Next Article in Journal
Two New Succinimide Derivatives Cladosporitins A and B from the Mangrove-derived Fungus Cladosporium sp. HNWSW-1
Next Article in Special Issue
Structural Revision of Wentiquinone C and Related Congeners from Anthraquinones to Xanthones Using Chemical Derivatization and NMR Analysis
Previous Article in Journal
Spinochrome D Attenuates Doxorubicin-Induced Cardiomyocyte Death via Improving Glutathione Metabolism and Attenuating Oxidative Stress
Previous Article in Special Issue
Preparation of the Sodium Alginate-g-(Polyacrylic Acid-co-Allyltrimethylammonium Chloride) Polyampholytic Superabsorbent Polymer and Its Dye Adsorption Property
 
 
Font Type:
Arial Georgia Verdana
Font Size:
Aa Aa Aa
Line Spacing:
Column Width:
Background:
Article

Asymmetric Synthesis and Cytotoxicity Evaluation of Right-Half Models of Antitumor Renieramycin Marine Natural Products

by
Takehiro Matsubara
,
Masashi Yokoya
*,
Natchanun Sirimangkalakitti
and
Naoki Saito
*
Graduate School of Pharmaceutical Sciences, Meiji Pharmaceutical University, 2-522-1 Noshio, Kiyose, Tokyo 204-8588, Japan
*
Authors to whom correspondence should be addressed.
Mar. Drugs 2019, 17(1), 3; https://doi.org/10.3390/md17010003
Submission received: 4 December 2018 / Revised: 17 December 2018 / Accepted: 17 December 2018 / Published: 20 December 2018
(This article belongs to the Special Issue Chemical Modification of Marine Natural Products)

Abstract

A general protocol for the asymmetric synthesis of 3-N-arylmethylated right-half model compounds of renieramycins was developed, which enabled structure–activity relationship (SAR) study of several 3-N-arylmethyl derivatives. The most active compound (6a) showed significant cytotoxic activity against human prostate cancer DU145 and colorectal cancer HCT116 cell lines (IC50 = 11.9, and 12.5 nM, respectively).

1. Introduction

Natural products belonging to the bis-1,2,3,4-tetrahydroisoquinoline family, such as renieramycins, saframycins, and ecteinascidins, have attracted considerable attention due to their potent biological activities, structural diversity, and meager availability in nature (Figure 1) [1]. We have discovered a number of renieramycin marine natural products having extraordinary structures from blue sponges collected in Thailand and the Philippines [2,3,4]. For example, renieramycin M (1m) isolated from the Thai blue sponge Xestospongia sp. has p-quinones in both terminal rings [2]. In contrast, renieramycins T (1t) and U (1u) share a common A-ring with ecteinascidin 743 (ET-743, 2), which has already been approved as an anticancer agent [3]. In addition, the A-ring of renieramycin Y (1y) has the same substituent pattern as the E-ring of 2 [4]. These renieramycins have similar structures to 2 and are expected to have similar potent antitumor activity. However, the amount obtainable from nature is scarce, and this has set back the implementation of detailed biological tests.
Under these circumstances, we have been developing a total synthesis of these fascinating marine natural products. We have succeeded in the total syntheses of renieramycins G–I, cribrostatin 4, and renieramycin T [5,6,7,8]. However, the long and tedious procedures for the total synthesis of these natural products have impeded detailed structure–activity relationship (SAR) studies.

2. Results

We have been trying to simplify the structures of renieramycins without impairing their biological activities. Several right-hand (CDE-ring system) and left-hand (ABC-ring system) model compounds were prepared, and their in vitro cytotoxic activities against human cancer cell lines were tested [9,10]. These efforts have yielded CDE-ring model compounds (±)-3 to (±)-6a (Figure 2), and the presence of amino nitriles was found to induce at nanomolar concentrations (Table 1) [9]. 3-N-benzyl derivative (±)-6a exhibited approximately five and nine times more potent cytotoxic activity against HCT116 and QG56, respectively, than 3-N-methylated derivative (±)-5, indicating the importance of the substituent at 3-nitrogen.
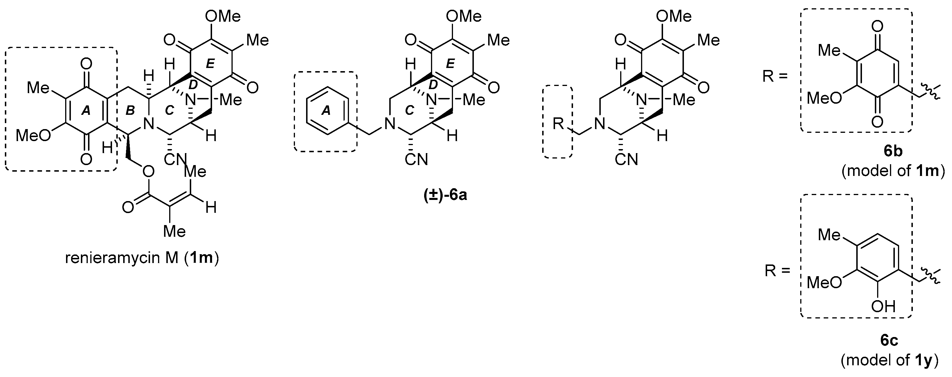
From the structure comparison of (±)-6a and 1m, we expected that 3-N-Bn would correspond to the A-ring of 1m. Thus, 6b having an arylmethyl group whose substituent pattern was similar to the A-ring of 1m, and 6c having the same A-ring as 1y were set as the new target molecules (Figure 3).
A summary of our previously reported synthesis of racemic 6a is shown in Scheme 1 [9,11]. Conversion of 1,2,4-Trimethoxybenzene (7) into piperadine-2-5-dione derivative 8 took seven steps, and treatment of 8 with NaH and BnBr gave N-benzyl compound 9. Racemic compound 6a was prepared from 9 in ten steps. As the 3-N-arylmethyl group was critical to generate strong antitumor activity, derivatives with different 3-N-arylmethyl groups were prepared in subsequent steps. In addition, it is very interesting to compare the biological activities of the racemic form and the optically active form [12]. Thus, in order to facilitate the synthesis of structural analogs, a new asymmetric synthetic route for preparing the 3-N-arylmethyl group in the later steps should be developed.
An outline of an alternative synthetic strategy to facilitate the asymmetric synthesis of various 3-N-arylmethyl derivatives is shown in Figure 4. We envisioned that the final step in the asymmetric synthesis of 6 should involve a reductive cyanation of the lactam carbonyl followed by a two-step oxidation of the phenol into p-quinone from 10. An N-arylmethyl group, which would be important for the cytotoxic activity, should be installed on lactam 11. The C-ring formation proceeded automatically from the lactonization of the primary amine, which was generated by the deprotection of the N-Cbz protecting group of 12. The synthesis of 1,3-cis-1,2,3,4-tetrahydroisoquinoline 12 was accomplished via the regio- and diastereoselective Pictet–Spengler cyclization reaction of aminophenol (−)-13 with N-Cbz glyoxal 14 [13]. Starting material (−)-13 was easily prepared from l-tyrosine according to Liu’s method [14].
Our synthesis began with the highly regio- and diastereoselective Pictet–Spengler cyclization reaction of aminophenol (−)-13 with N-protected glyoxal 14, which was prepared from commercially available 2-(Cbz-amino)-1-ethanol according to a previously reported oxidation reaction [13] (Scheme 2). This cyclization reaction of (−)-13 with 14 in CH2Cl2 and 2,2,2-trifluoroethanol at −40 °C for 5 h provided (1R,3S)-1,2,3,4-tetrahydroisoqunoline (−)-12 in 82% yield. The 1H-NMR spectrum of (−)-12 was complicated due to the presence of carbamate rotational isomers; thus, the structure determination of (−)-12 was completed after the transformation of (−)-12 into tricyclic compound (−)-16. 1,2,3,4-Tetrahydroisoquinoline (−)-12 was de-protected by catalytic hydrogenation to afford primary amine 15, which spontaneously intramolecularly cyclized to tricyclic compound (−)-16 in 84% yield. It was confirmed that (−)-12 obtained by the Pictet–Spengler reaction had the desired 1,3-cis configuration. Reductive amination of (−)-16 followed by N-methylation provided (−)-17 in 50% yield along with overreacted compound (−)-18 in 13% yield. Obtained side product (−)-18 was easily converted into (−)-17 in 82% yield by treatment with ammonia in methanol.
The alkylation of (−)-17 with benzyl bromide in the presence of 10 equivalents of sodium hydride afforded dibenzylated product (−)-19 in 97% yield (Scheme 3). The lactam carbonyl of (−)-19 was partially reduced with LiAlH2(OEt)2 [15] in tetrahydrofuran (THF) to generate the aminal, which was treated with KCN and water to provide α-aminonitrile (−)-20 in 74% yield as a single diastereomer. Chemoselective O-debenzylation was achieved with BCl3 in the presence of pentamethylbenzene to give desired phenol (−)-21 in 89% yield [16]. Finally, oxidation of (−)-21 with O2 in the presence of salcomine afforded chiral 3-N-benzylated CDE-ring model compound (−)-6a. (−)-6a was confirmed to have 99%ee by high performance liquid chromatography (HPLC) analysis, proving that the chiral center in l-tyrosine did not cause any racemization in this synthetic route.
With tricyclic chiral model (−)-6a in hand, 6d having an arylmethyl group with more electron-rich trimethoxy substituents was prepared (Scheme 4). The phenol of (−)-17 was selectively protected with 1.2 equivalents each of NaH and BnBr in N,N-dimethylformamide (DMF) to give (−)-11, which could be used to prepare several kinds of 3-N-alkylated compounds. The reaction of (−)-11 with substituted benzyl bromide 22, which was obtained by a reported method [17], produced 3-N-arylmethylated (−)-23 in 55% yield. The conversion (−)-23 into (−)-25 was carried out using a similar three-step sequence to that shown above, and salcomine oxidation of (−)-25 gave p-quinone (+)-6d in 79% yield.
The preparation of right-half model compounds 6b and 6c whose A-ring substitution patterns correspond to those of 1m and 1y, respectively, was carried out as follows (Scheme 5). Benzyl bromide 27 was prepared by the Appel reaction of corresponding alcohol 26 [18] in 99% yield. Alkylation of the lactam nitrogen of (−)-11 with 27 gave (−)-28 in 72% yield. Reductive cyanation of (−)-28 generated aminonitrile (−)-29 in 71% yield. Debenzylation of (−)-29 by using BCl3 gave a crude product that was expected to contain iminium by-products produced by the cyano group elimination. Thus, the crude product without further purification was treated with KCN to furnish desired phenol (−)-30 in 85% yield. Finally, bisphenol (−)-30 was oxidized with two equivalents of salcomine in oxygen atmosphere to give (−)-6b and (+)-6c in 43% and 31% yields, respectively. This oxidation could be controlled by adjusting the proportion of salcomine, as shown in Table 2.
Although the detailed molecular mechanism underlying the antitumor activities of renieramycin marine natural products were unclear, we had speculated that the cyano or hydroxyl substituent at C-21 position of renieramycin would be essential for the potent cytotoxic activity. Elimination of the functional group at C-21 produced an electrophilic iminium ion species that was implicated in the formation of covalent bonds with DNA [19]. In 2008, Avendaño and co-workers reported a series of 1,2,3,4-tetrahydroisoquinolines with antitumor activities that were attributed to both apoptosis in the G2/M checkpoint and cytostatic activity in the G1 phase [20]. In addition, we prepared a series of renieramycin left-half model compounds from phenylalanine derivatives, and re-confirmed the importance of the C-21 cyano group for favorable activity [10]. Four right-half chiral model compounds 6a6d and racemic 6a and 6b, including natural renieramycin M (1m) as positive control, were tested in vitro for cytotoxicity toward two representative human cancer cell lines (prostate cancer DU145 and colorectal cancer HCT116) using the CCK-8 assay (Table 3). Interestingly, the structure of the E-ring was found to be important for the enhanced biological activity. In order to examine the influence of the E-ring on the bioactivity, the IC50 values of three compounds (6a, 20, 21), in which the 3-N-Bn substituent and the C-4 cyano group were fixed, were compared. p-Quinone 6a was the most active, phenol 21 had comparable activity to 6a, and benzyl ether 20 showed markedly decreased activity. Then, the importance of the cyano group at C-4 position was also confirmed in the right-half models. A significant decrease in cytotoxic activity was observed when the lactam carbonyl at C-4 position was converted into an aminonitrile (i.e., conversion of 19 into 20, 23 into 24, and 28 into 29). However, it was interesting that 28 showed moderate activity even though C-4 had a lactam carbonyl.
Next, on comparing the IC50 values of 21, 25, and 30 having characteristic 3-N-arylmethyl groups, 30 was found to show the least potent activity, whereas 25 with a trimethoxy arylmethyl group exhibited more potent activity. In the case of 21, which has an unsubstituted arylmethyl group, very strong activity at nanomolar concentrations was observed. A similar tendency was also observed in the model compounds. Among compounds 6a, 6b, 6c, and 6d whose E-rings were a quinone, phenol 6c, which has a phenol in the A-ring exhibited the weakest activity, whereas 3-N-benzyl 6a showed the strongest activity.
Finally, the effect of optical activity on the biological activity was investigated. It was recently confirmed that optically active (−)-1m obtained from nature had approximately two to three times stronger activity than racemic (±)-1m [21]. Unlike 1m, the chirality of racemic 6a and 6b and their chiral counterparts had no effect on their cytotoxic activities. Worth noting was that 6a with p-quinone on the E-ring, a cyano group at C-4 position, and 3-N-benzyl was the most active compound against the two types of cancer cell lines, and had similar potency to natural 1m.

