Development of a New Microextraction Fiber Combined to On-Line Sample Stacking Capillary Electrophoresis UV Detection for Acidic Drugs Determination in Real Water Samples
Abstract
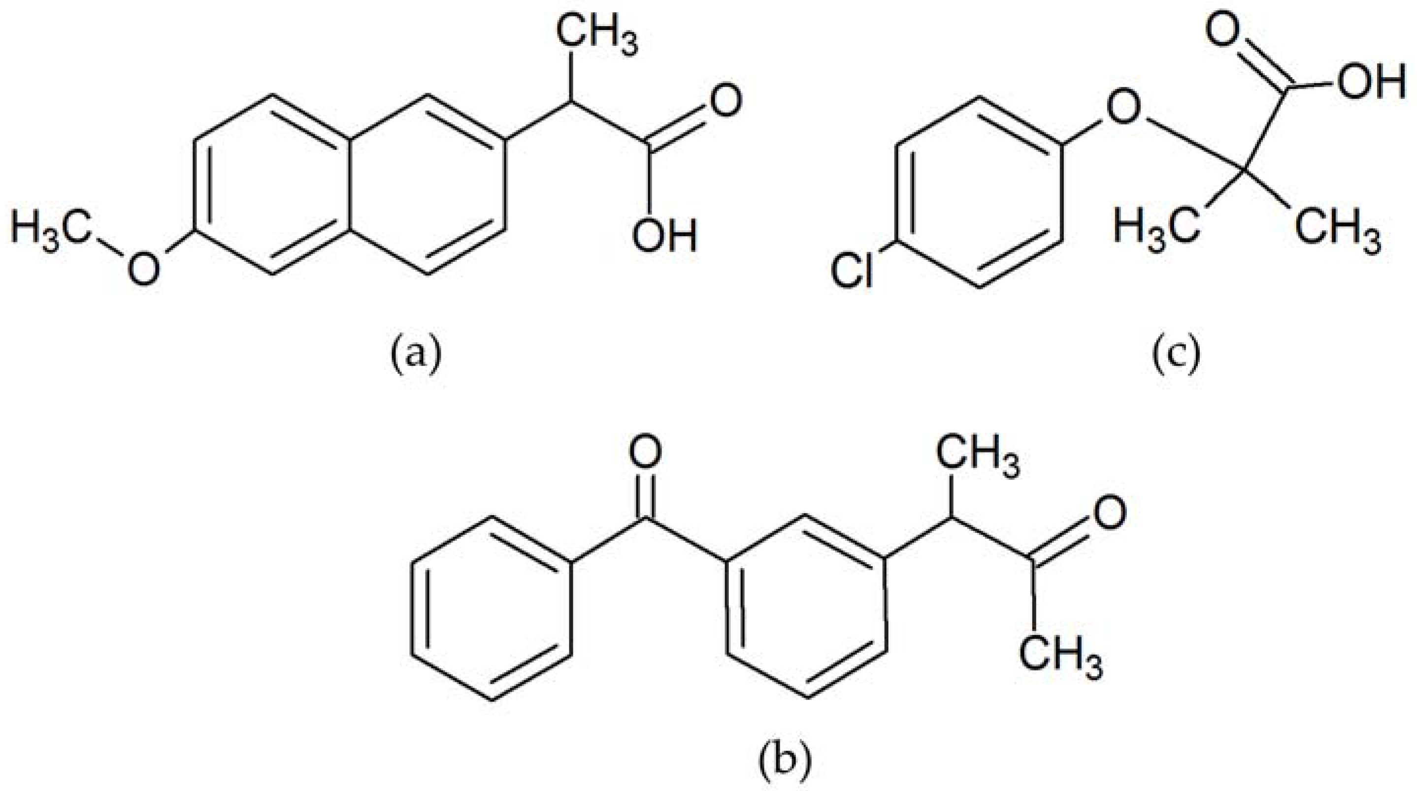
:1. Introduction
2. Materials and Methods
2.1. Reagents
2.2. Preparation of the Microextraction Fibers
2.3. Apparatus and Separation Conditions
2.4. Solid-Phase Microextraction Protocol
2.5. Design of Experiment
2.6. Water Samples
3. Results
3.1. Optimization of Electrophoretic Separation
3.2. Optimization of the On-Line Preconcentration by “Acetonitrile Stacking”
3.3. Optimization of Solid-Phase Microextractionstep through a Design of Experiment Approach
3.4. Analytical Parameters
3.5. Effect of the Matrix on the Extraction and Application of the Analytical Method to River Water Sample
4. Discussion
5. Conclusions
Supplementary Materials
Acknowledgments
Author Contributions
Conflicts of Interest
References
- Carballa, M.; Omil, F.; Lema, J.M.; Llompart, M.; Garcı́a-Jares, C.; Rodrı́guez, I.; Gómez, M.; Ternes, T. Behavior of pharmaceuticals, cosmetics and hormones in a sewage treatment plant. Water Res. 2004, 38, 2918–2926. [Google Scholar] [CrossRef] [PubMed]
- Fatta-Kassinos, D.; Meric, S.; Nikolaou, A. Pharmaceutical residues in environmental waters and wastewater: current state of knowledge and future research. Anal. Bioanal. Chem. 2011, 399, 251–275. [Google Scholar] [CrossRef] [PubMed]
- Wanda, E.M.M.; Nyoni, H.; Mamba, B.B.; Msagati, T.A.M. Occurrence of Emerging Micropollutants in Water Systems in Gauteng, Mpumalanga, and North West Provinces, South Africa. Int. J. Environ. Res. Public. Health 2017, 14, 79. [Google Scholar] [CrossRef] [PubMed]
- Archer, E.; Petrie, B.; Kasprzyk-Hordern, B.; Wolfaardt, G.M. The fate of pharmaceuticalsand personal care products (PPCPs), endocrine disrupting contaminants (EDCs), metabolites and illicit drugs in a WWTW and environmental waters. Chemosphere 2017, 174, 437–446. [Google Scholar] [CrossRef] [PubMed]
- Yang, Y.; Ok, Y.S.; Kim, K.-H.; Kwon, E.E.; Tsang, Y.F. Occurrences and removal of pharmaceuticals and personal care products (PPCPs) in drinking water and water/sewage treatment plants: A review. Sci. Total Environ. 2017, 596–597, 303–320. [Google Scholar] [CrossRef] [PubMed]
- Primel, E.G.; Caldas, S.S.; Escarrone, A.L.V. Multi-residue analytical methods for the determination of pesticides and PPCPs in water by LC-MS/MS: A review. Cent. Eur. J. Chem. 2012, 10, 876–899. [Google Scholar] [CrossRef]
- Noche, G.G.; Laespada, M.E.F.; Pavón, J.L.P.; Cordero, B.M.; Lorenzo, S.M. Microextraction by packed sorbent for the analysis of pharmaceutical residues in environmental water samples by in situ derivatization-programmed temperature vaporizer–gas chromatography–mass spectrometry. J. Chromatogr. A 2011, 1218, 9390–9396. [Google Scholar] [CrossRef] [PubMed]
