Risk Assessment of Potentially Toxic Elements (PTEs) Pollution at a Rural Industrial Wasteland in an Abandoned Metallurgy Factory in North China
Abstract
:1. Introduction
2. Materials and Methods
2.1. Study Area
2.2. Soil Sampling and Chemical Analysis
2.3. Risk Assessment of PTEs
2.3.1. PLI
2.3.2. Igeo
2.3.3. RAC
2.3.4. Human HRA
2.4. Statistical Procedures
3. Results and Discussion
3.1. Soil Properties
3.1.1. Physico-Chemical Properties of Top Soil
3.1.2. PTEs Concentrations in the Top Soil of Three Rural Abandoned Sites
3.2. Pollution Risk Assessment of a Rural Industrial Wasteland
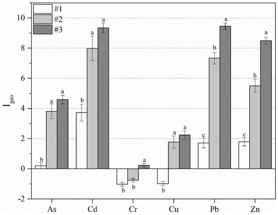
3.2.1. Contamination Indices (PLI and Igeo)
3.2.2. RAC
3.2.3. Human HRA
4. Conclusions
Acknowledgments
Author Contributions
Conflicts of Interest
References
- Capra, G.F.; Coppola, E.; Odierna, P.; Grilli, E.; Vacca, S.; Buondonno, A. Occurrence and distribution of key potentially toxic elements (PTEs) in agricultural soils: A paradigmatic case study in an area affected by illegal landfills. J. Geochem. Explor. 2014, 145, 169–180. [Google Scholar] [CrossRef]
- Coppola, E.; Capra, G.F.; Odierna, P.; Vacca, S.; Buondonno, A. Lead distribution as related to pedological features of soils in the Volturno River low Basin (Campania, Italy). Geoderma 2010, 159, 342–349. [Google Scholar] [CrossRef]
- Hu, B.; Jia, X.; Hu, J.; Xu, D.; Xia, F.; Li, Y. Assessment of Heavy Metal Pollution and Health Risks in the Soil-Plant-Human System in the Yangtze River Delta, China. Int. J. Environ. Res. Public Health 2017, 14, 1042. [Google Scholar] [CrossRef] [PubMed]
- Furukawa, Y.; Mukai, K.; Ohmura, K.; Kobayashi, T. Improved slant drilling well for in situ remediation of groundwater and soil at contaminated sites. Environ. Sci. Pollut. Res. 2017, 24, 6504–6511. [Google Scholar] [CrossRef] [PubMed]
- Kostarelos, K.; Gavriel, I.; Stylianou, M.; Zissimos, A.M.; Morisseau, E.; Dermatas, D. Legacy Soil Contamination at Abandoned Mine Sites: Making a Case for Guidance on Soil Protection. Bull. Environ. Contam. Toxicol. 2015, 94, 269–274. [Google Scholar] [CrossRef] [PubMed]
- Ericson, B.; Caravanos, J.; Chatham-Stephens, K.; Landrigan, P.; Fuller, R. Approaches to systematic assessment of environmental exposures posed at hazardous waste sites in the developing world: The Toxic Sites Identification Program. Environ. Monit. Assess. 2013, 185, 1755–1766. [Google Scholar] [CrossRef] [PubMed]
- Jelusic, M.; Grcman, H.; Vodnik, D.; Suhadolc, M.; Lestan, D. Functioning of metal contaminated garden soil after remediation. Environ. Pollut. 2013, 174, 63–70. [Google Scholar] [CrossRef] [PubMed]
- Malandrino, M.; Abollino, O.; Buoso, S.; Giacomino, A.; Gioia, C.L. Accumulation of heavy metals from contaminated soil to plants and evaluation of soil remediation by vermiculite. Chemosphere 2011, 82, 169–178. [Google Scholar] [CrossRef] [PubMed]
- Khalid, S.; Shahid, M.; Niazi, N.K.; Murtaza, B.; Bibi, I. A comparison of technologies for remediation of heavy metal contaminated soils. J. Geochem. Explor. 2016, 182, 247–268. [Google Scholar] [CrossRef]