3. Experimental Section

3.1. Chemistry

IR spectra were obtained with a Shimadzu IRAffinity-1 FT-IR spectrometer (Shimadzu Corporation, Kyoto, Japan). Optical rotations were measured with Horiba SEPA-500 polarimeters (Horiba Ltd., Kyoto, Japan). 1H- and 13C-NMR spectra were recorded on a JEOL JNM-AL 400 NMR spectrometer (JEOL Ltd., Tokyo, Japan) at 400 MHz for 1H and 100 MHz for 13C; and a JEOL JNM-AL 300 NMR spectrometer at 300 MHz for 1H and 75 MHz for 13C (ppm, J in Hz with tetramethylsilane (TMS) as internal standard). All proton and carbon signals were assigned by extensive NMR measurements using correlation spectroscopy (COSY), Heteronuclear Multiple-Bond Correlation (HMBC), and Heteronuclear Multiple Quantum Correlation (HMQC) techniques. Mass spectra were recorded on a JEOL JMS 700 instrument (JEOL Ltd., Tokyo, Japan) with a direct inlet system operating at 70 eV.

3.1.1. Synthesis of 1,2,3,4-Tetrahydroisoquinoline-3-carboxylate (12)

To a stirred solution of aldehyde 14 (2.73 g, 14.1 mmol, 1.3 eq.) and 4 Å molecular sieves (2.60 g) in CH2Cl2 (70 mL), a solution of amine 13 (2.60 g, 10.9 mmol), acetic acid (160 µL) and 2,2,2-trifluoroethanol (10 mL) was added slowly over 6 min at −40 °C. After being stirred at −40 °C for 5 h, the reaction mixture was neutralized with NaHCO3, and then filtered through a Celite pad. The filtrate was concentrated under reduced pressure and the residue was purified by column chromatography (CHCl3–EtOAc = 2:1) to afford compound 12 (3.71 g, 82%) as a pale yellow amorphous. [α] D 24 −83.9 (c 1.1, CHCl3); 1H NMR (400 MHz, C5D5N, 80 °C) δ 10.30 (1H, brs, NH or OH), 7.46–7.25 (5H, m, Bn-H), 6.54 (1H, s, 5-H), 5.35–5.25 (2H, m, 5’-H), 4.90 (1H, br t, J = 3.2 Hz, 1-H), 4.31–4.27 (1H, m, Bn-H), 4.00–3.94 (1H, m, Bn-H), 3.79–3.75 (1H, m 3-H), 3.73 (3H, s, 7-OCH3), 3.70 (3H, s, 3-COOCH3), 3.02 (2H, brd, J = 6.4 Hz, 4-H), 2.30 (3H, s, 6-CH3); 13C-NMR (400 MHz, C5D5N, 80 °C) δ174.0 (s, COOCH3), 157.6 (s, C-3’), 148.2 (s, C-8), 145.9 (s, C-7), 138.3 (s, Bn), 132.2 (s, C-4a), 129.5 (s, C-6), 128.8 (d, Bn), 128.2 (d, Bn), 128.0 (d, Bn), 122.7 (s, C-8a), 121.9 (d, C-5), 66.4 (t, C-5’), 60.2 (q, 7-OCH3), 56.0 (d, C-3), 54.2 (d, C-1), 51.8 (q, 3-COOCH3), 46.8 (t, C-1’), 33.8 (t, C-4), 15.8 (q, 6-CH3); IR (CHCl3) 3520, 3437, 3024, 3015, 2955, 2359, 2342, 1717, 1506, 1456, 1233, 1059 cm−1; FABMS m/z 415 [M + H]+; HRFABMS m/z 415.1867 ([M + H]+, calcd for C22H27N2O6 415.1869).

3.1.2. Synthesis of (1R,5S)-10-Hydroxy-9-methoxy-8-methyl-2,3,5,6-tetrahydro-1,5-epiminobenzo[d]azocin-4(1H)-one (16)

A solution of 12 (2.96 g, 7.14 mmol) in EtOH (370 mL) was hydrogenated over 10% Pd/C (55%wet, 1.52 g, 1.43 mmol) at 25 °C for 5 h under 3.5 atm hydrogen. The catalyst was removed by filtration and the filtrate was concentrated under reduced pressure and the residue was purified by SiO2 flash column chromatography (CHCl3−MeOH = 9:1) to afford compound 16 (1.49 g, 84%) as a pale brown solid. [α] D 24 −177.0 (c 1.0, CHCl3); 1H-NMR (400 MHz, DMSO-d6) δ 8.80 (1H, brs, 10-OH), 7.39 (1H, d, J = 4.0 Hz, 3-N-H), 6.37 (1H, s, 7-H), 4.19 (1H, d, J = 4.4 Hz, 1-H), 3.60 (3H, s, 9-OCH3), 3.53 (1H, dd, J = 11.2, 4.4 Hz, 2-H), 3.49 (1H, d, J = 6.2 Hz, 5-H), 3.07 (1H, dd, J = 11.2, 4.0 Hz, 2-H), 2.86 (1H, dd, J = 16.5, 6.2 Hz, 6-H), 2.59 (1H, d, J = 16.5 Hz, 6-H), 2.13 (3H, s, 8-CH3); 13C-NMR (100 MHz, DMSO-d6) δ 171.4 (s, C-4), 145.7 (s, C-10), 143.7 (s, C-9), 129.7 (s, C-6a), 128.7 (s, C-8), 122.9 (s, C-10a), 120.6 (d, C-7), 59.9 (q, 9-OCH3), 52.4 (d, C-5), 47.5 (t, C-2), 43.7 (d, C-1), 32.0 (t, C-6), 15.5 (q, 8-CH3); IR (KBr) 3497, 3428, 3345, 3246, 1643, 1335, 1273, 1069, 1001 cm−1; EIMS m/z (%) 248 (M+, 24), 191 (17), 190 (100), 175 (16); HREIMS m/z 248.1162 (M+, calcd for C13H16N2O3 248.1161).

3.1.3. Synthesis of (1R,5S)-10-Hydroxy-9-methoxy-8,11-dimethyl-2,3,5,6-tetrahydro-1,5-epiminobenzo[d]azocin-4(1H)-one (17) and (1R,5S)-10-hydroxy-3-(hydroxymethyl)-9-methoxy-8,11-dimethyl-2,3,5,6-tetrahydro-1,5-epiminobenzo[d]azocin-4(1H)-one (18)

To a stirred solution of amine 16 (248 mg, 1.00 mmol) in CH3CN (34 mL) was added 37% HCHO (1.60 mL, 20.0 mmol, 20 eq.). The reaction mixture was stirred for 15 min, after which NaCNBH3 (700 mg, 10.0 mmol, 10 eq.) was added. The reaction mixture was stirred for 15 min, after which AcOH (570 µL, 10.0 mmol, 10 eq.) was added dropwise over 3 min. The reaction mixture was stirred for 5 min, after which 2 N HCl (34 mL) was added 1 portion. The reaction was heated to 60 °C and was stirred for 16 h. The reaction was quenched with saturated NaHCO3 (200 mL) and extracted with CHCl3−MeOH = 9:1 (3 × 150 mL). The combined extracts were washed with H2O (100 mL), brine (100 mL), dried over Na2SO4, and concentrated in vacuo to give a residue. The residue was purified by SiO2 flash column chromatography (benzene−acetone = 1:2) to afford compound 18 (39.0 mg, 13%) as a colorless solid, and with CHCl3−MeOH (6:1) to afford 17 (130 mg, 50%) as a colorless solid.
17: [α] D 24 −224.0 (c 1.0, CHCl3); 1H-NMR (400 MHz, CDCl3) δ 6.49 (1H, s, 7-H), 5.92 (1H, brs, 3-N-H), 4.17 (1H, d, J = 4.5 Hz, 1-H), 3.91 (1H, dd, J = 11.6, 4.5 Hz, 2-H), 3.77 (3H, s, 9-OCH3), 3.57 (1H, d, J = 6.6 Hz, 5-H), 3.30 (1H, ddd, J = 11.6, 3.8, 0.9, 2-H), 3.17 (1H, dd, J = 17.0, 6.6 Hz, 6-H), 2.79 (1H, d, J = 17.0 Hz, 6-H), 2.52 (3H, s, N-CH3), 2.25 (3H, s, 8-CH3); 13C-NMR (100 MHz, CDCl3) δ 172.3 (s, C-4), 145.5 (s, C-10), 143.3 (s, C-9), 129.3 (s, C-6a), 129.0 (s, C-8), 121.9 (d, C-7), 119.2 (s, C-10a), 60.8 (q, 9-OCH3), 59.2 (d, C-5), 50.0 (d, C-1), 45.3 (t, C-2), 40.1 (q, N-CH3), 27.8 (t, C-6), 15.8 (q, 8-CH3); IR (KBr) 3265, 2938, 2874, 1684, 1645, 1495, 1335, 1265, 1055, 1038 cm−1; EIMS m/z (%) 262 (M+, 20), 205 (17), 204 (100), 189 (16); HREIMS m/z 262.1317 (M+, calcd for C14H18N2O3 262.1317).
18: [α] D 24 −197.7 (c 1.0, CHCl3); 1H-NMR (400 MHz, CDCl3) δ 6.47 (1H, s, 7-H), 4.88 (1H, d, J = 10.4 Hz, 3-N-CH2OH), 4.56 (1H, d, J = 10.4 Hz, 3-N-CH2OH), 4.22 (1H, d, J = 4.6 Hz, 1-H), 4.08 (1H, dd, J = 11.5, 4.6 Hz, 2-H), 3.76 (3H, s, 9-OCH3), 3.61 (1H, d, J = 6.5 Hz, 5-H), 3.35 (1H, d, J = 11.5, 2-H), 3.15 (1H, dd, J = 17.0, 6.5 Hz, 6-H), 2.77 (1H, d, J = 17.0 Hz, 6-H), 2.49 (3H, s, 11-N-CH3), 2.25 (3H, s, 8-CH3); 13C-NMR (100 MHz, CDCl3) δ 172.1 (s, C-4), 145.6 (s, C-10), 143.4 (s, C-9), 129.4 (s, C-6a), 128.6 (s, C-8), 121.7 (d, C-7), 118.9 (s, C-10a), 71.6 (t, C-3), 60.7 (q, 9-OCH3), 59.1 (d, C-5), 50.7 (d, C-1), 50.0 (t, C-2), 39.8 (q, N-CH3), 27.1 (t, C-6), 15.7 (q, 8-CH3); IR (KBr) 3489, 3150, 2949, 2934, 1618, 1504, 1236, 1055, 1034 cm−1; EIMS m/z (%) 292 (M+, 3), 262 (17), 205 (18), 204 (100), 189 (16); HREIMS m/z 292.1424 (M+, calcd for C15H20N2O4 292.1423).

