towards the south, south-eastern, and south-western parts of the region (Figure 1).
Figure 1.
Map of prevalence of functional illiteracy in school-aged children.
Our maps illustrate that school-aged children with moderate and low functional literacy were spatially distributed across all regions of the Philippines (Figures S4 and S5).
Figure 2 shows that of the school-aged children who reside in Luzon (6616), 22.8% were classified as having moderate functional literacy, 5.5% were low functional literate, and 3% were functionally illiterate.
Figure 2.
Prevalence of functional literacy in school-aged children in three regions of the Philippines.
3.3. Models of Prevalence of Functional Literacy Indicators
For all regions, the model which included sociodemographic, SES, WASH, household education stimuli, and environmental variables (Model 3) fitted the data best (lowest AIC) [32], and the results for prevalence of functional illiteracy are summarised in Table 3. The results for prevalence of moderate functional literacy and prevalence of low functional literacy are summarised in Table 4 and Table 5.
Table 3.
Association of selected covariates with functional illiteracy in school-aged children in the Philippines.
Table 4.
Association of selected covariates with moderate functional literacy in school-aged children in the Philippines (Model 3).
Table 5.
Association of selected covariates with low functional literacy in school-aged children in the Philippines (Model 3).
Across all regions, age of school-aged children and illiteracy level of the heads of household were positively associated with the prevalence of all levels of functional literacy, except in Luzon where age was not associated with the prevalence of low functional literacy. Females (compared to males) were negatively associated with prevalence of functional illiteracy in Luzon and Mindanao (p < 0.001 and p = 0.03, respectively). Highest education attainment was negatively associated with prevalence of all levels of functional literacy in all regions (between p = 0.05 and p < 0.001), except in the Visayas where this association was observed only for the prevalence of functional illiteracy (p < 0.001).
High SES was negatively associated with low functional literacy (p < 0.001) (Table 5). ‘Lake or pond or rainwater and rivers’ as main source of drinking water compared to ‘piped into dwelling’ (p < 0.001), and household education stimuli score were negatively associated with functional illiteracy (ratio of relative risks [RRR], 0.92; p = 0.01). Households in Luzon without access to toilets were positively associated with functional illiteracy compared to households with flush toilets ([RRR], 2.26; p = 0.03) (Table 3).
In the Visayas, 29.3% of school-aged children were classified as having moderate functional literacy, 8% were low functional literate, and 7.5% were functionally illiterate (Figure 2). Protected well as a source of drinking water (p = 0.01), and LST were negatively associated with moderate functional literacy (p = 0.02); household education stimuli was negatively associated with moderate and low functional literacy (both p = 0.03). SES was negatively associated with functional illiteracy, albeit non-significant (p = 0.07).
In Mindanao, 32.6% of school-aged children were classified as having moderate functional literacy, 5.5% were low functional literate, and 6.9% were functionally illiterate (Figure 2). Household education stimuli was negatively associated with low functional literacy (p = 0.05), and DPWB was positively associated with low functional literacy (p < 0.001). SES was negatively associated with functional illiteracy ([RRR], 0.50; p = 0.01). DPWB ([RRR], 1.25; p = 0.02) and NDVI ([RRR], 1.42; p = 0.01) was positively associated with functional illiteracy, while rainfall ([RRR], 0.73; p = 0.01) and LST ([RRR], 0.75; p = 0.05) were negatively associated.
3.4. Spatial Dependence in Functional Literacy Indicators
Our results indicate spatial dependency in the prevalence of all three functional literacy indicators (Figure 3 and Figures S6–S8).

Figure 3.
Semivariograms of prevalence of functional illiteracy in school-aged children.
Across all regions, we observed larger cluster size after adjusting for the effect of covariates. In Luzon, 52% of the variance in moderate functional literacy was spatially structured with an average cluster size of 1.2 km. After adjusting for the effect of covariates in Model 3, the percentage of overall variance that was spatially structured and the average size of clusters of moderate functional literacy were 64% and 1.7 km respectively (Table S2). For low functional literacy, 95.3% of the variance was spatially structured with an average cluster size of 0.7 km. After adjusting for the effect of covariates in Model 3, the percentage of overall variance that was spatially structured and the average size of clusters of low functional literacy were 83% and 3.3 km respectively (Table S3). For functional illiteracy, 63.3% of the variance in functional illiteracy was spatially structured with an average cluster size of 1.3 km. After adjusting for the effect of covariates in Model 3, 83% of the variation was spatially structured and the average size of cluster was 3.3 km (Table 6).