- Wang, L.; Lu, X.; Li, L.; Ren, C.; Luo, D.; Chen, J. Content, speciation and pollution assessment of Cu, Pb and Zn in soil around the lead-zinc smelting plant of Baoji, NW China. Environ. Earth Sci. 2015, 73, 5281–5288. [Google Scholar] [CrossRef]
- Huang, S.S.; Liao, Q.L.; Hua, M.; Wu, X.M.; Bi, K.S.; Yan, C.Y.; Chen, B.; Zhang, X.Y. Survey of heavy metal pollution and assessment of agricultural soil in Yangzhong district, Jiangsu Province, China. Chemosphere 2007, 67, 2148–2155. [Google Scholar] [CrossRef] [PubMed]
- Mugoša, B.; Đurović, D.; Nedović-Vuković, M.; Barjaktarović-Labović, S.; Vrvić, M. Assessment of Ecological Risk of Heavy Metal Contamination in Coastal Municipalities of Montenegro. Int. J. Environ. Res. Public Health 2016, 13, 393. [Google Scholar] [CrossRef] [PubMed]
- Capra, G.F.; Ganga, A.; Grilli, E.; Vacca, S.; Buondonno, A. A review on anthropogenic soils from a worldwide perspective. J. Soil Sediments 2015, 15, 1602–1618. [Google Scholar] [CrossRef]
- Naser, H.A. Assessment and management of heavy metal pollution in the marine environment of the Arabian Gulf: A review. Mar. Pollut. Bull. 2013, 72, 6–13. [Google Scholar] [CrossRef] [PubMed]
- Mamat, Z.; Haximu, S.; Zhang, Z.Y.; Aji, R. An ecological risk assessment of heavy metal contamination in the surface sediments of Bosten Lake, Northwest China. Environ. Sci. Pollut. Res. 2016, 23, 7255–7265. [Google Scholar] [CrossRef] [PubMed]
- Bai, J.; Xiao, R.; Cui, B.; Zhang, K.; Wang, Q.; Liu, X.; Gao, H.; Huang, L. Assessment of heavy metal pollution in wetland soils from the young and old reclaimed regions in the Pearl River Estuary, South China. Environ. Pollut. 2011, 159, 817–824. [Google Scholar] [CrossRef] [PubMed]
- Qi, J.; Zhang, H.; Li, X.; Lu, J.; Zhang, G. Concentrations, spatial distribution, and risk assessment of soil heavy metals in a Zn-Pb mine district in southern China. Environ. Monit. Assess. 2016, 188, 413. [Google Scholar] [CrossRef] [PubMed]
- Li, Z.; Ma, Z.; van der Kuijp, T.J.; Yuan, Z.; Huang, L. A review of soil heavy metal pollution from mines in China: Pollution and health risk assessment. Sci. Total Environ. 2014, 468, 843–853. [Google Scholar] [CrossRef] [PubMed]
- Brauns, B.; Bjerg, P.L.; Song, X.; Jakobsen, R. Field scale interaction and nutrient exchange between surface water and shallow groundwater in the Baiyang Lake region, North China Plain. J. Environ. Sci. 2016, 45, 60–75. [Google Scholar] [CrossRef] [PubMed]
- Sun, Z.; Chen, J.; Wang, X.; Lv, C. Heavy metal accumulation in native plants at a metallurgy waste site in rural areas of Northern China. Ecol. Eng. 2016, 86, 60–68. [Google Scholar] [CrossRef]
- Xiao, Q.; Zong, Y.; Lu, S. Assessment of heavy metal pollution and human health risk in urban soils of steel industrial city (Anshan), Liaoning, Northeast China. Ecotoxicol. Environ. Saf. 2015, 120, 377–385. [Google Scholar] [CrossRef]
- State Environmental Protection Administration. SEPA Environmental Quality Standard for Soils; GB15618–1995; State Environmental Protection Administration: Beijing, China, 1995.