3.1.4. Synthesis of 17 from 18

To a stirred solution of lactam 18 (262 mg, 0.896 mmol) in MeOH (26 mL) was added NH4OH (10.5 mL) at room temperature (rt). The reaction mixture was stirred for 16 h. The reaction was quenched with conc. HCl at 0 °C, and then neutralized with 5% NaHCO3. The reaction mixture was diluted with H2O (200 mL) and extracted with CHCl3−MeOH = 9:1 (4×50 mL). The combined extracts were washed with brine (100 mL), dried over Na2SO4, and concentrated in vacuo to give a residue. The residue was purified by SiO2 flash column chromatography (CHCl3−MeOH = 9:1) to afford compound 17 (19.3 mg, 82%) as a colorless solid.

3.1.5. Synthesis of (1R,5S)-3-Benzyl-10-(benzyloxy)-9-methoxy-8,11-dimethyl-2,3,5,6-tetrahydro-1,5-epiminobenzo[d]azocin-4(1H)-one (19)

To a stirred solution of lactam 17 (10.0 mg, 38.0 µmol) and benzyl bromide (10.0 µL, 76.0 µmol, 2.0 eq.) in DMF (1 mL) was added NaH (60% oil dispersion, 15.2 mg, 381 µmol, 10.0 eq.) at 0 °C. The reaction mixture was stirred at 25 °C for 17 h. The reaction mixture was diluted with H2O (5 mL) and extracted with Et2O (3 × 10 mL). The combined extracts were dried over Na2SO4, and concentrated in vacuo to give a residue. The residue was purified by SiO2 flash column chromatography (CHCl3−MeOH = 99:1) to afford compound 19 (16.4 mg, 97%) as a yellow oil. [α] D 24 −77.5 (c 1.2, CHCl3); 1H-NMR (400 MHz, CDCl3) δ 7.34–7.22 (5H, m, 10-O-Bn-H), 7.13–7.04 (3H, m, 3-N-Bn-H), 6.75–6.73 (2H, m, 3-N-Bn-H), 6.75 (1H, s, 7-H), 4.98 (1H, d, J = 11.5 Hz, 10-OCH2Ph), 4.84 (1H, d, J = 15.1 Hz, 3-N-CH2Ph), 4.74 (1H, d, J = 11.5 Hz, 10-OCH2Ph), 4.10 (1H, d, J = 15.1 Hz, 3-N-CH2Ph), 3.89 (1H, brd, J = 4.4 Hz, 1-H), 3.68–3.65 (1H, m, 2-H), 3.68 (1H, d, J = 6.3 Hz, 5-H), 3.67 (3H, s, 9-OCH3), 3.16 (1H, dd, J = 17.1, 6.3 Hz, 6-H), 2.92 (1H, d, J = 11.7 Hz, 2-H), 2.86 (1H, d, J = 17.1 Hz, 6-H), 2.29 (3H, s, 11-N-CH3), 2.29 (3H, s, 8-CH3); 13C-NMR (100 MHz, CDCl3) δ 170.2 (s, C-4), 149.3 (s, C-9), 148.3 (s, C-10), 137.3 (s, Bn), 136.3 (s, Bn), 131.2 (d, C-8), 128.4 (d×2, Bn), 128.0 (d×2, Bn), 128.2 (s, C-6a), 127.1 (d, Bn), 126.8 (d, Bn), 126.0 (d, C-7), 125.6 (s, C-10a), 74.1 (t, 10-OCH2Ph), 59.9 (q, 9-OCH3), 59.3 (d, C-5), 51.5 (d, C-1), 50.5 (t, C-2), 48.5 (t, 3-N-CH2Ar), 39.7 (q, 11-N-CH3), 27.4 (t, C-6), 15.6 (q, 8-CH3); IR (CHCl3) 3009, 2940, 1636, 1493, 1454, 1337, 1059, 698 cm−1; EIMS m/z (%) 442 (M+, 30), 351 (10), 295 (23), 294 (100), 204 (30), 203 (37), 91 (11); HREIMS m/z 442.2254 (M+, calcd for C28H30N2O3 442.2256).

3.1.6. Synthesis of (1R,4R,5S)-3-Benzyl-10-(benzyloxy)-9-methoxy-8,11-dimethyl-1,2,3,4,5,6-hexahydro-1,5-epiminobenzo[d]azocine-4-carbonitrile (20)

To a solution of lactam 19 (45.7 mg, 103 µmol) in THF (2.5 mL) at 0 °C was slowly added LiAlH2(OEt)2 (1.0 mol/L in CH2Cl2, 1.20 mL, 1.20 mmol, 12 eq.) over 10 min. The reaction mixture was stirred at 0 °C for 3 h. The reaction mixture was quenched with AcOH (120 µL, 2.15 mmol, 20.8 eq.), followed by the addition of KCN (40.4 mg, 620 µmol, 6.0 eq.) in H2O (1.0 mL), and stirring was continued for 16 h at 25 °C. The reaction mixture was neutralized with 5% NaHCO3 solution and diluted with saturated Rochell’s salt aq., and the mixture was stirred for 1.5 h. The reaction mixture was extracted with CHCl3 (3 × 30 mL). The combined extracts were washed with brine (30 mL), dried over Na2SO4, and concentrated in vacuo to give a residue. The residue was purified by SiO2 flash column chromatography (n-Hex.−EtOAc = 4:1) to afford compound 20 (33.2 mg, 74%) as a colorless amorphous. [α] D 24 −48.4 (c 1.5, CHCl3); 1H-NMR (400 MHz, CDCl3) δ 7.36–7.25 (5H, m, 10-O-Bn-H), 7.17–7.14 (3H, m, 3-N-Bn-H), 6.90–6.88 (2H, m, 3-N-Bn-H), 6.69 (1H, s, 7-H), 5.04 (1H, d, J = 11.3 Hz, 10-OCH2Ph), 4.85 (1H, d, J = 11.3 Hz, 10-OCH2Ph), 3.91 (1H, brs, 1-H), 3.83 (3H, s, 9-OCH3), 3.65 (1H, s, 4-H), 3.52 (2H, s, 3-N-CH2Ph), 3.21 (1H, d, J = 7.6 Hz, 5-H), 3.02 (1H, dd, J = 17.6, 7.6 Hz, 6-H), 2.81 (1H, dd, J = 11.2, 3.0 Hz, 2-H), 2.51 (1H, brd, J = 11.2, Hz, 2-H), 2.35 (1H, d, J = 17.6 Hz, 6-H), 2.32 (3H, s, 8-CH3), 2.15 (3H, s, 11-N-CH3); 13C-NMR (100 MHz, CDCl3) δ 148.8 (s, C-9), 148.3 (s, C-10), 137.4 (s, Bn), 137.0 (s, Bn), 130.2 (s, C-6a), 130.0 (s, C-8), 128.4 (d×2, Bn), 128.3 (d, Bn), 128.1 (d×2, Bn), 127.2 (d, Bn), 126.5 (s, C-10a), 124.2 (d, C-7), 116.5 (s, 4-CN), 74.4 (t, 10-OCH2Ph), 60.0 (q, 9-OCH3), 59.1 (d, C-4), 58.9 (d, 3-N-CH2Ph), 55.4 (d, C-5), 53.4 (t, C-2), 52.8 (d, C-1), 41.2 (q, 11N-CH3), 25.0 (t, C-6), 15.8 (q, 8-CH3); IR (CHCl3) 3015, 2936, 2826, 2359, 2342, 2226, 1321, 1227, 1061, 1028, 700 cm−1; EI-MS m/z (%) 453 (M+, 2), 295 (27), 294 (100), 204 (21), 203 (20); HREIMS m/z 453.2416 (M+, calcd for C29H31N3O2 453.2416).

3.1.7. Synthesis of (1R,4R,5S)-3-Benzyl-10-hydroxy-9-methoxy-8,11-dimethyl-1,2,3,4,5,6-hexahydro-1,5-epiminobenzo[d]azocine-4-carbonitrile (21)

To a solution of 20 (20.0 mg, 44.1 μmol) and pentamethylbenzene (65.4 mg, 441 μmol, 10.0 eq.) in CH2Cl2 (6.0 mL) was added BCl3 (1.0 mol/L in CH2Cl2, 220 µL, 220 µmol, 5 eq.) at −78 °C and the mixture was stirred for 2 h. The reaction mixture was diluted with CH2Cl2 (5.0 mL) and quenched with saturated NaHCO3 solution at 0 °C. The mixture was extracted with CH2Cl2 (3 × 25 mL). The combined extracts were dried over Na2SO4 and concentrated in vacuo to give a residue. The residue was purified by SiO2 flash column chromatography (n-Hex.−EtOAc = 2:1) to afford compound 21 (14.3 mg, 89%) as a colorless amorphous. [α] D 24 −127.4 (c 1.5, CHCl3); 1H-NMR (400 MHz, CDCl3) δ 7.19–7.15 (3H, m, 3-N-Bn-H), 6.96–6.92 (2H, m, 3-N-Bn-H) 6.48 (1H, s, 7-H), 5.67 (1H, brs, 10-OH), 4.09 (1H, brs, 1-H), 3.78 (3H, s, 9-OCH3), 3.65 (1H, s, 4-H), 3.62 (1H, d, J = 7.8 Hz, 3-N-CH2Ph), 3.54 (1H, d, J = 7.8 Hz, 3-N-CH2Ph), 3.27 (1H, brd, J = 7.5 Hz, 5-H), 3.06 (1H, dd, J = 17.6, 7.5 Hz, 6-H), 2.96 (1H, dd, J = 11.2, 2.9 Hz, 2-H), 2.72 (1H, d, J = 11.2 Hz, 2-H), 2.38 (3H, s, 11-N-CH3), 2.31 (3H, s, 8-CH3), 2.38-2.17 (1H, m, overlapped, 6-H); 13C-NMR (100 MHz, CDCl3) δ 145.4 (s, C-10), 142.8 (s, C-9), 137.1 (s, Bn), 130.8 (s, C-6a), 128.4 (d, Bn), 128.3 (d, Bn), 128.3 (s, C-8), 127.3 (s, Bn), 120.4 (d, C-7), 119.4 (s, C-10a), 116.6 (4-CN), 60.8 (q, 9-OCH3), 59.0 (t, 3-N-CH2Ph), 58.6 (d, C-4), 55.4 (d, C-5), 53.0 (t, C-2), 52.5 (d, C-1), 41.5 (q, 11-N-CH3), 25.1 (t, C-6), 15.8 (q, 8-CH3); IR (CHCl3) 3534, 3019, 2928, 2359, 1454, 1418, 1227, 1059, 1026 cm−1; EIMS m/z (%) 363 (M+, 2), 205 (23), 204 (100), 189 (10); HREIMS m/z 363.1943 (M+, calcd for C22H25N3O2 363.1947).