Table 6.
Results of semivariograms for prevalence of functional illiteracy and moderate and low functional literacy.
In the Visayas, 73.8% of the variance in functional illiteracy was spatially structured with an average cluster size of 30.7 km (Table 6). After adjusting for the covariates, residual spatial dependency of functional illiteracy was no longer visible in that the semivariograms of all three models showed a spatial trend in the prevalence of functional illiteracy but no clustering. Our findings demonstrate spatial dependency only in the raw prevalence of functional illiteracy (Figure 3).
In Mindanao, 27.4% of the variance in moderate functional literacy was spatially structured with an average cluster size of 31.3 km. After adjusting for the effect of covariates in Model 3, 3.4% of the variation was spatially structured, the average size of cluster was unchanged (Table 6), and 48% of the variance in functional illiteracy was spatially structured with an average cluster of 25 km. After adjusting for the effect of covariates included in Model 3, 26.2% of the variance was spatially structured, and the average size of cluster was 69.47 km (Table 6). Our results indicated spatial dependency in the prevalence of moderate functional literacy (Figure S7), and functional illiteracy (Figure 3).
4. Discussion
Functional literacy is a key indicator of cognitive function, especially information processing and comprehension, and has been used to measure cognitive function in school-aged children in previous studies [15,34,35,36,37]. Evaluation of geographical determinants of functional literacy is critical for designing and implementing spatially targeted interventions which could contribute to efficiently attaining the Sustainable Development Goals (SDGs) for functional literacy in school-aged children in the Philippines [38].
This study represents the first nation-wide population based spatial epidemiological study investigating geographical disparities in functional literacy indicators and its association with individual-level variables (sociodemographic factors), household-level variables (SES, WASH, household education stimuli factors), and environmental variables (DPWB, LST, NDVI, rainfall). Our study indicates that the prevalence of functional illiteracy is heterogeneous in the Philippines while showing important regional differences in key determinants of functional illiteracy.
4.1. The Role of Household WASH and Educational Stimuli in the Spatial Variation of Functional Illiteracy in Luzon
Household WASH variables including type of toilet facility and the main sources of drinking water were found to be important determinants of the prevalence of functional illiteracy in the region of Luzon. Households in Luzon without access to toilets had higher prevalence of functional illiteracy compared to households with flush toilets.
Previous studies have demonstrated that practice of open defecation increases the risk of childhood stunting, and transmission of infectious diseases [39,40]. Available evidence suggests that households with access to unprotected drinking water sources are at increased risk of infectious diseases such as cholera, and other bacterial and infectious diarrhoeal diseases which are also known to affect children’s development [41,42]. Our results show that the use of unprotected drinking water sources (lake, pond, rainwater or rivers) is also associated with reduced functional illiteracy.
Our findings may be confounded by the fact that unprotected drinking water sources are more likely to be present in agricultural communities where access to food and nutritional security are maintained through local food production. Natural rivers and lakes are often used as sources of agricultural irrigation and water for livestock [43]. Indeed, previous studies indicate that food security has a positive impact on nutritional status and the long-term cognitive development of children [44]. Further investigation is needed to examine the factors mediating the relation between access to water sources and the prevalence of functional illiteracy identified in this study.
Our results also demonstrate that in Luzon, the quality of the home environment is an important predictor of functional literacy of school-age children. Indeed, our results showed that of the three regions, Luzon had the lowest proportion of households classified as poor and that the average total scores of households’ education stimuli were higher in Luzon compared to the Visayas and Mindanao. This may mean that household education stimuli available to children in Luzon reflects not only household SES but that there is variability of household education stimuli scores within SES classes. Previous studies also found house environment mediated the association between family SES and executive functions of inhibitory control and working memory in school-aged children [45].
Taken together, our findings suggest that functional literacy in Luzon may benefit from health promotion interventions that improve personal hygiene practices, which could play a key role in mediating the effects of infectious diseases and malnutrition, and assist families with providing a stimulating environment for children of school age.
