Longitudinal Effects of Physical Inactivity and Obesity on Gait Speed in Older Adults with Frequent Knee Pain: Data from the Osteoarthritis Initiative
Abstract
:1. Introduction
2. Methods
2.1. Study Design
2.2. Setting
2.3. Participants
2.4. Measurements

2.5. Statistical Analysis
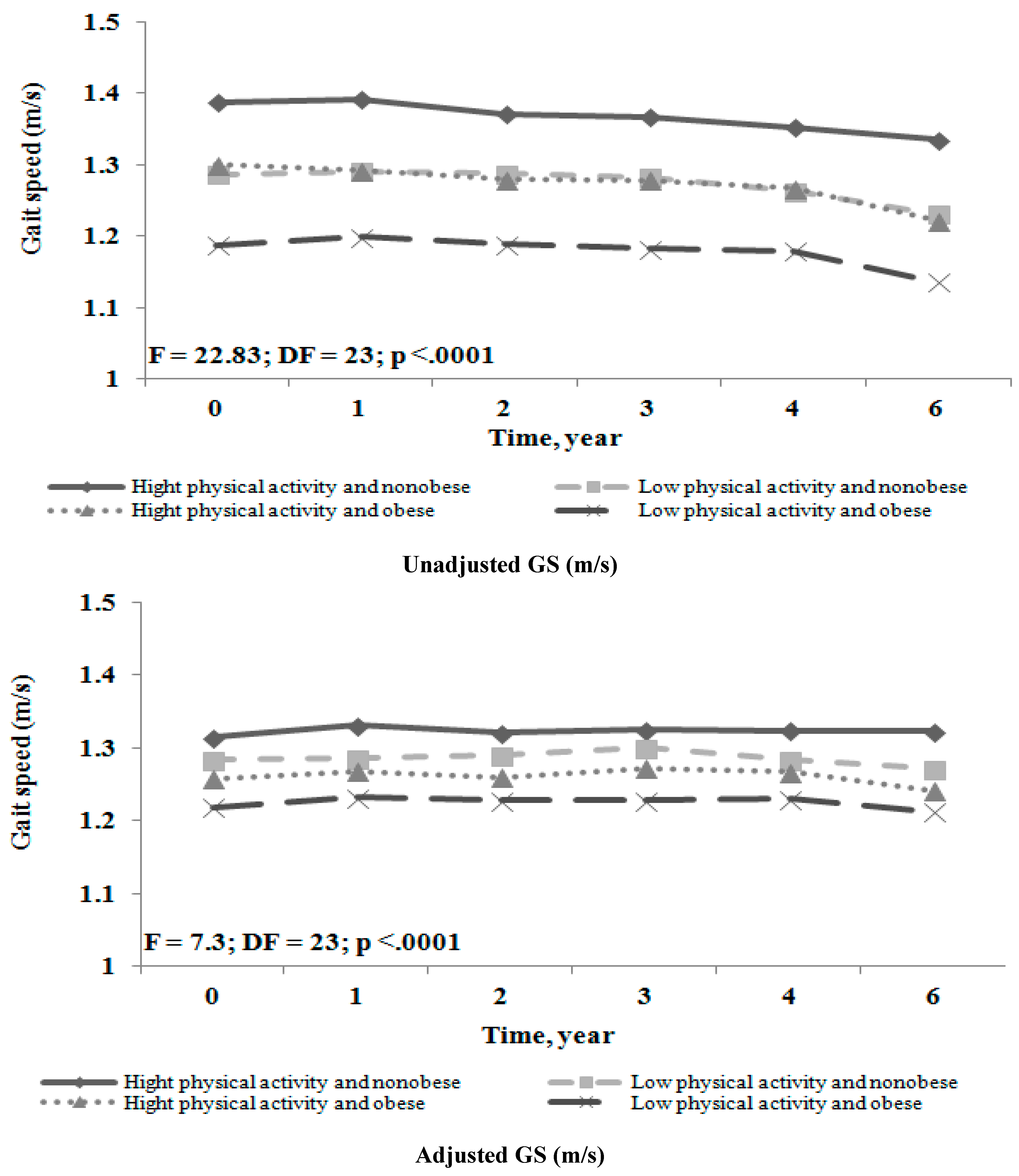
3. Results
| Characteristics, N (%) | ALL N = 1788 | High Physical Activity and Non-obese N = 537 | Low Physical Activity and Non-obese N = 507 | High Physical Activity and Obese N = 340 | Low Physical Activity and Obese N = 404 | p Value | ||||
|---|---|---|---|---|---|---|---|---|---|---|
| Females | 1,034 (57.83) | 283 (27.37) | 294(28.43) | 188 (18.18) | 269 (26.02) | 0.0002 | ||||
| White or Caucasian | 1,254 (70.13) | 436 (34.77) | 383 (30.54) | 213 (16.99) | 222 (17.70) | <0.0001 | ||||
| High school graduates or less | 474 (57.18) | 161 (33.97) | 138 (29.11) | 91 (19.20) | 84 (17.72) | <0.0001 | ||||
| Married | 1,110 (62.08) | 360 (32.43) | 321 (28.92) | 205 (18.47) | 224 (20.18) | 0.003 | ||||
| Annual income (<$50,000) | 732 (40.94) | 179 (24.45) | 206 (28.14) | 120 (16.39) | 227 (31.01) | <0.0001 | ||||
| Depressive symptoms (yes) | 245 (13.70) | 37 (15.10) | 88 (35.92) | 49 (20.00) | 71 (28.98) | <0.0001 | ||||
| Characteristics, mean ± SD | ||||||||||
| Age (yrs) | 60.2 ± 8.7 | 58.9 ± 8.8 | 63.6 ± 9.4 | 56.5 ± 7.5 | 61.6 ± 8.9 | <0.0001 | ||||
| Comorbidity | 0.47 ± 0.9 | 0.31± 0.8 | 0.44 ± 0.8 | 0.45 ± 0.8 | 0.70 ± 1.2 | <0.0001 | ||||
| Gait Speed (meter/second) | 1.27 ± 0.2 | 1.38 ± 0.2 | 1.27 ± 0.2 | 1.28 ± 0.2 | 1.17 ± 0.2 | <0.0001 | ||||
| BMI (kilogram/ meter square) | 30.0 ± 2.9 | 25.9 ± 2.5 | 26.0 ± 2.7 | 33.9 ± 3.2 | 34.0 ± 3.5 | <0.0001 | ||||
| Physical Composite Scale (PCS) | 45.4 ± 9.7 | 49.6 ± 8.4 | 45.5 ± 10.0 | 45.4 ± 9.2 | 41.0 ± 11.2 | <0.0001 | ||||
| Mental Composite Scale (MCS) | 52.7 ± 9.1 | 53.8 ± 7.6 | 52.3 ± 10.0 | 52.2 ± 8.9 | 52.6 ± 10.1 | 0.021 | ||||
