Clinical Method Applied to Focused Ultrasound: The Case of Wells’ Score and Echocardiography in the Emergency Department: A Systematic Review and a Meta-Analysis
Abstract
1. Introduction
2. Materials and Methods
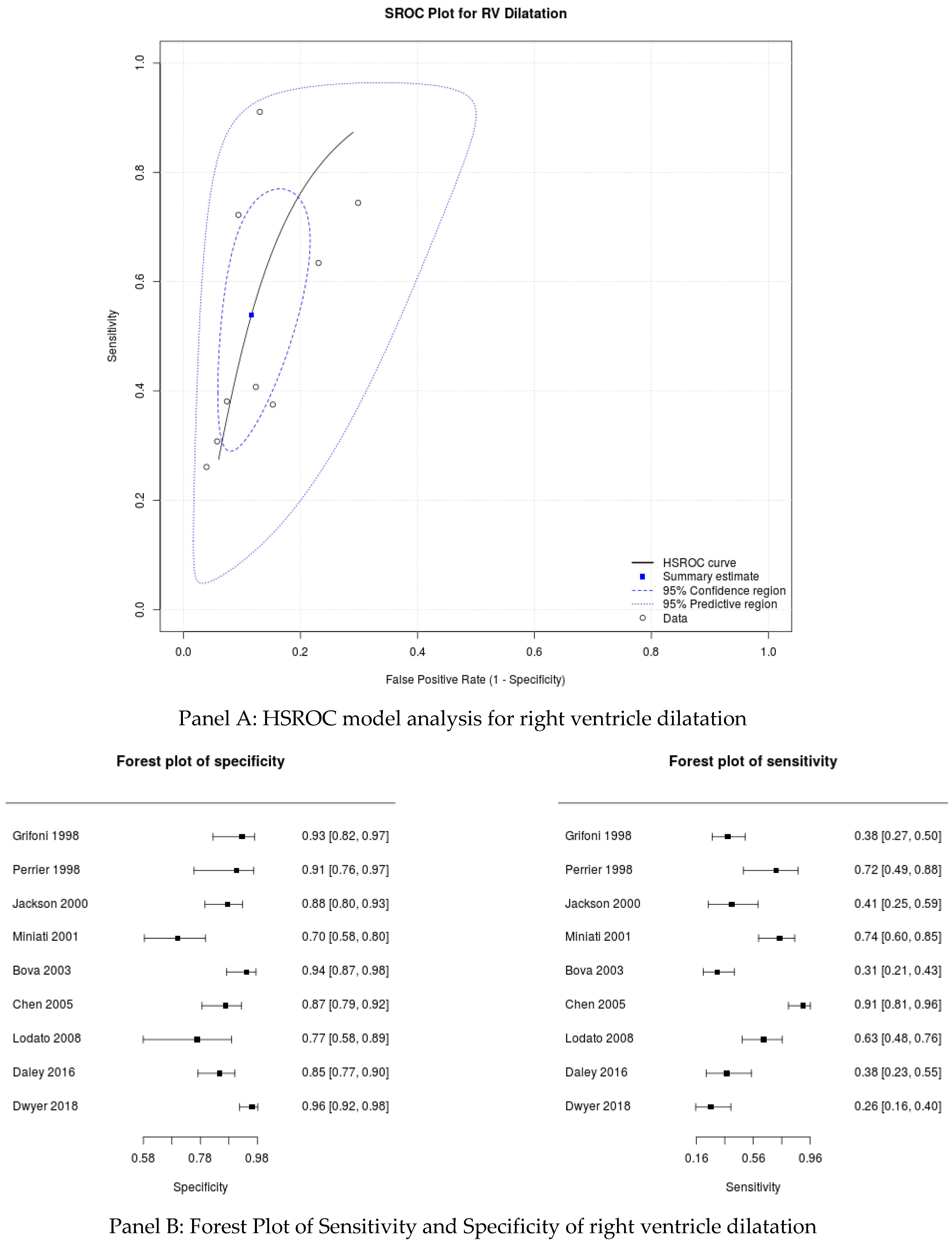
3. Results
4. Discussion
5. Study Limitations
6. Conclusions
Supplementary Materials
Author Contributions
Funding
Institutional Review Board Statement
Informed Consent Statement
Data Availability Statement
Conflicts of Interest
References
- Ultrasound Guidelines: Emergency, Point-of-Care and Clinical Ultrasound Guidelines in Medicine. Ann. Emerg. Med. 2017, 69, e27–e54. [CrossRef]
- Perrone, T.; Maggi, A.; Sgarlata, C.; Palumbo, I.; Mossolani, E.; Ferrari, S.; Melloul, A.; Mussinelli, R.; Boldrini, M.; Raimondi, A.; et al. Lung ultrasound in internal medicine: A bedside help to increase accuracy in the diagnosis of dyspnea. Eur. J. Intern. Med. 2017, 46, 61–65. [Google Scholar] [CrossRef]
- Bekgoz, B.; Kilicaslan, I.; Bildik, F.; Keles, A.; Demircan, A.; Hakoglu, O.; Coskun, G.; Demir, H.A. BLUE protocol ultrasonography in Emergency Department patients presenting with acute dyspnea. Am. J. Emerg. Med. 2019, 37, 2020–2027. [Google Scholar] [CrossRef]
- Wright, J.; Jarman, R.; Connolly, J.; Dissmann, P. Echocardiography in the emergency department. Emerg. Med. J. 2009, 26, 82–86. [Google Scholar] [CrossRef]
- Konstantinides, S.V.; Meyer, G.; Becattini, C.; Bueno, H.; Geersing, G.-J.; Harjola, V.-P. 2019 ESC Guidelines for the diagnosis and management of acute pulmonary embolism developed in collaboration with the European Respiratory Society (ERS): The Task Force for the diagnosis and management of acute pulmonary embolism of the European Society of Cardiology (ESC). Eur. Heart J. 2019, 41, 543–603. [Google Scholar] [CrossRef]
