Skip Content
You are currently on the new version of our website. Access the old version .
Marine DrugsMarine Drugs
  • Article
  • Open Access

28 January 2013

Synthesis, DNA Binding and Antitumor Evaluation of Styelsamine and Cystodytin Analogues

and
School of Chemical Sciences, University of Auckland, Private Bag 92019, Auckland, New Zealand
*
Author to whom correspondence should be addressed.

Abstract

A series of N-14 sidechain substituted analogues of styelsamine (pyrido[4,3,2-mn]acridine) and cystodytin (pyrido[4,3,2-mn]acridin-4-one) alkaloids have been prepared and evaluated for their DNA binding affinity and antiproliferative activity towards a panel of human tumor cell lines. Overall it was found that styelsamine analogues were stronger DNA binders, with the natural products styelsamines B and D having particularly high affinity (Kapp 5.33 × 106 and 3.64 × 106 M−1, respectively). In comparison, the cystodytin iminoquinone alkaloids showed lower affinity for DNA, but were typically just as active as styelsamine analogues at inhibiting proliferation of tumor cells in vitro. Sub-panel selectivity towards non-small cell lung, melanoma and renal cancer cell lines were observed for a number of the analogues. Correlation was observed between whole cell activity and clogP, with the most potent antiproliferative activity being observed for 3-phenylpropanamide analogues 37 and 41 (NCI panel average GI50 0.4 μM and 0.32 μM, respectively) with clogP ~4.0–4.5.

1. Introduction

A diverse array of bioactive alkaloids isolated from marine sources contain the pyrido[4,3,2-mn]acridine scaffold [1]. While more structurally complex congeners are known, the simplest examples of such alkaloids are the tetracyclic cystodytins A–K (111) and styelsamines A–D (1215) (Figure 1). The cystodytins, isolated from ascidians Cystodytes dellechiajei (19) [2,3], Cystodytes sp. (10) [4] and Lissoclinum notti (11) [5] possess the alkaloidal skeleton in the iminoquinone oxidation state, with modifications at either C-12 or N-14 of the ethylamine sidechain. Cytotoxicity towards murine or human tumor cell lines has been reported for the family of alkaloids, with IC50 values of 0.6 µM (L12010 murine lymphoma, 1/2), 0.6 µM (L1210, 3), 2.9 µM (L1210, 4/5), 0.18 µM (L1210, 6/7), 0.12 µM (L1210, 8/9), 1.6 µM (HCT-116 human colon, 10), and 1.3 µM (P388 murine leukemia, 11) suggesting some influence of C-12 substitution on potency. Styelsamines A–D (1215) were isolated as cytotoxic constituents of the Indonesian ascidian Eusynstyela latericius [6]. Moderate cytotoxicity towards the HCT-116 human colon tumor cell line with IC50 values of 33, 89, 2.6 and 1.6 µM were observed for each of 1215 respectively. Styelsamine D is considered to play a central role in the biogenesis of many pyridoacridine alkaloids [7], though no definitive biosynthetic studies have been reported to date [8].
Figure 1. Structures of cystodytin and styelsamine natural products.
Pyridoacridine and pyridoacridine alkaloids typically exhibit wide-ranging biological properties including cytotoxicity, antibacterial and antiviral activities [9]. While it is often speculated that the bioactivity of pyridoacridine alkaloids is attributable to DNA binding [9], it has been noted by others that such a correlation is compound specific [4]. In the specific case of the cystodytins and styelsamines, all of the natural products have been evaluated for cytotoxicity, exhibiting a range of potency (IC50 0.12–2.9 μM) [2,3,4,5] but only the DNA binding ability of cystodytin J (10) has been reported (Kdisp 54 μM) [4]. As the natural products have only been evaluated against a limited range of tumor cell lines (e.g., murine lymphoma, murine leukemia and human colon) information is lacking as to the presence or not of any cell line selectivity for pyridoacridine alkaloids.
In an effort to explore the influence of N-14 substitution on the observed biological activities of styelsamine and cystodytin alkaloids, we have prepared a library of natural and un-natural analogues and evaluated their DNA affinity, using an ethidium bromide displacement assay, and cytotoxicity towards a panel of human tumor cell lines.

2. Results and Discussion

2.1. Chemistry

The overall reaction sequence used to synthesize the target compounds is summarized in Scheme 1. This biomimetic method, first reported by Skyler and Heathcock [10] in their synthesis of styelsamine B, utilizes oxidative coupling of functionalized dopamine analogues with kynuramine to yield the desired pyridoacridine and pyridoacridone skeletons.
Scheme 1. General reaction sequence for the preparation of styelsamine and cystodytin analogues.
Kynuramine dihydrobromide was prepared using a slightly modified version of the procedure previously reported [10]. Tryptamine (16) was first protected by conversion to the methyl carbamate 17, achieved in 73% yield (Scheme 2).
Scheme 2. Preparation of kynuramine dihydrobromide 20. Reagents and conditions: (i) methyl chloroformate, EtOAc/NaOH (1:0.6), N2, RT, 30 min, 73%; (ii) O3, AcOH, 0 °C, then conc. HCl, N2, 40 °C, 1.5 h, 42% (18) and 10% (19); (iii) aq. HCl, reflux, 4 h, 66% over two steps; (iv) HBr sat. AcOH, N2, 80 °C, 18 h, 96%.
Whereas ozonolysis (in glacial acetic acid) of 17 has been previously reported to yield exclusively the keto-aniline 18, in our hands we also observed the presence of a minor product (10% yield), determined to be the acetamide 19. Hydrolysis of the crude reaction product containing both 18 and 19 in 10% aq. HCl afforded 18 (66% yield over two steps) while subsequent reaction with HBr in AcOH cleaved the carbamate protecting group to afford kynuramine dihydrobromide (20) in 96% yield.
The requisite N-acyl dopamine analogues were prepared in two-step sequences from 3,4-dimethoxyphenethylamine (21) via one of three routes (Scheme 3). Thus acetamide 22 was synthesized in 95% yield by reaction of 21 with acetic anhydride, amides 23 (92%) and 25 (99%) were prepared by reaction of 21 with the appropriate carboxylic acid using PyBOP as a coupling agent in DMF, while amides 24, 26 and 27 were prepared in yields of 57%, 93% and 65% respectively by reaction of amine 21 with the appropriate acid chloride in THF with Et3N. Demethylation of 2227 by reaction with BBr3 (10 equiv.) in dry CH2Cl2 for 19 h gave the desired N-acyl dopamine analogues 2833 in yields of 90%, 98%, 85%, 79%, 89%, and 75%, respectively.
Scheme 3. Synthesis of styelsamine (13, 3438) and cystodytin (1, 10, 3942) analogues. Reagents and conditions: (i) for 22: Ac2O, N2, RT, 1 h, 95%; for 23 and 25: carboxylic acid, DMF, PyBOP, Et3N, RT, 18 h, 92% (23) and 99% (25); for 24, 26 and 27: acyl chloride, THF, Et3N, 0 °C rising to RT, 57% (24), 93% (26), 65% (27); (ii) BBr3, CH2Cl2, N2, −20 °C, 20 h, 90% (28), 98% (29), 85% (30), 79% (31), 89% (32), 75% (33); (iii) kynuramine dihydrobromide (20), CeCl3.7H2O, Ag2O, MeOH/AcOH (2:1), 19% (13), 6% (34), 15% (35), 11% (36), 20% (37), 16% (38); (iv) Ag2O, MeOH, 79% (10), 62% (1), 52% (39), 13% (40), 71% (41), 17% (42).
Using the general methodology reported by Skyler and Heathcock [10], reaction of the N-acyldopamine analogues with kynuramine dihydrobromide (1.05 mole equiv.) in MeOH/AcOH (2:1) to which were added CeCl3·7H2O (0.15 mole equiv.) and silver (I) oxide (2 mole equiv.), afforded, after chromatographic purification, styelsamine B (13) and analogues 3438 in yields of 19%, 6%, 15%, 11%, 20% and 16% respectively (Scheme 3). In each case, high resolution ESI-MS gave a pseudomolecular ion consistent with the presence of the expected product of the reaction. The 1H and 13C NMR spectra of 13, 3538 all contained the resonances expected for the styelsamine NH-1 to CH2-13 scaffold, with anticipated variation in NH-14 amide substitution. Data observed for 13 were in agreement with literature [6].
Each of the pyridoacridine alkaloids 13, 3438 were then oxidized to the corresponding pyridoacridine analogue by reaction with Ag2O (1 equiv.) in MeOH with NaHCO3 (Scheme 3). The purple coloration of the aminophenol starting materials was observed to quickly convert (2 min) to the yellow color of the iminoquinone chromophore. After workup, iminoquinones 10, 1, 3942 were obtained in yields of 79%, 62%, 52%, 13%, 71%, and 17%, respectively.
For each of these products, ESI-MS identified a pseudomolecular ion two mass units lower than that observed for the corresponding pyridoacridine precursor. While complete NMR characterization of the reaction products was problematic due to their reduced solubility, evidence of successful formation of the iminoquinone scaffold was evidenced by changes in chemical shift of H-10. In the case of the aminophenol styelsamines, H-10 is observed between δH 7.14 and 7.51, while for the iminoquinone cystodytins, H-10 resonates between δH 6.81 and 7.01. In the specific cases of 1 (cystodytin A) [2] and 10 (cystodytin J) [4], MS and NMR data agreed with those reported for the natural products.
It has been previously reported that heating styelsamine B (13) in MeOH/4 N HCl for 48 h yields the alkylamino analogue styelsamine D (15) in quantitative yield [7]. In our hands, repeating this reaction yielded not only 15 (60%) but also a new O-methyl analogue 43 in 45% yield (Scheme 4).
Scheme 4. Synthesis of O-methylstyelsamine D (43) and amide analogues 4648. Reagents and conditions: (i) MeOH/4N HCl (1:1), 80 °C, 48 h, 60% (15) and 45% (43); (ii) for 46 and 47: RCO2H, CH2Cl2, Et3N, PyBOP, 88% (46), 48% (47); for 48: dihydrocinnamoylchloride, THF, Et3N, 30 min, 43%.
(+)-HRESI Mass spectrometric analysis of 43 identified a pseudomolecular ion at m/z 292.1448 [M + H]+ (calcd for C18H18N3O, 292.1444), being 14 mass units higher than styelsamine D 15. Detailed analysis of NMR data for 43 and comparison with those data observed for styelsamine D established the presence of an O-methyl group [δH 4.06 (3H, s); δC 56.9] which was placed at C-11 by observation of an HMBC correlation between δH 4.06 and δC 138.7. These chemical shifts agree favorably with the corresponding sub-structural unit of nor-segoline (44) (Eudistoma sp.) [11] and arnoamine B (45) (Cystodytes sp.) [12] (Figure 2). Repeating the hydrolysis of styelsamine B, dissolved in MeOH/4N HCl (1:1), but heating at 80 °C for the shorter period of 24 h afforded styelsamine D 15 in 75% yield.
Figure 2. Structures of nor-segoline (44) and arnoamine B (45).
With the unexpected synthesis of 43, the opportunity was taken to prepare a further subset of N-acyl analogues. Thus PyBOP-mediated reaction of 43 with the appropriate carboxylic acid in DMF afforded acrylamide 46 [2] (88% yield) and 2-phenylacetamide 47 (48% yield), while 3-phenylpropanamide 48 was prepared from 43 by reaction with dihydrocinnamoyl chloride in THF (43% yield) (Scheme 4). For each of 4648, the expected pseudomolecular ion was observed in high resolution ESI-mass spectrometry, and NMR data analysis revealed the expected resonances of the 11-O-methylstyelsamine scaffold with expected variation in the NH-14 amide sidechain.