- Zarei, I.; Pourkhabbaz, A.; Khuzestani, R.B. An assessment of metal contamination risk in sediments of Hara Biosphere Reserve, southern Iran with a focus on application of pollution indicators. Environ. Monit. Assess. 2014, 186, 6047–6060. [Google Scholar] [CrossRef] [PubMed]
- Müller, G. Index of geoaccumulation in sediments of the Rhine River. Geojournal 1969, 2, 108–118. [Google Scholar]
- Loska, K.; Wiechuła, D.; Korus, I. Metal contamination of farming soils affected by industry. Environ. Int. 2004, 30, 159–165. [Google Scholar] [CrossRef]
- Chabukdhara, M.; Nema, A.K. Assessment of heavy metal contamination in Hindon River sediments: A chemometric and geochemical approach. Chemosphere 2012, 87, 945–953. [Google Scholar] [CrossRef] [PubMed]
- Passos, E.D.A.; Alves, J.D.P.H.; Garcia, C.A.B.; Costa, A.C.S. Metal fractionation in sediments of the Sergipe River, Northeast, Brazil. J. Braz. Chem. Soc. 2011, 22, 828–835. [Google Scholar] [CrossRef]
- Perin, G.; Craboledda, L.; Lucchese, L.; Cirillo, R.; Dotta, L.; Orio, A.A. Heavy metal speciation in the sediments of Northern Adriatic Sea. A new approach for environmental toxicity determination. Heavy Met. Environ. 1985, 2, 454–456. [Google Scholar]
- Singh, J.; Lee, B.K. Reduction of environmental availability and ecological risk of heavy metals in automobile shredder residues. Ecol. Eng. 2015, 81, 76–81. [Google Scholar] [CrossRef]
- The U.S. Environmental Protection Agency (USEPA). Risk Assessment Guidance for Superfund. In Human Health Evaluation Manual (Part A); EPA/540/1-89/002; Office of Emergency and Remedial Response: Washington, DC, USA, 1989; Volume 1.
- Yuswir, N.S.; Praveena, S.M.; Aris, A.Z.; Ismail, S.N.; Hashim, Z. Health Risk Assessment of Heavy Metal in Urban Surface Soil (Klang District, Malaysia). Bull. Environ. Contam. Toxicol. 2015, 95, 80–89. [Google Scholar] [CrossRef] [PubMed]
- Chabukdhara, M.; Nema, A.K. Heavy metals assessment in urban soil around industrial clusters in Ghaziabad, India: Probabilistic health risk approach. Ecotoxicol. Environ. Saf. 2013, 87, 57–64. [Google Scholar] [CrossRef] [PubMed]
- Smith, A.H.; Ercumen, A.; Yuan, Y.; Steinmaus, C.M. Increased lung cancer risks are similar whether arsenic is ingested or inhaled. J. Expo. Sci. Environ. Epidemiol. 2009, 19, 343–348. [Google Scholar] [CrossRef] [PubMed]
- Gibb, H.; Haver, C.; Gaylor, D.; Ramasamy, S.; Lee, J.S.; Lobdell, D.; Wade, T.; Chen, C.; White, P.; Sams, R. Utility of recent studies to assess the National Research Council 2001 estimates of cancer risk from ingested arsenic. Environ. Health Persp. 2011, 119, 284. [Google Scholar] [CrossRef] [PubMed]
- Park, R.M.; Bena, J.F.; Stayner, L.T.; Smith, R.J.; Gibb, H.J.; Lees, P.S. Hexavalent chromium and lung cancer in the chromate industry: A quantitative risk assessment. Risk Anal. 2004, 24, 1099–1108. [Google Scholar] [CrossRef] [PubMed]