- Lee, C.H.; Shin, Y.; Nam, M.W.; Jeong, K.M.; Lee, J. A new analytical method to determine non-steroidal anti-inflammatory drugs in surface water using in situ derivatization combined with ultrasound-assisted emulsification microextraction followed by gas chromatography–mass spectrometry. Talanta 2014, 129, 552–559. [Google Scholar] [CrossRef] [PubMed]
- Huang, S.; Zhu, F.; Jiang, R.; Zhou, S.; Zhu, D.; Liu, H.; Ouyang, G. Determination of eight pharmaceuticals in an aqueous sample using automated derivatization solid-phase microextraction combined with gas chromatography–mass spectrometry. Talanta 2015, 136, 198–203. [Google Scholar] [CrossRef] [PubMed]
- Farré, M.; Ferrer, I.; Ginebreda, A.; Figueras, M.; Olivella, L.; Tirapu, L.; Vilanova, M.; Barceló, D. Determination of drugs in surface water and wastewater samples by liquid chromatography–mass spectrometry: methods and preliminary results including toxicity studies with Vibrio fischeri. J. Chromatogr. A 2001, 938, 187–197. [Google Scholar] [CrossRef]
- De Oliveira, A.R.M.; de Santana, F.J.M.; Bonato, P.S. Stereoselective determination of the major ibuprofen metabolites in human urine by off-line coupling solid-phase microextraction and high-performance liquid chromatography. Anal. Chim. Acta 2005, 538, 25–34. [Google Scholar] [CrossRef]
- Hernando, M.D.; Heath, E.; Petrovic, M.; Barceló, D. Trace-level determination of pharmaceutical residues by LC-MS/MS in natural and treated waters. A pilot-survey study. Anal. Bioanal. Chem. 2006, 385, 985–991. [Google Scholar] [CrossRef] [PubMed]
- Miao, X.-S.; Koenig, B.G.; Metcalfe, C.D. Analysis of acidic drugs in the effluents of sewage treatment plants using liquid chromatography–electrospray ionization tandem mass spectrometry. J. Chromatogr. A 2002, 952, 139–147. [Google Scholar] [CrossRef]
- Gómez, M.J.; Petrović, M.; Fernández-Alba, A.R.; Barceló, D. Determination of pharmaceuticals of various therapeutic classes by solid-phase extraction and liquid chromatography–tandem massspectrometry analysis in hospital effluent wastewaters. J. Chromatogr. A 2006, 1114, 224–233. [Google Scholar] [CrossRef] [PubMed]
- Macià, A.; Borrull, F.; Aguilar, C.; Calull, M. Improving sensitivity by large-volume sample stacking using the electroosmotic flow pump to analyze some nonsteroidal anti-inflammatory drugs by capillary electrophoresis in water samples. Electrophoresis 2003, 24, 2779–2787. [Google Scholar] [CrossRef] [PubMed]