3.1.8. Synthesis of (1R,4R,5S)-3-Benzyl-9-methoxy-8,11-dimethyl-7,10-dioxo-1,2,3,4,5,6,7,10-octahydro-1,5-epiminobenzo[d]azocine-4-carbonitrile (6a)

To a solution of phenol 21 (10.0 mg, 27.5 μmol) in THF (1 mL) was added salcomine (8.90 mg, 27.5 μmol, 1.0 eq.) at 25 °C, and the reaction mixture was stirred for 2.5 h under O2 atmosphere. The reaction mixture was filtered through a cellulose pad and washed with EtOAc. The filtrate was concentrated in vacuo to give a residue. The residue was purified by SiO2 flash column chromatography (CH2Cl2−MeOH = 99:1) to afford compound 6a (8.20 mg, 79%) as a dark red amorphous. 99%ee. The ee value was determined by HPLC analysis using CHIRALPAK IC [hexane/EtOH = 80/20, flow 1.0 mL/min, tr (minor) = 7.08 min, tr (major) = 7.77 min]; [α] D 27 −38.0 (c 0.3, CHCl3); 1H-NMR (300 MHz, CDCl3) δ 7.25–7.13 (5H, m, 3-N-Bn-H), 4.01 (3H, s, 9-OCH3), 3.87 (1H, brs, 1-H), 3.66 (1H, d, J = 13.2 Hz, 3-N-CH2Ph), 3.54 (1H, d, J = 13.2 Hz, 3-N-CH2Ph), 3.54 (1H, d, J = 2.0 Hz, 4-H), 3.27 (1H, brd, J = 7.4 Hz, 5-H), 2.95 (1H, dd, J = 11.6, 3.2 Hz, 2-H), 2.70 (1H, dd, J = 20.5, 7.4 Hz, 6-H), 2.58 (1H, d, J = 11.6 Hz, 2-H), 2.32 (3H, s, 11-N-CH3), 2.10 (1H, d, J = 20.5 Hz, 6-H), 2.01 (3H, s, 8-CH3); 13C-NMR (100 MHz, CDCl3) δ 186.9 (s, C-7), 182.3 (s, C-10), 155.4 (s, C-9), 141.0 (s, C-6a), 137.4 (C-10a), 136.2 (s, Bn), 128.7 (d, Bn), 128.6 (d, Bn), 128.6 (s, C-8), 127.9 (d, Bn), 115.8 (s, 4-CN), 61.0 (q, 9-OCH3), 58.9 (t, C-12), 57.7 (d, C-4), 54.5 (d, C-5), 51.7 (t, C-2), 51.3 (d, C-1), 41.5 (q, 11N-CH3), 20.8 (t, C-6), 8.7 (q, 8-CH3); IR (CHCl3) 3024, 2928, 2855, 2384, 2228, 1653, 1308, 1234, 1155, 1024 cm−1; EIMS m/z (%) 377 (M+, 12), 220 (18), 219 (100), 218 (99), 204 (29), 176 (13), 91 (21); HREIMS m/z 377.1737 (M+, calcd for C22H23N3O3 377.1739).

3.1.9. Synthesis of (1R,5S)-10-(Benzyloxy)-9-methoxy-8,11-dimethyl-2,3,5,6-tetrahydro-1,5-epiminobenzo[d]azocin-4(1H)-one (11)

To a solution of lactam 17 (3.17 g, 12.0 mmol) in DMF (250 mL) was slowly added NaH (60% oil dispersion, 580 mg, 15.0 mmol, 1.2 eq.) over 10 min at 0 °C. The reaction mixture was stirred for 30 min at 0 °C, after which BnBr (1.70 mL, 15.0 mmol, 1.2 eq.) was added dropwise over 25 min. The reaction mixture was stirred for 1 h at 25 °C. The reaction mixture was diluted with H2O (300 mL) and extracted with CHCl3 (3 × 200 mL). The combined extracts were washed with brine (200 mL), dried over Na2SO4, and concentrated in vacuo to give a residue. The residue was purified by SiO2 flash column chromatography (CHCl3−MeOH = 99:1) to afford compound 11 (3.81 g, 89%) as a colorless amorphous. [α] D 24 −108.2 (c 1.1, CHCl3); 1H-NMR (400 MHz, CDCl3) δ 7.41–7.31 (5H, m, 10-O-Bn-H), 6.70 (1H, s, 7-H), 6.18 (1H, brs, 3-N-H), 5.18 (1H, d, J = 11.6 Hz, 10-OCH2Ph), 5.08 (1H, d, J = 11.6 Hz, 10-OCH2Ph), 3.92 (1H, d, J = 4.7 Hz, 1-H), 3.82 (3H, s, 9-OCH3), 3.81 (1H, dd, J = 10.3, 4.7 Hz 2-H), 3.52 (1H, d, J = 6.6 Hz, 5-H), 3.17 (1H, ddd, J = 10.3, 3.9, 1.0 Hz, 2-H), 3.13 (1H, dd, J = 17.3, 6.6 Hz, 6-H), 2.76 (1H, d, J = 17.3 Hz, 6-H), 2.31 (3H, s, 11-N-CH3), 2.25 (3H, s, 8-CH3); 13C-NMR (100 MHz, CDCl3) δ 172.2 (s, C-4), 149.4 (s, C-9), 148.3 (s, C-10), 137.6 (s, C-1’), 131.5 (s, C-8), 128.6 (d, C-3’, C-5’), 128.4 (d, C-6a), 128.1 (d, C-4’), 128.0 (d, C-2’, C-6’), 126.2 (s, C-10a), 125.8 (d, C-7), 74.2 (t, 10-OCH2Ph), 60.1 (q, 9-OCH3), 59.0 (d, C-5), 50.5 (d, C-1), 46.3 (t, C-2), 39.8 (q, 11-N-CH3), 27.4 (t, C-6), 15.8 (q, 8-CH3); IR (KBr) 3169, 3028, 2936, 1678, 1337, 1310, 1055, 702 cm−1; EIMS m/z (%) 352 (M+, 38), 295 (23), 294 (100), 261 (14), 204 (46), 203 (61), 174 (10), 91 (11); HREIMS m/z 352.1785 (M+, calcd for C21H24N2O3 352.1787).

3.1.10. Synthesis of (1R,5S)-10-(Benzyloxy)-9-methoxy-8,11-dimethyl-3-(2,4,5-trimethoxy-3-methylbenzyl)-2,3,5,6-tetrahydro-1,5-epiminobenzo[d]azocin-4(1H)-one (23)

To a solution of NaH (60% oil dispersion, 80.3 mg, 2.00 mmol) in THF (10 mL) was added a solution of lactam 11 (705 mg, 2.00 mmol) in THF (10 mL) at 0 °C. The reaction mixture was stirred for 30 min at 0 °C, after which a solution of bromide 22 (550 mg, 2.00 mmol) in THF (10 mL) was added at 25 °C. The reaction mixture was stirred for 19 h at 25 °C. The reaction mixture was diluted with H2O (100 mL) and extracted with CHCl3 (3 × 100 mL). The combined extracts were washed with brine (150 mL), dried over Na2SO4, and concentrated in vacuo to give a residue. The residue was purified by SiO2 flash column chromatography (CHCl3−MeOH = 49:1) to afford compound 23 (602 mg, 55%) as a yellow gummy solid and starting material 11 (139 mg, 20% recovery). [α] D 27 −55.6 (c 1.1, CHCl3); 1H-NMR (400 MHz, CDCl3) δ 7.35–7.29 (3H, m, 10-O-Bn-H), 7.25–7.22 (2H, m, 10-O-Bn-H), 6.72 (1H, s, 7-H), 5.91 (1H, s, 6’-H), 5.06 (1H, d, J = 11.3 Hz, 10-OCH2Ph), 5.00 (1H, d, J = 15.1 Hz, 3-N-CH2Ar), 4.66 (1H, d, J = 11.3 Hz, 10-OCH2Ph), 4.14 (1H, d, J = 15.1 Hz, 3-N-CH2Ar), 3.93 (1H, brd, J = 4.8 Hz, 1-H), 3.71 (3H, s, 9-OCH3), 3.69-3.65 (2H, m, 2-H, 5-H), 3.67 (3H, s, 4’-OCH3), 3.57 (3H, s, 2’-OCH3), 3.35 (3H, s, 5’-OCH3), 3.18 (1H, dd, J = 17.2, 6.4 Hz, 6-H), 2.96 (1H, dd, J = 11.9 Hz, 2-H), 2.88 (1H, d, J = 17.2 Hz, 6-H), 2.32 (3H, s, 11-N-CH3), 2.25 (3H, s, 8-CH3), 2.13 (3H, s, 3’-CH3); 13C-NMR (100 MHz, CDCl3) δ 170.6 (s, C-4), 150.6 (s, C-2’), 149.4 (s, C-9), 149.4 (s, C-5’), 148.6 (s, C-10), 146.8 (s, C-4’), 137.3 (s, Bn), 131.4 (s, C-8), 128.5 (s, C-6a), 128.5 (d, Bn), 128.4 (d, Bn), 128.1 (d, Bn), 126.4 (s, C-10a), 125.4 (d, C-7), 125.1 (s, C-3’), 124.2 (s, C-1’), 107.8 (d, C-6’), 74.1 (t, 10-OCH2Ph), 60.9 (q, 2’-OCH3), 60.1 (q, 4’-OCH3), 59.9 (q, 9-OCH3), 59.3 (d, C-5), 55.1 (q, 5’-OCH3), 51.4 (d, C-1), 50.5 (t, C-2), 42.6 (t, 3-N-CH2Ar), 39.7 (q, 11-N-CH3), 27.5 (t, C-6), 15.7 (q, 8-CH3), 9.4 (q, 3’-CH3); IR (CHCl3) 3024, 2943, 2467, 1641, 1452, 1339, 1244, 1061 cm−1; EIMS m/z (%) 547 (11), 546 (M+, 32), 351 (11), 295 (25), 294 (100), 204 (27), 203 (21), 195 (18); HREIMS m/z 546.2731 (M+, calcd for C32H38N2O6 546.2730).