2.2. Biological Activities

Previous studies have shown that pyridoacridine alkaloids bind to DNA by a mechanism of base-pair intercalation [13,14]. In the present work, we made use of the fluorescence-based ethidium bromide displacement assay [15] to determine the apparent binding constant (Kapp) of the pyridoacridine and pyridoacridine alkaloids. The assay can also be used as an indicator for relative binding affinity, hence, ranking individual compounds. Ethidium bromide exhibits elevated fluorescence (at emission: 546 nm; excitation: 595 nm) when intercalated into DNA, but when displaced by a competing DNA binding agent the observed fluorescence decreases [15].
Using acetate buffer (pH 5), the ability of each of the test compounds to displace ethidium bromide from calf thymus (CT) DNA was measured at a range of concentrations and the data interpolated to determine a C50 value (concentration required to reduce the fluorescence by 50%) of each compound. The apparent binding constant (Kapp) was then calculated using the formula: Kapp = Kethidiumbromide × (1.26/C50), where Kethidiumbromide = 2.1 × 106 M(bp)−1 [16], in order to rank each compound according to their binding affinity (Table 1).
The results in Table 1 show that styelsamines B (13) and D (15) exhibit the highest affinity for CT-DNA within the styelsamine compound library, with Kapp 5.33 × 106 and 3.64 × 106 M−1, respectively. Other styelsamine analogues were revealed to have mild to low affinity for CT-DNA, suggesting that the various sidechains hinder DNA binding. Reinforcing this point was the observation that the palmitamide analogue 38 exhibited the lowest DNA affinity of the styelsamine analogues. A similar trend was observed for the small library of O-methyl styelsamine analogues, with O-methyl styelsamine D (43) exhibiting a higher apparent binding constant, at 4.72 × 106 M−1, compared to the other N-acyl analogues 4648. In the case of the cystodytin library, natural products cystodytin A (1) and J (10) exhibited slightly higher apparent binding constants than their un-natural analogues (entries 12–17). The cystodytin analogues were significantly less soluble in aqueous media than their styelsamine counterparts, with the iminoquinones typically requiring the addition of 0.5% DMSO to facilitate dissolution. In the case of cystodytin J (10), addition of 0.5% DMSO to the sample yielded a slightly enhanced DNA binding affinity value (entries 13 and 14). The cystodytin palmitamide analogue 42 could not be solubilized, even with 0.5% DMSO, and so no DNA binding data could be determined.
Table 1. DNA binding affinities, antitumor activity and clogP values of styelsamine and cystodytin analogues.
Table 1. DNA binding affinities, antitumor activity and clogP values of styelsamine and cystodytin analogues.
EntryCompoundC50aKapp bOne dose cGI50dclogP e
1130.50 ± 0.025.33+34.33.2 (2.0)2.6 ± 0.4
2150.73 ± 0.023.64+49.74.0 (2.2)2.3 ± 0.2
334 f6.62 ± 0.0240.40+36.63.2 (2.4)3.6 ± 0.5
435 f1.47 ± 0.011.80+10.50.63 (1.9)4.1 ± 0.4
536 f4.10 ± 0.470.64nt g
637 f1.67 ± 0.191.59−26.90.40 (1.7)4.4 ± 0.4
738 f35.1 ± 1.30.08+79.2inactive h8.7 ± 1.3
8430.56 ± 0.024.72+24.11.6 (1.3)2.7 ± 0.3
9465.43 ± 0.150.49+74.6inactive h4.0 ± 0.7
1047 f2.77 ± 0.260.95nt g
11482.45 ± 0.231.08+45.63.2 (2.0)4.7 ± 0.7
121 f11.1 ± 0.30.24+21.72.0 (1.5)3.0 ± 0.6
131040.7 ± 1.5 g0.06+70.9inactive h1.9 ± 0.4
1410 f16.0 ± 0.20.17
1539 f78.2 ± 4.60.03+4.91.3 (1.8)3.5 ± 0.5
1640 f24.8 ± 0.60.11nt g
1741 f41.7 ± 2.60.06−14.80.32 (2.0)3.8 ± 0.6
propamidine29.1 i0.09---
a C50 is defined as the drug concentration (µM), which gives a 50% decrease in the fluorescence of bound ethidium bromide for an [ethidium bromide]:[DNA] molar ratio of 12.6:10. Average and standard error of 3 independent determinations are reported. b Apparent binding constant (×106 M−1); Kapp were calculated as follows: Kapp = (1.26/C50) × Kethidiumbromide, where Kethidiumbromide = 2.1 × 106 M−1. c NCI one dose (10 μM) mean growth (%). d GI50 (50% growth inhibition) data (μM) are averaged calculated mean values obtained from two experiments at the NCI. Value in parenthesis is the observed range of data, being the number of log 10 units between the most and least sensitive cell line(s) in the panel. e cLogP calculated using ALOGPS 2.1, as described in [17,18]. f Solution prepared in 0.5% DMSO/acetate buffer. g Not tested. h Inactive: preliminary one dose evaluation at the NCI indicated the compound was inactive. i Literature value 23 μM reported in [16].
The library of analogues was submitted to the NCI for evaluation against their panel of human tumor cell lines. Preliminary one dose (10 μM) testing against 57 human tumor cell lines is summarized as a single value, the mean growth inhibition percentage over all cell lines, shown in Table 1. Of the styelsamine analogues 13, 15, 34, 35, 37, 38 (entries 1–7), 3-phenylpropanamide 37 was observed to be the most active, with the 10 μM dose resulting in mean cell kill (negative growth). The remaining analogues were considered either mildly active, or inactive in the case of palmitamide 38. The corresponding O-methyl styelsamine analogues 43, 46 and 48 exhibited moderate to poor growth inhibition (entries 8–11). Of the four cystodytin analogues tested (1, 10, 39, 41, entries 12–17), cystodytin J (10) was considered inactive, while the 3-phenylpropanamide analogue 41 was observed to be the most active. The wealth of data obtained from even this single dose testing afforded the ability to determine whether these alkaloids exhibit cell line specific activities. Sub-panel selectivity was observed for styelsamine B (13, more selective towards melanoma, non-small cell lung cancer, ovarian panels), styelsamine D (15, non-small cell lung cancer, CNS, renal), 34 (leukemia, renal), 35 (melanoma, renal), 37 (colon, melanoma, renal) and 38 (colon, renal) (see Supplementary Information). Although generally less potent, similar sub-panel selectivities were observed for the O-methyl styelsamine analogues [(43, non-small cell lung, renal); (46, non-small cell lung); (48, non-small lung cell, renal)]. In contrast, pyridoacridones 1, 10 and 39 were essentially non-selective, while 3-phenylpropanoid 41 exhibited selectivity towards colon, melanoma and renal cancer cell line sub-panels. The analogues that were considered active were then progressed to full 5-dose testing against the complete panel of cell lines, leading to determination of levels of activity corresponding to 50% growth inhibition (GI50), total growth inhibition (TGI, cytostatic), or 50% lethality (LC50). In general most compounds exhibited poor cytotoxicity, failing to reach LC50 or TGI levels of activity, and so only panel average GI50 values are reported in Table 1. The GI50 values observed were in agreement with the relative activities observed in the one dose testing data, and similar sub-panel selectivities were also observed (data not shown). Thus styelsamine analogues 35 and 37 (GI50 0.63 μM and 0.4 μM respectively) and cystodytin analogue 41 (GI50 0.32 μM) were identified as the most potent tumor cell line growth inhibitors in this study.
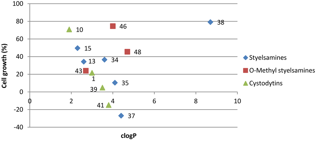
While other groups have reported a direct relationship between cytotoxicity and DNA affinity of pyridoacridine alkaloids [13], the data presented in Table 1 suggests no such correlation between Kapp and GI50 value for the compounds in the present study. Styelsamines B (13), D (15) and analogue 34 all exhibited almost the same level of tumor cell growth inhibition (GI50 3.2–4.0 μM), whereas 13 and 15 bound approximately ten times more strongly to DNA than 34. Also of note is two alkaloids that exhibited approximately the same level of DNA affinity (38, Kapp0.08 × 106 M−1; 41, 0.06 × 106 M−1) exhibited markedly different levels of antiproliferative activity (inactive and GI50 0.32 μM respectively). Cell penetration is clearly a requisite condition for molecules that exert biological activity by targeting DNA, with compound lipophilicity, log P, being a widely accepted descriptor of the ability of a drug to passively diffuse across a membrane. Log P was calculated for each of the test compounds, with the calculations being made using the ALOGPS 2.1 software package [17,18]. The software provides a range of calculated log P values and the average with error is presented in Table 1. Plotting one dose mean cell growth inhibition activities against clogP (Figure 3) identified a correlation for both styelsamine and cystodytin alkaloids, with the best examples of growth inhibition occurring with alkaloid clogP ~4.0–4.5. Interestingly, no such correlation was observed for the, albeit small, data set of O-methyl styelsamine analogues 43, 46 and 48.
Figure 3. Plot of clogP vs mean cell growth (%) of styelsamine, O-methyl styelsamine and cystodytin analogues.
In summary, the current results have identified that natural and un-natural styelsamine and cystodytin analogues exhibit DNA affinity with the aminophenol styelsamines being the more potent series. Lipophilicity was found to be an important determinant of cell-based antiproliferative activity, with optimal activity being observed for alkaloids with clogP 4.0–4.5. The observation of enhanced antiproliferative activity associated with 3-phenylpropanamide analogues 37 and 41 suggests that sidechain modified analogues of styelsamines and/or cystodytins may have potential as new classes of antitumor agents.

3. Experimental Section

3.1. General

HRMS data were acquired on a Bruker micrOTOF-QII mass spectrometer. Infrared spectra were recorded on a Perkin-Elmer Spectrum 100 Fourier-transform IR spectrometer equipped with a universal ATR accessory. Ultraviolet-visible spectra were run as acetate buffer (pH 5) solutions either on a UV-2101 PC Shimadzu UV-VIS scanning spectrophotometer or a Perkin-Elmer Lambda 35 UV/VIS spectrometer. Fluorescence intensity was recorded on the Perkin-Elmer LS 55 Luminescence spectrometer. NMR spectra were recorded using a Bruker Avance DRX 400 spectrometer operating at 400 MHz for 1H nuclei and 100 MHz for 13C nuclei. Proto-deutero solvent signals were used as internal references (DMSO-d6: δH 2.50, δC 39.52; CDCl3: δH 7.25, δC 77.0; CD3OD: δH 3.30, δC 49.05). Analytical reversed-phase HPLC was run on a Dionex UltiMate 3000RS, using an Alltech platinum C18 3 µm column (33 × 7 mm) and eluting with a linear gradient of H2O (0.05% TFA) to MeCN over 13.5 min at 2 mL/min. Flash column chromatography was performed using reversed-phase Merck Lichroprep RP-2 or RP-18, Kieselgel 60 PF silica gel, or by size exclusion chromatography on Pharmacia Biotech Sephadex LH-20. Thin layer chromatography used 0.2 mm thick plates of Kiesegel F254 (Merck, Manakau, New Zealand).

3.2. Synthetic Procedures

3.2.1. Tryptamine Methyl Carbamate (17)

To a stirred solution of tryptamine (2.0 g, 0.01 mol) in a degassed biphasic mixture of NaOH (1 N, 12.5 mL) and EtOAc (20 mL) was added methyl chloroformate (1.01 mL, 13.13 mmol) dropwise, under N2. The brown solution was stirred for 30 min at room temperature, after which it was washed with H2O (2 × 40 mL) and the organic phase dried in vacuo. The residue was dissolved in EtOAc (10 mL) and then added to hexane (50 mL) to yield 17 as brown crystals (2.47 g, 73% yield).
Mp 82.9–83.9 °C (lit. [19] 79.0–81.0 °C); Rf (1 Hex:2 EtOAc) 0.64; IR νmax (ATR) 3400, 1686, 1544, 1264 cm−1; 1H NMR (CDCl3, 400 MHz) δH 8.02 (1H, br s, NH-1), 7.61 (1H, d, J = 7.4 Hz, H-4), 7.38 (1H, d, J = 7.6 Hz, H-7), 7.21 (1H, td, J = 7.6, 1.2 Hz, H-6), 7.14 (1H, td, J = 7.4, 0.9 Hz, H-5), 7.03 (1H, d, J = 2.1 Hz, H-2), 4.73 (1H, br s, NH-10), 3.65 (3H, s, OMe), 3.53 (2H, dt, J = 6.8, 6.8 Hz, H2-9), 2.98 (2H, t, J = 6.8 Hz, H2-8); 13C NMR (CDCl3, 100 MHz) δC 157.1 (C-11), 136.4 (C-7a), 127.2 (C-3a), 122.2 (C-6 or C-2), 122.0 (C-6 or C-2), 119.4 (C-5), 118.7 (C-4), 112.9 (C-3), 111.2 (C-7), 52.0 (OMe), 41.2 (C-9), 25.8 (C-8); (+)-ESIMS m/z 219 [M + H]+; (+)-HRESIMS [M + H]+ 219.1131 (calcd. for C12H15N2O2, 219.1128). 1H and 13C NMR data agreed with literature [19].