| Physical Activity Scale for the Elderly (PASE) | 161.0 ± 49.2 | 227.8 ± 59.5 | 97.0 ± 35.2 | 232.9 ± 65.0 | 86.6 ± 37.1 | <0.0001 | ||||
| Predictor Variable | Model 1 | Model 2 | Model 3 | |||
|---|---|---|---|---|---|---|
| β | SE | β | SE | β | SE | |
| Intercept | 1.37 * | 0.0080 | 1.91 * | 0.033 | 1.49 * | 0.039 |
| Time | −0.00025 | 0.0008 | −0.0008 | 0.0008 | −0.0014 | 0.0008 |
| Low physical activity vs. high physical activity | −0.089 * | 0.011 | −0.038 ** | 0.010 | −0.035 ** | 0.009 |
| Obese vs. non-obese | −0.14 * | 0.010 | −0.097 * | 0.0095 | −0.078 * | 0.009 |
| High physical activity and non-obese by time | ||||||
| Low physical activity | −0.0010 | 0.0012 | −0.0012 | 0.0011 | −0.0003 | 0.0011 |
| Obese | −0.00076 | 0.0010 | −0.0008 | 0.0010 | −0.0002 | 0.0010 |
| Predictor variables | Model 1 | Model 2 | Model 3 | ||||
|---|---|---|---|---|---|---|---|
| β | SE | β | SE | β | SE | ||
| Four groups based on high or low PA levels and obesity status | |||||||
| Intercept | 1.37 * | 0.0080 | 1.89 * | 0.033 | 1.48 * | 0.038 | |
| Time | −0.0003 | 0.0008 | −0.0007 | 0.0008 | −0.0014 | 0.0008 | |
| 1. High physical activity and non-obese | Reference | Reference | Reference | ||||
| 2. Low physical activity and non-obese | −0.089 * | 0.011 | −0.039 ** | 0.0099 | −0.037 ** | 0.0099 | |
| 3. High physical activity and obese | −0.093 * | 0.012 | −0.078 * | 0.011 | −0.061 * | 0.011 | |
| 4. Low physical activity and obese | −0.18 * | 0.012 | −0.11 * | 0.011 | −0.095 * | 0.011 | |
| Four groups by time | |||||||
| 1. High physical activity and non-obese | Reference | Reference | Reference | Reference | Reference | Reference | |
| 2. Low physical activity and non-obese | −0.001 | 0.0012 | −0.0012 | −0.001 | 0.0012 | −0.0012 | |
| 3. High physical activity and obese | −0.0028 | 0.0013 | −0.00026 | −0.0028 | 0.0013 | −0.00026 | |