- Macià, A.; Borrull, F.; Aguilar, C.; Calull, M. Application of capillary electrophoresis with different sample stacking strategies for the determination of a group of nonsteroidal anti-inflammatory drugs in the low μg × L−1 concentration range. Electrophoresis 2004, 25, 428–436. [Google Scholar] [CrossRef] [PubMed]
- Macià, A.; Borrull, F.; Calull, M.; Aguilar, C. Different sample stacking strategies to analyse some nonsteroidal anti-inflammatory drugs by micellar electrokinetic capillary chromatography in mineral waters. J. Chromatogr. A 2006, 1117, 234–245. [Google Scholar] [CrossRef] [PubMed]
- Macià, A.; Borrull, F.; Calull, M.; Aguilar, C. Capillary electrophoresis for the analysis of non-steroidal anti-inflammatory drugs. TrAC Trends Anal. Chem. 2007, 26, 133–153. [Google Scholar] [CrossRef]
- Fang, H.; Liu, M.; Zeng, Z. Solid-phase microextraction coupled with capillary electrophoresis to determine ephedrine derivatives in water and urine using a sol–gel derived butyl methacrylate/silicone fiber. Talanta. 2006, 68, 979–986. [Google Scholar] [CrossRef] [PubMed]
- Padrón, M.E.T.; Ferrera, Z.S.; Rodríguez, J.J.S. Coupling of solid-phase microextraction with micellar desorption and high performance liquid chromatography for the determination of pharmaceutical residues in environmental liquid samples. Biomed. Chromatogr. 2009, 23, 1175–1185. [Google Scholar] [CrossRef] [PubMed]
- Sarafraz-Yazdi, A.; Amiri, A.; Rounaghi, G.; Eshtiagh-Hosseini, H. Determination of non-steroidal anti-inflammatory drugs in water samples by solid-phase microextraction based sol-gel technique using poly(ethylene glycol) grafted multi-walled carbon nanotubes coated fiber. Anal. Chim. Acta 2012, 720, 134–141. [Google Scholar] [CrossRef] [PubMed]
- Souza-Silva, É.A.; Reyes-Garcés, N.; Gómez-Ríos, G.A.; Boyacı, E.; Bojko, B.; Pawliszyn, J. A critical review of the state of the art of solid-phase microextraction of complex matrices III. Bioanalytical and clinical applications. TrAC Trends Anal. Chem. 2015, 71, 249–264. [Google Scholar] [CrossRef]
- Yu, H.; Merib, J.; Anderson, J.L. Crosslinked polymeric ionic liquids as solid-phase microextraction sorbent coatings for high performance liquid chromatography. J. Chromatogr. A 2016, 1438, 10–21. [Google Scholar] [CrossRef] [PubMed]
- Dietz, C.; Sanz, J.; Cámara, C. Recent developments in solid-phase microextraction coatings and related techniques. J. Chromatogr. A 2006, 1103, 183–192. [Google Scholar] [CrossRef] [PubMed]
- Theodoridis, G.; Koster, E.H.M.; de Jong, G.J. Solid-phase microextraction for the analysis of biological samples. J. Chromatogr. B. 2000, 745, 49–82. [Google Scholar] [CrossRef]
- Ulrich, S. Solid-phase microextraction in biomedical analysis. J. Chromatogr. A 2000, 902, 167–194. [Google Scholar] [CrossRef]