3.2.2. Kynuramine Methyl Carbamate (18) and N-Acetyl-kynuramine Methyl Carbamate (19)

Ozone was bubbled into a solution of tryptamine methyl carbamate (17) (1.00 g, 4.59 mmol) in AcOH (20 mL) that was stirred in an ice bath. The reaction was stopped once the solution became frozen. The frozen solution was degassed with N2 for 5 min and then conc. HCl (1 mL) was added to the solution and warmed to 40 °C for 1.5 h. After this time the solution was dried in vacuo, the residue dissolved in CH2Cl2 (20 mL), and washed with phosphate buffer until neutral (3 × 20 mL). The organic phase was dried (MgSO4), solvent removed in vacuo and the mixture purified using silica gel flash chromatography (hexane/EtOAc) to afford kynuramine methyl carbamate 18 as a yellow solid (0.42 g, 42% yield) and 19 also as a yellow solid (0.13 g, 10% yield).
Kynuramine methyl carbamate 18: Mp 90.0–91.0 °C (lit. [20] 98.0–99.0 °C); Rf (10% MeOH/CH2Cl2) 0.89; IR νmax (ATR) 3360, 1685, 1619, 1531, 1264 cm−1; 1H NMR (CDCl3, 400 MHz) δH 7.68 (1H, d, J = 7.6 Hz, H-6), 7.26 (1H, dt, J = 7.6, 1.6 Hz, H-4), 6.65–6.61 (2H, m, H-3 and H-5), 3.64 (3H, s, OMe), 3.57 (2H, dt, J = 5.6, 5.6 Hz, H2-10), 3.17 (2H, t, J = 5.6 Hz, H2-9); 13C NMR (CDCl3, 100 MHz) δC 201.1 (C-8), 157.1 (C-12), 150.4 (C-2), 134.6 (C-4), 131.0 (C-6), 117.7 (C-5), 117.4 (C-7), 115.9 (C-3), 52.0 (OMe), 38.9 (C-9), 36.2 (C-10); (+)-ESIMS m/z 223 [M + H]+; (+)-HRESIMS [M + H]+ 223.1076 (calcd. for C11H15N2O3, 223.1077).
N-Acetyl kynuramine methyl carbamate 19: Mp 120.0–121.0 °C; Rf (1 Hex:2 EtOAc) 0.30; IR νmax (ATR) 3332, 3220, 3112, 2947, 1700, 1686, 1544, 1292, 1195, 760 cm−1; 1H NMR (CDCl3, 400 MHz) δH 11.62 (1H, br s, NH-1), 8.70 (1H, d, J = 7.3 Hz, H-3), 7.90 (1H, d, J = 6.8 Hz, H-6), 7.55 (1H, td, J = 7.3, 1.5 Hz, H-4), 7.11 (1H, td, J = 6.8, 1.3 Hz, H-5), 5.29 (1H, br s, NH-11), 3.66 (3H, s, OMe), 3.58 (2H, dt, J = 5.6, 5.6 Hz, H2-10), 3.29 (2H, t, J = 5.6 Hz, H2-9), 2.23 (3H, s, H3-14); 13C NMR (CDCl3, 100 MHz) δC 203.4 (C-8), 169.4 (C-13), 157.0 (C-12), 141.1 (C-2), 135.4 (C-4), 130.8 (C-6), 122.4 (C-5), 121.1 (C-7), 120.8 (C-3), 52.1 (OMe), 39.8 (C-9), 36.0 (C-10), 25.6 (C-14); (+)-ESIMS m/z 265 [M + H]+; (+)-HRESIMS [M + H]+ 265.1191 (calcd. for C13H17N2O4, 265.1183).
An alternative method to bypass the formation of acetamide 19 was to take the crude reaction product containing both 18 and 19, dissolve it in aq. HCl (10%, 40 mL), and heat at reflux for 4 h. Removal of solvents in vacuo afforded 18 as a yellow solid (1.35 g, 66% yield over two steps).

3.2.3. Kynuramine Dihydrobromide (20)

A solution of kynuramine methyl carbamate 18 (1.346 g, 6.06 mmol) in HBr saturated AcOH (20 mL) was heated to 80 °C and stirred for 18 h under N2. The brown solution was cooled to room temperature and THF (80 mL) was added which resulted in the formation of a precipitate. The mixture was stirred in an ice bath for 20 min, then filtered. The brown solid was dried under N2 to afford 20 (1.89 g, 96% yield).
Mp 192.0–193.0 °C (lit. [21] 214.0–216.0 °C); IR νmax (ATR) 3400, 1705, 1619, 1543, 1261 cm−1; 1H NMR (CD3OD, 400 MHz) δH 8.14 (1H, dd, J = 7.8, 1.4 Hz, H-6), 7.69 (1H, td, J = 7.9, 1.4 Hz, H-4), 7.51 (1H, td, J = 7.8, 1.1 Hz, H-5), 7.42 (1H, dd, J = 7.9, 1.1 Hz, H-3), 3.55 (2H, t, J = 6.4 Hz, H2-9), 3.34 (2H, t, J = 6.4 Hz, H2-10); 13C NMR (CD3OD, 100 MHz) δC 200.8 (C-8), 162.8 (C-2), 136.3 (C-4), 132.8 (C-6), 128.9 (C-5), 128.5 (C-7), 125.4 (C-3), 37.8 (C-9), 35.9 (C-10); (+)-ESIMS m/z 165 [M + H]+; (+)-HRESIMS [M + H]+ 165.1016 (calcd. for C9H13N2O, 165.1022).

3.2.4. N-(3,4-Dimethoxyphenethyl)acetamide (22)

Et3N (1.54 mL, 0.01 mol) and acetic anhydride (1.56 mL, 0.02 mol) was added to 2-(3,4-dimethoxyphenyl)ethylamine (21) (0.93 mL, 5.52 mmol). The reaction mixture was yellow, and was stirred at room temperature for 1 h under N2. CH2Cl2 (100 mL) was added then washed with H2O (50 mL) and the organic phase dried in vacuo, to afford 22 as a yellow solid (1.17 g, 95% yield).
Mp 97.8–98.6 °C (lit. [22] 100.0–101.0 °C); Rf (5% MeOH/CH2Cl2) 0.39; IR νmax (ATR) 3250, 3080, 2928, 2840, 1631, 1590, 1516, 1261, 1232, 1155, 1019 cm−1; 1H NMR (CDCl3, 400 MHz) δH 6.80 (1H, d, J = 8.0 Hz, H-8), 6.72 (1H, d, J = 1.8 Hz, H-5), 6.70 (1H, dd, J = 8.0, 1.8 Hz, H-9), 5.55 (1H, br s, NH-1), 3.87 (6H, s, OMe), 3.30 (2H, dt, J = 7.0, 7.0 Hz, H2-2), 2.60 (2H, t, J = 7.0 Hz, H2-3), 1.92 (3H, s, H3-11); 13C NMR (CDCl3, 100 MHz) δC 170.0 (C-10), 149.1 (C-6), 147.7 (C-7), 131.3 (C-4), 120.6 (C-9), 111.9 (C-8), 111.4 (C-5), 55.9 (OMe × 2), 40.7 (C-2), 35.2 (C-3), 23.3 (C-11); (+)-ESIMS m/z 224 [M + H]+; (+)-HRESIMS [M + H]+ 224.1279 (calcd. for C12H18NO3, 224.1281). 1H and 13C NMR data agreed with literature [22].

3.2.5. N-(3,4-Dimethoxyphenethyl)-3-methylbut-2-enamide (23)

To a solution of 3,3-dimethylacrylic acid (100 mg, 1.00 mmol) in dry DMF (3 mL) was added 2-(3,4-dimethoxyphenyl)ethylamine (21) (0.17 mL, 1.00 mmol), PyBOP (520 mg, 1.00 mmol) and Et3N (0.42 mL, 3.00 mmol). The mixture was stirred under N2 at room temperature for 20 h. CH2Cl2 (20 mL) was added, washed with H2O (30 mL), and the organic phase dried in vacuo. EtOAc (75 mL) was added and washed with 5% aq. K2CO3 (50 mL), 10% HCl (10 mL) and brine (20 mL). The organic phase was then dried (MgSO4) and solvent removed in vacuo to give 23 as an orange-brown solid (0.24 g, 92% yield).
Mp 67.0–68.2 °C; Rf (5% MeOH/CH2Cl2) 0.22; IR νmax (ATR) 3302, 3002, 2939, 1666, 1141, 1027 cm−1; 1H NMR (CDCl3, 400 MHz) δH 6.79 (1H, d, J = 8.4 Hz, H-8), 6.73–6.71 (2H, m, H-5 and H-9), 5.48 (1H, s, H-11), 3.84 (6H, s, OMe), 3.50 (2H, dt, J = 7.2, 7.2 Hz, H2-2), 2.76 (2H, t, J = 7.2 Hz, H2-3), 2.12 (3H, s, H3-14), 1.79 (3H, s, H3-13); 13C NMR (CDCl3, 100 MHz) δC 166.9 (C-10), 150.8 (C-12), 148.9 (C-6), 147.5 (C-7), 131.5 (C-4), 120.6 (C-9), 118.4 (C-11), 111.9 (C-5), 111.3 (C-8), 55.8 (OMe × 2), 40.3 (C-2), 35.3 (C-3), 27.0 (C-13), 19.7 (C-14); (+)-ESIMS m/z 264 [M + H]+; (+)-HRESIMS [M + H]+ 264.1595 (calcd. for C15H22NO3, 264.1594).

3.2.6. N-(3,4-Dimethoxyphenethyl)benzamide (24)

To a cold (0 °C) solution of 2-(3,4-dimethoxyphenyl)ethylamine (21) (0.093 mL, 0.55 mmol) and Et3N (0.35 mL, 2.48 mmol) in THF (7.0 mL) was added benzoyl chloride (0.223 mL, 1.93 mmol). The milky white solution was warmed to room temperature and solvents were removed in vacuo. CHCl3 (20 mL) was added, the solution washed with 10% aq. NaCO3 (50 mL), H2O (20 mL) and brine (20 mL) and then the organic phase was dried in vacuo. The residue was triturated with hexane (6 mL) and EtOAc (2 mL) to give 24 as a greenish-white solid (90 mg, 57% yield).
Mp 85.0–85.8 °C (lit. [23] 85.0–86.0 °C); Rf (5% MeOH/CH2Cl2) 0.67; IR νmax (ATR) 3236, 2981, 1634, 1590, 1231 cm−1; 1H NMR (CDCl3, 400 MHz) δH 7.71–7.69 (2H, m, H-12 and H-16), 7.44 (1H, tt, J = 6.4, 1.2 Hz, H-14), 7.38–7.34 (2H, m, H-13 and H-15), 6.78 (1H, d, J = 8.0 Hz, H-8), 6.74–6.72 (2H, m, H-5 and H-9), 3.82 (3H, s, OMe), 3.79 (3H, s, OMe), 3.66 (2H, t, J = 7.2 Hz, H2-2), 2.85 (2H, t, J = 7.2 Hz, H2-3); 13C NMR (CDCl3, 100 MHz) δC 167.6 (C-10), 148.9 (C-6), 147.5 (C-7), 134.2 (C-11), 131.4 (C-14), 131.3 (C-4), 128.4 (C-13 and C-15), 126.8 (C-12 and C-16), 120.6 (C-9), 111.9 (C-5), 111.3 (C-8), 55.7 (OMe × 2), 41.3 (C-2), 35.1 (C-3); (+)-ESIMS m/z 286 [M + H]+; (+)-HRESIMS [M + H]+ 286.1437 (calcd. for C17H20NO3, 286.1438). 1H NMR data agreed with literature [23].

3.2.7. N-(3,4-Dimethoxyphenethyl)-2-phenylacetamide (25)

To a solution of phenylacetic acid (200 mg, 1.47 mmol) in dry DMF (3 mL) was added 2-(3,4-dimethoxyphenyl)ethylamine (21) (0.25 mL, 1.47 mmol), PyBOP (764 mg, 1.47 mmol) and Et3N (0.62 mL, 4.41 mmol). The mixture was stirred under N2 at room temperature for 26 h. CH2Cl2 (20 mL) was added, washed with H2O (30 mL), and the organic phase dried in vacuo. The crude product was triturated with hexane (15 mL) and EtOAc (7 mL) to yield a white solid that was recrystallized from ethanol (3 mL) to afford 25 as white crystals (0.438 g, 99% yield).
Mp 111.1–112.2 °C (lit. [24] 110–111 °C); Rf (3 EtOAc:1 Hex) 0.40; IR νmax (ATR) 3245, 3008, 2994, 1660, 1605, 1232 cm−1; 1H NMR (CDCl3, 400 MHz) δH 7.32–7.25 (3H, m, H-14, H-15 and H-16), 7.16 (2H, dd, J = 8.0, 2.0 Hz, H-13 and H-17), 6.71 (1H, d, J = 8.2 Hz, H-8), 6.59 (1H, d, J = 2.0 Hz, H-5), 6.54 (1H, dd, J = 8.2, 2.0 Hz, H-9), 5.36 (1H, br s, NH-1), 3.85 (3H, s, OMe), 3.81 (3H, s, OMe), 3.53 (2H, s, H2-11), 3.44 (2H, dt, J = 6.9, 6.9 Hz, H2-2), 2.67 (2H, t, J = 6.9 Hz, H2-3); 13C NMR (CDCl3, 100 MHz) δC 170.9 (C-10), 149.0 (C-6 or C-7), 147.6 (C-6 or C-7), 134.8 (C-12), 131.1 (C-4), 129.4 (C-13 and C-17), 129.0 (C-14 and C-16), 127.3 (C-15), 120.5 (C-9), 111.7 (C-5), 111.3 (C-8), 55.9 (OMe), 55.8 (OMe), 43.9 (C-11), 40.7 (C-2), 35.0 (C-3); (+)-ESIMS m/z 300 [M + H]+; (+)-HRESIMS [M + H]+ 300.1593 (calcd. for C18H22NO3, 300.1594). 1H NMR data agreed with literature [24].