- Fields, J.M.; Davis, J.; Girson, L.; Au, A.; Potts, J.; Morgan, C.J.; Vetter, I.; Riesenberg, L.A. Transthoracic Echocardiography for Diagnosing Pulmonary Embolism: A Systematic Review and Meta-Analysis. J. Am. Soc. Echocardiogr. 2017, 30, 714–723.e4. [Google Scholar] [CrossRef]
- Moher, D.; Liberati, A.; Tetzlaff, J.; Altman, D.G.; Altman, D. Preferred Reporting Items for Systematic Reviews and Meta-Analyses: The PRISMA Statement. PLoS Med. 2009, 6, e1000097. [Google Scholar] [CrossRef]
- Whiting, P.; Rutjes, A.W.; Reitsma, J.B.; Bossuyt, P.M.; Kleijnen, J. The development of QUADAS: A tool for the quality assessment of studies of diagnostic accuracy included in systematic reviews. BMC Med. Res. Methodol. 2003, 3, 25. [Google Scholar] [CrossRef]
- Patel, A.; Cooper, N.; Freeman, S.; Sutton, A. Graphical enhancements to summary receiver operating characteristic plots to facilitate the analysis and reporting of meta-analysis of diagnostic test accuracy data. Res. Synth. Methods 2021, 12, 34–44. [Google Scholar] [CrossRef]
- Wells, P.S.; Anderson, D.R.; Rodger, M.; Stiell, I.; Dreyer, J.F.; Barnes, D.; Forgie, M.; Kovacs, G.; Ward, J.; Kovacs, M.J. Excluding pulmonary embolism at the bedside without diagnostic imaging: Management of patients with suspected pulmonary embolism presenting to the emergency department by using a simple clinical model and d-dimer. Ann. Intern. Med. 2001, 135, 98–107. [Google Scholar] [CrossRef]
- Schwartz, A. Diagnostic Test Calculator (version 2010042101). 2006. Available online: http://ulan.mede.uic.edu/cgi-bin/testcalc.pl (accessed on 19 January 2021).