| 4. Low physical activity and obese | −0.0016 | 0.0012 | −0.0012 | −0.0016 | 0.0012 | −0.0012 | |

4. Discussion
5. Conclusions
Acknowledgements
Author Contributions
Conflicts of Interest
References
- Watanabe, H.; Urabe, K.; Takahira, N.; Ikeda, N.; Fujita, M.; Obara, S.; Hendona, T.; Aikawa, J.; Itoman, M. Quality of life, knee function, and physical activity in Japanese elderly women with early-stage knee osteoarthritis. J. Orthop. Surg. (Hong Kong) 2010, 18, 31–34. [Google Scholar]
- Shih, M.; Hootman, J.M.; Kruger, J.; Helmick, C.G. Physical activity in men and women with arthritis National Health Interview Survey, 2002. Amer. J. Prev Med. 2006, 30, 385–393. [Google Scholar] [CrossRef]
- Colbert, C.J.; Song, J.; Dunlop, D.; Chmiel, J.S.; Hayes, K.W.; Cahue, S.; Moisio, K.C.; Chang, A.H.; Sharma, L. Knee confidence as it relates to physical function outcome in persons with or at high risk of knee osteoarthritis in the osteoarthritis initiative. Arthritis Rheum 2012, 64, 1437–1446. [Google Scholar] [CrossRef] [PubMed]
- Bennett, D.; Humphreys, L.; O’Brien, S.; Kelly, C.; Orr, J.F.; Beverland, D.E. Gait kinematics of age-stratified hip replacement patients—A large scale, long-term follow-up study. Gait Posture 2008, 28, 194–200. [Google Scholar] [CrossRef] [PubMed]
- White, D.K.; Tudor-Locke, C.; Felson, D.T.; Gross, K.D.; Niu, J.; Nevitt, M.; Lewis, C.E.; Torner, J.; Neogi, T. Walking to meet physical activity guidelines in knee osteoarthritis: Is 10,000 steps enough? Arch. Phys. Med. Rehabil. 2013, 94, 711–717. [Google Scholar] [CrossRef] [PubMed]
- World Health Organzation. Global Recommendations on Physical Activity for Health. Available online: http://whqlibdoc.who.int/publications/2010/9789241599979_eng.pdf (accessed on 5 January 2015).
- Center for Disease Control and Prevention. Facts about Physical Activity. Available online: http://www.cdc.gov/physicalactivity/data/facts.html (accessed on 5 January 2015).