3.2.8. N-(3,4-Dimethoxyphenethyl)-3-phenylpropanamide (26)

To a cold (0 °C) solution of 2-(3,4-dimethoxyphenyl)ethylamine (21) (90 μL, 0.55 mmol) and Et3N (0.35 mL, 2.48 mmol) in THF (4.5 mL) was added dihydrocinnamoyl chloride (0.29 mL, 1.93 mmol). The milky white solution was warmed to room temperature and then the solvents were removed in vacuo. CHCl3 (20 mL) was added, the solution washed with 10% aq. NaCO3 (50 mL), H2O (20 mL) and brine (20 mL) and then the organic phase was dried in vacuo. The residue was triturated with hexane (7 mL) and EtOAc (2 mL) to give 26 as a pale yellow solid (0.16 g, 93% yield).
Mp 123.1–124.0 °C; Rf (5% MeOH/CH2Cl2) 0.45; IR νmax (ATR) 3249, 2974, 1631, 1534, 1232 cm−1; 1H NMR (CDCl3, 400 MHz) δH 7.29–7.26 (2H, m, H-15, H-17), 7.24–7.16 (3H, m, H-14, H-16, H-18), 6.77 (1H, d, J = 8.0 Hz, H-8), 6.65 (1H, d, J = 2.0 Hz, H-5), 6.61 (1H, dd, J = 8.0, 2.0 Hz, H-9), 3.85 (3H, s, OMe), 3.84 (3H, s, OMe), 3.45 (2H, dt, J = 7.2, 7.2 Hz, H2-2), 2.94 (2H, t, J = 8.0 Hz, H2-12), 2.68 (2H, t, J = 7.2 Hz, H2-3), 2.42 (2H, t, J = 8.0 Hz, H2-11); 13C NMR (CDCl3, 100 MHz) δC 172.0 (C-10), 149.0 (C-6), 147.7 (C-7), 141.0 (C-13), 131.3 (C-4), 128.6 (C-15 and C-17), 128.3 (C-14 and C-18), 126.2 (C-16), 120.6 (C-9), 111.8 (C-5), 111.3 (C-8), 55.9 (OMe × 2), 40.6 (C-2), 38.5 (C-11), 35.2 (C-3), 31.7 (C-12); (+)-ESIMS m/z 314 [M + H]+; (+)-HRESIMS [M + H]+ 314.1748 (calcd. for C19H24NO3, 314.1751).

3.2.9. N-(3,4-Dimethoxyphenethyl)palmitamide (27)

To a cold (0 °C) solution of 2-(3,4-dimethoxyphenyl)ethylamine (21) (0.20 mL, 1.10 mmol) and Et3N (0.70 mL, 5.0 mmol) in THF (10 mL) was added palmitoyl chloride (1.18 mL, 3.86 mmol). The milky white solution was warmed to room temperature and then the solvents were removed in vacuo. CHCl3 (20 mL) was added, the solution washed with 10% aq. NaCO3 (50 mL), H2O (20 mL) and brine (20 mL) and then the organic phase was dried in vacuo. The residue was triturated with hexane (10 mL) and EtOAc (5 mL) to give 27 as a white solid (0.30 g, 65% yield).
Mp 94.0–95.1 °C; Rf (3 EtOAc:1 Hex) 0.73; IR νmax (ATR) 3301, 2955, 2918, 1705, 1638, 1591, 1232, 1140 cm−1; 1H NMR (CDCl3, 400 MHz) δH 6.80 (1H, d, J = 8.4 Hz, H-8), 6.73–6.71 (2H, m, H-5 and H-9), 5.43 (1H, s, NH-1), 3.86 (6H, s, OMe), 3.49 (2H, dt, J = 7.2, 7.2 Hz, H2-2), 2.75 (2H, t, J = 7.2 Hz, H2-3), 2.11 (2H, t, J = 7.6 Hz, H2-11), 1.58 (2H, br t, J = 7.2 Hz, H2-12), 1.24 (24H, br s, H2-13–H2-24), 0.87 (3H, t, J = 7.2 Hz, H3-25); 13C NMR (CDCl3, 100 MHz) δC 173.2 (C-10), 149.2 (C-6), 147.8 (C-7), 131.6 (C-4), 120.8 (C-9), 112.0 (C-5), 111.4 (C-8), 56.0 (OMe × 2), 40.7 (C-2), 37.0 (C-11), 35.5 (C-3), 32.1 (C-23), 29.8 (C-13–C-22), 25.9 (C-12), 22.8 (C-24), 14.3 (C-25); (+)-ESIMS m/z 420 [M + H]+; (+)-HRESIMS [M + H]+ 420.3460 (calcd. for C26H45NO3, 420.3472).

3.2.10. General Procedure for the Preparation of N-Acyl Dopamine Analogues 28–33

To a stirred solution of 3,4-dimethoxyphenethylamide 2833 in dry CH2Cl2 (20 mL) in a salted ice bath, boron tribromide (10 equiv.) in dry CH2Cl2 (10 mL) was added dropwise. The solution turned from yellow to orange, and was stirred under N2 for 20 h with temperature rising to room temperature. MeOH (3 mL) and saturated brine (5 mL) were then added dropwise. EtOAc (30 mL) was added, the organic phase washed with H2O (30 mL), dried (MgSO4) and solvent removed in vacuo to afford the N-acyl dopamine analogue. The product was used in the subsequent reaction without further purification.

3.2.10.1. N-Acetyl Dopamine (28)

From N-(3,4-dimethoxyphenethyl)acetamide (22) (200 mg, 0.9 mmol) to afford 28 as a yellow oil (158 mg, 90% yield).
IR νmax (ATR) 3215, 1624, 1558, 1439, 1284 cm−1; 1H NMR (CD3OD, 400 MHz) δH 6.69 (1H, d, J = 8.0 Hz, H-8), 6.65 (1H, d, J = 2.0 Hz, H-5), 6.45 (1H, dd, J = 8.0, 2.0 Hz, H-9), 3.30 (2H, t, J = 7.2 Hz, H2-2), 2.60 (2H, t, J = 7.2 Hz, H2-3), 1.89 (3H, s, H3-11); 13C NMR (CD3OD, 100 MHz) δC 172.1 (C-10), 144.8 (C-6), 143.3 (C-7), 130.7 (C-4), 119.8 (C-9), 115.6 (C-8), 115.1 (C-5), 41.0 (C-2), 34.4 (C-3), 21.2 (C-11); (+)-ESIMS m/z 196 [M + H]+; (+)-HRESIMS [M + H]+ 196.0970 (calcd. for C10H14NO3, 196.0968).

3.2.10.2. N-(3,4-Dihydroxyphenethyl)-3-methylbut-2-enamide (29)

From N-(3,4-dimethoxyphenethyl)-3-methylbut-2-enamide (23) (90 mg, 0.35 mmol) to afford 29 as a yellow oil (81 mg, 98% yield).
IR νmax (ATR) 3240, 2976, 1657, 1598, 1442, 1165 cm−1; 1H NMR (CD3OD, 400 MHz) δH 6.77 (1H, d, J = 8.0 Hz, H-8), 6.65 (1H, d, J = 2.0 Hz, H-5), 6.51 (1H, dd, J = 8.0, 2.0 Hz, H-9), 5.50 (1H, s, H-11), 3.30 (2H, t, J = 8.0 Hz, H2-2), 2.62 (2H, t, J = 8.0 Hz, H2-3), 2.06 (3H, s, H3-14), 1.80 (3H, s, H3-13); 13C NMR (CD3OD, 100 MHz) δC 169.7 (C-10), 151.4 (C-12), 146.2 (C-6), 144.7 (C-7), 132.2 (C-4), 121.0 (C-9), 119.6 (C-11), 116.9 (C-5), 116.3 (C-8), 42.1 (C-2), 36.1 (C-3), 27.2 (C-13), 20.0 (C-14); (+)-ESIMS m/z 236 [M + H]+; (+)-HRESIMS [M + H]+ 236.1275 (calcd. for C13H18NO3, 236.1281).

3.2.10.3. N-(3,4-Dihydroxyphenethyl)benzamide (30)

From N-(3,4-dimethoxyphenethyl)benzamide (24) (196 mg, 0.69 mmol) to afford 30 as a yellow oil (150 mg, 85% yield).
IR νmax (ATR) 3251, 2257, 1634, 1529, 1285 cm−1; 1H NMR (DMSO-d6, 400 MHz) δH 8.49 (1H, t, J = 5.6 Hz, NH-1), 7.83–7.80 (2H, m, H-12 and H-16), 7.51 (1H, tt, J = 7.2, 1.6 Hz, H-14), 7.45 (2H, td, J = 6.8, 1.6 Hz, H-13 and H-15), 6.65–6.62 (2H, m, H-5 and H-8), 6.47 (1H, dd, J = 8.0, 2.0 Hz, H-9), 3.39 (2H, dt, J = 8.0, 5.6 Hz, H2-2), 2.65 (2H, t, J = 8.0 Hz, H2-3); 13C NMR (DMSO-d6, 100 MHz) δC 166.0 (C-10), 145.0 (C-6), 143.4 (C-7), 134.6 (C-11), 130.9 (C-14), 130.2 (C-4), 128.2 (C-12 and C-16), 127.0 (C-13 and C-15), 119.2 (C-9), 115.9 (C-5), 115.4 (C-8), 41.2 (C-2), 34.6 (C-3); (+)-ESIMS m/z 258 [M + H]+; (+)-HRESIMS [M + H]+ 258.112 (calcd. for C15H16NO3, 258.1125).

3.2.10.4. N-(3,4-Dihydroxyphenethyl)-2-phenylacetamide (31)

From N-(3,4-dimethoxyphenethyl)-2-phenylacetamide (25) (200 mg, 0.67 mmol) to afford 31 as a yellow oil (142 mg, 79% yield).
IR νmax (ATR) 3546, 3399, 3236, 1636, 1613, 1524, 1495, 1358, 1282, 1193 cm−1; 1H NMR (CD3OD, 400 MHz) δH 7.31–7.26 (2H, m, H-14, H-16), 7.24–7.30 (3H, m, H-13, H-15 and H-17), 6.65 (1H, d, J = 8.0 Hz, H-8), 6.62 (1H, d, J = 2.0 Hz, H-5), 6.45 (1H, dd, J = 8.0, 2.0 Hz, H-9), 3.46 (2H, s, H2-11), 3.36–3.33 (2H, m, H2-2), 2.62 (2H, t, J = 7.2 Hz, H2-3); 13C NMR (CD3OD, 100 MHz) δC 174.1 (C-10), 146.2 (C-6), 144.8 (C-7), 136.5 (C-12), 131.9 (C-4), 130.1 (C-13 and C-17), 129.6 (C-14 and C-16), 127.9 (C-15), 121.2 (C-9), 116.7 (C-5), 116.4 (C-8), 43.9 (C-11), 42.4 (C-2), 35.8 (C-3); (+)-ESIMS m/z 272 [M + H]+; (+)-HRESIMS [M + H]+ 272.1272 (calcd. for C16H18NO3, 272.1281). 1H NMR data agreed with literature [25].

3.2.10.5. N-(3,4-Dihydroxyphenethyl)-3-phenylpropanamide (32)

From N-(3,4-dimethoxyphenethyl)-3-phenylpropanamide (26) (298 mg, 0.95 mmol) to afford 32 as a yellow oil (240 mg, 89% yield).
IR νmax (ATR) 3214, 1604, 1521, 1446, 1281, 1190 cm−1; 1H NMR (CD3OD, 400 MHz) δH 7.15 (2H, dt, J = 8.4, 0.8 Hz, H-15, H-17), 7.08–7.06 (3H, m, H-14, H-16 and H-18), 6.60 (1H, d, J = 8.0 Hz, H-8), 6.56 (1H, d, J = 2.4 Hz, H-5), 6.37 (1H, dd, J = 8.0, 2.4 Hz, H-9), 3.22–3.20 (2H, m, H2-2), 2.78 (2H, t, J = 8.2 Hz, H2-12), 2.48 (2H, t, J = 7.6 Hz, H2-3), 2.39 (2H, t, J = 8.2 Hz, H2-11); 13C NMR (CDCl3, 100 MHz) δC 175.6 (C-10), 146.1 (C-6), 144.6 (C-7), 141.8 (C-13), 131.9 (C-4), 129.5 (C-14, C-15, C-17, and C-18), 127.3 (C-16), 121.1 (C-9), 116.8 (C-5), 116.4 (C-8), 42.5 (C-2), 38.7 (C-11), 35.7 (C-3), 33.0 (C-12); (+)-ESIMS m/z 286 [M+H]+; (+)-HRESIMS [M+H]+ 286.1433 (calcd. for C17H20NO3, 286.1438). 1H NMR data agreed with literature [25].