- Arita, A.; Costa, M. Epigenetics in metal carcinogenesis: Nickel, Arsenic, Chromium and Cadmium. Met. Integr. Biomet. Sci. 2009, 1, 222–228. [Google Scholar] [CrossRef] [PubMed]
- Pan, L.; Ma, J.; Hu, Y.; Su, B.; Fang, G.; Wang, Y.; Wang, Z.; Wang, L.; Xiang, B. Assessments of levels, potential ecological risk, and human health risk of heavy metals in the soils from a typical county in Shanxi Province, China. Environ. Sci. Pollut. Res. 2016, 23, 19330–19340. [Google Scholar] [CrossRef] [PubMed]
- Chen, H.; Teng, Y.; Lu, S.; Wang, Y.; Wang, J. Contamination features and health risk of soil heavy metals in China. Sci. Total Environ. 2015, 512–513, 143–153. [Google Scholar] [CrossRef] [PubMed]
- Rodríguez, L.; Ruiz, E.; Alonso-Azcárate, J.; Rincón, J. Heavy metal distribution and chemical speciation in tailings and soils around a Pb–Zn mine in Spain. J. Environ. Manag. 2009, 90, 1106–1116. [Google Scholar] [CrossRef] [PubMed]
- Zhang, L.; Liao, Q.; Shao, S.; Zhang, N.; Shen, Q.; Liu, C. Heavy Metal Pollution, Fractionation, and Potential Ecological Risks in Sediments from Lake Chaohu (Eastern China) and the Surrounding Rivers. Int. J. Environ. Res. Public Health 2015, 12, 14115–14131. [Google Scholar] [CrossRef] [PubMed]
- Kabata-Pendias, A.; Mukherjee, A.B. Trace Elements of Group 12 (Previously Group IIb). In Trace Elements from Soil to Human, 1st ed.; Kabata-Pendias, A., Mukherjee, A.B., Eds.; Springer: Berlin/Heidelberg, Germany, 2007; pp. 283–319. ISBN 978-3-540-32714-1. [Google Scholar]
- Rosen, V.; Chen, Y. The influence of compost addition on heavy metal distribution between operationally defined geochemical fractions and on metal accumulation in plant. J. Soil Sediments 2014, 14, 713–720. [Google Scholar] [CrossRef]
- Bradl, H.B. Adsorption of heavy metal ions on soils and soils constituents. J. Colloid Interface Sci. 2004, 277, 1–18. [Google Scholar] [CrossRef] [PubMed]
- Tomlinson, D.L.; Wilson, J.G.; Harris, C.R.; Jeffrey, D.W. Problems in the assessment of heavy-metal levels in estuaries and the formation of a pollution index. Helgol. Meeresunters. 1980, 33, 566–575. [Google Scholar] [CrossRef]
- Canbay, M.; Aydin, A.; Kurtulus, C. Magnetic susceptibility and heavy-metal contamination in topsoils along the Izmit Gulf coastal area and IZAYTAS (Turkey). J. Appl. Geophys. 2010, 70, 46–57. [Google Scholar] [CrossRef]
- Varol, M. Assessment of heavy metal contamination in sediments of the Tigris River (Turkey) using pollution indices and multivariate statistical techniques. J. Hazard. Mater. 2011, 195, 355–364. [Google Scholar] [CrossRef] [PubMed]
- Lu, X.; Zhang, X.; Li, L.Y.; Chen, H. Assessment of metals pollution and health risk in dust from nursery schools in Xi’an, China. Environ. Res. 2014, 128, 27–34. [Google Scholar] [CrossRef] [PubMed]
- Hu, N.; Li, Z.; Huang, P.; Tao, C. Distribution and mobility of metals in agricultural soils near a copper smelter in South China. Environ. Geochem. Health 2006, 28, 19–26. [Google Scholar] [CrossRef] [PubMed]