- López-Darias, J.; Pino, V.; Anderson, J.L.; Graham, C.M.; Afonso, A.M. Determination of water pollutants by direct-immersion solid-phase microextraction using polymeric ionic liquid coatings. J. Chromatogr. A 2010, 1217, 1236–1243. [Google Scholar] [CrossRef] [PubMed]
- Ge, D.; Lee, H.K. Zeolite imidazolate frameworks 8 as sorbent and its application to sonication-assisted emulsification microextraction combined with vortex-assisted porous membrane-protected micro-solid-phase extraction for fast analysis of acidic drugs in environmental water samples. J. Chromatogr. A 2012, 1257, 19–24. [Google Scholar] [CrossRef] [PubMed]
- Terzopoulou, Z.; Papageorgiou, M.; Kyzas, G.Z.; Bikiaris, D.N.; Lambropoulou, D.A. Preparation of molecularly imprinted solid-phase microextraction fiber for the selective removal and extraction of the antiviral drug abacavir in environmental and biological matrices. Anal. Chim. Acta 2016, 913, 63–75. [Google Scholar] [CrossRef] [PubMed]
- Lirio, S.; Liu, W.-L.; Lin, C.-L.; Lin, C.-H.; Huang, H.-Y. Aluminum based metal-organic framework-polymer monolith in solid-phase microextraction of penicillins in river water and milk samples. J. Chromatogr. A 2016, 1428, 236–245. [Google Scholar] [CrossRef] [PubMed]
- Li, Q.; Huie, C.W. Coupling of acetonitrile deproteinization and salting-out extraction with acetonitrile stacking for biological sample clean-up and the enrichment of hydrophobic compounds (porphyrins) in capillary electrophoresis. Electrophoresis 2006, 27, 4219–4229. [Google Scholar] [CrossRef] [PubMed]
- Sun, J.; Feng, J.; Shi, L.; Liu, L.; He, H.; Fan, Y.; Hu, S.; Liu, S. Study of the mechanism of acetonitrile stacking and its application for directly combining liquid-phase microextraction with micellar electrokinetic chromatography. J. Chromatogr. A 2016, 1461, 161–170. [Google Scholar] [CrossRef] [PubMed]
- Friedberg, M.; Shihabi, Z.K. Ketoprofen analysis in serum by capillary electrophoresis. J. Chromatogr. B. 1997, 695, 193–198. [Google Scholar] [CrossRef]
- Chen, H.; Terabe, S. On-line sample preconcentration techniques in capillary electrophoresis. In Comprehensive Analytical Chemistry; Marina, M.L., Ríos, A., Valcárcel, M., Eds.; Elsevier: Amsterdam, The Netherlands, 2005; pp. 135–172. [Google Scholar]
- So, T.S.K.; Huie, C.W. Salting-out solvent extraction for the off-line preconcentration of benzalkonium chloride in capillary electrophoresis. Electrophoresis 2001, 22, 2143–2149. [Google Scholar] [CrossRef]
- Cela, R.; Rosa, A.L.; Casais, M. Tecnicas de Separacion en Quimica Analitica; Sintesis: Madrid, Spain, 2002; ISBN 978-84-9756-028-3. [Google Scholar]