3.2.10.6. N-(3,4-Dihydroxyphenethyl)palmitamide (33)

From N-(3,4-dimethoxyphenethyl)palmitamide (27) (200 mg, 0.48 mmol) to afford 33 as a colourless oil (150 mg, 75% yield).
IR νmax (ATR) 3546, 3401, 3237, 2918, 2059, 1637, 1554, 1356, 1194, 1119 cm−1; 1H NMR (DMSO-d6, 400 MHz) δH 7.78 (1H, t, J = 5.6 Hz, NH-1), 6.61 (1H, d, J = 8.0 Hz, H-8), 6.55 (1H, d, J = 2.5 Hz, H-5), 6.41 (1H, dd, J = 8.0, 2.5 Hz, H-9), 3.14 (2H, dt, J = 7.2, 5.6 Hz, H2-2), 2.50 (2H, t, J = 7.2 Hz, H2-3), 2.01 (2H, t, J = 7.6 Hz, H2-11), 1.45 (2H, t, J = 6.8 Hz, H2-12), 1.23 (24H, br s, H2-13–H2-24), 0.87 (3H, t, J = 7.2 Hz, H3-25); 13C NMR (DMSO-d6, 100 MHz) δC 171.8 (C-10), 144.9 (C-6), 143.4 (C-7), 130.2 (C-4), 119.1 (C-9), 115.8 (C-5), 115.3 (C-8), 40.4 (C-2), 35.4 (C-11), 34.7 (C-3), 31.2 (C-23), 28.7 (C-13–C-22), 25.2 (C-12), 22.0 (C-24), 13.9 (C-25); (+)-ESIMS m/z 391 [M + H]+; (+)-HRESIMS [M + H]+ 392.3156 (calcd. for C24H42NO3, 392.3159). 1H NMR data agreed with literature [26].

3.2.11. General Procedure for the Preparation of N-Acyl Styelsamine Analogues 13, 34–38

To a solution of N-acyl dopamine (1 equiv.) in degassed 2:1 MeOH:AcOH (6 mL) was added kynuramine dihydrobromide (1.05 equiv.) followed by CeCl3·7H2O (0.2 equiv.). To the stirred yellow solution under N2 was added Ag2O (2–4 equiv.) and the suspension warmed to 40 °C for 1.5 h. The yellow solution was filtered and added dropwise to stirring HCl (6 N, 15 mL) at 90 °C and heated for a further 30 min during which time the colour of the solution changed to purple. The solution was dried in vacuo and the residue purified by either RP-2 or RP-18 column chromatography using H2O (0.05% TFA)–MeOH solvent mixtures to afford the product as a purple oil.

3.2.11.1. Styelsamine B Trifluoroacetate (13)

Using the general procedure, reaction of N-acetyl dopamine (28) (52 mg, 0.27 mmol) with kynuramine dihydrobromide (92 mg, 0.28 mmol), CeCl3.7H2O (14.0 mg, 0.04 mmol) and Ag2O (123 mg, 0.53 mmol) afforded, after RP-2 column chromatography, 13 as a purple oil (22.0 mg, 19% yield).
IR νmax (ATR) 3389, 3075, 1679, 1205, 1138 cm−1; Rt = 5.99 min; 1H NMR (CD3OD, 400 MHz) δH 7.93 (1H, d, J = 5.8 Hz, H-2), 7.81 (1H, d, J = 7.8 Hz, H-4), 7.52 (1H, t, J = 8.0 Hz, H-6), 7.46 (1H, d, J = 8.0 Hz, H-7), 7.20 (1H, s, H-10), 7.14 (1H, d, J = 5.8 Hz, H-3), 7.10 (1H, t, J = 7.8 Hz, H-5), 3.20 (2H, t, J = 6.8 Hz, H2-13), 2.79 (2H, t, J = 6.8 Hz, H2-12), 2.04 (3H, s, H3-16); 13C NMR (CD3OD, 100 MHz) δC 174.7 (C-15), 150.8 (C-3a), 143.4 (C-2), 142.3 (C-7a), 138.0 (C-11), 136.2 (C-6), 129.7 (C-8a), 127.2 (C-11a), 126.0 (C-4), 123.9 (C-5), 122.6 (C-10), 121.6 (C-11b), 118.9 (C-7), 117.3 (C-9), 115.2 (C-3b), 105.6 (C-3), 39.3 (C-13), 31.9 (C-12), 22.5 (C-16); (+)-ESIMS m/z 320 [M + H]+; (+)-HRESIMS [M + H]+ 320.1391 (calcd. for C19H18N3O2, 320.1394). 1H and 13C NMR data agreed with literature [6].

3.2.11.2. Styelsamine-N14-3-methyl-but-2-enamide (34)

Using the general procedure, reaction of N-(3,4-dihydroxyphenethyl)-3-methylbut-2-enamide (29) (98 mg, 0.42 mmol) with kynuramine dihydrobromide (142 mg, 0.44 mmol), CeCl3·7H2O (22 mg, 0.06 mmol) and Ag2O (360 mg, 1.57 mmol) afforded, after RP-2 column chromatography, 34 as a purple oil (12.0 mg, 6% yield).
IR νmax (ATR) 3374, 3069, 1699, 1684, 1499, 1205 cm−1; Rt = 9.53 min; 1H NMR (CD3OD, 400 MHz) δH 7.89 (1H, d, J = 5.8 Hz, H-2), 7.78 (1H, d, J = 8.0 Hz, H-4), 7.47 (2H, br s, H-6 and H-7), 7.14 (1H, s, H-10), 7.11–7.05 (2H, m, H-3 and H-5), 5.68 (1H, s, H-16), 3.15 (2H, t, J = 8.4 Hz, H2-13), 2.75 (2H, t, J = 7.2 Hz, H2-12), 2.22 (3H, s, H3-19), 1.87 (3H, s, H3-18); 13C NMR (CD3OD, 100 MHz) δC 170.9 (C-15), 153.4 (C-17), 151.0 (C-3a), 143.3 (C-2), 142.5 (C-7a), 137.9 (C-11), 136.1 (C-6), 130.6 (C-8a), 127.0 (C-11a), 126.0 (C-4), 123.8 (C-5), 122.7 (C-11b and C-10), 118.9 (C-16), 118.8 (C-7), 117.5 (C-9), 115.4 (C-3b), 105.4 (C-3), 39.2 (C-13), 32.5 (C-12), 27.5 (C-18), 20.3 (C-19); (+)-ESIMS m/z 360 [M + H]+; (+)-HRESIMS [M + H]+ 360.1723 (calcd. for C22H22N3O2, 360.1707).

3.2.11.3. Styelsamine-N14-benzamide (35)

Using the general procedure, reaction of N-(3,4-dihydroxyphenethyl)benzamide (30) (43.0 mg, 0.17 mmol) with kynuramine dihydrobromide (57.0 mg, 0.18 mmol), CeCl3·7H2O (9.0 mg, 0.03 mmol) and Ag2O (97 mg, 0.42 mmol) afforded, after RP-2 column chromatography, 35 as a purple oil (13.0 mg, 15% yield).
IR νmax (ATR) 3327, 3052, 1654, 1582, 1205 cm−1; Rt = 9.17 min; 1H NMR (CD3OD, 400 MHz) δH 11.66 (1H, s, NH-1), 8.97 (1H, t, J = 5.4 Hz, NH-14), 8.05 (1H, d, J = 8.0 Hz, H-2), 8.00 (1H, d, J = 7.8 Hz, H-4), 7.88 (2H, d, J = 7.6 Hz, H-17 and H-21), 7.70 (1H, d, J = 8.0 Hz, H-7), 7.63 (1H, t, J = 8.0 Hz, H-6), 7.56 (1H, dt, J = 6.4, 0.8 Hz, H-19), 7.47 (2H, t, J = 8.0 Hz, H-18 and H-20), 7.35–7.31 (2H, m, H-3 and H-10), 7.19 (1H, t, J = 7.8 Hz, H-5), 3.49 (2H, t, J = 7.6 Hz, H2-13), 3.05 (2H, t, J = 7.6 Hz, H2-12); 13C NMR (CD3OD, 100 MHz) δC 171.3 (C-15), 151.4 (C-3a), 143.5 (C-2), 142.7 (C-7a), 138.1 (C-11), 136.4 (C-6), 134.9 (C-16), 133.1 (C-19), 130.2 (C-11b), 129.7 (C-18 and C-20), 128.4 (C-17 and C-21), 127.6 (C-11a), 126.2 (C-4), 124.0 (C-5), 122.8 (C-10), 122.0 (C-8a), 119.2 (C-7), 117.5 (C-9), 115.5 (C-3b), 105.7 (C-3), 39.9 (C-13), 32.2 (C-12); (+)-ESIMS m/z 382 [M + H]+; (+)-HRESIMS [M + H]+ 382.1538 (calcd. for C24H20N3O2, 382.1550).

3.2.11.4. Styelsamine-N14-2-phenylacetamide (36)

Using the general procedure, reaction of N-(3,4-dihydroxyphenethyl)-2-phenylacetamide (31) (142 mg, 0.52 mmol) with kynuramine dihydrobromide (178 mg, 0.55 mmol), CeCl3·7H2O (28.0 mg, 0.08 mmol) and Ag2O (360 mg, 1.57 mmol) afforded, after RP-2 column chromatography, 36 as a purple oil (28.0 mg, 11% yield).
IR νmax (ATR) 3283, 3068, 1661, 1583 cm−1; Rt = 8.25 min; 1H NMR (CD3OD, 400 MHz) δH 8.05 (1H, d, J = 6.8 Hz, H-2), 8.00 (1H, d, J = 8.4 Hz, H-4), 7.62 (1H, br d, J = 8.2 Hz, H-6), 7.57 (1H, d, J = 8.2 Hz, H-7), 7.35–7.33 (1H, m, H-3), 7.33 (1H, s, H-10), 7.30–7.28 (3H, m, H-5, H-19 and H-21), 7.25–7.17 (3H, m, H-18, H-20 and H-22), 3.56 (2H, s, H2-16), 3.35 (2H, t, J = 8.0 Hz, H2-13), 2.94 (2H, t, J = 7.6 Hz, H2-12); 13C NMR (CD3OD, 100 MHz) δC 175.4 (C-15), 151.4 (C-3a), 143.5 (C-2), 142.7 (C-7a), 138.1 (C-11), 136.7 (C-17), 136.3 (C-6), 130.2 (C-18 and C-22), 129.7 (C-8a, C-19 and C-21), 128.1 (C-11a), 127.5 (C-20), 126.2 (C-4), 124.0 (C-5), 122.8 (C-10), 122.0 (C-11b), 119.1 (C-7), 117.3 (C-9), 115.5 (C-3b), 105.7 (C-3), 43.8 (C-16), 39.5 (C-13), 31.7 (C-12); (+)-ESIMS m/z 396 [M + H]+; (+)-HRESIMS [M + H]+ 396.1701 (calcd. for C25H22N3O2, 396.1707).

3.2.11.5. Styelsamine-N14-3-phenylpropanamide (37)

Using the general procedure, reaction of N-(3,4-dihydroxyphenethyl)-3-phenylpropanamide (32) (80.0 mg, 0.28 mmol) with kynuramine dihydrobromide (96.0 mg, 0.30 mmol), CeCl3·7H2O (15.0 mg, 0.04 mmol) and Ag2O (163 mg, 0.70 mmol) afforded, after RP-2 column chromatography, 37 as a purple oil (29.0 mg, 20% yield).
IR νmax (ATR) 3321, 1661, 1584, 1202, 1130, 1015 cm−1; Rt = 10.60 min; 1H NMR (DMSO-d6, 400 MHz) δH 13.49 (1H, br s, NH-1), 11.48 (1H, br s, OH), 10.80 (1H, br s, NH-8), 8.46 (1H, t, J = 5.6 Hz, NH-14), 8.26 (1H, d, J = 6.4 Hz, H-2), 8.22 (1H, d, J = 8.0 Hz, H-4), 7.71 (2H, d, J = 4.0 Hz, H-6 and H-7), 7.55 (1H, d, J = 6.4 Hz, H-3), 7.45 (1H, s, H-10), 7.28-7.14 (6H, m, H-5, H-19, H-20, H-21, H-22 and H-23), 3.28 (2H, dt, J = 6.8, 5.6 Hz, H2-13), 2.96 (2H, t, J = 6.8 Hz, H2-12), 2.85 (2H, t, J = 7.6 Hz, H2-17), 2.45 (2H, t, J = 7.6 Hz, H2-16); 13C NMR (DMSO-d6, 100 MHz) δC 173.2 (C-15), 149.2 (C-3a), 143.4 (C-2), 141.1 (C-7a and C-18), 136.7 (C-11), 135.0 (C-6), 128.3 (C-11a), 128.4 (C-8a), 128.2 (C-19, C-20, C-22 and C-23), 126.0 (C-21), 125.5 (C-4), 122.4 (C-5), 121.7 (C-10), 120.4 (C-11b), 117.7 (C-7), 116.2 (C-9), 113.9 (C-3b), 105.0 (C-3), 37.7 (C-13), 36.8 (C-16), 31.1 (C-17), 30.3 (C-12); (+)-ESIMS m/z 410 [M + H]+; (+)-HRESIMS [M + H]+ 410.1875 (calcd. for C26H24N3O2, 410.1863).