- Grifoni, S.; Olivotto, I.; Cecchini, P.; Pieralli, F.; Camaiti, A.; Santoro, G.; Pieri, A.; Toccafondi, S.; Magazzini, S.; Berni, G.; et al. Utility of an integrated clinical, echocardiographic, and venous ultrasonographic approach for triage of patients with suspected pulmonary embolism. Am. J. Cardiol. 1998, 82, 1230–1235. [Google Scholar] [CrossRef]
- Perrier, A.; Tamm, C.; Unger, P.-F.; Lerch, R.; Sztajzel, J. Diagnostic accuracy of Doppler-echocardiography in unselected patients with suspected pulmonary embolism. Int. J. Cardiol. 1998, 65, 101–109. [Google Scholar] [CrossRef]
- Miniati, M.; Monti, S.; Pratali, L.; Di Ricco, G.; Marini, C.; Formichi, B.; Prediletto, R.; Michelassi, C.; Di Lorenzo, M.; Tonelli, L.; et al. Value of transthoracic echocardiography in the diagnosis of pulmonary embolism: Results of a prospective study in unselected patients. Am. J. Med. 2001, 110, 528–535. [Google Scholar] [CrossRef]
- Chen, J.-Y.; Chao, T.-H.; Guo, Y.-L.; Hsu, C.-H.; Huang, Y.-Y.; Chen, J.-H.; Lin, L.J. A Simplified Clinical Model to Predict Pulmonary Embolism in Patients With Acute Dyspnea. Int. Heart J. 2006, 47, 259–271. [Google Scholar] [CrossRef]
- Bova, C.; Greco, F.; Misuraca, G.; Serafini, O.; Crocco, F.; Greco, A.; Noto, A. Diagnostic utility of echocardiography in patients with suspected pulmonary embolism. Am. J. Emerg. Med. 2003, 21, 180–183. [Google Scholar] [CrossRef]
- Lodato, J.A.; Ward, R.P.; Lang, R.M. Echocardiographic Predictors of Pulmonary Embolism in Patients Referred for Helical CT. Echocardiography 2008, 25, 584–590. [Google Scholar] [CrossRef]
- Daley, J.; Grotberg, J.; Pare, J.; Medoro, A.; Liu, R.; Hall, M.K.; Taylor, A.; Moore, C.L. Emergency physician performed tricuspid annular plane systolic excursion in the evaluation of suspected pulmonary embolism. Am. J. Emerg. Med. 2017, 35, 106–111. [Google Scholar] [CrossRef] [PubMed]
- Dwyer, K.H.; Rempell, J.S.; Stone, M.B. Diagnosing centrally located pulmonary embolisms in the emergency department using point-of-care ultrasound. Am. J. Emerg. Med. 2018, 36, 1145–1150. [Google Scholar] [CrossRef]
- Jackson, R.E.; Rudoni, R.R.; Hauser, A.M.; Pascual, R.G.; Hussey, M.E. Prospective Evaluation of Two-dimensional Transthoracic Echocardiography in Emergency Department Patients with Suspected Pulmonary Embolism. Acad. Emerg. Med. 2000, 7, 994–998. [Google Scholar] [CrossRef] [PubMed]
- Kalkan, A.K.; Ozturk, D.; Erturk, M.; Kalkan, M.E.; Cakmak, H.A.; Oner, E.; Uzun, F.; Tasbulak, O.; Yakisan, T.; Celik, A. The diagnostic value of serum copeptin levels in an acute pulmonary embolism. Cardiol. J. 2016, 23, 42–50. [Google Scholar] [CrossRef] [PubMed][Green Version]
- Whitson, M.R.; Mayo, P.H. Ultrasonography in the emergency department. Crit. Care 2016, 20, 227. [Google Scholar] [CrossRef]
- Wacker, D.A.; Winters, M.E. Shock. Emerg. Med. Clin. N. Am. 2014, 32, 747–758. [Google Scholar] [CrossRef]
- Shrestha, G.S.; Srinivasan, S. Role of Point-of-Care Ultrasonography for the Management of Sepsis and Septic Shock. Rev. Recent Clin. Trials 2018, 13, 243–251. [Google Scholar] [CrossRef]
- Nazerian, P.; Volpicelli, G.; Gigli, C.; Lamorte, A.; Grifoni, S.; Vanni, S. Diagnostic accuracy of focused cardiac and venous ultrasound examinations in patients with shock and suspected pulmonary embolism. Intern. Emerg. Med. 2018, 13, 567–574. [Google Scholar] [CrossRef]
- Konstantinides, S.V.; Meyer, G. The 2019 ESC Guidelines on the Diagnosis and Management of Acute Pulmonary Embolism. Eur. Heart J. 2019, 40, 3453–3455. [Google Scholar] [CrossRef]
- Casazza, F.; Bongarzoni, A.; Capozi, A.; Agostoni, O. Regional right ventricular dysfunction in acute pulmonary embolism and right ventricular infarction. Eur. J. Echocardiogr. 2005, 6, 11–14. [Google Scholar] [CrossRef] [PubMed]