- Center for Disease Control and Prevention. Behavioral Risk Factor Surveillance System Prevalence and Trends Data for Exercise. 2012. Available online: http://apps.nccd.cdc.gov/brfss/list.asp?cat=EX&yr=2012&qkey=8041&state=All (accessed on 5 January 2015). [Google Scholar]
- David, Chenoweth; Leutzinger, J. The economic cost of physical inactivity and excess weight in American adults. J. Phys. Act. Health 2006, 3, 148–163. [Google Scholar]
- Sonestedt, E.; Roos, C.; Gullberg, B.; Ericson, U.; Wirfalt, E.; Orho-Melander, M. Fat and carbohydrate intake modify the association between genetic variation in the FTO genotype and obesity. Amer. J. Clin. Nutr. 2009, 90, 1418–1425. [Google Scholar] [CrossRef] [PubMed]
- Ko, S.; Stenholm, S.; Ferrucci, L. Characteristic gait patterns in older adults with obesity—Results from the Baltimore Longitudinal Study of Aging. J. Biomech. 2010, 43, 1104–1110. [Google Scholar] [CrossRef] [PubMed]
- Ogden, C.L.; Carroll, M.D.; Kit, B.K.; Flegal, K.M. Prevalence of childhood and adult obesity in the United States, 2011–2012. JAMA 2014, 311, 806–814. [Google Scholar] [CrossRef] [PubMed]
- Ling, C.; Kelechi, T.; Mueller, M.; Brotherton, S.; Smith, S. Gait and Function in Class III Obesity. J. Obes. 2012. [Google Scholar] [CrossRef]
- Brostrom, E.W.; Esbjornsson, A.C.; von Heideken, J.; Iversen, M.D. Gait deviations in individuals with inflammatory joint diseases and osteoarthritis and the usage of three-dimensional gait analysis. Best Pract. Res. Clin. Rheumatol. 2012, 26, 409–422. [Google Scholar] [CrossRef] [PubMed]
- Schrack, J.A.; Simonsick, E.M.; Chaves, P.H.; Ferrucci, L. The role of energetic cost in the age-related slowing of gait speed. J. Amer. Geriatr. Soc. 2012, 60, 1811–1816. [Google Scholar] [CrossRef]
- Abellan van Kan, G.; Rolland, Y.; Andrieu, S.; Bauer, J.; Beauchet, O.; Bonnefoy, M.; Cesari, M.; Donini, L.M.; Gillette Guyonnet, S.; Inzitari, M.; et al. Gait speed at usual pace as a predictor of adverse outcomes in community-dwelling older people an International Academy on Nutrition and Aging (IANA) Task Force. J. Nutr. Health Aging 2009, 13, 881–889. [Google Scholar] [CrossRef] [PubMed]
- Ruggero, C.R.; Bilton, T.L.; Teixeira, L.F.; Ramos Jde, L.; Alouche, S.R.; Dias, R.C.; Perracini, M.R. Gait speed correlates in a multiracial population of community-dwelling older adults living in Brazil: A cross-sectional population-based study. BMC Public Health 2013, 13. [Google Scholar] [CrossRef] [PubMed]
- Wennie Huang, W.N.; Perera, S.; VanSwearingen, J.; Studenski, S. Performance measures predict onset of activity of daily living difficulty in community-dwelling older adults. J. Amer. Geriatr. Soc. 2010, 58, 844–852. [Google Scholar] [CrossRef]
- Himann, J.E.; Cunningham, D.A.; Rechnitzer, P.A.; Paterson, D.H. Age-related changes in speed of walking. Med. Sci. Sports Exerc. 1988, 20, 161–166. [Google Scholar] [CrossRef] [PubMed]
- Zhang, W.; Nuki, G.; Moskowitz, R.W.; Abramson, S.; Altman, R.D.; Arden, N.K.; Bierma-Zeinstra, S.; Brandt, K.D.; Croft, P.; Doherty, M.; et al. OARSI recommendations for the management of hip and knee osteoarthritis: Part III: Changes in evidence following systematic cumulative update of research published through January 2009. Osteoarthr. Cartil. 2010, 18, 476–499. [Google Scholar] [CrossRef] [PubMed]
- University of California. The Osteoarthritis Initiative: Protocol for the Cohort Study. Available online: http://oai.epi-ucsf.org/datarelease/docs/StudyDesignProtocol.pdf (accessed on 5 January 2015).