4.2. The Role of Environment and Socioeconomic Status (SES) in the Spatial Variation of Functional Illiteracy in the Visayas and Mindanao
Environmental factors and poverty play important roles in the spatial variation of functional illiteracy in the Visayas and Mindanao. While our results indicate that environmental determinants play different roles in functional illiteracy depending on the region, the effects of environmental variables on the spatial variation of functional illiteracy were greatest in Mindanao.
The Philippines frequently experiences droughts, typhoons, and flooding which lead to the destruction of crops, land degradation, and siltation of irrigation systems caused by severe erosion [46]. Such extreme weather events are of concern particularly among households in Mindanao where agriculture and fisheries are the major economic activities. Evidence suggests that since early 2000 extreme weather events including long periods of high temperatures and intense rainfall have intensified in Mindanao [47]. Farming communities are particularly vulnerable to climate-associated food insecurity which has a negative impact on the nutritional status and child development in affected populations, as well as increasing the susceptibility to disease [44,47].
Our findings showed that low SES was positively associated with functional illiteracy in Mindanao. Evidence suggests a possible link (behavioural and neurobiological) between low SES and functioning of different domains of neurocognitive systems including children’s performance on language and literacy skills [19,48]. This relation is mediated by different mechanism such as parenting behaviour, linguistic stimulation and children’s experience of stress [19].
The observed association could also be explained by the effect of malnutrition in the poorest areas of Mindanao. Our map of the spatial distribution of functional illiteracy in Mindanao (Figure 1) shows a higher rate of functional illiteracy in western Mindanao, known for its high prevalence of underweight, stunting, and wasting in children [49,50]. Furthermore, Mindanao has suffered social and political conflict for many years which have led to greater food insecurity, limited land use options, and a higher rate of poverty in this region [47]. Further investigation is needed to understand the factors that mediate the association between SES and functional illiteracy in Mindanao and the Visayas.
Taken together, our findings suggest that poverty is likely to be a key determinant of malnutrition in this region, explaining the geographical heterogeneity of functional illiteracy indicators. Areas with high rates of poverty may benefit from integrated interventions that aim to reduce malnutrition in school-aged children.
4.3. Limitations
The results of this study need to be interpreted in light of several limitations. Our estimates of functional illiteracy indicators rely on performance-based functional literacy data. Although these tools are designed to measure different domains of cognitive functioning in school-age children, performance-based measurement tools may be differentially related to the outcome—for example participants who completed self-reported questionnaires may have had a chance to ask interviewers questions and get support when required [51].
Further, our data are from the 2008 FLEMMS survey and may not reflect the current situation. However, these data constitute the most comprehensive and up to date information on functional illiteracy in the Philippines and yield novel insights into the ways environmental input can affect child development. Data on literacy rates are scarce due to the costs involved in their collection and processing [8] and in the Philippines, census data are collected every ten years [7]. The latest data on literacy were collected in 2010, however information on functional literacy rate has not been updated in the report produced by the Philippines government since 2008 [6,7]. It is notable, however, that the rate of functional literacy has not seen much improvement in the last three FLEMMS surveys (83.8% in 1994, 84.1% in 2003, and 86.4% in 2008 (data from 1989 was not available for comparison)) [7] and therefore we do not expect much difference in the current situation.
In addition, we used an ecological approach, using secondary data on environmental predictors of functional illiteracy such as climate and SES [44,52]. Some of these proxies are imprecise measurements of exposure, resulting in regression dilution bias leading to underestimation of the observed effects [53].
Further, we created our own home inventory-proxy measurement (education stimuli measure), so our results cannot be readily compared with the standard home-inventory index questionnaire [54,55,56]. Our education stimuli measure included selected variables in the FLEMMS survey, which attempt to document whether access to learning materials and activities would improve cognitive function of school-aged children [57,58,59]. Nevertheless, our results indicated that there is evidence for a degree of specificity of the effect of household education stimuli. Our education stimuli score appeared to be a reasonably reliable scale with moderate correlations with SES element, which was based on ownership of household amenities (a pairwise correlation coefficient of 0.36).
Finally, our paper highlights the need of a complementary modelling approach that could be used to investigate potential reverse causation. While standard multivariate regression models may be useful for exploring the effects of predictor variables on the outcome variable, it may not be sufficient to explain the interrelation (associations and dependency) between multiple interdependent variables [60,61]. Previous studies showed that maternal literacy can improve the health navigation skills of mothers, which leads to child mortality reduction [34,62]. Multiple determinants of literacy have variable impact depending on where and how they are embedded in a child’s life. Future studies need to account for the complex interdependencies between these determinants.