3.1.11. Synthesis of (1R,4R,5S)-10-(Benzyloxy)-9-methoxy-8,11-dimethyl-3-(2,4,5-trimethoxy-3-methylbenzyl)-1,2,3,4,5,6-hexahydro-1,5-epiminobenzo[d]azocine-4-carbonitrile (24)

To a solution of lactam 23 (50.0 mg, 92.0 µmol) in THF (3.0 mL) at 0 °C was slowly added LiAlH2(OEt)2 (1.0 mol/L in CH2Cl2, 1.10 mL, 1.10 mmol, 12 eq.) over 10 min. The reaction mixture was stirred at 0 °C for 3 h. The reaction mixture was quenched with AcOH (100 µL, 1.90 mmol, 20.8 eq.), followed by the addition of KCN (35.8 mg, 549 µmol, 6.0 eq.) in H2O (2.0 mL), and stirring was continued for 14 h at 25 °C. The reaction mixture was neutralized with 5% NaHCO3 solution and diluted with saturated Rochell’s salt aq., and the mixture was stirred for 1 h. The reaction mixture was extracted with CHCl3 (3 × 30 mL). The combined extracts were washed with brine (40 mL), dried over Na2SO4, and concentrated in vacuo to give a residue. The residue was purified by SiO2 flash column chromatography (n-Hex.−EtOAc = 2:1) to afford compound 24 (38.2 mg, 75%) as a colorless gummy solid. [α] D 27 −23.1 (c 1.3, CHCl3); 1H-NMR (400 MHz, CDCl3) δ 7.34–7.27 (5H, m, 10-O-Bn-H), 6.59 (1H, s, 7-H), 6.33 (1H, s, 6’-H), 5.07 (1H, d, J = 11.3 Hz, 10-OCH2Ph), 4.83 (1H, d, J = 11.3 Hz, 10-OCH2Ph), 3.93 (1H, brs, 1-H), 3.81 (3H, s, 9-OCH3), 3.76 (1H, brs, 4-H), 3.71 (3H, s, 4’-OCH3), 3.58 (1H, d, J = 13.5 Hz, 3-N-CH2Ar), 3.54 (3H, s, 5’-OCH3), 3.46 (1H, d, J = 13.5 Hz, 3-N-CH2Ar), 3.34 (3H, s, 2’-OCH3), 3.26 (1H, brd, J = 7.7 Hz, 5-H), 3.03 (1H, dd, J = 17.9, 7.7 Hz, 6-H), 2.84 (1H, dd, J = 10.4, 3.0 Hz, 2-H), 2.56 (1H, d, J = 10.4 Hz, 2-H), 2.35 (1H, d, J = 17.9 Hz, 6-H), 2.23 (3H, s, 8-CH3), 2.15 (3H, s, 11-N-CH3), 2.13 (3H, s, 3’-CH3); 13C-NMR (100 MHz, CDCl3) δ 150.9 (s, C-2’), 148.8 (s, C-9), 148.7 (s, C-5’), 148.2 (s, C-10), 146.8 (s, C-4’), 137.2 (s, Bn), 129.9 (s, C-6a), 129.8 (s, C-8), 128.3 (d, Bn), 128.2 (d, Bn), 127.9 (d, Bn), 126.7 (s, C-10a), 125.4 (s, C-3’), 124.4 (s, C-1’), 124.0 (d, C-7), 116.5 (s, 4-CN), 109.7 (d, C-6’), 74.2 (t, 10-OCH2Ph), 60.7 (q, 2’-OCH3), 59.9 (q, 4’-OCH3), 59.8 (q, 9-OCH3), 59.0 (d, C-4), 55.2 (d, C-5), 55.1 (q, 5’-OCH3), 53.7 (t, C-2), 53.1 (t, 3-N-CH2Ar), 52.6 (d, C-1), 41.0 (q, 11-N-CH3), 24.9 (t, C-6), 15.5 (q, 8-CH3), 9.2 (q, 3’-CH3); IR (CHCl3) 3015, 2938, 2226, 1485, 1321, 1227, 1088, 1011 cm−1; EIMS m/z (%) 557 (M+, 1), 295 (25), 294 (100), 204 (13), 203 (16); HREIMS m/z 557.2893 (M+, calcd for C33H39N3O5 557.2890).

3.1.12. Synthesis of (1R,4R,5S)-10-Hydroxy-9-methoxy-8,11-dimethyl-3-(2,4,5-trimethoxy-3-methylbenzyl)-1,2,3,4,5,6-hexahydro-1,5-epiminobenzo[d]azocine-4-carbonitrile (25)

To a solution of 24 (115 mg, 206 µmol) and pentamethylbenzene (306 mg, 2.06 mmol, 10 eq.) in CH2Cl2 (30 mL) was added BCl3 (1.0 mol/L in CH2Cl2, 1.00 mL, 1.00 mmol, 5 eq.) over 10 min at −78 °C and the mixture was stirred for 2 h. The reaction mixture was diluted with CH2Cl2 (20 mL) and quenched with saturated NaHCO3 solution at 0 °C. The mixture was extracted with CH2Cl2 (3 × 100 mL). The combined extracts were dried over Na2SO4 and concentrated in vacuo to give a residue. The residue was purified by SiO2 flash column chromatography (n-Hex.−EtOAc = 2:1) to afford compound 25 (80.7 mg, 84%) as a colorless amorphous. [α] D 26 −35.9 (c 0.9, CHCl3); 1H-NMR (400 MHz, CDCl3) δ 6.38 (1H, s, 6’-H), 6.37 (1H, s, 7-H), 5.75 (1H, brs, 10-OH), 4.10 (1H, brs, 1-H), 3.77 (1H, brs, 4-H), 3.76 (3H, s, 9-OCH3), 3.74 (3H, s, 4’-OCH3), 3.61 (1H, d, J = 13.5 Hz, 3-N-CH2Ar), 3.57 (3H, s, 5’-OCH3), 3.55 (1H, d, J = 13.5 Hz, 3-N-CH2Ar), 3.38 (3H, s, 2’-OCH3), 3.32 (1H, brd, J = 7.8 Hz, 5-H), 3.08 (1H, dd, J = 18.1, 7.8 Hz, 6-H), 2.99 (1H, dd, J = 11.0, 3.0 Hz, 2-H), 2.80 (1H, d, J = 11.0 Hz, 2-H), 2.38 (3H, s, 11N -CH3), 2.35 (1H, d, J = 18.1 Hz, 6-H), 2.22 (3H, s, 8-CH3), 2.13 (3H, s, 3’-CH3); 13C-NMR (100 MHz, CDCl3) δ 151.0 (s, C-2’), 148.9 (s, C-5’), 146.8 (s, C-4’), 145.5 (s, C-10), 142.8 (s, C-9), 130.5 (s, C-6a), 127.9 (s, C-8), 125.5 (s, C-3’), 124.5 (s, C-1’), 120.2 (d, C-7), 119.6 (s, C-10a), 116.7 (s, 4-CN), 109.7 (d, C-6’), 60.9 (q, 9-OCH3), 60.6 (q, 4’-OCH3), 60.1 (q, 2’-OCH3), 58.7 (d, C-4), 55.3 (q, 5’-OCH3), 55.3 (d, C-5), 53.4 (t, C-2), 53.3 (t, 3-N-CH2Ar), 52.4 (d, C-1), 41.4 (q, 11-N-CH3), 25.0 (t, C-6), 15.5 (q, 8-CH3), 9.3 (q, 3’-CH3); IR (CHCl3) 3534, 3015, 2940, 2226, 1487, 1331, 1227, 1088, 1011 cm−1; EIMS m/z (%) 467 (M+, 1), 441 (13), 440 (48), 247 (16), 246 (12), 245 (57), 205 (19), 204 (100), 195 (20); HREIMS m/z 467.2421 (M+, calcd for C26H33N3O5 467.2420).

3.1.13. Synthesis of (1R,4R,5S)-9-Methoxy-8,11-dimethyl-7,10-dioxo-3-(2,4,5-trimethoxy-3-methylbenzyl)-1,2,3,4,5,6,7,10-octahydro-1,5-epiminobenzo[d]azocine-4-carbonitrile (6d)

To a solution of phenol 25 (16.6 mg, 35.5 µmol) in THF (1 mL) was added salcomine (11.5 mg, 35.5 µmol, 1.0 eq.) at 25 °C, and the reaction mixture was stirred for 3 h under O2 atmosphere. The reaction mixture was filtered through a cellulose pad and washed with EtOAc. The filtrate was concentrated in vacuo to give a residue. The residue was purified by SiO2 flash column chromatography (n-Hex.−EtOAc = 1:1) to afford compound 6d (13.5 mg, 79%) as a yellow amorphous. [α] D 27 +104.7 (c 0.5, CHCl3); 1H-NMR (400 MHz, CDCl3); δ 6.52 (1H, s, 6’-H), 4.01 (3H, s, 9-OCH3), 3.88 (1H, brs, 1-H), 3.76 (3H, s, 4’-OCH3), 3.69 (1H, brs, 4-H), 3.66 (3H, s, 5’-OCH3), 3.61 (2H, s, 3-N-CH2Ar), 3.56 (3H, s, 2’-OCH3), 3.31 (1H, brd, J = 7.3 Hz, 5-H), 3.00 (1H, dd, J = 11.3, 3.2 Hz, 2-H), 2.69 (1H, dd, J = 20.7, 7.3 Hz, 6-H), 2.62 (1H, d, J = 11.3 Hz, 2-H), 2.35 (3H, s, 11-N-CH3), 2.16 (1H, d, J = 20.7 Hz, 6-H), 2.15 (3H, s, 3’-CH3), 1.94 (3H, s, 8-CH3); 13C-NMR (100 MHz, CDCl3) δ 186.8 (s, C-7), 182.2 (s, C-10), 155.4 (s, C-9), 151.4 (s, C-2’), 149.2 (s, C-5’), 147.5 (s, C-4’), 140.9 (s, C-6a), 137.6 (s, C-10a), 128.3 (s, C-8), 126.0 (s, C-3’), 123.8 (s, C-1’), 116.1 (s, 4-CN), 109.9 (d, C-6’), 61.1 (q, 2’-OCH3), 61.0 (q, 9-OCH3), 60.2 (q, 4’-OCH3), 57.9 (d, C-4), 55.7 (q, 5’-OCH3), 54.5 (d, C-5), 53.2 (t, 3-N-CH2Ar), 51.9 (t, C-2), 51.4 (d, C-1), 41.5 (q, 11-N-CH3), 20.8 (t, C-6), 9.5 (q, 3’-CH3), 8.6 (q, 8-CH3); IR (CHCl3) 3015, 2941, 2228, 1653, 1308, 1236, 1088, 1009 cm−1; EI-MS m/z (%) 481 (M+, 9), 220 (11), 219 (15), 218 (45), 196 (14), 195 (100); HREIMS m/z 481.2212 (M+, calcd for C26H31N3O6 481.2213).