- Macià, A.; Borrull, F.; Calull, M.; Aguilar, C. Analysis of Nonsteroidal Anti-inflammatory Drugs in Water Samples Using Microemulsion Electrokinetic Capillary Chromatography under pH-Suppressed Electroosmotic Flow with an On-Column Preconcentration Technique. Chromatographia 2006, 63, 149–154. [Google Scholar] [CrossRef]
- Ramos Payán, M.; Bello López, M.Á.; Fernández-Torres, R.; Callejón Mochón, M.; Gómez Ariza, J.L. Application of hollow fiber-based liquid-phase microextraction (HF-LPME) for the determination of acidic pharmaceuticals in wastewaters. Talanta 2010, 82, 854–858. [Google Scholar] [CrossRef] [PubMed]
- Saleh, A.; Larsson, E.; Yamini, Y.; Jönsson, J.Å. Hollow fiber liquid phase microextraction as a preconcentration and clean-up step after pressurized hot water extraction for the determination of non-steroidal anti-inflammatory drugs in sewage sludge. J. Chromatogr. A 2011, 1218, 1331–1339. [Google Scholar] [CrossRef] [PubMed]
- Racamonde, I.; Rodil, R.; Quintana, J.B.; Sieira, B.J.; Kabir, A.; Furton, K.G.; Cela, R. Fabric phase sorptive extraction: A new sorptive microextraction technique for the determination of non-steroidal anti-inflammatory drugs from environmental water samples. Anal. Chim. Acta 2015, 865, 22–30. [Google Scholar] [CrossRef] [PubMed]
- Vio, L.; Crétier, G.; Chartier, F.; Geertsen, V.; Gourgiotis, A.; Isnard, H.; Rocca, J.-L. Separation and analysis of lanthanides by isotachophoresis coupled with inductively coupled plasma mass spectrometry. Talanta 2012, 99, 586–593. [Google Scholar] [CrossRef] [PubMed]
- Néri-Quiroz, J.; Canto, F.; Guillerme, L.; Couston, L.; Magnaldo, A.; Dugas, V. Miniaturizing and automation of free acidity measurements for uranium (VI)-HNO3 solutions: Development of a new sequential injection analysis for a sustainable radio-analytical chemistry. Talanta 2016, 159, 330–335. [Google Scholar] [CrossRef] [PubMed]
- Hernández-Borges, J.; Cifuentes, A.; García-Montelongo, F.J.; Rodríguez-Delgado, M.Á. Combining solid-phase microextraction and on-line preconcentration-capillary electrophoresis for sensitive analysis of pesticides in foods. Electrophoresis 2005, 26, 980–989. [Google Scholar] [CrossRef] [PubMed]
- Zhou, X.; Li, X.; Zeng, Z. Solid-phase microextraction coupled with capillary electrophoresis for the determination of propranolol enantiomers in urine using a sol–gel derived calix [4] arene fiber. J. Chromatogr. A 2006, 1104, 359–365. [Google Scholar] [CrossRef] [PubMed]
- Zunngu, S.S.; Madikizela, L.M.; Chimuka, L.; Mdluli, P.S. Synthesis and application of a molecularly imprinted polymer in the solid-phase extraction of ketoprofen from wastewater. Comptes Rendus Chim. 2016. [Google Scholar] [CrossRef]