5. Conclusions
Our study demonstrates that functional literacy is heterogeneous in the Philippines and that the determinants of functional literacy vary between regions. The results support the need for geographically targeted interventions that consider the context-specific determinants identified in this study. In the context of the current work, this is particularly relevant in order for the Philippines to achieve the Sustainable Development Goals for literacy by 2030. More broadly, our findings demonstrate an approach that can guide policy makers elsewhere, to design geographically targeted intervention programs for populations most in need.
Supplementary Materials
The following are available online at http://www.mdpi.com/1660-4601/16/1/137/s1: Text S1: Sampling methods of the Functional Literacy, Education, and Mass Media Survey (FLEMMS); Text S2: Results of semivariograms for prevalence of moderate functional literacy; Table S1: Household education stimuli score, Table S2: Results of semivariograms for prevalence of moderate functional literacy, Table S3: Results of semivariograms for prevalence of low functional literacy; Figure S1: Map of 2008 FLEMMS survey locations; Figure S2: Box plot showing the relationship between household education stimuli average total score and functional literacy indicators, by region; Figure S3: Bar graph showing basic household WASH characteristics; Figure S4: Maps of prevalence of moderate functional literacy of school-aged children in the Philippines by region; Figure S5: Maps of prevalence of low functional literacy of school-aged children in the Philippines by region; Figure S6: Semivariograms of prevalence of functional illiteracy in school-aged children; Figure S7: Semivariograms of prevalence of moderate functional literacy in school-aged children; Figure S8: Semivariograms of prevalence of low functional literacy in school-aged children.
Author Contributions
Conceptualization, K.O. and R.J.S.M.; methodology, K.O. and R.J.S.M.; software, K.O.; validation, K.O. and R.J.S.M.; formal analysis, K.O.; investigation, K.O.; resources, R.J.S.M.; data curation, K.O.; writing—original draft preparation, K.O.; writing—review and editing, K.O., M.N, C.L.L., L.Y., A.C.A.C., L.L. and R.J.S.M.; visualization, K.O.; supervision, M.N, C.L.L., L.Y., A.C.A.C., L.L. and R.J.S.M.; project administration, R.J.S.M.; funding acquisition, R.J.S.M.
Funding
This research received no external funding.
Acknowledgments
We would like to acknowledge the Department of Education and Literacy Coordinating Council from the National Statistics Office in the Philippines who provided dataset. We are grateful to Kathleen Corriveau for providing insightful feedback on an earlier draft of this paper. K.O. is a PhD candidate supported by an Australian Government Research Training Program Scholarship from the University of Queensland; M.N. is funded by an Australian Research Council Discovery Project Grant (DP140101410); C.L.L. is funded by an Australian National Health and Medical Research Council (NHMRC) Early Career Fellowship (1109035); A.C.A.C. is supported by a NHMRC Senior Research Fellowship; L.Y. is funded by the Medical Research Council UK, the Newton Fund, the Wellcome Trust and the European Union.
Conflicts of Interest
The authors declare no conflict of interest.
Appendix A
Table A1.
List of covariates included in the models.
Table A1.
List of covariates included in the models.
| Models | Covariates Included in the Model | ||||
|---|---|---|---|---|---|
| Sociodemographic | SES | WASH | Household Education Stimuli | Environment | |
| Model 1 | ✓ | ✓ | ✓ | ✗ | ✗ |
| Model 2 | ✓ | ✓ | ✓ | ✓ | ✗ |
| Model 3 | ✓ | ✓ | ✓ | ✓ | ✓ |
References
- UNESCO Institute for Statistics. 50th Anniversary of international literacy day: Literacy rates are on the rise but millions remain illiterate. Available online: http://uis.unesco.org/sites/default/files/documents/fs38-50th-anniversary-of-international-literacy-day-literacy-rates-are-on-the-rise-but-millions-remain-illiterate-2016-en.pdf (accessed on 22 January 2017).