- Creamer, P.; Lethbridge-Cejku, M.; Costa, P.; Tobin, J.D.; Herbst, J.H.; Hochberg, M.C. The relationship of anxiety and depression with self-reported knee pain in the community: Data from the Baltimore Longitudinal Study of Aging. Arthritis Care Res. 1999, 12, 3–7. [Google Scholar] [CrossRef] [PubMed]
- Blake, V.A.; Allegrante, J.P.; Robbins, L.; Mancuso, C.A.; Peterson, M.G.; Esdaile, J.M.; Paget, S.A.; Charlson, M.E. Racial differences in social network experience and perceptions of benefit of arthritis treatments among New York City medicare beneficiaries with self-reported hip and knee pain. Arthritis Rheum 2002, 47, 366–371. [Google Scholar] [CrossRef] [PubMed]
- Bolszak, S.; Casartelli, N.C.; Impellizzeri, F.M.; Maffiuletti, N.A. Validity and reproducibility of the Physical Activity Scale for the Elderly (PASE) questionnaire for the measurement of the physical activity level in patients after total knee arthroplasty. BMC Musculoskelet. Disord. 2014, 15. [Google Scholar] [CrossRef] [PubMed]
- Stehling, C.; Liebl, H.; Krug, R.; Lane, N.E.; Nevitt, M.C.; Lynch, J.; McCulloch, C.E.; Link, T.M. Patellar cartilage: T2 values and morphologic abnormalities at 3.0-T MR imaging in relation to physical activity in asymptomatic subjects from the osteoarthritis initiative. Radiology 2010, 254, 509–520. [Google Scholar] [CrossRef] [PubMed]
- Obesity: Preventing and Managing the Global Epidemic; World Health Organization: Geneva, Switzerland, 1998.
- Dunlop, D.D.; Song, J.; Semanik, P.A.; Sharma, L.; Chang, R.W. Physical activity levels and functional performance in the osteoarthritis initiative: A graded relationship. Arthritis Rheum 2011, 63, 127–136. [Google Scholar] [CrossRef] [PubMed]
- Mansournia, M.A.; Danaei, G.; Forouzanfar, M.H.; Mahmoodi, M.; Jamali, M.; Mansournia, N.; Mohammad, K. Effect of physical activity on functional performance and knee pain in patients with osteoarthritis: Analysis with marginal structural models. Epidemiology 2012, 23, 631–640. [Google Scholar] [CrossRef] [PubMed]
- Charlson, M.E.; Pompei, P.; Ales, K.L.; MacKenzie, C.R. A new method of classifying prognostic comorbidity in longitudinal studies: Development and validation. J. Chronic Dis. 1987, 40, 373–383. [Google Scholar] [CrossRef] [PubMed]
- Barlow, J.H.; Wright, C.C. Dimensions of the Center of Epidemiological Studies—Depression Scale for people with arthritis from the UK. Psychol. Rep. 1998, 83, 915–919. [Google Scholar] [CrossRef] [PubMed]
- Ware, J., Jr.; Kosinski, M.; Keller, S.D. A 12-item short-form health survey: Construction of scales and preliminary tests of reliability and validity. Med. Care 1996, 34, 220–233. [Google Scholar] [CrossRef] [PubMed]
- Zeger, S.L.; Liang, K.Y. Longitudinal data analysis for discrete and continuous outcomes. Biometrics 1986, 42, 121–130. [Google Scholar] [CrossRef] [PubMed]
- Cohen, J. A power primer. Psychol. Bull. 1992, 112, 155–159. [Google Scholar] [CrossRef] [PubMed]
- Selya, A.S.; Rose, J.S.; Dierker, L.C.; Hedeker, D.; Mermelstein, R.J. A practical guide to calculating Cohen’s f2, a measure of local effect size, from PROC MIXED. Front. Psychol. 2012, 3. [Google Scholar] [CrossRef]
- Studenski, S.; Perera, S.; Patel, K.; Rosano, C.; Faulkner, K.; Inzitari, M.; Brach, J.; Chandler, J.; Cawthon, P.; Connor, E.B.; et al. Gait speed and survival in older adults. JAMA 2011, 305, 50–58. [Google Scholar] [CrossRef] [PubMed]
- Bohannon, R.W.; Andrews, A.W.; Thomas, M.W. Walking speed: Reference values and correlates for older adults. J. Orthop. Sports Phys. Ther. 1996, 24, 86–90. [Google Scholar] [CrossRef] [PubMed]
- DePew, Z.S.; Karpman, C.; Novotny, P.J.; Benzo, R.P. Correlations between gait speed, 6-minute walk distance, physical activity, and self-efficacy in patients with severe chronic lung disease. Respir. Care 2013, 58, 2113–2119. [Google Scholar] [CrossRef] [PubMed]