3.2.11.6. Styelsamine-N14-palmitamide (38)

Using the general procedure, reaction of N-(3,4-dihydroxyphenethyl)palmitamide (33) (150.0 mg, 0.38 mmol) with kynuramine dihydrobromide (122 mg, 0.38 mmol), CeCl3.7H2O (2.0 mg, 0.05 mmol) and Ag2O (210 mg, 0.89 mmol) afforded, after RP-18 column chromatography, 38 as a purple oil (40 mg, 16% yield).
IR νmax (ATR) 3286, 3074, 2917, 1685, 1560, 1511, 1467, 1200 cm−1; 1H NMR (CD3OD, 400 MHz) δH 8.13 (2H, d, J = 6.4 Hz, H-2 and H-4), 7.74–7.67 (2H, m, H-6 and H-7), 7.47 (1H, d, J = 6.8 Hz, H-3), 7.42 (1H, s, H-10), 7.27 (1H, t, J = 7.4 Hz, H-5), 3.37 (2H, t, J = 7.6 Hz, H2-13), 3.06 (2H, t, J = 7.6 Hz, H2-12), 2.26–2.24 (2H, m, H2-16), 1.65 (2H, t, J = 7.2 Hz, H2-17), 1.28 (24H, br s, H2-18–H2-29), 0.87 (3H, J = 7.2 Hz, H3-30); 13C NMR (CD3OD, 100 MHz) δC 177.8 (C-15), 151.7 (C-3a), 143.7 (C-2), 142.9 (C-7a), 138.2 (C-11), 136.4 (C-6), 130.4 (C-8a), 127.8 (C-11a), 126.3 (C-4), 124.1 (C-5), 122.9 (C-10), 122.3 (C-11b), 119.2 (C-7), 117.6 (C-9), 115.7 (C-3b), 105.8 (C-3), 39.4 (C-13), 37.0 (C-16), 33.1 (C-28), 32.1 (C-12), 30.8 (C-18–C-27), 26.9 (C-17), 23.8 (C-29), 14.5 (C-30); (+)-ESIMS m/z 516 [M + H]+; (+)-HRESIMS [M + H]+ 516.3589 (calcd. for C33H46N3O2, 516.3585).

3.2.12. General Procedure for the Preparation of N-Acyl Cystodytin Analogues 1, 10, 39–42

To a stirring solution of styelsamine analogue (1 equiv.) in MeOH (1.0 mL) was added Ag2O (1.5 equiv.) followed by sat. NaHCO3 (3 mL) dropwise. The purple mixture turned to red/orange then to yellow/green. The mixture was filtered, H2O (1.0 mL) and EtOAc (5.0 mL) added and the organic phase separated and dried in vacuo to afford the product as a yellow oil or solid.

3.2.12.1. Cystodytin J (10)

Using the general procedure, reaction of styelsamine B (13) (7.0 mg, 0.016 mmol) with Ag2O (5.0 mg, 0.022 mmol) afforded 10 as a yellow oil (4.0 mg, 79% yield) [10].
1H NMR (CDCl3, 400 MHz) δH 8.94 (1H, d, J = 5.3 Hz, H-2), 8.59 (1H, d, J = 8.1 Hz, H-4), 8.55 (1H, d, J = 5.3 Hz, H-3), 8.32 (1H, dd, J = 8.4, 1.1 Hz, H-7), 7.91 (1H, dt, J = 8.4, 1.4 Hz, H-6), 7.83 (1H, dt, J = 8.1, 1.1 Hz, H-5), 6.95 (1H, s, H-10), 3.78 (2H, dt, J = 6.4, 6.4 Hz, H2-13), 3.32 (2H, t, J = 6.4 Hz, H2-12), 1.59 (3H, s, H3-16); (+)-ESIMS m/z 318 [M + H]+; (+)-HRESIMS [M + H]+ 318.1230 (calcd. for C19H16N3O2, 318.1237). 1H NMR data agreed with literature [4].

3.2.12.2. Cystodytin A (1)

Using the general procedure, reaction of styelsamine analogue 34 (15.0 mg, 0.032 mmol) with Ag2O (8.0 mg, 0.042 mmol) afforded 1 as a yellow oil (7.0 mg, 62% yield).
1H NMR (CDCl3, 400 MHz) δH 9.24 (1H, d, J = 5.6 Hz, H-2), 8.60 (1H, dd, J = 7.8, 1.4 Hz, H-4), 8.57 (2H, d, J = 5.6 Hz, H-3), 8.32 (1H, dd, J = 7.8, 1.0 Hz, H-7), 7.94 (1H, dt, J = 7.8, 1.4 Hz, H-6), 7.85 (1H, dt, J = 7.8, 1.0 Hz, H-5), 6.95 (1H, s, H-10), 5.85 (1H, br s, NH-14), 5.50 (1H, s, H-16), 3.81 (2H, dt, J = 6.4, 6.4 Hz, H2-13), 3.36 (2H, t, J = 6.4 Hz, H2-12), 2.10 (3H, s, H3-19), 1.79 (3H, s, H3-18); (+)-ESIMS m/z 358 [M + H]+; (+)-HRESIMS [M + H]+ 358.1544 (calcd. for C22H20N3O2, 358.1550). 1H NMR data agreed with literature [2].

3.2.12.3. Cystodytin-N14-benzamide (39)

Using the general procedure, reaction of styelsamine analogue 35 (20.0 mg, 0.040 mmol) with Ag2O (12.0 mg, 0.053 mmol) afforded 39 as a yellow oil (8.00 mg, 52% yield).
Rf (5% MeOH/CH2Cl2) 0.37; IR νmax (smear) 3298, 1653, 1550, 1432, 1202, 766 cm−1; 1H NMR (CDCl3, 400 MHz) δH 9.24 (1H, d, J = 5.6 Hz, H-2), 8.60 (1H, d, J = 7.6 Hz, H-4), 8.58 (1H, d, J = 5.6 Hz, H-3), 8.30 (1H, d, J = 8.2 Hz, H-7), 7.93 (1H, dt, J = 8.2, 1.2 Hz, H-6), 7.86 (1H, t, J = 7.6 Hz, H-5), 7.65 (2H, d, J = 7.7 Hz, H-17 and H-21), 7.42 (1H, t, J = 1.1 Hz, H-19), 7.31 (2H, t, J = 7.7 Hz, H-18 and H-20), 7.01 (1H, s, H-10), 6.86 (1H, br s, NH-14), 3.98 (2H, dt, J = 6.4, 6.4 Hz, H2-13), 3.44 (2H, t, J = 6.4 Hz, H2-12); 13C NMR (CDCl3, 100 MHz) δC 181.8 (C-11), 173.8 (C-15), 152.7 (C-9), 151.6 (C-8a), 149.7 (C-2), 147.1 (C-11a), 145.3 (C-7a), 137.5 (C-3a), 134.4 (C-16), 132.1 (C-10), 131.9 (C-7), 131.3 (C-6), 131.2 (C-18 and C-20), 129.8 (C-5), 128.5 (C-19), 126.5 (C-17 and C-21), 123.0 (C-4), 121.4 (C-3b), 119.3 (C-3), 118.4 (C-11b), 40.0 (C-13), 31.0 (C-12); (+)-ESIMS m/z 380 [M + H]+; (+)-HRESIMS [M + H]+ 380.1411 (calcd. for C24H18N3O2 380.1394).

3.2.12.4. Cystodytin-N14-2-phenylacetamide (40)

Using the general procedure, reaction of styelsamine analogue 36 (21.0 mg, 0.041 mmol) with Ag2O (12.0 mg, 0.053 mmol) afforded 40 as a yellow oil (2.1 mg, 13% yield).
Rf (5% MeOH/CH2Cl2) 0.25; IR νmax (smear) 3290, 2924, 1657, 1585, 1432, 1201, 722 cm−1; 1H NMR (CDCl3, 400 MHz) δH 9.23 (1H, d, J = 5.3 Hz, H-2), 8.58 (1H, d, J = 7.8 Hz, H-4), 8.55 (1H, d, J = 6.6 Hz, H-3), 8.25 (1H, d, J = 7.9 Hz, H-7), 7.92 (1H, t, J = 7.9 Hz, H-6), 7.84 (1H, t, J = 6.6 Hz, H-5), 7.21–7.18 (2H, m, H-19 and H-21), 7.16–7.11 (3H, m, H-18, H-20 and H-22), 6.81 (1H, s, H-10), 5.74 (1H, s, NH-14), 3.78–3.72 (2H, m, H2-13), 3.52 (2H, s, H2-16), 3.25 (2H, t, J = 6.3 Hz, H2-12); 13C NMR (CDCl3, 100 MHz) δC 183.4 (C-11), 171.2 (C-15), 151.8 (C-9), 150.3 (C-8a), 150.0 (C-2), 147.2 (C-11a), 145.4 (C-7a), 137.8 (C-3a), 134.6 (C-17), 132.8 (C-10), 132.0 (C-7), 131.7 (C-6), 129.9 (C-5), 129.3 (C-19 and C-21), 129.0 (C-18 and C-22), 127.3 (C-20), 122.9 (C-4), 121.9 (C-3b), 119.3 (C-3), 118.5 (C-11b), 43.8 (C-16), 39.3 (C-13), 31.3 (C-12); (+)-ESIMS m/z 394 [M + H]+; (+)-HRESIMS [M + H]+ 394.1552 (calcd. for C25H20N3O2 394.1550).

3.2.12.5. Cystodytin-N14-3-phenylpropanamide (41)

Using the general procedure, reaction of styelsamine analogue 37 (9.0 mg, 0.017 mmol) with Ag2O (5.0 mg, 0.022 mmol) afforded 41 as a yellow oil (5.0 mg, 71% yield).
Rf (5% MeOH/CH2Cl2) 0.13; IR νmax (smear) 3285, 3072, 2922, 1647, 1551, 1588, 1332 cm−1; 1H NMR (CDCl3, 400 MHz) δH 9.20 (1H, d, J = 5.5 Hz, H-2), 8.59 (1H, dd, J = 7.6, 1.4 Hz, H-4), 8.51 (1H, d, J = 5.5 Hz, H-3), 8.28 (1H, dd, J = 7.6, 1.1 Hz, H-7), 7.94 (1H, dt, J = 7.6, 1.4 Hz, H-6), 7.85 (1H, t, J = 7.6, 1.1 Hz, H-5), 7.13 (2H, td, J = 7.5, 1.5 Hz, H-20 and H-22), 7.09–7.07 (2H, m, H-19 and H-23), 7.03 (1H, tt, J = 7.1, 1.4 Hz, H-21), 6.86 (1H, s, H-10), 6.05 (1H, br s, NH-14), 3.75 (2H, dt, J = 6.2, 6.2, H2-13), 3.24 (2H, t, J = 6.2 Hz, H2-12), 2.89 (2H, t, J = 7.6 Hz, H2-17), 2.44 (2H, t, J = 7.6 Hz, H2-16); 13C NMR (CDCl3, 100 MHz) δC 184.0 (C-11), 172.4 (C-15), 152.2 (C-9), 150.7 (C-8a), 150.2 (C-2), 147.0 (C-11a), 145.5 (C-7a), 140.9 (C-18), 137.4 (C-3a), 133.0 (C-10), 132.0 (C-6 and C-7), 130.1 (C-5), 128.5 (C-20 and C-22), 128.4 (C-19 and C-23), 126.3 (C-21), 123.1 (C-4), 122.1 (C-3b), 119.4 (C-3), 118.3 (C-11b), 39.5 (C-13), 38.7 (C-16), 31.9 (C-17), 31.6 (C-12); (+)-ESIMS m/z 407 [M + H]+; (+)-HRESIMS [M + H]+ 408.1716 (calcd. for C26H22N3O2, 408.1707).

3.2.12.6. Cystodytin-N14-palmitamide (42)

Using the general procedure, reaction of styelsamine analogue 38 (37.0 mg, 0.059 mmol) with Ag2O (17.0 mg, 0.072 mmol) afforded 42 as a yellow oil (5.2 mg, 17% yield).
Rf (5% MeOH/CH2Cl2) 0.31; IR νmax (smear) 3303, 2914, 2849, 1656, 1553, 1470, 774 cm−1; 1H NMR (CDCl3, 400 MHz) δH 9.25 (1H, d, J = 5.5 Hz, H-2), 8.61 (1H, dd, J = 8.1, 1.4 Hz, H-4), 8.58 (1H, d, J = 5.5 Hz, H-3), 8.32 (1H, dd, J = 7.5, 1.3 Hz, H-7), 7.95 (1H, td, J = 7.5, 1.4 Hz, H-6), 7.84 (1H, td, J = 8.1, 1.3 Hz, H-5), 6.95 (1H, s, H-10), 6.01 (1H, s, NH-14), 3.79 (2H, dt, J = 6.4, 6.4 Hz, H2-13), 3.32 (2H, t, J = 6.4 Hz, H2-12), 2.11 (2H, d, J = 7.4 Hz, H2-16), 1.55 (2H, br s, H2-17), 1.25 (24H, br s, H2-18–H2-29), 0.88 (3H, t, J = 7.1 Hz, H3-30); 13C NMR (CDCl3, 100 MHz) δC 184.7 (C-11), 173.4 (C-15), 151.9 (C-9), 150.6 (C-8a), 150.2 (C-2), 146.9 (C-11a), 145.5 (C-7a), 137.5 (C-3a), 133.0 (C-10), 132.0 (C-6 and C-7), 130.1 (C-5), 123.3 (C-4), 122.0 (C-3b), 119.5 (C-3), 117.2 (C-11b), 39.5 (C-13), 37.0 (C-16), 32.1 (C-28), 31.8 (C-12), 29.6 (C-18–C-27), 25.9 (C-17), 22.8 (C-29), 14.3 (C-30); (+)-ESIMS m/z 514 [M + H]+; (+)-HRESIMS [M + H]+ 514.3410 (calcd. for C33H44N3O2 514.3428).