- Noble, K.G.; Houston, S.M.; Brito, N.H.; Bartsch, H.; Kan, E.; Kuperman, J.M.; Akshoomoff, N.; Amaral, D.G.; Bloss, C.S.; Libiger, O.; et al. Family income, parental education and brain structure in children and adolescents. Nat. Neurosci. 2015, 18, 773–778. [Google Scholar] [CrossRef] [PubMed]
- Mani, A.; Mullainathan, S.; Shafir, E.; Zhao, J. Poverty impedes cognitive function. Science 2013, 341, 976–980. [Google Scholar] [CrossRef] [PubMed]
- Evans, G.W.; Schamberg, M.A. Childhood poverty, chronic stress, and adult working memory. Proc. Natl. Acad. Sci. USA 2009, 106, 6545–6549. [Google Scholar] [CrossRef] [PubMed]
- The Philippines Statistics Authority. MDG Watch: Philippines’ Progress based on the MDG Indicators. Available online: http://psa.gov.ph/sites/default/files/kmcd/MDG%20Watch%20as%20of%20May2016.pdf (accessed on 11 September 2016).
- The Philippines Statistics Authority. The 2015 Census of Population and Housing. Available online: https://www.psa.gov.ph/content/highlights-philippine-population-2015-census-population (accessed on 3 March 2017).
- The Philippines Statistics Authority. Philippines in Figures: 2016; The Philippines Statistics Authority: Quezon City, Philippines, 2016.
- Alba, M. Estimating Literacy Rate: A Study Relating Literacy Rate With Combined Gross Elementary and Secondary Schools Enrolment Rate. Philipp. J. Dev. 1981, VIII, 71–87. [Google Scholar]
- Brooker, S.; Okello, G.; Njagi, K.; Dubeck, M.M.; Halliday, K.E.; Inyega, H.; Jukes, M.C. Improving educational achievement and anaemia of school children: Design of a cluster randomised trial of school-based malaria prevention and enhanced literacy instruction in Kenya. Trials 2010, 11, 93. [Google Scholar] [CrossRef] [PubMed]
- The Philippines National Statistics Office. Assessment of Indicators. The Philippines Millennium Development Goals. Available online: http://nap.psa.gov.ph/stats/mdg/assessment.asp (accessed on 11 January 2017).
- The Philippines National Statistics Office. 2008 FLEMMS Final Report; Ericta, N.C., Collado, G.M.P., Eds.; The Philippines National Statistics Office: Manila, Philippines, 2008.
- Leffard, S.A.; Miller, J.A.; Bernstein, J.; DeMann, J.J.; Mangis, H.A.; McCoy, E.L. Substantive validity of working memory measures in major cognitive functioning test batteries for children. Appl. Neuropsychol. 2006, 13, 230–241. [Google Scholar] [CrossRef] [PubMed]
- Foster, C.; Duran-Flores, D.; Dumars, K.W.; Stills, S. Screening for developmental disabilities. West. J. Med. 1985, 143, 349–356. [Google Scholar] [PubMed]
- United Nations Educational Scientific and Cultural Organization. Understanding of literacy. In Education for All Global Monitoring Report 2006: Literacy for life; UNESCO: Paris, France, 2005; Chapter 6; pp. 147–159. [Google Scholar]
- Wolf, M.S.; Curtis, L.M.; Wilson, E.A.; Revelle, W.; Waite, K.R.; Smith, S.G.; Weintraub, S.; Borosh, B.; Rapp, D.N.; Park, D.C.; et al. Literacy, cognitive function, and health: Results of the LitCog study. J. Gen. Intern. Med. 2012, 27, 1300–1307. [Google Scholar] [CrossRef]
- Huppert, A.F.; Gardener, E.; McWilliam, B. Cognitive function. In Retirement, health and relationships of the older population in England: THE 2004 ENGLISH LONGITUDINAL STUDY OF AGEING (Wave 2); Banks, J., Breeze, E., Lessof, C., Nazroo, J., Eds.; The Institute for Fiscal Studies: London, UK, 2006; Chapter 8; pp. 217–230. [Google Scholar]
- Marques dos Santos, L.; Neves dos Santos, D.; Bastos, A.C.; Assis, A.M.; Prado, M.S.; Barreto, M.L. Determinants of early cognitive development: Hierarchical analysis of a longitudinal study. Cad Saude Publica 2008, 24, 427–437. [Google Scholar] [CrossRef]