- Zahra, A.; Hashmi, M.Z.; Malik, R.N.; Ahmed, Z. Enrichment and geo-accumulation of heavy metals and risk assessment of sediments of the Kurang Nallah—Feeding tributary of the Rawal Lake Reservoir, Pakistan. Sci. Total Environ. 2014, 470–471, 925–933. [Google Scholar] [CrossRef] [PubMed]
- Nemati, K.; Bakar, N.K.A.; Abas, M.R.; Sobhanzadeh, E. Speciation of heavy metals by modified BCR sequential extraction procedure in different depths of sediments from Sungai Buloh, Selangor, Malaysia. J. Hazard. Mater. 2011, 192, 402–410. [Google Scholar] [CrossRef] [PubMed]
- Ghrefat, H.; Yusuf, N. Assessing Mn, Fe, Cu, Zn, and Cd pollution in bottom sediments of Wadi Al-Arab Dam, Jordan. Chemosphere 2006, 65, 2114–2121. [Google Scholar] [CrossRef] [PubMed]
- Sundaray, S.K.; Nayak, B.B.; Lin, S.; Bhatta, D. Geochemical speciation and risk assessment of heavy metals in the river estuarine sediments—A case study: Mahanadi basin, India. J. Hazard. Mater. 2011, 186, 1837–1846. [Google Scholar] [CrossRef] [PubMed]
- Kumar, A.; Ramanathan, A.L.; Prabha, S.; Ranjan, R.K.; Ranjan, S.; Singh, G. Metal speciation studies in the aquifer sediments of Semria Ojhapatti, Bhojpur District, Bihar. Environ. Monit. Assess. 2012, 184, 3027–3042. [Google Scholar] [CrossRef] [PubMed]
- Chen, H.; Teng, Y.; Li, J.; Wu, J.; Wang, J. Source apportionment of trace metals in river sediments: A comparison of three methods. Environ. Pollut. 2016, 211, 28–37. [Google Scholar] [CrossRef] [PubMed]
- Olawoyin, R.; Oyewole, S.A.; Grayson, R.L. Potential risk effect from elevated levels of soil heavy metals on human health in the Niger delta. Ecotoxicol. Environ. Saf. 2012, 85, 120–130. [Google Scholar] [CrossRef] [PubMed]
- Nezhad, M.T.K.; Tabatabaii, S.M.; Gholami, A. Geochemical assessment of steel smelter-impacted urban soils, Ahvaz, Iran. J. Geochem. Explor. 2015, 152, 91–109. [Google Scholar] [CrossRef]
- Huang, Y.; Li, Y.X.; Yang, J.; Xu, M.M.; Sun, B. Harmful Chemicals in Soil and Risk Assessment of an Abandoned Open Dumpsite in Eastern China. J. Chem. 2015, 2015, 297686. [Google Scholar] [CrossRef]
- Zhuang, P.; McBride, M.B.; Xia, H.; Li, N.; Li, Z. Health risk from heavy metals via consumption of food crops in the vicinity of Dabaoshan mine, South China. Sci. Total Environ. 2009, 407, 1551–1561. [Google Scholar] [CrossRef] [PubMed]
- Li, P.; Lin, C.; Cheng, H.; Duan, X.; Lei, K. Contamination and health risks of soil heavy metals around a lead/zinc smelter in southwestern China. Ecotoxicol. Environ. Saf. 2015, 113, 391–399. [Google Scholar] [CrossRef] [PubMed]
- Tepanosyan, G.; Sahakyan, L.; Belyaeva, O.; Maghakyan, N.; Saghatelyan, A. Human health risk assessment and riskiest heavy metal origin identification in urban soils of Yerevan, Armenia. Chemosphere 2017, 184, 1230–1240. [Google Scholar] [CrossRef] [PubMed]