3.2.13. Styelsamine D Ditrifluoroacetate (15)

Styelsamine B (13) (35.1 mg, 0.081 mmol) was dissolved in 1:1 MeOH/4N HCl (10 mL) and heated to 80 °C. After 24 h, the solvents were removed in vacuo and the product purified by RP-18 column chromatography (H2O (0.05% TFA):MeOH (0.05% TFA) (100:0 to 85:15)) to afford 15 as a purple oil (30.5 mg, 75% yield).
IR νmax (ATR) 3412, 1678, 1434, 1203, 1180, 1129, 765 cm−1; Rt = 4.68 min; 1H NMR (DMSO-d6, 400 MHz) δH 13.85 (1H, s, NH-1), 10.93 (1H, br s, OH), 8.32 (1H, d, J = 6.8 Hz, H-2), 8.25 (1H, d, J = 7.4 Hz, H-4), 8.03 (3H, br s, NH3-15), 7.75–7.68 (2H, m, H-6 and H-7), 7.62 (1H, d, J = 6.8 Hz, H-3), 7.51 (1H, s, H-10), 7.25 (1H, dt, J = 7.4, 1.5 Hz, H-5), 3.23 (2H, br t, J = 7.5 Hz, H2-12), 3.12–3.11 (2H, m, H2-13); 13C NMR (DMSO-d6, 100 MHz) δC 149.5 (C-3a), 143.6 (C-2), 141.5 (C-7a), 137.4 (C-11), 134.9 (C-6), 128.6 (C-8a), 126.8 (C-11a), 125.5 (C-4), 122.2 (C-5), 121.3 (C-10), 120.8 (C-11b), 118.1 (C-7), 114.2 (C-3b), 113.3 (C-9), 105.4 (C-3), 38.2 (C-13), 28.6 (C-12); (+)-ESIMS m/z 278 [M + H]+; (+)-HRESIMS [M + H]+ 278.1298 (calcd. for C17H16N3O, 278.1288). 1H and 13C NMR data agreed with literature [6].

3.2.14. O-Methyl Styelsamine D Ditrifluoroacetate (43)

Styelsamine B (13) (19.0 mg, 0.044 mmol) was dissolved in 1:1 MeOH/4N HCl (10 mL) and heated to 80 °C. After 48 h, solvents were removed in vacuo and the residue purified by RP-18 column chromatography to afford 15 as a purple oil (13.4 mg, 60% yield) and 43 as a purple oil (10.3 mg, 45% yield).
IR νmax (ATR) 3382, 1675, 1429, 1178, 1138, 765 cm−1; Rt = 4.90 min; 1H NMR (DMSO-d6, 400 MHz) δH 13.85 (1H, br s, NH-1), 11.37 (1H, br s, NH-8), 8.38 (1H, d, J = 6.5 Hz, H-2), 8.28 (1H, d, J = 8.0 Hz, H-4), 8.18 (3H, br s, NH3-14), 8.04 (1H, d, J = 8.3 Hz, H-7), 7.79 (1H, s, H-10), 7.73–7.70 (2H, m, H-3 and H-6), 7.27 (1H, t, J = 8.0 Hz, H-5), 4.06 (3H, s, OMe), 3.38 (2H, t, J = 7.2 Hz, H2-12), 3.14–3.12 (2H, m, H2-13); 13C NMR (DMSO-d6, 100 MHz) δC 149.1 (C-3a), 143.5 (C-2), 141.2 (C-7a), 138.7 (C-11), 135.0 (C-6), 129.6 (C-8a), 127.3 (C-11a), 125.5 (C-4), 122.7 (C-5), 120.1 (C-11b), 119.5 (C-10), 118.0 (C-7), 117.9 (C-9), 113.8 (C-3b), 106.0 (C-3), 56.9 (OMe), 37.9 (C-13), 28.4 (C-12); (+)-ESIMS m/z 292 [M + H]+; (+)-HRESIMS [M + H]+ 292.1448 (calcd. for C18H18N3O 292.1444).

3.2.15. O-Methyl-styelsamine-N14-3-methylbut-2-enamide Trifluoroacetate (46)

To a solution of O-methyl styelsamine D (43) (11.0 mg, 0.021 mmol) in dry DMF (3 mL) was added 3,3-dimethylacrylic acid (5.96 mg, 0.060 mmol) and PyBOP (31.0 mg, 0.060 mmol) followed by Et3N (22 µL, 0.16 mmol). The solution was stirred under N2 at room temperature for 25 h. CH2Cl2 (20 mL) was added, washed with H2O (15 mL) and the organic phase dried in vacuo to give a purple/red oil. Purification using RP-2 column chromatography (H2O (0.05% TFA):MeOH (0.05% TFA) (100:0 to 40:60)) afforded 46 as a purple oil (9.1 mg, 88% yield).
IR νmax (ATR) 3396, 1675, 1586, 1433, 1182, 1134, 765 cm−1; Rt = 7.58 min; 1H NMR (DMSO-d6, 400 MHz) δH 13.78 (1H, br s, NH-1), 11.85 (1H, s, NH-8), 8.51 (1H, t, J = 5.6 Hz, NH-14), 8.34 (1H, d, J = 6.5 Hz, H-2), 8.28 (1H, d, J = 8.2 Hz, H-4), 7.79 (1H, d, J = 7.9 Hz, H-7), 7.76–7.72 (2H, m, H-6 and H-10), 7.68 (1H, d, J = 6.5 Hz, H-3), 7.27 (1H, td, J = 8.2, 1.0 Hz, H-5), 5.72 (1H, s, H-16), 4.03 (3H, s, OMe), 3.34 (2H, dt, J = 7.2, 5.6 Hz, H2-13), 3.08 (2H, t, J = 7.2 Hz, H2-12), 2.16 (3H, s, H3-19), 1.81 (3H, s, H3-18); 13C NMR (DMSO-d6, 100 MHz) δC 167.8 (C-15), 150.1 (C-17), 149.4 (C-3a), 143.5 (C-2), 141.2 (C-7a), 138.5 (C-11), 135.2 (C-6), 129.5 (C-8a), 126.7 (C-11a), 125.7 (C-4), 122.7 (C-5), 119.9 (C-11b), 119.1 (C-10), 118.3 (C-16), 118.1 (C-7), 117.7 (C-9), 114.1 (C-3b), 105.7 (C-3), 56.9 (OMe), 37.4 (C-13), 30.6 (C-12), 26.9 (C-18), 19.5 (C-19); (+)-ESIMS m/z 374 [M + H]+; (+)-HRESIMS [M + H]+ 374.1875 (calcd. for C23H24N3O2, 374.1876). 1H NMR data agreed with literature [2].

3.2.16. O-Methyl-styelsamine-N14-2-phenylacetamide Trifluoroacetate (47)

To a solution of O-methyl styelsamine D (43) (11.0 mg, 0.021 mmol) in dry DMF (2 mL) was added phenylacetic acid (5.1 mg, 0.038 mmol) and PyBOP (19.0 mg, 0.038 mmol) followed by Et3N (16 µL, 0.11 mmol). The solution was stirred under N2 at room temperature for 1 h. CH2Cl2 (10 mL) was added, washed with H2O (10 mL) and the organic phase dried in vacuo to give a purple/red oil. Purification using RP-2 column chromatography (H2O (0.05% TFA):MeOH (0.05% TFA) (100:0 to 50:50)) afforded 47 as a purple oil (5.28 mg, 48% yield).
IR νmax (ATR) 3394, 1679, 1584, 1489, 1140, 1052, 708 cm−1; Rt = 7.33 min; 1H NMR (DMSO-d6, 400 MHz) δH 13.74 (1H, s, NH-1), 11.39 (1H, s, NH-8), 8.56 (1H, t, J = 5.6 Hz, NH-14), 8.35 (1H, d, J = 6.5 Hz, H-2), 8.27 (1H, d, J = 8.2 Hz, H-4), 7.76–7.74 (1H, m, H-7), 7.73–7.71 (2H, m, H-6 and H-10), 7.68 (1H, d, J = 6.5 Hz, H-3), 7.29–7.26 (1H, m, H-5), 7.29–7.23 (2H, m, H-18 and H-22), 7.23–7.19 (3H, m , H-19, H-20 and H-21), 4.00 (3H, s, OMe), 3.46 (2H, s, H2-16), 3.40 (2H, dt, J = 6.9, 5.6 Hz, H2-13), 3.08 (2H, t, J = 6.9 Hz, H2-12); 13C NMR (DMSO-d6, 100 MHz) δC 171.6 (C-15), 149.2 (C-3a), 143.5 (C-2), 141.0 (C-7a), 138.5 (C-11), 136.0 (C-17), 135.2 (C-6), 129.4 (C-8a), 128.8 (C-18 and C-22), 128.2 (C-19 and C-21), 126.7 (C-11a), 126.4 (C-20), 125.6 (C-4), 122.7 (C-5), 119.9 (C-11b), 119.0 (C-10), 118.2 (C-7), 116.0 (C-9), 114.0 (C-3b), 105.7 (C-3), 56.9 (OMe), 42.2 (C-16), 37.6 (C-13), 30.1 (C-12); (+)-ESIMS m/z 410 [M + H]+; (+)-HRESIMS [M + H]+ 410.1855 (calcd. for C26H24N3O2, 410.1863).

3.2.17. O-Methyl-styelsamine-N14-3-phenylpropanamide Trifluoroacetate (48)

To a cold (0 °C) solution of O-methyl styelsamine D (43) (7.0 mg, 0.013 mmol) in dry THF (2 mL) was added dihydrocinnamoyl chloride (5.64 µL, 0.038 mmol) followed by Et3N (7.1 µL, 0.051 mmol). The solution was stirred under N2 at room temperature for 30 min. Solvents were removed in vacuo to give a purple/red oil. Purification using RP-2 (H2O (0.05% TFA):MeOH (0.05% TFA) (100:0 to 50:50)) and LH-20 column chromatography (MeOH (0.05% TFA)) afforded 48 as a purple oil (3.2 mg, 43% yield).
IR νmax (ATR) 3407, 1679, 1584, 1489, 1140, 1052, 701 cm−1; Rt = 7.85 min; 1H NMR (DMSO-d6, 400 MHz) δH 13.69 (1H, s, NH-1), 11.63 (1H, s, NH-8), 8.49 (1H, t, J = 5.5 Hz, NH-14), 8.36 (1H, d, J = 6.4 Hz, H-2), 8.31 (1H, d, J = 8.3 Hz, H-4), 7.80–7.74 (2H, m, H-6 and H-7), 7.76 (1H, s, H-10), 7.70 (1H, d, J = 6.4 Hz, H-3), 7.29 (1H, dt, J = 8.3, 2.2 Hz, H-5), 7.24 (2H, d, J = 7.4 Hz, H-19 and H-23), 7.21–7.15 (3H, m, H-20, H-21 and 22), 4.04 (3H, s, OMe), 3.33 (2H, dt, J = 7.2, 5.5 Hz, H2-13), 3.03 (2H, t, J = 7.2 Hz, H2-12), 2.86 (2H, t, J = 7.7 Hz, H2-17), 2.47–2.45 (2H, m, H2-16); 13C NMR (DMSO-d6, 100 MHz) δC 173.3 (C-15), 149.2 (C-3a), 143.5 (C-2), 141.0 (C-7a and C-18), 138.4 (C-11), 135.3 (C-6), 129.5 (C-8a), 128.2 (C-19, C-20, C-22 and C-23), 125.9 (C-11a and C-21), 125.7 (C-4), 122.7 (C-5), 119.9 (C-11b), 119.1 (C-10), 117.8 (C-7), 116.0 (C-9), 114.1 (C-3b), 105.7 (C-3), 56.9 (OMe), 37.5 (C-13), 36.8 (C-16), 31.0 (C-17), 30.3 (C-12); (+)-ESIMS m/z 424 [M + H]+; (+)-HRESIMS [M + H]+ 424.2005 (calcd. for C27H26N3O2, 424.2020).