- Tearne, J.E. Older maternal age and child behavioral and cognitive outcomes: A review of the literature. Fertil. Steril. 2015, 103, 1381–1391. [Google Scholar] [CrossRef]
- Ursache, A.; Noble, K.G. Neurocognitive development in socioeconomic context: Multiple mechanisms and implications for measuring socioeconomic status. Psychophysiology 2016, 53, 71–82. [Google Scholar] [CrossRef]
- Guernier, V.; Brennan, B.; Yakob, L.; Milinovich, G.; Clements, A.C.; Soares Magalhães, R.J. Gut microbiota disturbance during helminth infection: Can it affect cognition and behaviour of children? BMC Infect. Dis. 2017, 17, 58. [Google Scholar] [CrossRef] [PubMed]
- Stensgaard, A.S.; Utzinger, J.; Vounatsou, P.; Hurlimann, E.; Schur, N.; Saarnak, C.F.; Simoonga, C.; Mubita, P.; Kabatereine, N.B.; Tchuem Tchuente, L.A.; et al. Large-scale determinants of intestinal schistosomiasis and intermediate host snail distribution across Africa: Does climate matter? Acta Trop. 2013, 128, 378–390. [Google Scholar] [CrossRef] [PubMed]
- Soares Magalhães, R.J.; Clements, A.C. Mapping the risk of anaemia in preschool-age children: The contribution of malnutrition, malaria, and helminth infections in West Africa. PLoS Med. 2011, 8, e1000438. [Google Scholar] [CrossRef]
- Soares Magalhães, R.J.; Salamat, M.S.; Leonardo, L.; Gray, D.J.; Carabin, H.; Halton, K.; McManus, D.P.; Williams, G.M.; Rivera, P.; Saniel, O.; et al. Geographical distribution of human Schistosoma japonicum infection in The Philippines: Tools to support disease control and further elimination. Int. J. Parasitol. 2014. [Google Scholar] [CrossRef]
- Soares Magalhães, R.J.; Clements, A.C. Spatial heterogeneity of haemoglobin concentration in preschool-age children in sub-Saharan Africa. Bull. World Health Organ. 2011, 89, 459–468. [Google Scholar] [CrossRef]
- Soares Magalhães, R.J.; Salamat, M.S.; Leonardo, L.; Gray, D.J.; Carabin, H.; Halton, K.; McManus, D.P.; Williams, G.M.; Rivera, P.; Saniel, O.; et al. Mapping the Risk of Soil-Transmitted Helminthic Infections in the Philippines. PLoS Negl. Trop. Dis. 2015, 9, e0003915. [Google Scholar] [CrossRef]
- Owada, K.; Nielsen, M.; Lau, C.L.; Clements, A.C.A.; Yakob, L.; Soares Magalhães, R.J. Measuring the Effect of Soil-Transmitted Helminth Infections on Cognitive Function in Children: Systematic Review and Critical Appraisal of Evidence. In Advances in Parasitology; Rollinson, D., Stothard, R., Eds.; Academic Press: London, UK, 2017; Volume 98, pp. 1–37. [Google Scholar]
- Owada, K.; Lau, C.L.; Leonardo, L.; Clements, A.C.A.; Yakob, L.; Nielsen, M.; Carabin, H.; Soares Magalhaes, R.J. Spatial distribution and populations at risk of A. lumbricoides and T. trichiura co-infections and infection intensity classes: An ecological study. Parasites Vectors 2018, 11, 535. [Google Scholar] [CrossRef]
- Hay, S.I.; Tatem, A.J.; Graham, A.J.; Goetz, S.J.; Rogers, D.J. Global environmental data for mapping infectious disease distribution. Adv. Parasitol. 2006, 62, 37–77. [Google Scholar] [CrossRef] [PubMed]
- Environmental Systems Research Institute. ArcGIS 10.4 for Desktop. Available online: http://www.esri.com/ (accessed on 13 January 2016).
- Quantum GIS Development Team. QGIS Geographic Information System. Open Source Geospatial Foundation Project. Available online: https://www.qgis.org (accessed on 2 March 2015).
- StataCorp. Stata Statistical Software: Release 13. Available online: https://www.stata.com (accessed on 17 September 2014).