3.1.14. Synthesis of 2-(Benzyloxy)-1-(bromomethyl)-3-methoxy-4-methylbenzene (27)

To a solution of alcohol 26 (100 mg, 387 µmol) in CH2Cl2 (2 mL) was added PPh3 (125 mg, 465 µmol, 1.2 eq.) and CBr4 (162 mg, 465 µmol, 1.2 eq.) at 25 °C, and the reaction mixture was stirred for 6.5 h. The reaction mixture was diluted with H2O (10 mL) and extracted with CHCl3 (3 × 10 mL). The combined extracts were washed with brine (10 mL), dried over Na2SO4, and concentrated in vacuo to give a residue. The residue was purified by SiO2 flash column chromatography (n-Hex.−EtOAc = 4:1) to afford compound 27 (123 mg, 99%) as a colorless oil. 1H-NMR (400 MHz, CDCl3) δ 7.54–7.31 (5H, m, Bn-H), 7.03 (1H, d, J = 7.8 Hz, 6-H), 6.93 (1H, d, J = 7.8 Hz, 5-H), 5.12 (2H, s, 2-OCH2Ph), 4.56 (2H, s, 1-CH2Br), 3.86 (3H, s, 3-OCH3), 2.30 (3H, s, 4-CH3); 13C-NMR (100 MHz, CDCl3) δ 151.7 (s, C-3), 150.1 (s, C-2), 137.4 (s, Bn), 133.6 (s, C-4), 129.9 (s, C-1), 128.5 (d, Bn), 128.4 (d, Bn), 128.2 (d, Bn), 126.1 (d, C-5), 125.2 (d, C-6), 75.2 (t, 2-OCH2Ph), 60.2 (q, 3-OCH3), 41.4 (t, 1-CH2Br), 15.9 (q, 4-CH3); IR (CHCl3) 3034, 3012, 2936, 1462, 1414, 1278, 1227, 1069 cm−1; EIMS m/z (%) : 322 (1), 320 (M+, 1), 241 (10), 151 (11), 150 (100), 149 (19), 91 (50); HREIMS m/z 320.0413 (M+, calcd for C16H17BrO2 320.0412).

3.1.15. Synthesis of (1R,5S)-10-(Benzyloxy)-3-(2-(benzyloxy)-3-methoxy-4-methylbenzyl)-9-methoxy-8,11-dimethyl-2,3,5,6-tetrahydro-1,5-epiminobenzo[d]azocin-4(1H)-one (28)

To a solution of NaH (60% oil dispersion, 5.70 mg, 142 µmol, 1.0 eq.) in THF (10 mL) was added a solution of lactam 11 (50.0 mg, 142 µmol) in THF (0.7 mL) at 0 °C. The reaction mixture was stirred for 30 min at 0 °C, after which a solution of bromide 27 (45.6 mg, 142 µmol, 1.0 eq.) in THF (0.7 mL) was added at 25 °C. The reaction mixture was stirred for 12 h at 25 °C. The reaction mixture was diluted with H2O (20 mL) and extracted with CHCl3 (3 × 20 mL). The combined extracts were washed with brine (40 mL), dried over Na2SO4, and concentrated in vacuo to give a residue. The residue was purified by SiO2 flash column chromatography (CHCl3−MeOH = 49:1) to afford compound 28 (60.8 mg, 72%) as a colorless oil. [α] D 26 −67.0 (c 2.2, CHCl3); 1H-NMR (400 MHz, CDCl3); δ 7.37–7.25 (10H, m, 10-O-Bn-H, 2’-O-Bn-H), 6.71 (1H, s, 7-H), 6.50 (1H, d, J = 7.8 Hz, 5’-H), 5.96 (1H, d, J = 7.8 Hz, 6’-H), 4.98 (1H, d, J = 11.4 Hz, 10-OCH2Ph), 4.88 (2H, s, 2’-OCH2Ph), 4.84 (1H, d, J = 11.4 Hz, 10-OCH2Ph), 4.76 (1H, d, J = 15.5 Hz, 3-N-CH2Ar), 4.12 (1H, d, J = 15.5 Hz, 3-N-CH2Ar), 3.90 (1H, brd, J = 4.6 Hz, 1-H), 3.76 (3H, s, 3’-OCH3), 3.72 (3H, s, 9-OCH3), 3.63 (1H, d, J = 6.2 Hz, 5-H), 3.59 (1H, dd, J = 11.8, 4.6 Hz, 2-H), 3.14 (1H, dd, J = 16.9, 6.2 Hz, 6-H), 2.87 (1H, d, J = 11.8 Hz, 2-H), 2.82 (1H, d, J = 16.9 Hz, 6-H), 2.31 (3H, s, 11-N-CH3), 2.28 (3H, s, 8-CH3), 2.17 (3H, s, 4’-CH3); 13C-NMR (100 MHz, CDCl3) δ 170.3 (s, C-4), 151.2 (s, C-3’), 149.8 (s, C-2’), 149.4 (s, C-9), 148.4 (s, C-10), 137.4 (s×2, Bn), 131.2 (s, C-8), 130.9 (s, C-4’), 128.6 (d, Bn), 128.4 (d×2, Bn), 128.4 (s, C-6a), 128.2 (d, Bn), 128.0 (d, Bn), 127.9 (d, Bn), 126.3 (s, C-10a), 125.7 (d, C-7), 125.7 (d, C-5’), 121.9 (d, C-6’), 74.6 (t, 2’-OCH2Ph), 74.1 (t, 10-OCH2Ph), 60.0 (q, 3’-OCH3), 59.9 (q, 9-OCH3), 59.4 (d, C-5), 51.5 (d, C-1), 50.7 (t, C-2), 43.2 (t, 3-N-CH2Ar), 39.7 (q, 11-N-CH3), 27.4 (t, C-6), 15.7 (q, 8-CH3), 15.6 (q, 4’-CH3); IR (CHCl3) 3013, 2938, 2467, 1641, 1449, 1337, 1273, 1061 cm−1; EIMS m/z (%) 593 (17), 592 (M+, 40), 295 (26), 294 (100), 204 (29), 203 (20), 91 (10); HREIMS m/z 592.2934 (M+, calcd for C37H40N2O5 592.2937).

3.1.16. Synthesis of (1R,4R,5S)-10-(Benzyloxy)-3-(2-(benzyloxy)-3-methoxy-4-methylbenzyl)-9-methoxy-8,11-dimethyl-1,2,3,4,5,6-hexahydro-1,5-epiminobenzo[d]azocine-4-carbonitrile (29)

To a solution of lactam 28 (85.6 mg, 144 µmol) in THF (4.5 mL) at 0 °C was slowly added LiAlH2(OEt)2 (1.0 mol/L in CH2Cl2, 1.70 mL, 1.70 mmol, 12 eq.) over 10 min. The reaction mixture was stirred at 0 °C for 3 h. The reaction mixture was quenched with AcOH (170 µL, 3.00 mmol, 20.8 eq.), followed by the addition of KCN (57.8 mg, 866 µmol, 6.0 eq.) in H2O (2.0 mL), and stirring was continued for 14 h at 25 °C. The reaction mixture was neutralized with 5% NaHCO3 solution and diluted with saturated Rochell’s salt aq., and the mixture was stirred for 1 h. The reaction mixture was extracted with CHCl3 (3 × 30 mL). The combined extracts were washed with brine (40 mL), dried over Na2SO4, and concentrated in vacuo to give a residue. The residue was purified by SiO2 flash column chromatography (n-Hex.−EtOAc = 2:1) to afford compound 29 (61.5 mg, 71%) as a colorless gummy solid. [α] D 27 −31.2 (c 0.8, CHCl3); 1H-NMR (400 MHz, CDCl3) δ 7.43–7.25 (10H, m, 10-O-Bn-H, 2’-O-Bn-H), 6.70 (1H, d, J = 7.8 Hz, 5’-H), 6.53 (1H, d, J = 7.8 Hz, 6’-H), 6.46 (1H, s, 7-H), 5.03 (1H, d, J = 11.2 Hz, 10-OCH2Ph), 4.72 (1H, d, J = 11.2 Hz, 10-OCH2Ph), 4.59 (1H, d, J = 10.6 Hz 2’-OCH2Ph), 4.54 (1H, d, J = 10.6 Hz 2’-OCH2Ph), 3.95 (1H, brs, 1-H), 3.71 (3H, s, 9-OCH3), 3.70 (1H, s, 4-H), 3.68 (3H, s, 3’-OCH3), 3.58 (1H, d, J = 13.1 Hz, 3-N-CH2Ar), 3.45 (1H, d, J = 13.1 Hz, 3-N-CH2Ar), 3.23 (1H, brd, J = 7.8 Hz, 5-H), 2.95 (1H, dd, J = 16.7, 7.8 Hz, 6-H), 2.79 (1H, dd, J = 11.0, 3.0 Hz, 2-H), 2.56 (1H, d, J = 11.0 Hz, 2-H), 2.27 (1H, d, J = 16.7 Hz, 6-H), 2.20 (3H, s, 4’-CH3), 2.14 (3H, s, 11-N-CH3), 2.12 (3H, s, 8-CH3); 13C-NMR (100 MHz, CDCl3) δ 151.8 (s, C-3’), 150.6 (s, C-2’), 148.9 (s, C-9), 148.4 (s, C-10), 137.9 (s, Bn), 137.5 (s, Bn), 131.8 (s, C-4’), 130.1 (s, C-8), 129.9 (s, C-6a), 128.7 (s, C-1’), 128.5 (d, Bn), 128.3 (d, Bn), 128.2 (d, Bn), 128.1 (d, Bn), 127.9 (d, Bn), 127.7 (d, Bn), 126.5 (s, C-10a), 125.5 (d, C-5’), 124.9 (d, C-6’), 124.4 (d, C-7), 116.7 (s, 4-CN), 75.0 (t, 2’-OCH2Ph), 74.3 (t, 10-OCH2Ph), 60.1 (q, 3’-OCH3), 60.0 (q, 9-OCH3), 59.4 (d, C-4), 55.4 (d, C-5), 53.8 (t, 3-N-CH2Ar), 53.7 (t, C-2), 52.7 (d, C-1), 41.2 (q, 11-N-CH3), 25.0 (t, C-6), 15.7 (q, 8-CH3), 15.7 (q, 4’-CH3); IR (CHCl3) 3015, 2930, 2226, 1454, 1321, 1076, 1028, 700 cm−1; EI-MS m/z (%) 603 (M+, 1), 337 (11), 295 (24), 294 (100), 204 (13), 203 (18), 91 (14); HREIMS m/z 603.3099 (M+, calcd for C38H41N3O4 603.3097).