- Xu, B.; Houston, D.K.; Gropper, S.S.; Zizza, C.A. Race/Ethnicity differences in the relationship between obesity and gait speed among older Americans. J. Nutr. Elder 2009, 28, 372–385. [Google Scholar] [CrossRef] [PubMed]
- Anderson, L.H.; Martinson, B.C.; Crain, A.L.; Pronk, N.P.; Whitebird, R.R.; O’Connor, P.J.; Fine, L.J. Health care charges associated with physical inactivity, overweight, and obesity. Prev. Chronic Dis. 2005, 2, A09. [Google Scholar] [PubMed]
- Warburton, D.E.; Glendhill, N.; Quinney, A. The effects of changes in musculoskeletal fitness on health. Can. J. Appl. Physiol. 2001, 26, 161–216. [Google Scholar] [CrossRef] [PubMed]
- Holden, M.A.; Nicholls, E.E.; Young, J.; Hay, E.M.; Foster, N.E. Exercise and physical activity in older adults with knee pain: A mixed methods study. Rheumatology (Oxford) 2014. [Google Scholar] [CrossRef]
- Washburn, R.A.; McAuley, E.; Katula, J.; Mihalko, S.L.; Boileau, R.A. The physical activity scale for the elderly (PASE): Evidence for validity. J. Clin. Epidemiol. 1999, 52, 643–651. [Google Scholar] [CrossRef] [PubMed]
- Martin, K.A.; Rejeski, W.J.; Miller, M.E.; James, M.K.; Ettinger, W.H., Jr.; Messier, S.P. Validation of the PASE in older adults with knee pain and physical disability. Med. Sci. Sports Exerc. 1999, 31, 627–633. [Google Scholar] [CrossRef] [PubMed]
- Littell, R.C. SAS for Mixed Models, 2nd ed.; SAS Institute, Inc.: Cary, NC, USA, 2006. [Google Scholar]
- Patetta, M. Longitudinal Data Analysis with Discrete and Continuous Responses: Course Notes; SAS Institute Inc.: Cary, NC, USA, 2002. [Google Scholar]
- Tager, I.B.; Haight, T.; Sternfeld, B.; Yu, Z.; van Der Laan, M. Effects of physical activity and body composition on functional limitation in the elderly: Application of the marginal structural model. Epidemiology 2004, 15, 479–493. [Google Scholar] [CrossRef] [PubMed]
- Guralnik, J.M.; LaCroix, A.Z.; Abbott, R.D.; Berkman, L.F.; Satterfield, S.; Evans, D.A.; Wallace, R.B. Maintaining mobility in late life. I. Demographic characteristics and chronic conditions. Amer. J. Epidemiol. 1993, 137, 845–857. [Google Scholar]
- Simonsick, E.M.; Guralnik, J.M.; Volpato, S.; Balfour, J.; Fried, L.P. Just get out the door! Importance of walking outside the home for maintaining mobility: Findings from the women’s health and aging study. J. Amer. Geriatr. Soc. 2005, 53, 198–203. [Google Scholar] [CrossRef]
© 2015 by the authors; licensee MDPI, Basel, Switzerland. This article is an open access article distributed under the terms and conditions of the Creative Commons Attribution license (http://creativecommons.org/licenses/by/4.0/).
Share and Cite
Bindawas, S.M.; Vennu, V. Longitudinal Effects of Physical Inactivity and Obesity on Gait Speed in Older Adults with Frequent Knee Pain: Data from the Osteoarthritis Initiative. Int. J. Environ. Res. Public Health 2015, 12, 1849-1863. https://doi.org/10.3390/ijerph120201849
Bindawas SM, Vennu V. Longitudinal Effects of Physical Inactivity and Obesity on Gait Speed in Older Adults with Frequent Knee Pain: Data from the Osteoarthritis Initiative. International Journal of Environmental Research and Public Health. 2015; 12(2):1849-1863. https://doi.org/10.3390/ijerph120201849
Chicago/Turabian StyleBindawas, Saad M., and Vishal Vennu. 2015. "Longitudinal Effects of Physical Inactivity and Obesity on Gait Speed in Older Adults with Frequent Knee Pain: Data from the Osteoarthritis Initiative" International Journal of Environmental Research and Public Health 12, no. 2: 1849-1863. https://doi.org/10.3390/ijerph120201849
APA StyleBindawas, S. M., & Vennu, V. (2015). Longitudinal Effects of Physical Inactivity and Obesity on Gait Speed in Older Adults with Frequent Knee Pain: Data from the Osteoarthritis Initiative. International Journal of Environmental Research and Public Health, 12(2), 1849-1863. https://doi.org/10.3390/ijerph120201849