- Assmann, S.F.; Hosmer, D.W.; Lemeshow, S.; Mundt, K.A. Confidence intervals for measures of interaction. Epidemiology 1996, 7, 286–290. [Google Scholar] [CrossRef]
- Soares Magalhães, R.J.; Clements, A.C.; Patil, A.P.; Gething, P.W.; Brooker, S. The applications of model-based geostatistics in helminth epidemiology and control. Adv. Parasitol. 2011, 74, 267–296. [Google Scholar] [CrossRef]
- Levine, R.A.; Levine, S.; Schnell-Anzola, B.; Rowe, M.L.; Dexter, E. Literacy and Mothering: How Women’s Schooling Changes the Lives of the World’s Children; Oxford University Press: New York, NY, USA, 2012; p. 199. [Google Scholar]
- Al-Mekhlafi, H.M.; Mahdy, M.A.; Sallam, A.A.; Ariffin, W.A.; Al-Mekhlafi, A.M.; Amran, A.A.; Surin, J. Nutritional and socio-economic determinants of cognitive function and educational achievement of Aboriginal schoolchildren in rural Malaysia. Br. J. Nutr. 2011, 106, 1100–1106. [Google Scholar] [CrossRef] [PubMed]
- Grigorenko, E.L.; Sternberg, R.J.; Jukes, M.; Alcock, K.; Lambo, J.; Ngorosho, D.; Nokes, C.; Bundy, D.A. Effects of antiparasitic treatment on dynamically and statically tested cognitive skills over time. J. Appl. Dev. Psychol. 2006, 27, 499–526. [Google Scholar] [CrossRef]
- Belizario, V.Y.; Totanes, F.I.; de Leon, W.U.; Matias, K.M. School-based control of soil-transmitted helminthiasis in western Visayas, Philippines. Southeast Asian J. Trop. Med. Public Health 2014, 45, 556–567. [Google Scholar] [PubMed]
- Sustainable Development Goals Fund. From MDGs to SDGs. Available online: http://www.sdgfund.org/mdgs-sdgs (accessed on 6 February 2017).
- Belizario, V.Y.; Liwanag, H.J.; Naig, J.R.; Chua, P.L.; Madamba, M.I.; Dahildahil, R.O. Parasitological and nutritional status of school-age and preschool-age children in four villages in Southern Leyte, Philippines: Lessons for monitoring the outcome of Community-Led Total Sanitation. Acta Trop. 2015, 141, 16–24. [Google Scholar] [CrossRef] [PubMed]
- Spears, D.; Ghosh, A.; Cumming, O. Open defecation and childhood stunting in India: An ecological analysis of new data from 112 districts. PLoS ONE 2013, 8, e73784. [Google Scholar] [CrossRef]
- United Nations Children’s Fund; World Health Organization. Progress on Sanitation and Drinking Water—2015 Update and MDG Assessment; WHO Press: Geneva, Switzerland, 2015. [Google Scholar]
- Oria, R.B.; Murray-Kolb, L.E.; Scharf, R.J.; Pendergast, L.L.; Lang, D.R.; Kolling, G.L.; Guerrant, R.L. Early-life enteric infections: Relation between chronic systemic inflammation and poor cognition in children. Nutr. Rev. 2016, 74, 374–386. [Google Scholar] [CrossRef] [PubMed]
- Brouwer, C.; Hoevenaars, J.P.M.; van Bosch, B.E.; Hatcho, N.; Heibloem, M. Water sources and water availability. In Irrigation Water Management: Training Manual No. 6—Scheme Irrigation Water Needs and Supply; International Institute for Land Reclamation and Improvement (ILRI), Food and Agriculture Organization of the United Nations (FAO) Land and Water Development Division, Eds.; Food and Agriculture Organization: Rome, Italy, 1992; Chapter 2. [Google Scholar]
- Food and Agriculture Organization. The Elimination of Food Insecurity in the Horn of Africa; Food and Agriculture Organization: Rome, Italy, 2000. [Google Scholar]
- Sarsour, K.; Sheridan, M.; Jutte, D.; Nuru-Jeter, A.; Hinshaw, S.; Boyce, W.T. Family socioeconomic status and child executive functions: The roles of language, home environment, and single parenthood. J. Int. Neuropsychol. Soc. 2011, 17, 120–132. [Google Scholar] [CrossRef]
- Dayrit, H. The Philippines: Formulation of a national water vision. In From Vision to Action: A Synthesis of Experiences in Southeast Asia; Ti, H.L., Facon, T., Eds.; United Nations Economic and Social Commission for Asia and the Pacific: Bangkok, Thailand, 2001; pp. 43–70. [Google Scholar]