- Madikizela, L.M.; Tavengwa, N.T.; Chimuka, L. Applications of molecularly imprinted polymers for solid-phase extraction of non-steroidal anti-inflammatory drugs and analgesics from environmental waters and biological samples. J. Pharm. Biomed. Anal. 2017. [Google Scholar] [CrossRef] [PubMed]







| Variable | Code | Level | |
|---|---|---|---|
| Low (−1) | High (+1) | ||
| Sample volume (mL) | A | 4 | 25 |
| Salt concentration, NaCl (g∙mL−1) | B | 0 | 0.15 |
| Sorbent type | C | C18 | Porapak Q |
| Stirring speed (rpm) | D | 300 | 600 |
| Extraction temperature (°C) | E | 25 | 45 |
| Extraction time (min) | F | 15 | 30 |
| Desorption time (min) | G | 2 | 10 |
| Variable | Code | Level | ||
|---|---|---|---|---|
| −1 | 0 | 1 | ||
| Extraction time (min) | A | 15 | 27.5 | 40 |
| Stirring speed (rpm) | B | 300 | 450 | 600 |
| Salt concentration, NaCl (g∙L−1) | C | 0 | 0.075 | 0.15 |
| tinj (s) | RS K-N | RS N-CA |
|---|---|---|
| 10 | 6.6 | 4.6 |
| 50 | 1.21 | 2.05 |
| 70 | 0.89 | 1.74 |
| 100 | No separation | |
| Variables | Optimal Condition |
|---|---|
| Salt concentration, NaCl (% m/v) | 0 |
| Sample volume (mL) | 5 |
| Extraction time (min) | 45 |
| Stirring speed (rpm) | 600 |
| Extraction temperature (°C) | 25 |
| Type of fiber (sorbent) | Porapak Q |
| Desorption time (min) | 4 |
| Parameter | Clofibric Acid | Ketoprofen | Naproxen |
|---|---|---|---|
| Calibration curve | |||
| Linear dynamic range (µg·L−1) | 4–50 | 4–50 | 3–50 |
| Intercept (a) | 0.0758 | 0.0372 | −0.0071 |
| Sa | 1.49 × 10−2 | 5.78 × 10−3 | 2.08 × 10−2 |
| Slope (b) | 0.0321 | 0.0160 | 0.0548 |
| Sb | 6.30 × 10−4 | 2.47 × 10−4 | 8.83 × 10−4 |
| R2 | 0.9956 | 0.9974 | 0.9970 |
| Linearity (regression coefficient, R) | 99.12 | 99.48 | 99.41 |
| Intra-day reproducibility (%RSD), n = 5 | |||
| 6 µg∙L−1 | - | - | 12.8 |
| 8 µg∙L−1 | 13.3 | 8.9 | - |
| 20 µg∙L−1 | 10.3 | 9.9 | 9.8 |
| 50 µg∙L−1 | 8.5 | 9.8 | 9.5 |
| Limit of detection (µg∙L−1) | 0.96 | 1.27 | 0.98 |
| Limit of quantification (µg∙L−1) | 2.91 | 3.86 | 2.96 |
| Analyte | Spiked Concentration (µg∙L−1) | Found Concentration (µg∙L−1) | Recovery (%) | (%) ± s a | t | p b |
|---|---|---|---|---|---|---|
| Clofibric acid | 8 | 8.2 | 103.4 | 103 ± 3 | 2.605 | 0.051 |
| 8.5 | 106.6 | |||||
| 8.3 | 103.7 | |||||
| 8.1 | 101.7 | |||||
| 7.9 | 99.5 | |||||
| 16 | 14.6 | 91.3 | 99 ± 5 | −0.131 | 0.902 | |
| 16.4 | 102.9 | |||||
| 16.5 | 103.4 | |||||
| 16.0 | 100.4 | |||||
| 16.0 | 100.4 | |||||
| 20 | 20.4 | 102.4 | 103 ± 4 | 1.889 | 0.132 | |
| 21.2 | 106.4 | |||||
| 19.3 | 96.8 | |||||
| 20.9 | 104.7 | |||||
| 21.5 | 107.5 | |||||
| Ketoprofen | 8 | 8.4 | 105.8 | 105 ± 5 | 2.079 | 0.106 |