- Walsh, B.M.; Moore, C.L. McConnell’s Sign Is Not Specific for Pulmonary Embolism: Case Report and Review of the Literature. J. Emerg. Med. 2015, 49, 301–304. [Google Scholar] [CrossRef] [PubMed]
- Molaee, S.; Ghanaati, H.; Safavi, E.; Foroumandi, M.; Peiman, S. Computed Tomography Pulmonary Angiography for Evaluation of Patients with Suspected Pulmonary Embolism: Use or Overuse. Iran J. Radiol. 2015, 12. [Google Scholar] [CrossRef]
- Nazerian, P.; Vanni, S.; Volpicelli, G.; Gigli, C.; Zanobetti, M.; Bartolucci, M.; Ciavattone, A.; Lamorte, A.; Veltri, A.; Fabbri, A.; et al. Accuracy of Point-of-Care Multiorgan Ultrasonography for the Diagnosis of Pulmonary Embolism. Chest 2014, 145, 950–957. [Google Scholar] [CrossRef] [PubMed]



| Clinical signs and symptoms for DVT | No = 0 points Yes = +3 points |
| Pulmonary embolism is the first hypothesis or Pulmonary embolism is equally likely | No = 0 points Yes = +3 points |
| Heart rate >100 bpm | No = 0 points Yes = +1.5 points |
| Immobilization at least 3 days or Surgery in the previous 4 weeks | No = 0 points Yes = +1.5 points |
| Previous, objectively diagnosed pulmonary embolism or Previous, objectively diagnosed deep vein thrombosis | No = 0 points Yes = +1.5 points |
| Hemoptysis | No = 0 points Yes = +1 point |
| Malignancy w/treatment within 6 months or palliative | No = 0 points Yes = +1 point |
| Se (97.5% CI) | Sp (97.5% CI) | DOR (95% CI) | |
|---|---|---|---|
| RV Dilatation [12,13,14,15,16,17,18,19,20] | 0.539 (0.695) | 0.884 (0.925) | 8.907 (5.025–15.792) |
| McConnell’s Sign [17,18,19,21] | 0.175 (0.240) | 0.971 (0.984) | 6.985 (3.313–14.727) |
| Tricuspid regurgitant velocity [13,14,15,16,20] | 0.473 (0.612) | 0.842 (0.922) | 4.791 (2.101–10.928) |
| Paradoxical septum [12,15,17,18,19,20] | 0.232 (0.299) | 0.968 (0.989) | 9.080 (3.419–24.113) |
| Reduced RV contractility [15,18,19,20] | 0.563 (0.695) | 0.843 (0.908) | 6.492 (4.390–10.978) |
Publisher’s Note: MDPI stays neutral with regard to jurisdictional claims in published maps and institutional affiliations. |
© 2021 by the authors. Licensee MDPI, Basel, Switzerland. This article is an open access article distributed under the terms and conditions of the Creative Commons Attribution (CC BY) license (https://creativecommons.org/licenses/by/4.0/).
Share and Cite
Falsetti, L.; Zaccone, V.; Marra, A.M.; Tarquinio, N.; Viticchi, G.; Sampaolesi, M.; Riccomi, F.; Giovenali, L.; Ferrini, C.; Moroncini, G.; et al. Clinical Method Applied to Focused Ultrasound: The Case of Wells’ Score and Echocardiography in the Emergency Department: A Systematic Review and a Meta-Analysis. Medicina 2021, 57, 766. https://doi.org/10.3390/medicina57080766
Falsetti L, Zaccone V, Marra AM, Tarquinio N, Viticchi G, Sampaolesi M, Riccomi F, Giovenali L, Ferrini C, Moroncini G, et al. Clinical Method Applied to Focused Ultrasound: The Case of Wells’ Score and Echocardiography in the Emergency Department: A Systematic Review and a Meta-Analysis. Medicina. 2021; 57(8):766. https://doi.org/10.3390/medicina57080766
Chicago/Turabian StyleFalsetti, Lorenzo, Vincenzo Zaccone, Alberto M. Marra, Nicola Tarquinio, Giovanna Viticchi, Mattia Sampaolesi, Francesca Riccomi, Laura Giovenali, Consuelo Ferrini, Gianluca Moroncini, and et al. 2021. "Clinical Method Applied to Focused Ultrasound: The Case of Wells’ Score and Echocardiography in the Emergency Department: A Systematic Review and a Meta-Analysis" Medicina 57, no. 8: 766. https://doi.org/10.3390/medicina57080766
APA StyleFalsetti, L., Zaccone, V., Marra, A. M., Tarquinio, N., Viticchi, G., Sampaolesi, M., Riccomi, F., Giovenali, L., Ferrini, C., Moroncini, G., Nitti, C., & Salvi, A. (2021). Clinical Method Applied to Focused Ultrasound: The Case of Wells’ Score and Echocardiography in the Emergency Department: A Systematic Review and a Meta-Analysis. Medicina, 57(8), 766. https://doi.org/10.3390/medicina57080766