3.3. Biological Assays

3.3.1. Ethidium Bromide Displacement Assay

3.3.1.1. Preparation of Solutions

An acetate buffer solution (pH 5) was prepared daily using NaOAc (2 mM), NaCl (9.3 mM) and Na2EDTA (0.1 mM). The acetate buffer was preferred in this displacement assay as the compounds being tested are easily oxidized (de-protonated); an instant color change from purple to yellow was observed in a pH 7 SHE buffer solution (NaCl [9.4 mM], EDTA [20µM] and HEPES [2 nM]) while a color change occur only after one and a half hours in acetate buffer solution. A stock solution of ethidium bromide (1.26 mM) was prepared by dissolving ethidium bromide (0.5 mg) in 1 mL of acetate buffer. A volume of 3 µL is required to make up a 3 mL DNA-ethidium bromide solution to give 1.26 µM of ethidium bromide.
The stock solutions of calf thymus DNA (CT-DNA) was prepared in an acetate buffer daily and then diluted down until absorbance of the CT-DNA at 260 nm is less than 1 absorbance unit. The concentration of CT-DNA solution was calculated in base pairs using the formula A = εcl (absorbance, A; absorption coefficient, ε, 13200 in base pairs [or 6600 in nucleotides] for CT-DNA; concentration, c, moles per liter; path length, l, 1 cm) [16]. Experiments that used a stock solution of CT-DNA that was older than four days were found to have lower initial fluorescence intensity, possibly due to the CT-DNA becoming partially hydrolyzed or depurinated, requiring the CT-DNA solution to be prepared daily. Once the concentration of the stock solution of CT-DNA was determined, the appropriate volume needed to make up a 3 mL DNA-ethidium bromide solution to give a total concentration of 1 µM of CT-DNA was then calculated.
The test compounds were prepared to a concentration of 1 mM using acetate buffer. In some cases (as indicated in Table 1) DMSO (up to 0.5% total volume) was also used if required to dissolve certain compounds.

3.3.1.2. General Methods for Competitive Ethidium Bromide Displacement Assay

All UV and fluorescence measurements were performed in 3 mL quartz cuvettes. Absorbance of CT-DNA solutions were measured using either a UV-2101 PC UV-VIS scanning Shimadzu Spectrophotometer or a Perkin-Elmer Lambda 35 UV/VIS spectrometer (at 260 nm). Fluorescence intensity for the ethidium bromide displacement assays were measured using a Perkin-Elmer LS 55 Luminescence Spectrometer (emission at 546 nm; excitation at 595 nm; emission slits at 10; excitation slits at 5). All solution used were at room temperature and stored in a freezer when they were not required.
All glassware was washed with deionized H2O and dried with N2 gas before each experiment. Six DNA-ethidium bromide solutions were prepared by dilution with the acetate buffer to contain 1 µM CT-DNA and 1.26 µM ethidium bromide to make up a 3 mL solution. Each DNA-ethidium bromide solution was well mixed before measuring the initial florescence of the DNA-ethidium bromide solution in the cuvette. The fluorescence was reported as an average of five readings. Different volumes (constant differences, e.g., 3, 6, 9, 12, 15, 18 µL) of the test compound (1 mM) were added to each of the DNA-ethidium bromide test solutions. After equilibration for 15 min, the fluorescence of the solutions was measured in the order from lowest concentration to the highest concentration of test compound and reported from an average of five readings. Sets of volumes were screened until the fluorescence was below 50% of the initial reading. Once the volume was determined, the assay was repeated twice more to get an uncertainty value. Dilution effect was taken into consideration when the volume change is greater than 5% and fluorescence was corrected using the formula Fcorr = Fexp × (3000 + V)/3000 [where V is the volume (in µL) of the compound added]. C50, concentration (µM) of compound required to reduce the fluorescence by 50%, was interpolated by graphing the concentration of the test compound versus the observed fluorescence. The apparent binding constants (Kapp) were calculated as follows: Kapp = (1.26/C50) × Kethidium, with a value of Kethidium = 2.1 × 106 M(bp)−1 [16].

3.3.2. Antitumor Testing

Details of the testing of compounds for antitumor activity under the auspices of the Developmental Therapeutics Program NCI/NIH are available elsewhere [27].

3.4. cLogP Calculations

The log P calculations were performed using the ALOGPS 2.1 software package [17,18].

4. Conclusions

A series of natural and un-natural analogues of the pyrido[4,3,2-mn]acridine styelsamine and pyridoacridone cystodytin marine natural products were prepared and evaluated for DNA binding affinity and whole cell antiproliferative properties against a panel of human tumor cell lines. Overall it was found that styelsamine analogues were stronger DNA binders, with the natural products styelsamines B and D having particularly high affinity. In comparison the cystodytin iminoquinone alkaloids showed lower affinity for DNA, but were just as active as styelsamine analogues at inhibiting proliferation of tumor cells in vitro. Whole cell activity of both styelsamines and cystodytins correlated with lipophilicity, with the most potent growth inhibition properties being associated with alkaloids from both series with clogP ~4.0–4.5. These results will direct future efforts to optimize the antiproliferative activity of this class of natural products.

Acknowledgments

We thank the University of Auckland for funding and DTP branch of the NCI for antitumor testing.

Supplementary Files

  • Supplementary File 1:

    Supplementary Information (PDF, 662 KB)

  • References

    1. Molinski, T.F. Marine pyridoacridine alkaloids: Structure, synthesis, and biological chemistry. Chem. Rev. 1993, 93, 1825–1838. [Google Scholar] [CrossRef]
    2. Kobayashi, J.; Cheng, J.-F.; Wälchli, M.R.; Nakamura, H.; Hirata, Y.; Sasaki, T.; Ohizumi, Y. Cystodytins A, B, and C, novel tetracyclic aromatic alkaloids with potent antineoplastic activity from the Okinawan tunicate Cystodytes dellechiajei. J. Org. Chem. 1988, 53, 1800–1804. [Google Scholar] [CrossRef]
    3. Kobayashi, J.; Tsuda, M.; Tanabe, A.; Ishibashi, M.; Cheng, J.-F.; Yamamura, S.; Sasaki, T. Cystodytins D-I, new cytotoxic tetracyclic aromatic alkaloids from the Okinawan marine tunicate Cystodytes dellechiajei. J. Nat. Prod. 1991, 54, 1634–1638. [Google Scholar] [CrossRef]
    4. McDonald, L.A.; Eldredge, G.S.; Barrows, L.R.; Ireland, C.M. Inhibition of topoisomerase II catalytic activity by pyridoacridine alkaloids from a Cystodytes sp. ascidian: A mechanism for the apparent intercalator-induced inhibition of topoisomerase II. J. Med. Chem. 1994, 37, 3819–3827. [Google Scholar] [CrossRef]
    5. Appleton, D.R.; Pearce, A.N.; Lambert, G.; Babcock, R.C.; Copp, B.R. Isodiplamine, cystodytin K and lissoclinidine: Novel bioactive alkaloids from the New Zealand ascidian Lissoclinum notti. Tetrahedron 2002, 58, 9779–9783. [Google Scholar] [CrossRef]
    6. Copp, B.R.; Jompa, J.; Tahir, A.; Ireland, C.M. Styelsamines A–D: New tetracyclic pyridoacridine alkaloids from the Indonesian ascidian Eusynstyela latericius. J. Org. Chem. 1998, 63, 8024–8026. [Google Scholar] [CrossRef]
    7. Skyler, D.; Heathcock, C.H. The pyridoacridine family tree: A useful scheme for designing synthesis and predicting undiscovered natural products. J. Nat. Prod. 2002, 65, 1573–1581. [Google Scholar] [CrossRef]
    8. Bry, D.; Banaigs, B.; Long, C.; Bontemps, N. New pyridoacridine alkaloids from the purple morph of the ascidian Cystodytes dellechiajei. Tetrahedron Lett. 2011, 52, 3041–3044. [Google Scholar]
    9. Marshall, K.M.; Barrows, L.R. Biological activities of pyridoacridines. Nat. Prod. Rep. 2004, 21, 731–751. [Google Scholar] [CrossRef]
    10. Skyler, D.; Heathcock, C.H. A simple biomimetic synthesis of styelsamine B. Org. Lett. 2001, 3, 4323–4324. [Google Scholar] [CrossRef]
    11. Rudi, A.; Kashman, Y. Six new alkaloids from the purple Red Sea tunicate Eudistoma sp. J. Org. Chem. 1989, 54, 5331–5337. [Google Scholar] [CrossRef]
    12. Plubrukarn, A.; Davidson, B.S. Arnoamines A and B, new cytotoxic pentacyclic pyridoacridine alkaloids from the ascidian Cystodytes sp. J. Org. Chem. 1998, 63, 1657–1659. [Google Scholar] [CrossRef]
    13. Bouffier, L.; Baldeyrou, B.; Hildebrand, M.-P.; Lansiaux, A.; David-Cordonnier, M.-H.; Carrez, D.; Croisy, A.; Renaudet, O.; Dumya, P.; Demeunynck, M. Amino- and glycoconjugates of pyrido[4,3,2-kl]acridine. Synthesis, anti-tumor activity, and DNA binding. Bioorg. Med. Chem. 2006, 14, 7520–7530. [Google Scholar] [CrossRef]
    14. Bouffier, L.; Gosse, I.; Demeunynck, M.; Mailley, P. Electrochemistry and bioactivity relationship of 6-substituted-4H-pyrido[4,3,2-kl]acridin-4-one antitumor drug candidates. Bioelectrochemistry 2012, 88, 103–109. [Google Scholar] [CrossRef]
    15. LePecq, J.B.; Paoletti, C. A fluorescent complex between ethidium bromide and nucleic acids. J. Mol. Biol. 1967, 27, 87–106. [Google Scholar] [CrossRef]
    16. Jenkins, T.C. Optical absorbance and fluorescence techniques for measuring DNA-drug interaction. In Drug-DNA Interaction Protocols; Fox, K.R., Ed.; Humana Press: Totowa, NJ, USA, 1997; pp. 195–218. [Google Scholar]
    17. Tetko, I.V.; Gasteiger, J.; Todeschini, R.; Mauri, A.; Livingstone, D.; Ertl, P.; Palyulin, V.A.; Radchenko, E.V.; Zefirov, N.S.; Makarenko, A.S.; Tanchuk, V.Y.; Prokopenko, V.V. Virtual computational chemistry laboratory—design and description. J. Comput. Aid. Mol. Des. 2005, 19, 453–463. [Google Scholar] [CrossRef]
    18. ALOGPS 2.1; Virtual Computational Chemistry Laboratory: Neuherberg, Germany, 2005.
    19. Snell, R.H.; Woodward, R.L.; Willis, M.C. Catalytic enantioselective total synthesis of hodgkinsine B. Angew. Chem. Int. Ed. 2011, 50, 9116–9119. [Google Scholar]
    20. Nakagawa, M.; Okajima, H.; Hino, T. Photosensitized oxygenation of Nb-methoxycarbonyltryptamines. A new pathway to kynurenine derivatives. J. Am. Chem. Soc. 1977, 99, 4424–4429. [Google Scholar] [CrossRef]
    21. Weissbach, H.; Smith, T.E.; Daly, J.W.; Witkop, B.; Udenfriend, S. A rapid spectrophotometric assay of monoamine oxidase based on the rate of disappearance of kynuramine. J. Biol. Chem. 1960, 235, 1160–1163. [Google Scholar]
    22. Johannes, M.; Altmann, K.-H. A ring-closing metathesis-based approach to the synthesis of (+)-tetrabenazine. Org. Lett. 2012, 14, 3752–3755. [Google Scholar] [CrossRef]
    23. Minor, D.L.; Wyrick, S.D.; Charifson, P.S.; Watts, V.J.; Nichols, D.E.; Mailman, R.B. Synthesis and molecular modeling of 1-phenyl-1,2,3,4-tetrahydroisoquinolines and related 5,6,8,9-Tetrahydro-13bH-dibenzo[a,h]quinolizines as D1 dopamine antagonists. J. Med. Chem. 1994, 37, 4317–4328. [Google Scholar] [CrossRef]
    24. Nagubandi, S.; Fodor, G. The mechanism of the Bischler-Napieralski reaction. J. Heterocycl. Chem. 1980, 17, 1457–1463. [Google Scholar] [CrossRef]
    25. Burke, T.R.; Fesen, M.R.; Mazumder, A.; Wang, J.; Carothers, A.M.; Grunberger, D.; Driscoll, J.; Kohn, K.; Pommier, Y. Hydroxylated aromatic inhibitors of HIV-1 integrase. J. Med. Chem. 1995, 38, 4171–4178. [Google Scholar] [CrossRef]
    26. Dang, H.T.; Kang, G.J.; Yoo, E.S.; Hong, J.; Choi, J.S.; Kim, H.S.; Chung, H.Y.; Jung, J.H. Evaluation of endogenous fatty acid amides and their synthetic analogues as potential anti-inflammatory leads. Bioorg. Med. Chem. 2011, 19, 1520–1527. [Google Scholar] [CrossRef]
    27. Developmental Therapeutics Program NCI/NIH. Available online: http://dtp.nci.nih.gov/ (accessed on 16 November 2012).

    Article Metrics

    Citations

    Article Access Statistics

    Multiple requests from the same IP address are counted as one view.