3.1.17. Synthesis of (1R,4R,5S)-10-Hydroxy-3-(2-hydroxy-3-methoxy-4-methylbenzyl)-9-methoxy-8,11-dimethyl-1,2,3,4,5,6-hexahydro-1,5-epiminobenzo[d]azocine-4-carbonitrile (30)

To a solution of 29 (47.8 mg, 79.2 µmol) and pentamethylbenzene (117 mg, 792 µmol, 10 eq.) in CH2Cl2 (13 mL) was added BCl3 (1.0 mol/L in CH2Cl2, 400 µL, 400 µmol, 5.0 eq.) over 17 min at −78 °C and the mixture was stirred for 2 h. The reaction mixture was diluted with CH2Cl2 (10 mL) and quenched with saturated NaHCO3 solution (20 mL) at 0 °C. The mixture was extracted with CH2Cl2 (3 × 20 mL). The combined extracts were dried over Na2SO4 and concentrated in vacuo to give a residue. To a solution of the obtained residue (168 mg) in THF (5 mL), AcOH (100 µL, 1.66 mmol, 21 eq.) was added. The reaction mixture was stirred for 5 min, after which KCN (31.0 mg, 475 µmol, 6 eq.) in H2O (5.0 mL) was added. The reaction mixture was stirred for 1 h at 25 °C. The reaction mixture was neutralized with 5% NaHCO3 and diluted with saturated Rochell’s salt aq., and the mixture was stirred for 1 h. The reaction mixture was extracted with CHCl3 (3 × 20 mL). The combined extracts were washed with brine (50 mL), dried over Na2SO4, and concentrated in vacuo to give a residue. The residue was purified by SiO2 flash column chromatography (n-Hex.−EtOAc = 2:1) to afford compound 30 (28.5 mg, 85%) as a colorless gummy solid. [α] D 27 −46.5 (c 0.2, CHCl3); 1H-NMR (400 MHz, CDCl3) δ 7.53 (1H, brs, 2’-OH), 6.67 (1H, d, J = 7.8 Hz, 6’-H), 6.58 (1H, d, J = 7.8 Hz, 5’-H), 6.52 (1H, s, 7-H), 5.63 (1H, s, 10-OH), 4.16 (1H, brs, 1-H), 3.80 (1H, brs, 4-H), 3.78 (3H, s, 9-OCH3), 3.74 (1H, d, J = 13.7 Hz, 3-N-CH2Ar), 3.68 (1H, d, J = 13.7 Hz, 3-N-CH2Ar), 3.67 (3H, s, 3’-OCH3), 3.37 (1H, brd, J = 7.0 Hz, 5-H), 3.14 (1H, dd, J = 19.2, 7.0 Hz, 6-H), 3.01 (1H, dd, J = 10.8, 2.7 Hz, 2-H), 2.84 (1H, d, J = 10.8 Hz, 2-H), 2.44 (1H, d, J = 19.2 Hz, 6-H), 2.41 (3H, s, 11-N-CH3), 2.29 (3H, s, 8-CH3), 2.19 (3H, s, 4’-CH3); 13C-NMR (100 MHz, CDCl3) δ 149.3 (s, C-2’), 146.2 (s, C-3’), 145.4 (s, C-10), 143.3 (s, C-9), 132.0 (s, C-4’), 129.1 (s, C-8), 129.1 (s, C-6a), 123.9 (s, C-6’), 121.4 (d, C-7), 121.3 (d, C-5’), 118.8 (s, C-1’), 118.0 (s, C-10a), 115.3 (s, 4-CN), 60.8 (q, 9-OCH3), 59.6 (q, 3’-OCH3), 57.9 (d, C-4), 57.8 (t, 3-N-CH2Ar), 55.1 (d, C-5), 53.3 (t, C-2), 52.2 (d, C-1), 41.5 (q, 11-N-CH3), 24.7 (t, C-6), 15.9 (q, 8-CH3), 15.9 (q, 4’-CH3); IR (CHCl3) 3532, 3007, 2928, 2232, 1464, 1418, 1242, 1227, 1074 cm−1; FABMS m/z 424 [M + H]+; HRFABMS m/z 424.2234 ([M + H]+, calcd for C24H30N3O4 424.2236).

3.1.18. Synthesis of (1R,4R,5S)-9-Methoxy-3-((5-methoxy-4-methyl-3,6-dioxocyclohexa-1,4-dien-1-yl)methyl)-8,11-dimethyl-7,10-dioxo-1,2,3,4,5,6,7,10-octahydro-1,5-epiminobenzo[d]azocine-4-carbonitrile (6b) and (1R,4R,5S)-3-(2-hydroxy-3-methoxy-4-methylbenzyl)-9-methoxy-8,11-dimethyl-7,10-dioxo-1,2,3,4,5,6,7,10-octahydro-1,5-epiminobenzo[d]azocine-4-carbonitrile (6c)

To a solution of phenol 30 (17.3 mg, 40.8 µmol) in THF (1.5 mL) was added salcomine (27.6 mg, 81.6 µmol, 2.0 eq.) at rt, and the reaction mixture was stirred for 18 h under O2 atmosphere. The reaction mixture was filtered through a cellulose pad and washed with EtOAc. The filtrate was concentrated in vacuo to give a residue. The residue was purified by SiO2 flash column chromatography (n-Hex.−EtOAc = 2:1) to afford compound 6b (8.0 mg, 43%) as a yellow oil, and 6c (5.6 mg, 31%) as a yellow oil.
6b: [α] D 27 −70.3 (c 0.3, CHCl3); 1H-NMR (400 MHz, CDCl3) δ 6.27 (1H, t, J = 1.8 Hz, 2’-H), 4.00 (3H, s, 9-OCH3), 3.90 (3H, s, 5’-OCH3), 3.86 (1H, brs, 1-H), 3.74 (1H, brd, J = 1.8 Hz, 4-H), 3.49 (1H, d, J = 16.5, 1.8 Hz, 3-N-CH2Ar), 3.39 (1H, d, J = 16.5, 1.8 Hz, 3-N-CH2Ar), 3.34 (1H, brd, J = 7.3 Hz, 5-H), 2.98 (1H, dd, J = 11.1, 3.0 Hz, 2-H), 2.75 (1H, dd, J = 20.7, 7.3 Hz, 6-H), 2.54 (1H, d, J = 11.1 Hz, 2-H), 2.34 (3H, s, 11-N-CH3), 2.20 (1H, d, J = 20.7 Hz, 6-H), 1.98 (3H, s, 8-CH3), 1.89 (3H, s, 4’-CH3); 13C-NMR (100 MHz, CDCl3) δ 187.4 (s, C-3’), 186.7 (s, C-7), 182.5 (s, C-6’), 182.2 (s, C-10), 155.9 (s, C-5’), 155.5 (s, C-9), 141.3 (s, C-1’), 140.9 (s, C-6a), 136.9 (s, C-10a), 132.9 (d, C-2’), 129.1 (s, C-8), 129.0 (s, C-4’), 116.0 (s, 4-CN), 61.1 (q, 9-OCH3), 60.7 (q, 5’-OCH3), 59.3 (d, 4-C), 54.7 (d, 5-C), 52.3 (t, 3-N-CH2Ar), 51.2 (d, 1-C), 50.8 (t, 2-C), 41.4 (q, 11-N-CH3), 20.8 (t, 6-C), 8.7 (q, 8-CH3), 8.5 (q, 4’-CH3); IR (CHCl3) 3017, 2945, 2359, 2230, 1655, 1612, 1308, 1234, 1153 cm−1; EIMS m/z (%) 451 (M+, 6), 261 (18), 260 (37), 233 (11), 232 (25), 220 (12), 219 (43), 218 (100), 204 (26), 190 (11), 176 (13), 166 (19), 83 (10); HREIMS m/z 451.1740 (M+, calcd for C24H25N3O6 451.1743).
6c: [α] D 27 +95.3 (c 0.2, CHCl3); 1H-NMR (400 MHz, CDCl3) δ 7.92 (1H, brs, 2’-OH), 6.68 (1H, d, J = 7.8 Hz, 6’-H), 6.60 (1H, d, J = 7.8 Hz, 5’-H), 4.00 (3H, s, 9-OCH3), 3.92 (1H, brs, 1-H), 3.78 (1H, d, J = 14.0 Hz, 3-N-CH2Ar), 3.75 (1H, brs, 4-H), 3.73 (1H, d, J = 14.0 Hz, 3-N-CH2Ar), 3.70 (3H, s, 3’-OCH3), 3.38 (1H, brd, J = 7.4 Hz, 5-H), 2.99 (1H, dd, J = 11.7, 3.2 Hz, 2-H), 2.79 (1H, dd, J = 20.8, 7.4 Hz, 6-H), 2.70 (1H, d, J = 11.7 Hz, 2-H), 2.36 (3H, s, 11-N-CH3), 2.23 (1H, d, J = 20.8 Hz, 6-H), 2.20 (3H, s, 4’-CH3), 2.00 (3H, s, 8-CH3); 13C-NMR (100 MHz, CDCl3) δ 186.2 (s, C-7), 182.1 (s, C-10), 155.4 (s, C-9), 149.0 (s, C-2’), 146.1 (s, C-3’), 140.8 (s, C-6a), 136.9 (s, C-10a), 132.2 (s, C-4’), 129.2 (s, C-8), 124.0 (d, C-6’), 121.6 (d, C-5’), 118.2 (s, C-1’), 114.9 (s, 4-CN), 61.0 (q, 9-OCH3), 59.8 (q, 3’-OCH3), 57.5 (d, C-4), 57.2 (t, 3-N-CH2Ar), 54.3 (d, C-5), 51.3 (t, C-2), 51.1 (d, C-1), 41.5 (q, 11-N-CH3), 20.7 (t, C-6), 15.9 (q, 4’-CH3), 8.8 (q, 8-CH3); IR (CHCl3) 3524, 3022, 2945, 2853, 2359, 2234, 1653, 1614, 1308, 1236, 1152 cm−1; EIMS m/z (%) : 437 (M+, 5), 411 (24), 410 (100), 261 (19), 260 (80), 259 (12), 245 (12), 234 (24), 233 (20), 232 (43), 231 (14), 220 (21), 219 (49), 218 (98), 217 (12), 204 (26), 203 (13), 202 (15), 192 (19), 190 (12), 176 (13), 151 (14), 150 (33), 149 (17), 91 (13), 77 (12). HREIMS m/z 437.1956 (M+, calcd for C24H27N3O5 437.1951).

3.2. Biological Evaluation

A single-cell suspension of each cell line (2 × 103 cells/well) was added to the serially diluted test compounds in a 96-well microplate and cultured for 4 days. Cell viability was measured with Cell Counting Kit-8 (Dojindo Laboratories, Kumamoto, Japan). IC50 was expressed as the concentration at which cell growth was inhibited by 50% compared with the untreated control.

4. Conclusions

We presented a short and efficient methodology for the preparation of the chiral right-half model compounds of renieramycins. The synthesized model compounds were screened for their cytotoxic activity against DU145 and HCT116. Compounds 6a and 21 bearing benzyl group at 3-nitrogen showed very strong activity with IC50 at nanomolar concentrations. It was also found that chirality had no effect on the cytotoxic activities of the model compounds.

Author Contributions

T.M. synthesized the compounds, N.S. (Natchanun Sirimangkalakitti) performed the cytotoxicity assays, M.Y. and N.S. (Naoki Saito) analyzed the data and wrote the manuscript.

Funding

This work was supported by JSPS KAKENHI Grant Number JP18K06561.

Acknowledgments

We would like to thank Toshihiro Suzuki of Meiji Pharmaceutical University for assistance in the cytotoxicity assay.

Conflicts of Interest

The authors declare no conflict of interest.