- Bardos, R.P.; Jones, S.; Stephenson, I.; Menger, P.; Beumer, V.; Neonato, F.; Maring, L.; Ferber, U.; Track, T.; Wendler, K. Optimising value from the soft re-use of brownfield sites. Sci. Total Environ. 2016, 563–564, 769–782. [Google Scholar] [CrossRef] [PubMed]
- Zhou, X.; Sun, H.; Ellen, T.P.; Chen, H.; Costa, M. Arsenite alters global histone H3 methylation. Carcinogenesis 2008, 29, 1831–1836. [Google Scholar] [CrossRef] [PubMed]
- Guala, S.D.; Vega, F.A.; Covelo, E.F. The dynamics of heavy metals in plant–soil interactions. Ecol. Model. 2010, 221, 1148–1152. [Google Scholar] [CrossRef]
- Xiao, R.; Wang, S.; Li, R.; Wang, J.J.; Zhang, Z. Soil heavy metal contamination and health risks associated with artisanal gold mining in Tongguan, Shaanxi, China. Ecotoxicol. Environ. Saf. 2017, 141, 17–24. [Google Scholar] [CrossRef] [PubMed]
- Liu, G.; Tao, L.; Liu, X.; Hou, J.; Wang, A.; Li, R. Heavy metal speciation and pollution of agricultural soils along Jishui River in non-ferrous metal mine area in Jiangxi Province, China. J. Geochem. Explor. 2013, 132, 156–163. [Google Scholar] [CrossRef]





| Factor | Definition | Unit | Value | |
|---|---|---|---|---|
| Csoil | PTE Concentration in Soil | mg/kg | Children | Adults |
| IngR | Ingestion rate of soil | mg/day | 200 | 100 |
| EF | Exposure frequency | days/year | 350 | 350 |
| ED | Exposure duration | years | 6 | 24 |
| BW | Body weight of the exposed individual | kg | 15 | 55.9 |
| AT | Average time | days | 365ED | 365ED |
| InhR | Inhalation rate of soil | m3/day | 7.63 | 12.8 |
| PEF | Particle emission factor | m3/kg | 1.36 × 109 | 1.36 × 109 |
| SA | Exposed skin surface area | cm2 | 1600 | 4350 |
| AF | Skin adherence factor | mg/(cm·day) | 0.2 | 0.7 |
| ABS | Dermal absorption factor | unitless | 0.001 | 0.001 |
| Elements | RfDing (mg/(kg·d)) | RfDinh mg/(kg·d) | RdDderm mg/(kg·d) | SFinh (mg/(kg·d))−1 | SFing (mg/(kg·d))−1 | SFdermal (mg/(kg·d))−1 |
|---|---|---|---|---|---|---|
| As | 3.00 × 10−4 | 1.50 × 10−5 | 1.23 × 10−4 | 1.51 × 10 | 1.50 | 3.66 |
| Cd | 1.00 × 10−3 | 1.00 × 10−3 | 1.00 × 10−5 | 6.30 | ||
| Cr | 3.00 × 10−3 | 2.86 × 10−5 | 6.00 × 10−5 | 4.20 × 10 | ||
| Cu | 4.00 × 10−2 | 4.02 × 10−2 | 1.20 × 10−2 | |||
| Pb | 3.50 × 10−3 | 3.52 × 10−3 | 5.25 × 10−4 | |||
| Zn | 3.00 × 10−1 | 3.00 × 10−1 | 6.00 × 10−2 |
| Parameter | #1 | #2 | #3 |
|---|---|---|---|
| pH (1:2.5) | 8.22 ± 0.03 a | 7.54 ± 0.07 b | 6.30 ± 0.06 c |
| CEC 1 (cmol/kg) | 8.17 ± 0.18 c | 12.18 ± 0.22 a | 10.72 ± 0.51 b |
| Organic C (g/kg) | 14.01 ± 1.24 c | 24.93 ± 1.72 b | 44.37 ± 1.53 a |
| Total N (%) | 0.16 ± 0.03 a | 0.03 ± 0.02b c | 0.07 ± 0.04 ab |
| C/N | 8.75 | 83.10 | 62.43 |
| Gravel > 2 mm (%, w/w) | 25.30 ± 1.00 b | 31.23 ± 0.79 a | 15.50 ± 0.44 c |
| Sand 2–0.05 mm (%, w/w) | 67.00 ± 0.93 b | 62.40 ± 0.55 c | 76.30 ± 1.23 a |