| 8.6 | 108.2 | |||||
| 8.1 | 101.8 | |||||
| 8.7 | 109.7 | |||||
| 7.8 | 97.5 | |||||
| 16 | 16.0 | 100.3 | 103 ± 4 | 1.707 | 0.163 | |
| 16.0 | 100.2 | |||||
| 16.1 | 101.1 | |||||
| 16.4 | 103.0 | |||||
| 17.3 | 108.5 | |||||
| 20 | 19.3 | 96.7 | 98 ± 6 | −0.883 | 0.427 | |
| 18.9 | 94.5 | |||||
| 19.6 | 98.0 | |||||
| 18.5 | 92.5 | |||||
| 21.4 | 107.1 | |||||
| Naproxen | 8 | 8.2 | 102.9 | 95 ± 17 | −0.654 | 0.549 |
| 9.0 | 112.8 | |||||
| 8.0 | 100.1 | |||||
| 7.3 | 91.4 | |||||
| 5.4 | 67.5 | |||||
| 16 | 15.3 | 95.8 | 99 ± 4 | −0.359 | 0.737 | |
| 16.1 | 100.9 | |||||
| 16.8 | 105.1 | |||||
| 15.7 | 98.1 | |||||
| 15.5 | 96.8 | |||||
| 20 | 22.2 | 111.4 | 101 ± 8 | 0.446 | 0.679 | |
| 21.1 | 105.8 | |||||
| 20.9 | 104.5 | |||||
| 18.8 | 94.2 | |||||
| 18.4 | 92.0 |
© 2017 by the authors. Licensee MDPI, Basel, Switzerland. This article is an open access article distributed under the terms and conditions of the Creative Commons Attribution (CC BY) license (http://creativecommons.org/licenses/by/4.0/).
Share and Cite
Espina-Benitez, M.; Araujo, L.; Prieto, A.; Navalón, A.; Vílchez, J.L.; Valera, P.; Zambrano, A.; Dugas, V. Development of a New Microextraction Fiber Combined to On-Line Sample Stacking Capillary Electrophoresis UV Detection for Acidic Drugs Determination in Real Water Samples. Int. J. Environ. Res. Public Health 2017, 14, 739. https://doi.org/10.3390/ijerph14070739
Espina-Benitez M, Araujo L, Prieto A, Navalón A, Vílchez JL, Valera P, Zambrano A, Dugas V. Development of a New Microextraction Fiber Combined to On-Line Sample Stacking Capillary Electrophoresis UV Detection for Acidic Drugs Determination in Real Water Samples. International Journal of Environmental Research and Public Health. 2017; 14(7):739. https://doi.org/10.3390/ijerph14070739
Chicago/Turabian StyleEspina-Benitez, Maria, Lilia Araujo, Avismelsi Prieto, Alberto Navalón, José Luis Vílchez, Paola Valera, Ana Zambrano, and Vincent Dugas. 2017. "Development of a New Microextraction Fiber Combined to On-Line Sample Stacking Capillary Electrophoresis UV Detection for Acidic Drugs Determination in Real Water Samples" International Journal of Environmental Research and Public Health 14, no. 7: 739. https://doi.org/10.3390/ijerph14070739
APA StyleEspina-Benitez, M., Araujo, L., Prieto, A., Navalón, A., Vílchez, J. L., Valera, P., Zambrano, A., & Dugas, V. (2017). Development of a New Microextraction Fiber Combined to On-Line Sample Stacking Capillary Electrophoresis UV Detection for Acidic Drugs Determination in Real Water Samples. International Journal of Environmental Research and Public Health, 14(7), 739. https://doi.org/10.3390/ijerph14070739