References

  1. Scott, J.D.; Williams, R.M. Chemistry and biology of the tetrahydroisoquinoline antitumor antibiotics. Chem. Rev. 2002, 102, 1669–1730. [Google Scholar] [CrossRef]
  2. Suwanborirux, K.; Amnuoypol, S.; Plubrukarn, A.; Pummangura, S.; Kubo, A.; Tanaka, C.; Saito, N. Chemistry of renieramycins. Part 3. Isolation and structure of stabilized renieramycin type derivatives possessing antitumor activity from Thai sponge Xestospongia species, pretreated with potassium cyanide. J. Nat. Prod. 2003, 66, 1441–1446. [Google Scholar] [CrossRef]
  3. Daikuhara, N.; Tada, Y.; Yamaki, S.; Charupant, K.; Amnuoypol, S.; Suwanborirux, K.; Saito, N. Chemistry of renieramycins. Part 7: Renieramycins T and U, novel renieramycin–ecteinascidin hybrid marine natural products from Thai sponge Xestospongia sp. Tetrahedron Lett. 2009, 50, 4276–4278. [Google Scholar] [CrossRef]
  4. Tatsukawa, M.; Punzalan, L.L.C.; Magpantay, H.D.S.; Villaseñor, I.M.; Concepcion, G.P.; Suwanborirux, K.; Yokoya, M.; Saito, N. Chemistry of renieramycins. Part 13: Isolation and structure of stabilized renieramycin type derivatives, renieramycins W–Y, from Philippine blue sponge Xestospongia sp., pretreated with potassium cyanide. Tetrahedron 2012, 68, 7422–7428. [Google Scholar] [CrossRef]
  5. Yokoya, M.; Shinada-Fujino, K.; Saito, N. Chemistry of renieramycins. Part 9: Stereocontrolled total synthesis of (±)-renieramycin G. Tetrahedron Lett. 2011, 52, 2446–2449. [Google Scholar] [CrossRef]
  6. Yokoya, M.; Ito, H.; Saito, N. Chemistry of renieramycins. Part 11: Total synthesis of (±)-cribrostatin 4. Tetrahedron 2011, 67, 9185–9192. [Google Scholar] [CrossRef]
  7. Yokoya, M.; Kobayashi, K.; Sato, M.; Saito, N. Chemistry of renieramycins. Part 14: Total synthesis of renieramycin I and practical synthesis of cribrostatin 4 (renieramycin H). Mar. Drugs 2015, 13, 4915–4933. [Google Scholar] [CrossRef]
  8. Yokoya, M.; Toyoshima, R.; Suzuki, T.; Le, V.H.; Williams, R.M.; Saito, N. Stereoselective total synthesis of (−)-renieramycin T. J. Org. Chem. 2016, 81, 4039–4047. [Google Scholar] [CrossRef]
  9. Saito, N.; Koizumi, Y.; Inamura, K.; Kubo, A. Synthesis of 1,2,3,4,5,6,7,10-octahydro-1,5-imino-7,10-dioxo-3-benzazocine-4-carbonitrile derivative and evaluation of antitumor activity related to saframycin and renieramycin isoquinolinequinones. Heterocycles 2006, 70, 477–490. [Google Scholar] [CrossRef]
  10. Nakai, K.; Kubo, K.; Yokoya, M.; Saito, N. Preparation of renieramycin left-half model compounds. Tetrahedron 2014, 70, 6529–6545. [Google Scholar] [CrossRef]
  11. Saito, N.; Koizumi, Y.; Kubo, A.; Suwanborirux, K. Chemistry of renieramycins. Part 2. Partial reduction and nucleophilic substitution of hexahydro-1,5-imino-4-oxo-3-benzazocine-7,10-dione: Promising method to construct renieramycin J from renieramycin G via renieramycin E. Heterocycles 2002, 57, 2345–2355. [Google Scholar] [CrossRef]
  12. Nguyen, L.A.; He, H.; Pham-Huy, C. Chiral drugs: An overview. Int. J. Biomed. Sci. 2006, 2, 85–100. [Google Scholar] [PubMed]
  13. Van Haren, M.; van Ufford, L.Q.; Moret, E.E.; Martin, N.I. Synthesis and evaluation of protein arginine N-methyltransferase inhibitors designed to simultaneously occupy both substrate binding sites. Org. Biomol. Chem. 2015, 13, 549–560. [Google Scholar] [CrossRef]
  14. Liao, X.W.; Liu, W.; Dong, W.F.; Guan, B.H.; Chen, S.Z.; Liu, Z.Z. Total synthesis of (−)-renieramycin G from L-tyrosine. Tetrahedron 2009, 65, 5709–5715. [Google Scholar] [CrossRef]
  15. Brown, H.C.; Tsukamoto, A. Lithium diethoxyaluminohydride as a selective reducing agent—The reduction of dimethylamide to aldehydes. J. Am. Chem. Soc. 1959, 81, 502–503. [Google Scholar] [CrossRef]
  16. Okano, K.; Tokuyama, H.; Fukuyama, T. Total synthesis of (+)-yatakemycin. J. Am. Chem. Soc. 2006, 128, 7136–7137. [Google Scholar] [CrossRef]
  17. Obika, S.; Yasui, Y.; Yanada, R.; Takemoto, Y. Concise synthesis of the CDE ring system of tetrahydroisoquinoline alkaloids using carbophilic Lewis acid-catalyzed hydroamidation and oxidative Friedel−Crafts cyclization. J. Org. Chem. 2008, 73, 5206–5209. [Google Scholar] [CrossRef]
  18. Jones, G.B.; Moody, C.J. Structurally modified antitumor agents. Part 2. Total synthesis of a cyclopropane mitosene. J. Chem. Soc. Perkin Trans. 1 1989, 2455–2462. [Google Scholar] [CrossRef]
  19. Martinez, E.J.; Owa, T.; Schreiber, S.L.; Corey, E.J. Phthalascidin, a synthetic antitumor agent with potency and mode of action comparable to ecteinascidin 743. Proc. Natl. Acad. Sci. USA 1999, 96, 3496–3501. [Google Scholar] [CrossRef]
  20. Ortín, I.; González, J.F.; de la Cuesta, E.; Manguan-García, C.; Perona, R.; Avendaño, C. Pyrazino[1,2-b]isoquinolines: Synthesis and study of their cytostatic and cytotoxic properties. Bioorg. Med. Chem. 2008, 16, 9065–9078. [Google Scholar] [CrossRef]
  21. Yokoya, M.; Sato, M.; Kobayashi, K.; Fujino, A.; Sirimangkalakitti, N.; Saito, N. Chemistry of renieramycins. Part 18. Preparation of rac-renieramycins and comparison of their cytotoxicity with corresponding natural products. J. Nat. Prod. 2019. submitted. [Google Scholar]
Figure 1. Antitumor tetrahydroisoquinoline marine natural products.
Figure 1. Antitumor tetrahydroisoquinoline marine natural products.
Marinedrugs 17 00003 g001
Figure 2. Structures of right-half model compounds of renieramycins.
Figure 2. Structures of right-half model compounds of renieramycins.
Marinedrugs 17 00003 g002
Figure 3. Structural comparison of right-half model compounds 6a, 6b, and 6c with renieramycin M (1m).
Figure 3. Structural comparison of right-half model compounds 6a, 6b, and 6c with renieramycin M (1m).
Marinedrugs 17 00003 g003
Scheme 1. Preparation of compound (±)-6a [9,11].
Scheme 1. Preparation of compound (±)-6a [9,11].
Marinedrugs 17 00003 sch001
Figure 4. Retrosynthetic analysis of chiral CDE-ring model compound 6.
Figure 4. Retrosynthetic analysis of chiral CDE-ring model compound 6.
Marinedrugs 17 00003 g004
Scheme 2. Construction of tricyclic lactam 18.
Scheme 2. Construction of tricyclic lactam 18.
Marinedrugs 17 00003 sch002
Scheme 3. Preparation of right-half model compound 6a.
Scheme 3. Preparation of right-half model compound 6a.
Marinedrugs 17 00003 sch003
Scheme 4. Preparation of right-half model compound 6d.
Scheme 4. Preparation of right-half model compound 6d.
Marinedrugs 17 00003 sch004
Scheme 5. Preparation of right-half model compounds 6b and 6c.
Scheme 5. Preparation of right-half model compounds 6b and 6c.
Marinedrugs 17 00003 sch005
Table 1. Cytotoxic activities of right-half model compounds against human colorectal cancer HCT116 and lung cancer QG56 cell lines.
Table 1. Cytotoxic activities of right-half model compounds against human colorectal cancer HCT116 and lung cancer QG56 cell lines.
CompoundIC50 (µM)
HCT116QG56
(±)-3>50>50
(±)-42.41.9
(±)-50.0840.24
(±)-6a0.0170.027
Table 2. Salcomine oxidation of phenol (−)-30 gave bis-p-quinone (−)-6b and mono-p-quinone (+)-6c.
Table 2. Salcomine oxidation of phenol (−)-30 gave bis-p-quinone (−)-6b and mono-p-quinone (+)-6c.
EntrySalcomine (+ O2)TimeProduct (%) 1
(equiv.)(h)(−)-6b(+)-6c
11.031355
22.044331
36.023523
1 Isolation yield.
Table 3. Cytotoxic activities of right-half model compounds against prostate cancer DU145 and colorectal cancer HCT116 cell lines: IC50 (µM).
Table 3. Cytotoxic activities of right-half model compounds against prostate cancer DU145 and colorectal cancer HCT116 cell lines: IC50 (µM).
Compd.DU145HCT116Compd.DU145HCT116
1m(4.0 ± 0.9) ×10−3(18.1 ± 1.4) ×10−318>20>20
(±)-6a(14.0 ± 0.6) ×10−3(11.4 ± 1.0) ×10−319>20>20
(−)-6a(11.9 ± 2.2) ×10−3(12.5 ± 0.5) ×10−3201.2 ± 0.11.3 ± 0.2
(±)-6b0.7 ± 0.040.5 ± 0.0121(47.7 ± 1.0) ×10−3(37.6 ± 9.6) ×10−3
(−)-6b0.8 ± 0.020.6 ± 0.0423>20>20
(+)-6c1.0 ± 0.041.0 ± 0.12413.1 ± 1.32.8 ± 0.3
(+)-6d0.4 ± 0.040.1 ± 0.02250.6 ± 0.10.4 ± 0.02
11>20>202810.5 ± 0.411.7 ± 1.1
16>20>20292.1 ± 0.32.0 ± 0.1
17>20>20306.5 ± 0.42.7 ± 0.4

Share and Cite

MDPI and ACS Style

Matsubara, T.; Yokoya, M.; Sirimangkalakitti, N.; Saito, N. Asymmetric Synthesis and Cytotoxicity Evaluation of Right-Half Models of Antitumor Renieramycin Marine Natural Products. Mar. Drugs 2019, 17, 3. https://doi.org/10.3390/md17010003

AMA Style

Matsubara T, Yokoya M, Sirimangkalakitti N, Saito N. Asymmetric Synthesis and Cytotoxicity Evaluation of Right-Half Models of Antitumor Renieramycin Marine Natural Products. Marine Drugs. 2019; 17(1):3. https://doi.org/10.3390/md17010003

Chicago/Turabian Style

Matsubara, Takehiro, Masashi Yokoya, Natchanun Sirimangkalakitti, and Naoki Saito. 2019. "Asymmetric Synthesis and Cytotoxicity Evaluation of Right-Half Models of Antitumor Renieramycin Marine Natural Products" Marine Drugs 17, no. 1: 3. https://doi.org/10.3390/md17010003

APA Style

Matsubara, T., Yokoya, M., Sirimangkalakitti, N., & Saito, N. (2019). Asymmetric Synthesis and Cytotoxicity Evaluation of Right-Half Models of Antitumor Renieramycin Marine Natural Products. Marine Drugs, 17(1), 3. https://doi.org/10.3390/md17010003

Note that from the first issue of 2016, this journal uses article numbers instead of page numbers. See further details here.

Article Metrics

Back to TopTop