| Silt-Clay < 0.05 mm (%, w/w) | 4.93 ± 0.09 a | 3.70 ± 0.12 b | 3.20 ± 0.06 c |
| Site | As | Cd | Cr | Cu | Pb | Zn | |
|---|---|---|---|---|---|---|---|
| #1 | Min. | 9.40 | 0.23 | 29.50 | 21.10 | 40.00 | 179.00 |
| Max. | 27.00 | 8.14 | 61.60 | 35.90 | 203.00 | 684.00 | |
| Median | 14.20 | 2.31 | 51.85 | 29.35 | 122.00 | 512.35 | |
| Mean | 15.76 | 2.81 | 47.51 | 29.01 | 114.90 | 473.10 | |
| Std.D | 5.88 | 2.32 | 12.26 | 5.43 | 59.47 | 165.17 | |
| Skewness | 1.07 | 2.03 | −0.60 | −0.16 | 0.24 | −0.76 | |
| Kurtosis | 0.74 | 5.27 | −1.37 | −1.42 | −1.18 | 0.09 | |
| #2 | Min. | 32.40 | 3.75 | 36.20 | 75.00 | 768.10 | 1137.70 |
| Max. | 1695.10 | 621.10 | 72.10 | 1402.10 | 26,288.30 | 11,461.40 | |
| Median | 80.10 | 10.90 | 58.05 | 208.50 | 2725.35 | 2219.60 | |
| Mean | 269.91 | 63.40 | 58.47 | 301.69 | 5496.16 | 4486.42 | |
| Std.D | 435.45 | 153.99 | 8.94 | 333.21 | 7153.04 | 4182.15 | |
| Skewness | 2.72 | 3.60 | −0.68 | 2.77 | 2.20 | 1.02 | |
| Kurtosis | 8.00 | 13.47 | 1.37 | 8.41 | 4.52 | −0.80 | |
| #3 | Min. | 105.00 | 9.65 | 65.70 | 106.80 | 6071.00 | 6071.00 |
| Max. | 1464.00 | 164.00 | 758.00 | 956.00 | 49,973.00 | 39,353.10 | |
| Median | 329.50 | 106.00 | 118.00 | 429.45 | 26,143.50 | 23,412.50 | |
| Mean | 433.47 | 95.38 | 162.67 | 454.79 | 24,503.25 | 21,332.69 | |
| Std.D | 365.41 | 46.19 | 163.08 | 226.73 | 10,508.13 | 9100.86 | |
| Skewness | 1.61 | −0.50 | 3.65 | 0.77 | 0.34 | −0.01 | |
| Kurtosis | 3.11 | −0.63 | 14.02 | 0.66 | 1.64 | −0.61 | |
| 1 BV | 8.70 | 0.075 | 63.90 | 53.50 | 20.00 | 78.40 | |
| 2 G-I | 11.2 | 0.097 | 61.00 | 22.60 | 26.00 | 74.20 |
| Site #1 | PTEs | As | Cd | Cr | Cu | Pb | Zn |
| HQing | Children | 4.53 × 10−1 | 3.12 × 10−2 | 1.27 × 10−1 | 5.52 × 10−3 | 3.09 × 10−1 | 1.34 × 10−2 |
| Adults | 6.08 × 10−2 | 4.19 × 10−3 | 1.70 × 10−2 | 7.40 × 10−4 | 4.15 × 10−2 | 1.80 × 10−3 | |
| HQinh | Children | 2.54 × 10−4 | 8.76 × 10−7 | 3.73 × 10−4 | 1.54 × 10−7 | 8.63 × 10−6 | 3.76 × 10−7 |
| Adults | 1.14 × 10−4 | 3.94 × 10−7 | 1.68 × 10−4 | 6.93 × 10−8 | 3.88 × 10−6 | 1.69 × 10−7 | |
| HQder | Children | 1.64 × 10−6 | 4.62 × 10−6 | 9.37 × 10−6 | 2.72 × 10−8 | 3.05 × 10−6 | 9.91 × 10−8 |
| Adults | 5.80 × 10−5 | 1.64 × 10−4 | 3.32 × 10−4 | 9.65 × 10−7 | 1.08 × 10−4 | 3.52 × 10−6 | |
| HI | Children | 4.54 × 10−1 | 3.12 × 10−2 | 1.27 × 10−1 | 5.52 × 10−3 | 3.09 × 10−1 | 1.34 × 10−2 |
| Adults | 6.10 × 10−2 | 4.35 × 10−3 | 1.75 × 10−2 | 7.41 × 10−4 | 4.16 × 10−2 | 1.80 × 10−3 | |
| Risk | Children | 5.76 × 10−8 | 5.52 × 10−9 | 4.47 × 10−7 | |||
| Adults | 2.59 × 10−8 | 2.48 × 10−9 | 2.01 × 10−7 | ||||
| Site #2 | |||||||
| HQing | Children | 1.01 × 10 | 8.61 × 10−1 | 1.37 × 10−1 | 7.36 × 10−2 | 1.62 × 10 | 1.39 × 10−1 |
| Adults | 1.35 | 1.15 × 10−1 | 1.83 × 10−2 | 9.87 × 10−3 | 2.18 | 1.86 × 10−2 | |
| HQinh | Children | 5.67 × 10−3 | 2.41 × 10−5 | 4.02 × 10−4 | 2.05 × 10−6 | 4.52 × 10−4 | 3.89 × 10−6 |