- Chandra, A.; McNamara, E.K.; Dargusch, P.; Caspe, M.A.; Dalabajan, D. Gendered vulnerabilities of smallholder farmers to climate change in conflict-prone areas: A case study from Mindanao, Philippines. J. Rural Stud. 2017, 50, 45–59. [Google Scholar] [CrossRef]
- Brito, N.H.; Noble, K.G. Socioeconomic status and structural brain development. Front. Neurosci. 2014, 8, 276. [Google Scholar] [CrossRef]
- The Inter-Agency Regional Analysts Network. Asia Report: Socio-Economy of Chronic Malnutrition in the Philippines: A Preliminary Key Trends Analysis by 2030; The Inter-Agency Regional Analysts Network: Paris, France, 2016. [Google Scholar]
- United Nations Children’s Fund. Improving Child Nutrition: The Achievable Imperative for Global Progress; UNICEF: New York, NY, USA, 2013. [Google Scholar]
- Kiechle, E.S.; Bailey, S.C.; Hedlund, L.A.; Viera, A.J.; Sheridan, S.L. Different Measures, Different Outcomes? A Systematic Review of Performance-Based versus Self-Reported Measures of Health Literacy and Numeracy. J. Gen. Intern. Med. 2015, 30, 1538–1546. [Google Scholar] [CrossRef] [PubMed]
- Bradley, R.H.; Corwyn, R.F. Socioeconomic status and child development. Annu. Rev. Psychol. 2002, 53, 371–399. [Google Scholar] [CrossRef] [PubMed]
- Hutcheon, J.A.; Chiolero, A.; Hanley, J.A. Random measurement error and regression dilution bias. BMJ 2010, 340, c2289. [Google Scholar] [CrossRef]
- Bradley, R.H.; Caldwell, B.M. Home observation for measurement of the environment: A revision of the preschool scale. Am. J. Ment. Defic. 1979, 84, 235–244. [Google Scholar] [PubMed]
- Bradley, R.H. Constructing and Adapting Causal and Formative Measures of Family Settings: The HOME Inventory as Illustration. J. Fam. Theory Rev. 2015, 7, 381–414. [Google Scholar] [CrossRef] [PubMed]
- Bradley, R.H.; Caldwell, B.M. The relation of infants’ home environments to achievement test performance in first grade: A follow-up study. Child Dev. 1984, 55, 803–809. [Google Scholar] [CrossRef]
- Bradley, R.H. Children’s home environments, health, behavior, and intervention efforts: A review using the HOME inventory as a marker measure. Genet. Soc. Gen. Psychol. Monogr. 1993, 119, 437–490. [Google Scholar]
- Farah, M.J.; Betancourt, L.; Shera, D.M.; Savage, J.H.; Giannetta, J.M.; Brodsky, N.L.; Malmud, E.K.; Hurt, H. Environmental stimulation, parental nurturance and cognitive development in humans. Dev. Sci. 2008, 11, 793–801. [Google Scholar] [CrossRef]
- Mireku, M.O.; Boivin, M.J.; Davidson, L.L.; Ouedraogo, S.; Koura, G.K.; Alao, M.J.; Massougbodji, A.; Cot, M.; Bodeau-Livinec, F. Impact of helminth infection during pregnancy on cognitive and motor functions of one-year-old children. PLoS Negl. Trop. Dis. 2015, 9, e0003463. [Google Scholar] [CrossRef]
- Alvarez-Galvez, J. Discovering complex interrelationships between socioeconomic status and health in Europe: A case study applying Bayesian Networks. Soc. Sci. Res. 2016, 56, 133–143. [Google Scholar] [CrossRef]
- Lewis, F.I.; McCormick, B.J. Revealing the complexity of health determinants in resource-poor settings. Am. J. Epidemiol. 2012, 176, 1051–1059. [Google Scholar] [CrossRef] [PubMed]
- Levine, R.A.; Rowe, M.L. Maternal literacy and child health in less-developed countries: Evidence, processes, and limitations. J. Dev. Behav. Pediatr. 2009, 30, 340–349. [Google Scholar] [CrossRef] [PubMed]
© 2019 by the authors. Licensee MDPI, Basel, Switzerland. This article is an open access article distributed under the terms and conditions of the Creative Commons Attribution (CC BY) license (http://creativecommons.org/licenses/by/4.0/).