| Adults | 2.55 × 10−3 | 1.09 × 10−5 | 1.81 × 10−4 | 9.25 × 10−7 | 2.04 × 10−4 | 1.75 × 10−6 | |
| HQder | Children | 3.65 × 10−5 | 1.27 × 10−4 | 1.01 × 10−5 | 3.63 × 10−7 | 1.60 × 10−4 | 1.03 × 10−6 |
| Adults | 1.29 × 10−3 | 4.52 × 10−3 | 3.59 × 10−4 | 1.29 × 10−5 | 5.67 × 10−3 | 3.64 × 10−5 | |
| HI | Children | 1.01 × 10 | 8.61 × 10−1 | 1.37 × 10−1 | 7.36 × 10−2 | 1.62 × 10 | 1.39 × 10−1 |
| Adults | 1.36 | 1.20 × 10−1 | 1.89 × 10−2 | 9.89 × 10−3 | 2.18 | 1.86 × 10−2 | |
| Risk | Children | 1.28 × 10−6 | 1.52 × 10−7 | 4.83 × 10−7 | |||
| Adults | 5.78 × 10−7 | 6.85 × 10−8 | 2.18 × 10−7 | ||||
| Site #3 | |||||||
| HQing | Children | 1.30 × 10 | 7.60 × 10−1 | 5.13 × 10−1 | 9.11 × 10−2 | 5.47 × 10 | 5.55 × 10−1 |
| Adults | 1.75 | 1.02 × 10−1 | 6.89 × 10−2 | 1.22 × 10−2 | 7.34 | 7.45 × 10−2 | |
| HQinh | Children | 7.30 × 10−3 | 2.13 × 10−5 | 1.51 × 10−3 | 2.54 × 10−6 | 1.53 × 10−3 | 1.56 × 10−5 |
| Adults | 3.29 × 10−3 | 9.60 × 10−6 | 6.80 × 10−4 | 1.14 × 10−6 | 6.87 × 10−4 | 7.01 × 10−6 | |
| HQder | Children | 4.70 × 10−5 | 1.13 × 10−4 | 3.80 × 10−5 | 4.50 × 10−7 | 5.40 × 10−4 | 4.11 × 10−6 |
| Adults | 1.67 × 10−3 | 3.99 × 10−3 | 1.35 × 10−3 | 1.59 × 10−5 | 1.91 × 10−2 | 1.46 × 10−4 | |
| HI | Children | 1.30 × 10 | 7.60 × 10−1 | 5.15 × 10−1 | 9.11 × 10−2 | 5.47 × 10 | 5.55 × 10−1 |
| Adults | 1.75 | 1.06 × 10−1 | 7.09 × 10−2 | 1.22 × 10−2 | 7.36 | 7.46 × 10−2 | |
| Risk | Children | 1.65 × 10−6 | 1.34 × 10−7 | 1.81 × 10−6 | |||
| Adults | 7.44 × 10−7 | 6.05 × 10−8 | 8.17 × 10−7 |
© 2018 by the authors. Licensee MDPI, Basel, Switzerland. This article is an open access article distributed under the terms and conditions of the Creative Commons Attribution (CC BY) license (http://creativecommons.org/licenses/by/4.0/).
Share and Cite
Sun, Z.; Chen, J. Risk Assessment of Potentially Toxic Elements (PTEs) Pollution at a Rural Industrial Wasteland in an Abandoned Metallurgy Factory in North China. Int. J. Environ. Res. Public Health 2018, 15, 85. https://doi.org/10.3390/ijerph15010085
Sun Z, Chen J. Risk Assessment of Potentially Toxic Elements (PTEs) Pollution at a Rural Industrial Wasteland in an Abandoned Metallurgy Factory in North China. International Journal of Environmental Research and Public Health. 2018; 15(1):85. https://doi.org/10.3390/ijerph15010085
Chicago/Turabian StyleSun, Zheng, and Jiajun Chen. 2018. "Risk Assessment of Potentially Toxic Elements (PTEs) Pollution at a Rural Industrial Wasteland in an Abandoned Metallurgy Factory in North China" International Journal of Environmental Research and Public Health 15, no. 1: 85. https://doi.org/10.3390/ijerph15010085
APA StyleSun, Z., & Chen, J. (2018). Risk Assessment of Potentially Toxic Elements (PTEs) Pollution at a Rural Industrial Wasteland in an Abandoned Metallurgy Factory in North China. International Journal of Environmental Research and Public Health, 15(1), 85. https://doi.org/10.3390/ijerph15010085

